Sign in to use this feature.

Years

Between: -

Subjects

remove_circle_outline
remove_circle_outline
remove_circle_outline
remove_circle_outline
remove_circle_outline
remove_circle_outline
remove_circle_outline
remove_circle_outline
remove_circle_outline

Journals

Article Types

Countries / Regions

remove_circle_outline
remove_circle_outline
remove_circle_outline

Search Results (250)

Search Parameters:
Keywords = quantitative trait locus mapping

Order results
Result details
Results per page
Select all
Export citation of selected articles as:
19 pages, 2013 KB  
Article
Genetic Basis Analysis for Candidate QTLs and Functional Genes Controlling Four-Seeded Pods at Lower-Node in Soybean (Glycine max) Plant
by Ramiz Raja, Yihan Huang, Shicheng Ning, Bo Hu, Mahfishan Siyal, Wen-Xia Li and Hailong Ning
Plants 2026, 15(6), 966; https://doi.org/10.3390/plants15060966 - 20 Mar 2026
Abstract
Soybean (Glycine max L. Merr.) is a globally significant oilseed crop. The number of four-seeded pods in the lower part (FSPL) serves as a critical yield component under high-density planting. To date, numerous crop-specific traits have been investigated in multiple breeding studies [...] Read more.
Soybean (Glycine max L. Merr.) is a globally significant oilseed crop. The number of four-seeded pods in the lower part (FSPL) serves as a critical yield component under high-density planting. To date, numerous crop-specific traits have been investigated in multiple breeding studies of soybean; however, little attention has been paid to studies on FSPL. Hence, in this study, we investigated the genetic basis of FSPL using a recombinant inbred line population (RIL3613) across four environments. The segregated genetic mapping population was cultivated during the field experiments, and the collected phenotypic dataset of FSPL exhibited quantitative genetics and high broad-sense heritability (0.724), indicating stable genetic control. Further, we performed quantitative trait locus (QTL) mapping using raw means in each environment and identified 10 QTL, explaining phenotypic variations (PVE) ranging from 0.10% to 2.94%. Among the identified environmentally stable QTL, qFSPL-15-1 was consistently detected across all environments. Two candidate genes [Glyma.15G034100 (encoding lysophosphatidic acid acyltransferase 2) and Glyma.15G034200 (encoding an RNA-binding protein)] were predicted within the flanking genomic interval. The allele frequencies of haplotype combinations of Hap1: Pro2 + CDS1 for Glyma.15G034100 and Hap3: Pro3 + CDS1 for Glyma.15G034200 in wild soybeans (26.6–30.0%) were larger than improved cultivars (52.6–53.4%). We believe that our current findings elucidate the molecular mechanisms regulating lower-pod formation and provide precise genetic targets for marker-assisted selection in high-yield soybean breeding. Full article
(This article belongs to the Section Plant Genetics, Genomics and Biotechnology)
Show Figures

Figure 1

33 pages, 4472 KB  
Review
Non-Coding Regulatory Variants in Autoimmune Disease: Biological Mechanisms, Immune Context, and Integrative Multi-Omics Interpretation
by Ahmed S. A. Ali Agha, Nawras A. Al-Zaki, Saif Aldeen Nasser Alshammari, Lama Odeh, Renata Obekh, Nour Sameer, Hussam M. Askari, Nancy Hakooz, Ibrahim Al-Adham and Phillip J. Collier
Biology 2026, 15(5), 407; https://doi.org/10.3390/biology15050407 - 28 Feb 2026
Viewed by 425
Abstract
Autoimmune diseases arise from complex interactions between genetic susceptibility, immune regulation, and tissue-specific inflammatory processes, yet most risk variants identified by genome-wide association studies occur in non-coding regions with poorly defined biological functions. This review addresses the challenge of interpreting non-coding regulatory variants [...] Read more.
Autoimmune diseases arise from complex interactions between genetic susceptibility, immune regulation, and tissue-specific inflammatory processes, yet most risk variants identified by genome-wide association studies occur in non-coding regions with poorly defined biological functions. This review addresses the challenge of interpreting non-coding regulatory variants in autoimmunity by synthesizing emerging analytical frameworks that integrate functional genomics, single-cell profiling, spatial transcriptomics, and multi-omics data. We describe stepwise strategies that refine statistical associations through regulatory annotation, immune cell–state resolution, and perturbational evidence, highlighting complementary approaches such as massively parallel reporter assays, transcriptome-wide association studies, and single-cell expression quantitative trait locus mapping. These methods demonstrate that many autoimmune risk variants exert context-dependent effects that emerge only in specific immune cell states, activation trajectories, or tissue microenvironments. Advances in spatial and chromatin-informed technologies further clarify how regulatory variation shapes immune circuits in diseases such as systemic lupus erythematosus and rheumatoid arthritis. Finally, we discuss how machine learning-enabled multi-omics integration supports molecular endotyping and therapeutic inference while emphasizing interpretability and reproducibility. Collectively, this review highlights a shift from static variant annotation toward dynamic, context-aware analytical frameworks that enable mechanism-informed interpretation of genetic risk in autoimmune disease. Full article
(This article belongs to the Section Immunology)
Show Figures

Graphical abstract

20 pages, 4196 KB  
Article
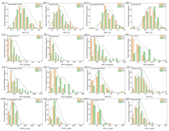
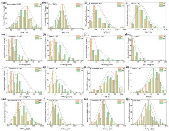
Pyramiding of Low-Nitrogen-Responsive QTL Clusters Enhances Yield and Nutrient-Use Efficiency in Barley
by Bing-Jie Chen, Yao Hou, Zhao-Yong Zeng, Yuan-Feng Huo, De-Yi Hu, Li Yin, Ying-Gang Xu, Yang Li, Shu Yuan and Guang-Deng Chen
Agriculture 2026, 16(4), 453; https://doi.org/10.3390/agriculture16040453 - 14 Feb 2026
Viewed by 415
Abstract
Given that nitrogen (N) is a major limiting factor for global crop production, improving low-nitrogen (LN) tolerance in barley is essential for sustaining yields worldwide. Building on our laboratory’s previous quantitative trait locus (QTL) mapping, which identified three LN-specific QTL clusters on chromosomes [...] Read more.
Given that nitrogen (N) is a major limiting factor for global crop production, improving low-nitrogen (LN) tolerance in barley is essential for sustaining yields worldwide. Building on our laboratory’s previous quantitative trait locus (QTL) mapping, which identified three LN-specific QTL clusters on chromosomes 2H and 5H, this study investigated the potential of gene pyramiding to improve LN tolerance. We generated two recombinant inbred line populations (C79 and F79) containing these QTLs and evaluated them for thirty-six traits related to yield, agronomy, and N, phosphorus (P), and potassium (K) uptake and utilization. The results confirmed that LN stress significantly reduced most yield, agronomic, and NPK-related traits. Under LN conditions, grain yield and accumulations of N, P, and K in the C79 population increased with the number of QTL clusters harbored by the lines. More compellingly, in the F79 population under LN stress, lines containing all three QTL clusters exhibited superior performance for critical yield components such as grain yield, spike number, grain number, and nutrient efficiency indices. Furthermore, in both populations, lines with the full QTL complement demonstrated higher values for harvest index, grain number, and K harvest index under LN stress than under normal-N conditions. In conclusion, this study is the first to link LN-QTL pyramiding with P and K use efficiency and demonstrates that pyramiding breeding can produce high-yielding barley varieties with enhanced LN tolerance and nutrient absorption capacity. Full article
Show Figures

Figure 1

18 pages, 9243 KB  
Article
ZmbHLH30 Enhances Cold Tolerance During Maize Germination
by Xinguang Tang, Yitong Sun, Bangguo Zhang, Xinwen He, Lin Zhang, Ling Dong, Xing Zeng, Hong Di, Jiayue Zhang, Chunxiang Li, Jiapeng Xing, Qi Zhang, Zhenhua Wang and Yu Zhou
Plants 2026, 15(4), 611; https://doi.org/10.3390/plants15040611 - 14 Feb 2026
Viewed by 461
Abstract
Low temperature is a major abiotic stress that affects maize across its entire growth cycle, with the germination stage being particularly sensitive. To investigate the genetic basis of early-stage cold tolerance, we used quantitative trait locus mapping and identified ZmbHLH30 as a candidate [...] Read more.
Low temperature is a major abiotic stress that affects maize across its entire growth cycle, with the germination stage being particularly sensitive. To investigate the genetic basis of early-stage cold tolerance, we used quantitative trait locus mapping and identified ZmbHLH30 as a candidate gene regulating maize responses to low temperature. The ZmbHLH30 protein is localized in the cytoplasm of maize protoplasts, and ZmbHLH30 promoter drives β-glucuronidase (GUS) expression in Arabidopsis thaliana leaves. The promoter region of ZmbHLH30 contains multiple environmental stress-responsive elements, including motifs associated with cold and auxin responses. Overexpression of ZmbHLH30 significantly enhanced cold tolerance at the germination, bud, and seedling stages, with the strongest effect observed during germination, where the cold-tolerance D-value increased by 0.366 relative to the control. In contrast, CRISPR/Cas9 knockout lines showed a 0.399 decrease in D-value. Under cold stress, ZmbHLH30 expression was markedly induced in overexpression lines but suppressed in knockout lines. Integrated transcriptomic and metabolomic analyses further identified ZmbHLH30 as a key regulator of cold tolerance in maize. Full article
(This article belongs to the Section Plant Response to Abiotic Stress and Climate Change)
Show Figures

Figure 1

12 pages, 2308 KB  
Article
Fine-Mapping and Candidate Gene Analysis of qAT3 for Alkalinity Tolerance in Rice
by Lei Lei, Jinsong Zhou, Guohua Ding, Liangzi Cao, Yu Luo, Lei Chen, Yang Ren, Jiangxu Wang, Kai Liu, Qingjun Lei, Yusong Miao, Tingting Xie, Wei Zheng and Shichen Sun
Agronomy 2026, 16(3), 393; https://doi.org/10.3390/agronomy16030393 - 6 Feb 2026
Viewed by 379
Abstract
Salinity–alkalinity stress is one of the major abiotic stresses that limit rice production in the world. The salinity–alkalinity tolerance of rice at the germination stage has a direct effect on the survival and final yield of seedlings in direct sowing. However, there are [...] Read more.
Salinity–alkalinity stress is one of the major abiotic stresses that limit rice production in the world. The salinity–alkalinity tolerance of rice at the germination stage has a direct effect on the survival and final yield of seedlings in direct sowing. However, there are few reports of quantitative trait locus (QTL) mapping and mapping-based cloning of alkaline tolerance at the bud burst stage. Here, new alkaline tolerance loci were constructed for F2:3 and BC3F4 by using IR36 and Long-Dao124 (LD124) rice varieties with significant differences in alkaline tolerance. Through linkage analysis and a fine-mapping strategy, qAT3 was identified as the major QTL for alkaline tolerance at the bud burst stage, which could explain 14.79% of the phenotypic variation on average. Then the interval was fine-mapped to 110.265 kb, and the candidate gene LOC_Os03g03150 was predicted by quantitative real-time polymerase chain reaction (qRT-PCR) analysis and sequencing analysis. This provides a key theory for the molecular breeding of alkali-tolerant genes and the study of the molecular mechanism of alkali tolerance in LD124. Full article
(This article belongs to the Section Crop Breeding and Genetics)
Show Figures

Figure 1

26 pages, 14801 KB  
Article
FLA1, Enhancing GA3 Contents in Flag Leaf Lamina Joint, Increases Flag Leaf Angle to Improve Outcross Rate and Hybrid Rice Seed Production
by Zhiyao Dong, Dalu Li, Xiaoxiao Hu, Xuanchi Liu, Nuoya Fei, Guocan Wu, Erbao Liu, Xiaojing Dang, Siyuan Zeng, Yuzhu Chen and Delin Hong
Plants 2026, 15(3), 446; https://doi.org/10.3390/plants15030446 - 31 Jan 2026
Viewed by 540
Abstract
Flag leaf angle (FLA) in rice (Oryza sativa L.) is one of the important traits affecting F1 seed production by mechanization. Here, we report the map-based cloning and functional characterization of the FLA1 (FLAG-LEAF-ANGLE 1) gene, which resides at [...] Read more.
Flag leaf angle (FLA) in rice (Oryza sativa L.) is one of the important traits affecting F1 seed production by mechanization. Here, we report the map-based cloning and functional characterization of the FLA1 (FLAG-LEAF-ANGLE 1) gene, which resides at a major-effect quantitative trait locus (QTL). Through cell morphological observations and exogenous hormone treatment assays, we demonstrate that gibberellin (GA) modulates rice FLA by altering both the number of cell layers and cell length. Combining genetic and molecular biological analyses with genetic complementation and gene overexpression assays, we elucidated and validated the biological function of FLA1. In addition, we found that FLA1 is constitutively expressed and encodes a protein localized to both the cell membrane and nucleus. Via RT-qPCR assays, we further demonstrated that the FLA1fla-R allele from the rice accession fla-R enhances GA biosynthesis by upregulating the expression of CLA1 and GA20ox2. Furthermore, yeast two-hybrid assays revealed that auxin-repressed protein 1 (ARP1) interacts with FLA1, suggesting a potential role of this interaction in the modulation of rice FLA. Collectively, our results demonstrate that optimizing rice FLA via molecular manipulation of FLA1 can resolve the problem of flag leaf shearing during F1 hybrid rice seed production without compromising F1 hybrid seed yield, thereby facilitating mechanized F1 hybrid rice seed production. Full article
Show Figures

Figure 1

27 pages, 573 KB  
Review
From GWAS Signals to Causal Genes in Chronic Kidney Disease
by Charlotte Delrue, Reinhart Speeckaert and Marijn M. Speeckaert
Curr. Issues Mol. Biol. 2026, 48(2), 148; https://doi.org/10.3390/cimb48020148 - 28 Jan 2026
Viewed by 681
Abstract
Genome-wide association studies (GWAS) have transformed the study of chronic kidney disease (CKD) by identifying hundreds of genetic loci associated with multiple aspects of kidney function, including albuminuria and CKD risk factors, in diverse populations. A major challenge is translating statistically significant signals [...] Read more.
Genome-wide association studies (GWAS) have transformed the study of chronic kidney disease (CKD) by identifying hundreds of genetic loci associated with multiple aspects of kidney function, including albuminuria and CKD risk factors, in diverse populations. A major challenge is translating statistically significant signals into causal genes and mechanisms, as most CKD-associated variants lie in non-coding regulatory regions and often act in a cell type- and context-specific manner. In this review, we provide an overview of the current strategies for moving from GWAS signals toward the identification of causal genes for CKD. We discuss advances in four areas: statistical and functional fine-mapping, molecular quantitative trait locus (QTL) mapping, colocalization, and transcriptome-wide associations, highlighting the advantages and disadvantages of each. We further examined how emerging kidney-specific single-cell, single-nucleus, and spatial transcriptomic atlases have enabled the mapping of genetic risk to specific renal cell types and microanatomical niches. By combining these approaches with chromatin interaction data, multi-omics analytics, and clustered regularly interspaced short palindromic repeats (CRISPR)-based studies, the process of generating causal relationships and mechanistic understanding has been further refined. Importantly, this review provides a unifying framework that synthesizes cross-sectional and longitudinal GWAS with kidney-specific functional genomics to distinguish genetic determinants of CKD susceptibility from modifiers of disease progression, thereby highlighting how regulatory variation and disease trajectories inform precision nephrology. As a result, we can provide insights into the role of genetically informed gene prioritization for experimentation, therapeutic target discovery, and the development of a framework for precision nephrology. Together, these advancements highlight how human genetics, in conjunction with functional genomics and experimental biology, can link an association signal to a clinically relevant interpretation of CKD. Full article
Show Figures

Figure 1

17 pages, 2245 KB  
Article
Identification of HMCES as the Core Genetic Determinant Underlying the xhs1 Radiosensitivity Locus in LEA/LEC Rats
by Eisuke Hishida, Masaki Watanabe, Takeru Sasaki, Tatsuya Ashida, Keisuke Shimada, Tadashi Okamura, Takashi Agui and Nobuya Sasaki
Int. J. Mol. Sci. 2026, 27(3), 1278; https://doi.org/10.3390/ijms27031278 - 27 Jan 2026
Viewed by 365
Abstract
Genomic instability caused by defective DNA double-strand break (DSB) repair is a key determinant of cellular radiosensitivity. The Long–Evans cinnamon (LEC) rat is a rare naturally occurring model with marked radiosensitivity, and a major quantitative trait locus, X-ray hypersensitivity 1 (xhs1), [...] Read more.
Genomic instability caused by defective DNA double-strand break (DSB) repair is a key determinant of cellular radiosensitivity. The Long–Evans cinnamon (LEC) rat is a rare naturally occurring model with marked radiosensitivity, and a major quantitative trait locus, X-ray hypersensitivity 1 (xhs1), has been mapped to rat chromosome 4; however, the causal mechanism has remained unclear. Here, we investigated the cellular and molecular basis of xhs1-associated radiosensitivity using LEA and LEC rat-derived cells and human cultured cells. Exploratory RNA-seq of pre-hepatitic liver tissue identified a sequence variant within the Hmces transcript in LEC rats. Consistently, HMCES protein levels were markedly reduced in multiple tissues and liver-derived cell lines from LEC rats. Functional analyses showed that reduced HMCES activity prolonged γH2AX signaling after X-ray irradiation, indicating delayed DSB resolution. Clonogenic survival assays demonstrated increased radiosensitivity in HMCES-deficient cells, which was partially rescued by restoring HMCES expression in stable LEA/LEC lines. Moreover, pimEJ5GFP reporter assays revealed significantly decreased end-joining repair activity in HMCES-knockout human cells. Together, these results establish HMCES as a critical mediator of DSB repair and cellular radioresistance, identify HMCES dysfunction as a core genetic determinant underlying xhs1-associated radiosensitivity, and provide mechanistic insight into radiation response architecture in a naturally occurring radiosensitive model. Full article
(This article belongs to the Special Issue Advances in Animal Molecular Genetics)
Show Figures

Figure 1

17 pages, 8538 KB  
Article
Mining for Resistance Loci to Fusarium Wilt in Mungbean
by Yingchao Shen, Zhixiao Zhang, Changyou Liu, Yan Wang, Shen Wang, Huiying Shi, Zhimin Cao, Zhendong Zhu, Baojie Fan and Jing Tian
Agronomy 2026, 16(2), 242; https://doi.org/10.3390/agronomy16020242 - 20 Jan 2026
Viewed by 307
Abstract
Fusarium wilt (FW), caused by Fusarium oxysporum, poses a significant threat to mungbean (Vigna radiata L.), impacting its yield and quality. In this study, a recombinant inbred line (RIL) population was developed by crossing the highly resistant cultivar Weilv 9002-341 with [...] Read more.
Fusarium wilt (FW), caused by Fusarium oxysporum, poses a significant threat to mungbean (Vigna radiata L.), impacting its yield and quality. In this study, a recombinant inbred line (RIL) population was developed by crossing the highly resistant cultivar Weilv 9002-341 with the highly susceptible line V1128. Assessment of resistance revealed a continuous variation in the average disease index within the resulting population, consistent with the inheritance pattern of quantitative traits. Leveraging an F2:3 segregating population, we conducted linkage mapping analysis and bulked segregant analysis by sequencing, leading to the construction of a genetic linkage map and the identification of a region correlated with resistance. Within this region, 14 novel simple sequence repeat markers were designed to enable refined mapping. A putative resistance locus, spanning 0.17 Mb and encompassing 19 annotated genes, was precisely located. Ultimately, two genes were identified as high-priority candidates conferring resistance. The results of this study lay the foundation for the functional investigation of genes associated with resistance to Fusarium wilt disease in mungbean. Full article
(This article belongs to the Special Issue Cultivar Development of Pulses Crop—2nd Edition)
Show Figures

Figure 1

15 pages, 3784 KB  
Article
Identification of Novel QTLs for Iron Content and Development of KASP Marker in Wheat Grain
by Chang Liu, Zhankui Zeng, Xueyan Jing, Yue Zhao, Qunxiang Yan, Junge Bi and Chunping Wang
Agriculture 2026, 16(1), 105; https://doi.org/10.3390/agriculture16010105 - 31 Dec 2025
Viewed by 381
Abstract
Wheat (Triticum aestivum L.) is one of the most important staple crops in the world. Iron (Fe) plays a vital role in the growth and development of wheat as an essential nutrient. Meanwhile, Fe is closely associated with human health, as Fe [...] Read more.
Wheat (Triticum aestivum L.) is one of the most important staple crops in the world. Iron (Fe) plays a vital role in the growth and development of wheat as an essential nutrient. Meanwhile, Fe is closely associated with human health, as Fe deficiency anemia can cause fatigue, weakness, heart problems, and so on. In this study, quantitative trait loci (QTLs) for grain Fe content (GFeC) were detected in two populations: a recombinant inbred line (RIL) population with 175 lines derived from a cross between Avocet and Huites (AH population) genotyped with diversity array technology (DArT) and a natural population of 243 varieties (CH population) genotyped by using the 660K single-nucleotide polymorphism (SNP). Three stable QTLs (QGFe.haust-AH-5B, QGFe.haust-AH-6A, and QGFe.haust-AH-7A.2) were identified through QTL mapping with phenotypic variations of 11.55–13.63%, 3.58–9.89%, and 4.81–11.12% in the AH population in four environments. Genetic effects of QGFe.haust-AH-5B, QGFe.haust-AH-6A, and QGFe.haust-AH-7A.2 were shown to significantly increase GFeC by 8.11%, 14.05%, and 5.25%, respectively. One hundred and thirty-three significant SNPs were identified (p < 0.001) through a genome-wide association study (GWAS) for GFeC on chromosomes 1B, 2B, 3A, 3B, 5D, and 7A with phenotypic variations of 5.26–9.88% in the CH population. A novel locus was co-located within the physical interval 689.86 Mb-690.01 Mb in five environments through QTL mapping and GWAS, with one high-confidence gene, TraesCS7A02G499500, which was temporarily designated as TaqFe-7A, involved in GFeC regulation. A Kompetitive allele-specific PCR, KAFe-7A-2, was developed, which was validated in 181 natural populations. Genetic effect analysis revealed that favorable haplotype AA significantly increased GFeC by 4.64% compared to an unfavorable haplotype (p < 0.05). Therefore, this study provides the theoretical basis for cloning the GFeC gene and nutritional fortification breeding. Full article
(This article belongs to the Section Crop Genetics, Genomics and Breeding)
Show Figures

Figure 1

38 pages, 1245 KB  
Review
Rising Demand for Winter Crops Under Climate Change: Breeding for Winter Hardiness in Autumn-Sown Legumes
by Katalin Magyar-Tábori, Sripada M. Udupa, Alexandra Hanász, Csaba Juhász and Nóra Mendler-Drienyovszki
Life 2026, 16(1), 17; https://doi.org/10.3390/life16010017 - 22 Dec 2025
Viewed by 1713
Abstract
Climate change in the Pannonian region is accelerating a shift toward autumn sowing of cool-season grain legumes (pea, faba bean, lentil, chickpea, lupine) to achieve higher yields, greater biomass production, enhanced nitrogen fixation, improved soil cover, and superior resource use efficiency compared with [...] Read more.
Climate change in the Pannonian region is accelerating a shift toward autumn sowing of cool-season grain legumes (pea, faba bean, lentil, chickpea, lupine) to achieve higher yields, greater biomass production, enhanced nitrogen fixation, improved soil cover, and superior resource use efficiency compared with spring sowing. However, successful overwintering depends on the availability of robust winter-hardy cultivars. This review synthesizes recent breeding advances, integrating traditional approaches—such as germplasm screening, hybridization, and field-based selection—with genomics-assisted strategies, including genome-wide association studies (GWAS), quantitative trait locus (QTL) mapping, marker-assisted selection (MAS), and CRISPR/Cas-mediated editing of CBF transcription factors. Key physiological mechanisms—LT50 determination, cold acclimation, osmoprotectant accumulation (sugars, proline), and membrane stability—are assessed using field survival rates, electrolyte leakage assays, and chlorophyll fluorescence measurements. Despite challenges posed by genotype × environment interactions, variable winter severity, and polygenic trait control, the release of cultivars worldwide (e.g., ‘NS-Mraz’, ‘Lavinia F’, ‘Ghab series’, ‘Pinklevi’, and ‘Rézi’) and ongoing breeding programs demonstrate substantial progress. Future breeding efforts will increasingly rely on genomic selection (GS), high-throughput phenomics, pangenomics, and G×E modeling to accelerate the development of climate-resilient legume cultivars, ensuring stable and sustainable production under increasingly unpredictable winter conditions. Full article
Show Figures

Figure 1

18 pages, 2910 KB  
Article
Identification of Major QTLs and Candidate Genes Determining Stem Strength in Soybean
by Xinyue Wang, Liu Liu, Yuting Cheng, Xiaoyang Ding, Jiaxin Yu, Peiyuan Li, Hesong Gu, Wenbo Xu, Wenwen Jiang, Chunming Xu and Na Zhao
Agronomy 2025, 15(12), 2905; https://doi.org/10.3390/agronomy15122905 - 17 Dec 2025
Viewed by 476
Abstract
Stem strength is a key factor influencing lodging resistance in soybeans and other crops. To identify quantitative trait loci (QTLs) associated with stem strength in soybean, we assessed the peak forces required to break a 20 cm stem base segment for each individual [...] Read more.
Stem strength is a key factor influencing lodging resistance in soybeans and other crops. To identify quantitative trait loci (QTLs) associated with stem strength in soybean, we assessed the peak forces required to break a 20 cm stem base segment for each individual within a collection of 2138 plants from eight F2 and F3 segregating populations in 2023 and 2024. These populations were derived from four crosses between soybean varieties with contrasting stem strength. Most populations exhibited an approximately normal distribution of stem strength. Using BSA-seq, we identified 17 QTLs associated with stem strength from four populations. Among these, one QTL overlapped with a previously reported locus, while the remaining 16 represented novel loci. Notably, nine loci overlapped with known lodging QTLs, suggesting a genetic relationship between stem strength and lodging. Three QTLs were repeatedly detected in multiple populations, indicating their stability. Further linkage mapping with molecular markers confirmed these three stable QTLs. Among them, qSS10 and qSS19-2 were identified as major QTLs, refined to 1.06 Mb and 1.54 Mb intervals, with phenotypic variation explained (PVE) 23.31–25.15% and 14.21–19.93%, respectively. Within these stable QTL regions, we identified 13 candidate genes and analyzed their sequence variation and expression profiles. Collectively, our findings provide a valuable foundation for future research on stem strength in soybeans and reveal novel genetic loci and candidate genes that may be utilized for the genetic improvement of soybean lodging resistance and yield stability. Full article
Show Figures

Figure 1

25 pages, 3702 KB  
Article
Seed the Difference: QTL Mapping Reveals Several Major Loci for Seed Size in Cannabis sativa L.
by Stephen Eunice Manansala-Siazon, Paolo Miguel Siazon, Erwin Tandayu, Lennard Garcia-de Heer, Adam Burn, Qi Guo, Jos C. Mieog and Tobias Kretzschmar
Plants 2025, 14(24), 3853; https://doi.org/10.3390/plants14243853 - 17 Dec 2025
Viewed by 921
Abstract
Cannabis sativa L. has been cultivated for millennia as a source of food and fibre. Increasing demand for functional foods has renewed interest in C. sativa seeds (hempseeds), which are rich in essential fatty acids and amino acids. However, a near-global moratorium on [...] Read more.
Cannabis sativa L. has been cultivated for millennia as a source of food and fibre. Increasing demand for functional foods has renewed interest in C. sativa seeds (hempseeds), which are rich in essential fatty acids and amino acids. However, a near-global moratorium on C. sativa cultivation and research throughout most of the 20th century has delayed crop improvement using modern breeding approaches. As a result, genetic loci contributing to key agronomic traits, including with respect to maximizing yield as a seed crop, remain largely unknown. In this study, a feminized segregating F2 mapping population, derived from a tall parent with spacious inflorescences and large seeds and a short-stature parent with compact inflorescences and small seeds, was phenotyped for key seed and agronomic traits related to yield. A mid-density Single Nucleotide Polymorphism (SNP) genotyping panel was used to generate a genetic linkage map of 291.5 cM with 455 SNPs. Quantitative Trait Locus (QTL) mapping identified major loci for hundred-seed weight—qHSW3, 26.59 percent variance explained (PVE), seed volume—qSV1, 33.24 PVE, and plant height—qPH9, 46.99 PVE. Our results provide novel target regions, associated molecular markers, and candidate genes for future breeding efforts to improve C. sativa. Full article
Show Figures

Figure 1

17 pages, 1454 KB  
Article
QTL Mapping and Fine Mapping of a Major Quantitative Trait Locus (qBS11) Conferring Resistance to Rice Brown Spot
by Qiuyun Lin, Yujie Zhou, Yuehui Lin, Zhenyu Xie and Wei Hu
Agriculture 2025, 15(23), 2417; https://doi.org/10.3390/agriculture15232417 - 24 Nov 2025
Cited by 1 | Viewed by 889
Abstract
Rice brown spot (BS) disease, caused by Bipolaris oryzae, is a significant threat to rice production worldwide. In this study, a major quantitative trait locus (QTL), qBS11, associated with resistance to BS in rice, was identified and fine-mapped. A recombinant inbred [...] Read more.
Rice brown spot (BS) disease, caused by Bipolaris oryzae, is a significant threat to rice production worldwide. In this study, a major quantitative trait locus (QTL), qBS11, associated with resistance to BS in rice, was identified and fine-mapped. A recombinant inbred line (RIL) population from a cross between the susceptible variety Zhenshan97 and the resistant variety C309 was used for QTL mapping. Using composite interval mapping (CIM) and bulked segregant analysis sequencing (BSA-seq), qBS11 was narrowed to a 244.6 kb interval on chromosome 11, explaining up to 47.7% of the phenotypic variance. Fine mapping identified several potential candidate genes, including LOC_Os11g41170 and LOC_Os11g41210, encoding disease resistance proteins. The resistance exhibited by qBS11 was found to be partially dominant, with heterozygotes showing medium resistance. High broad-sense heritability (89.2%) confirmed the dominance of genetic factors in BS resistance. Additionally, regulatory region variations in the candidate genes suggest a gene dosage effect, which may explain the partial dominance observed for qBS11. This study provides valuable insights into the genetic basis of BS resistance and offers a foundation for breeding BS-resistant rice varieties through molecular marker-assisted selection (MAS). The findings also pave the way for future functional studies of the identified genes. Full article
(This article belongs to the Section Crop Genetics, Genomics and Breeding)
Show Figures

Figure 1

13 pages, 1382 KB  
Article
Identification of qAs1—A Minor-Effect QTL Controlling Grain Arsenic Accumulation in Rice Using Near-Isogenic Lines Under High-Arsenic and Flooded Conditions
by Liang Guo, Zheng Dong, Haibo Xiong, Xiaowu Pan, Wenqiang Liu, Zuwu Chen and Xiaoxiang Li
Agronomy 2025, 15(12), 2699; https://doi.org/10.3390/agronomy15122699 - 24 Nov 2025
Viewed by 558
Abstract
Arsenic (As) contamination in rice poses a serious risk to food safety and human health. Genetic dissection of As-related quantitative trait loci (QTLs) provides a sustainable strategy for breeding low-As cultivars. In this study, we aimed to improve the detection of minor-effect QTLs [...] Read more.
Arsenic (As) contamination in rice poses a serious risk to food safety and human health. Genetic dissection of As-related quantitative trait loci (QTLs) provides a sustainable strategy for breeding low-As cultivars. In this study, we aimed to improve the detection of minor-effect QTLs for total As accumulation by optimizing both environmental and genetic factors. A recombinant inbred line (RIL) population derived from the cross between Yuzhenxiang (YZX, indica) and YBK (Javanica) was used for initial QTL mapping, and a single locus, qAs1, was identified on chromosome1. To enhance As uptake and phenotypic differentiation, we conducted QTL validation and fine mapping under high-As and continuously flooded conditions using near-isogenic lines (NILs) to minimize background genetic interference. The effect of qAs1 was consistently validated across generations, and the locus was refined to a 159.5 kb genomic interval. Transcriptome analysis revealed three differentially expressed genes (LOC_Os01g52110, LOC_Os01g52214, and LOC_Os01g52260) involved in redox regulation and detoxification. These findings demonstrate the effectiveness of NIL-based fine mapping under optimized environmental conditions and provide promising targets for the genetic improvement of low-As rice cultivars. Full article
(This article belongs to the Section Crop Breeding and Genetics)
Show Figures

Figure 1

Back to TopTop