Sign in to use this feature.

Years

Between: -

Subjects

remove_circle_outline
remove_circle_outline
remove_circle_outline
remove_circle_outline
remove_circle_outline
remove_circle_outline
remove_circle_outline

Journals

Article Types

Countries / Regions

Search Results (21)

Search Parameters:
Keywords = purification of wastewaters from phenol

Order results
Result details
Results per page
Select all
Export citation of selected articles as:
18 pages, 17896 KB  
Article
Biodegradation of Phenol at High Initial Concentration by Rhodococcus opacus 3D Strain: Biochemical and Genetic Aspects
by Tatiana O. Anokhina, Tatiana Z. Esikova, Valentina N. Polivtseva, Nataliya E. Suzina and Inna P. Solyanikova
Microorganisms 2025, 13(1), 205; https://doi.org/10.3390/microorganisms13010205 - 18 Jan 2025
Cited by 1 | Viewed by 1924
Abstract
Phenolic compounds are an extensive group of natural and anthropogenic organic substances of the aromatic series containing one or more hydroxyl groups. The main sources of phenols entering the environment are waste from metallurgy and coke plants, enterprises of the leather, furniture, and [...] Read more.
Phenolic compounds are an extensive group of natural and anthropogenic organic substances of the aromatic series containing one or more hydroxyl groups. The main sources of phenols entering the environment are waste from metallurgy and coke plants, enterprises of the leather, furniture, and pulp and paper industries, as well as wastewater from the production of phenol–formaldehyde resins, adhesives, plastics, and pesticides. Among this group of compounds, phenol is the most common environmental pollutant. One of the cheapest and most effective ways to combat phenol pollution is biological purification. However, the inability of bacteria to decompose high concentrations of phenol is a significant limitation. Due to the uncoupling of oxidative phosphorylation, phenol concentrations above 1 g/L are toxic and inhibit cell growth. This article presents data on the biodegradative potential of Rhodococcus opacus strain 3D. This strain is capable of decomposing a wide range of toxicants, including phenol. In the present study, cell growth with phenol, growth after rest, growth of immobilized cells before and after rest, phase contrast, and scanning microscopy of immobilized cells on fiber were studied in detail. The free-living and immobilized cells can decompose phenol concentrations up to 1.5 g/L and 2.5 g/L, respectively. The decomposition of the toxicant was catalyzed by the enzymes catechol 1,2-dioxygenase and cis,cis-muconate cycloisomerase. The role of protocatechuate 3,4-dioxygenase in biodegradative processes is discussed. In this work, it is shown that the immobilized cells can be stored for a long time (up to 2 years) without significant loss of their degradation activity. An assessment of the induction of genes potentially involved in this process was taken. Based on our investigation, we can conclude that this strain can be considered an effective destructor that is capable of degrading phenol at high concentrations, increases its biodegradative potential during immobilization, and retains this ability for a long storage time. Therefore, the strain can be used in biotechnology for the purification of aqueous samples at high concentrations from phenolic contamination. Full article
(This article belongs to the Special Issue Microbial Metabolism and Application in Biodegradation)
Show Figures

Figure 1

17 pages, 9774 KB  
Article
New Insights into Changes in DOM Fractions in a Crab Farming Park and Key Factors in the Removal Process Using Fluorescence Spectra with MW-2DCOS and SEM
by Ruijuan Zhou, Yan Hao, Benxin Yu, Junwen Hou, Kuotian Lu, Fang Yang and Qingqian Li
Water 2024, 16(16), 2249; https://doi.org/10.3390/w16162249 - 9 Aug 2024
Viewed by 1347
Abstract
With the explosion of crab farming in China, the urgent need to treat crab wastewater can never be overemphasized. Hence, in this study, excitation–emission matrix (EEM) fluorescence spectroscopy with parallel factor analysis (PARAFAC), moving window two-dimensional correlation spectroscopy (MW-2DCOS) and structural equation modeling [...] Read more.
With the explosion of crab farming in China, the urgent need to treat crab wastewater can never be overemphasized. Hence, in this study, excitation–emission matrix (EEM) fluorescence spectroscopy with parallel factor analysis (PARAFAC), moving window two-dimensional correlation spectroscopy (MW-2DCOS) and structural equation modeling (SEM) were employed to identify changes in the dissolved organic matter (DOM) fractions in a crab farming park and reveal latent factors associated with removal processes. Seven components (C1–C7) were extracted from DOMs by EEM-PARAFAC as follows: C1: microbial byproduct-like substances, C2: visible-tryptophan-like substances, C3: fulvic-like substances, C4: phenolic-like substances, C5: ultraviolet tyrosine-like substances, C6: D-tryptophan-like substances and C7: L-tryptophan-like substances. Interestingly, C7 (39.20%), a representative component of DOM in the crab farming pond, was deeply degraded in the aeration pond by aerobic microbes, whereas C6 was absent in the crab pond. According to 2DCOS, the changing order of the components was C7 → C4 → C6 → C5 → C2 → C1 → C3, and the changing order of the functional groups was carboxylic → phenolic → aromatic. As assessed by MW-2DCOS, the Fmax of the components, especially components C2, C5 and C6 (and with the exception of C4 and C7) exponentially increased in the aeration pond, where an accumulative effect occurred. C2, C5 and C7 were removed by 24.26%, 39.42% and 98.25% in the crab farming system, and were deeply degraded in the paddy-field, purification pond and aeration pond, respectively. As assessed by SEM, the latent factors of organic matter removal were C1, C2, C4, C5, SUVA254, CODMn and DO. This study could be conducive to comprehensively characterizing the removal of components and functional groups of DOMs in crab farming parks. Full article
(This article belongs to the Special Issue Water Environment Pollution and Control, Volume III)
Show Figures

Figure 1

19 pages, 7994 KB  
Article
Catalysts Based on Iron Oxides for Wastewater Purification from Phenolic Compounds: Synthesis, Physicochemical Analysis, Determination of Catalytic Activity
by Binara T. Dossumova, Larissa R. Sassykova, Tatyana V. Shakiyeva, Dinara Muktaly, Aigul A. Batyrbayeva and Madina A. Kozhaisakova
ChemEngineering 2024, 8(1), 8; https://doi.org/10.3390/chemengineering8010008 - 1 Jan 2024
Cited by 4 | Viewed by 3207
Abstract
In this work, the synthesis of magnetite nanoparticles and catalysts based on it stabilized with silicon and aluminum oxides was carried out. It is revealed that the stabilization of the magnetite surface by using aluminum and silicon oxides leads to a decrease in [...] Read more.
In this work, the synthesis of magnetite nanoparticles and catalysts based on it stabilized with silicon and aluminum oxides was carried out. It is revealed that the stabilization of the magnetite surface by using aluminum and silicon oxides leads to a decrease in the size of magnetite nanocrystals in nanocomposites (particle diameter less than ~10 nm). The catalytic activity of the obtained catalysts was evaluated during the oxidation reaction of phenol, pyrocatechin and cresol with oxygen. It is well known that phenolic compounds are among the most dangerous water pollutants. The effect of phenol concentration and the effect of temperature (303–333 K) on the rate of oxidation of phenol to Fe3O4/SiO2 has been studied. It has been determined that the dependence of the oxidation rate of phenol on the initial concentration of phenol in solution is described by a first-order equation. At temperatures of 303–313 K, incomplete absorption of the calculated amount of oxygen is observed, and the analysis data indicate the non-selective oxidation of phenol. Intermediate products, such as catechin, hydroquinone, formic acid, oxidation products, were found. The results of UV and IR spectroscopy showed that catalysts based on magnetite Fe3O4 are effective in the oxidation of phenol with oxygen. In the UV spectrum of the product in the wavelength range 190–1100 nm, there is an absorption band at a wavelength of 240–245 nm and a weak band at 430 nm, which is characteristic of benzoquinone. In the IR spectrum of the product, absorption bands were detected in the region of 1644 cm−1, which is characteristic of the oscillations of the C=O bonds of the carbonyl group of benzoquinone. The peaks also found at 1353 cm−1 and 1229 cm−1 may be due to vibrations of the C-H and C-C bonds of the quinone ring. It was found that among the synthesized catalysts, the Fe3O4/SiO2 catalyst demonstrated the greatest activity in the reaction of liquid-phase oxidation of phenol. Full article
Show Figures

Figure 1

23 pages, 8143 KB  
Review
Recent Progress in Applications of Atmospheric Pressure Plasma for Water Organic Contaminants’ Degradation
by Yue Yin, Hangbo Xu, Yupan Zhu, Jie Zhuang, Ruonan Ma, Dongjie Cui and Zhen Jiao
Appl. Sci. 2023, 13(23), 12631; https://doi.org/10.3390/app132312631 - 23 Nov 2023
Cited by 18 | Viewed by 6132
Abstract
Owing to current global water scarcity, there is an urgent need for advanced water treatment technologies to be invested in wastewater treatment processes. Additionally, there is growing concern that some anthropogenic contaminants have been detected in finished drinking water and wastewater slated for [...] Read more.
Owing to current global water scarcity, there is an urgent need for advanced water treatment technologies to be invested in wastewater treatment processes. Additionally, there is growing concern that some anthropogenic contaminants have been detected in finished drinking water and wastewater slated for reuse, such as organic chemicals, pharmaceuticals, industrial dyes and even viruses, and their health effects are poorly understood at low concentrations. Atmospheric pressure plasma (APP) is a kind of advanced oxidation technology with high efficiency, low energy consumption, and little environmental impact. In recent decades, as a new method of environmental pollution abatement, APP has proven able to decompose and even completely eliminate stubborn organic contaminants. This paper focuses on the application of different types of plasma in the wastewater purification, such as water containing perfluorinated compounds, pesticides, pharmaceuticals, dyes, phenols, and viruses. Then, the effects of discharge parameters (discharge power, electrode distance, gas flow rate and working gas composition) on degradation efficiency were summarized. Finally, the existing challenges and future prospects of plasma-based wastewater purification are outlined. Full article
(This article belongs to the Section Environmental Sciences)
Show Figures

Figure 1

28 pages, 7266 KB  
Article
Photodegradation of Rhodamine B and Phenol Using TiO2/SiO2 Composite Nanoparticles: A Comparative Study
by Maria-Anna Gatou, Evangelos Fiorentis, Nefeli Lagopati and Evangelia A. Pavlatou
Water 2023, 15(15), 2773; https://doi.org/10.3390/w15152773 - 31 Jul 2023
Cited by 28 | Viewed by 6414
Abstract
Organic pollutants found in industrial effluents contribute to significant environmental risks. Degradation of these pollutants, particularly through photocatalysis, is a promising strategy ensuring water purification and supporting wastewater treatment. Thus, photodegradation of rhodamine B and phenol under visible-light irradiation using TiO2/SiO [...] Read more.
Organic pollutants found in industrial effluents contribute to significant environmental risks. Degradation of these pollutants, particularly through photocatalysis, is a promising strategy ensuring water purification and supporting wastewater treatment. Thus, photodegradation of rhodamine B and phenol under visible-light irradiation using TiO2/SiO2 composite nanoparticles was within the main scopes of this study. The nanocomposite was synthesized through a wet impregnation method using TiO2 and SiO2 nanopowders previously prepared via a facile sol–gel approach and was fully characterized. The obtained results indicated a pure anatase phase, coupled with increased crystallinity (85.22%) and a relative smaller crystallite size (1.82 nm) in relation to pure TiO2 and SiO2 and an enhanced specific surface area (50 m2/g) and a reduced energy band gap (3.18 eV). Photodegradation of rhodamine B upon visible-light irradiation was studied, showing that the TiO2/SiO2 composite reached total (100%) degradation within 210 min compared to pure TiO2 and SiO2 analogues, which achieved a ≈45% and ≈43% degradation rate, respectively. Similarly, the composite catalyst presented enhanced photocatalytic performance under the same irradiation conditions towards the degradation of phenol, leading to 43.19% degradation within 210 min and verifying the composite catalyst’s selectivity towards degradation of rhodamine B dye as well as its enhanced photocatalytic efficiency towards both organic compounds compared to pure TiO2 and SiO2. Additionally, based on the acquired experimental results, ●O2, h+ and e were found to be the major reactive oxygen species involved in rhodamine B’s photocatalytic degradation, while ●OH radicals were pivotal in the photodegradation of phenol under visible irradiation. Finally, after the TiO2/SiO2 composite catalyst was reused five times, it indicated negligible photodegradation efficiency decrease towards both organic compounds. Full article
(This article belongs to the Special Issue Advanced Applications of Nanoparticles in Water and Wastewater)
Show Figures

Figure 1

23 pages, 2912 KB  
Review
Prospects for Combined Applications of Nanostructured Catalysts and Biocatalysts for Elimination of Hydrocarbon Pollutants
by Olga Maslova, Olga Senko, Marina A. Gladchenko, Sergey N. Gaydamaka and Elena Efremenko
Appl. Sci. 2023, 13(9), 5815; https://doi.org/10.3390/app13095815 - 8 May 2023
Cited by 6 | Viewed by 2737
Abstract
Due to the presence of environmental problems, it is urgent to improve the processes aimed at the processing and purification of hydrocarbon-containing wastes and wastewaters. The review presents the latest achievements in the development of nanostructured catalysts made from different materials that can [...] Read more.
Due to the presence of environmental problems, it is urgent to improve the processes aimed at the processing and purification of hydrocarbon-containing wastes and wastewaters. The review presents the latest achievements in the development of nanostructured catalysts made from different materials that can be used to purify oil-polluted wastewaters (petroleum refinery wastewater, oilfield-produced water, sulfur-containing extracts from pre-oxidized crude oil and oil fractions, etc.) and eliminate components of hydrocarbon pollutants (polyaromatic hydrocarbons, phenols, etc.). The results of the analysis of possible combinations of chemical and biological catalysts for deeper and more effective solutions to the problems are discussed. The possibilities of highly efficient elimination of hydrocarbon pollutants as a result of the hybrid application of nanoparticles (graphene oxide, mesoporous silica, magnetic nanocatalysts, etc.) or catalytic nanocomposites for advanced oxidation processes and biocatalysts (enzymes, cells of bacteria, mycelial fungi, phototrophic microorganisms and natural or artificial microbial consortia) are analyzed. Full article
(This article belongs to the Special Issue Novel Nanomaterials and Nanostructures)
Show Figures

Figure 1

10 pages, 1218 KB  
Article
Three- and Multi-Phase Extraction as a Tool for the Implementation of Liquid Membrane Separation Methods in Practice
by Artak E. Kostanyan, Vera V. Belova and Andrey A. Voshkin
Membranes 2022, 12(10), 926; https://doi.org/10.3390/membranes12100926 - 25 Sep 2022
Cited by 6 | Viewed by 3116
Abstract
To promote the implementation of liquid membrane separations in industry, we have previously proposed extraction methods called three- and multi-phase extraction. The three-phase multi-stage extraction is carried out in a cascade of bulk liquid membrane separation stages, each comprising two interconnected (extraction and [...] Read more.
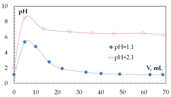
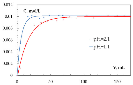
To promote the implementation of liquid membrane separations in industry, we have previously proposed extraction methods called three- and multi-phase extraction. The three-phase multi-stage extraction is carried out in a cascade of bulk liquid membrane separation stages, each comprising two interconnected (extraction and stripping) chambers. The organic liquid membrane phase recycles between the chambers within the same stage. In multi-phase extraction, each separation stage includes a scrubbing chamber, located between the extraction and stripping chambers. The three- and multi-phase multi-stage extraction technique can be realized either in a series of mixer–settler extractors or in special two- or multi-chamber extraction apparatuses, in which the convective circulation of continuous membrane phase between the chambers takes place due to the difference in emulsion density in the chambers. The results of an experimental study of the extraction of phenol from sulfuric acid solutions in the three-phase extractors with convective circulation of continuous membrane phase are presented. Butyl acetate was used as an extractant. The stripping of phenol from the organic phase was carried out with 5–12% NaOH aqueous solutions. The prospects of using three-phase extractors for wastewater treatment from phenol are shown. An increase in the efficiency of three-phase extraction can be achieved by carrying out the process in a cascade of three-phase apparatuses. Full article
Show Figures

Figure 1

15 pages, 2497 KB  
Article
Valorization and Potential Antimicrobial Use of Olive Mill Wastewater (OMW) from Italian Olive Oil Production
by Eleonora Russo, Andrea Spallarossa, Antonio Comite, Marcello Pagliero, Patrizia Guida, Vittorio Belotti, Debora Caviglia and Anna Maria Schito
Antioxidants 2022, 11(5), 903; https://doi.org/10.3390/antiox11050903 - 4 May 2022
Cited by 35 | Viewed by 5054
Abstract
The production of olive oil generates olive mill wastewater (OMW) which essentially derives from the processing, treatment and pressing of olives in mills. Traditional milling processes require a quantity of water varying between 40 and 120 L per quintal of pressed olives, generating [...] Read more.
The production of olive oil generates olive mill wastewater (OMW) which essentially derives from the processing, treatment and pressing of olives in mills. Traditional milling processes require a quantity of water varying between 40 and 120 L per quintal of pressed olives, generating a considerable amount of wastewater. It is thus necessary to reduce process water and enhance its use to implement the concept of a circular economy. To this end, our preliminary work was dedicated to water purification by means of suitable and efficient filtration systems. The microfiltered OMW was firstly concentrated through reverse osmosis. Then, an additional concentration step was carried out via vacuum membrane distillation using hydrophobic hollow fiber membranes. The application of the membrane-based processes allowed the recovery of a purified water and the concentration of valuable polyphenols in a smaller volume. The different fractions obtained from the purification have been tested for the determination of the antioxidant power (DPPH assay) and dosage of polyphenols (Folin–Ciocalteu assay) and were characterized using IR spectroscopy. All samples showed relevant antioxidant activity (percentage range: 10–80%) and total phenolic content in the 1.5–15 g GAE/L range. The obtained fractions were tested for their antimicrobial effect on numerous clinical isolates of Gram-positive and Gram-negative species, resistant and multi-resistant to current antibiotic drugs. OMW samples showed widespread activity against the considered (phyto)pathogens (MIC range 8–16 mg/mL) thus supporting the value of this waste material in the (phyto)pharmaceutical field. Full article
Show Figures

Graphical abstract

26 pages, 3735 KB  
Review
Recovery of Polyphenols from Agri-Food By-Products: The Olive Oil and Winery Industries Cases
by Paulina Tapia-Quirós, María Fernanda Montenegro-Landívar, Mònica Reig, Xanel Vecino, José Luis Cortina, Javier Saurina and Mercè Granados
Foods 2022, 11(3), 362; https://doi.org/10.3390/foods11030362 - 26 Jan 2022
Cited by 100 | Viewed by 10529
Abstract
The production of olive oil and wine are two of the main agri-food economic activities in Southern Europe. They generate large amounts of solid and liquid wastes (e.g., olive pomace, olive mill wastewater, grape pomace, grape stems, wine lees, and wine processing wastewater) [...] Read more.
The production of olive oil and wine are two of the main agri-food economic activities in Southern Europe. They generate large amounts of solid and liquid wastes (e.g., olive pomace, olive mill wastewater, grape pomace, grape stems, wine lees, and wine processing wastewater) that represent a major environmental problem. Consequently, the management of these residues has become a big challenge for these industries, since they are harmful to the environment but rich in bioactive compounds, such as polyphenols. In recent years, the recovery of phenolic compounds has been proposed as a smart strategy for the valorization of these by-products, from a circular economy perspective. This review aims to provide a comprehensive description of the state of the art of techniques available for the analysis, extraction, and purification of polyphenols from the olive mill and winery residues. Thus, the integration and implementation of these techniques could provide a sustainable solution to the olive oil and winery sectors. Full article
(This article belongs to the Section Food Security and Sustainability)
Show Figures

Graphical abstract

22 pages, 1178 KB  
Article
Improved Oxidative Stability and Sensory Quality of Beef Hamburgers Enriched with a Phenolic Extract from Olive Vegetation Water
by Sara Barbieri, Dario Mercatante, Stefania Balzan, Sonia Esposto, Vladimiro Cardenia, Maurizio Servili, Enrico Novelli, Agnese Taticchi and Maria Teresa Rodriguez-Estrada
Antioxidants 2021, 10(12), 1969; https://doi.org/10.3390/antiox10121969 - 9 Dec 2021
Cited by 25 | Viewed by 3773
Abstract
This study aims at evaluating the effect of a phenol-rich extract obtained from the concentration and purification of olive mill wastewaters (added at a ratio of 87.5 and 175 mg of phenols/kg meat) on the stability and sensory quality of beef hamburgers packed [...] Read more.
This study aims at evaluating the effect of a phenol-rich extract obtained from the concentration and purification of olive mill wastewaters (added at a ratio of 87.5 and 175 mg of phenols/kg meat) on the stability and sensory quality of beef hamburgers packed under modified atmosphere and stored under alternating exposure to fluorescent light at 4 ± 2 °C for 9 days. The hamburgers were sampled at different times (0, 6, and 9 days) and grilled at 200 °C. After 9 days, more than 56% of the added phenols in the raw burgers and more than 20% the grilled ones were retained. The results show that both concentrations of phenolic extract proved to effectively reduce primary and secondary lipid oxidation, as well as cholesterol oxidation products (COPs), during the shelf-life of raw hamburgers. Peroxide value, thiobarbituric acid reactive substances, and total COPs were up to 1.4-, 4.5-, and 8.8-fold lower in phenol-enriched raw hamburgers, respectively, than in the control samples; a similar trend was noted also in phenol-enriched cooked hamburgers (1.3-, 5.7-, and 4-fold lower). The sensory analysis also confirmed the effectiveness of the addition of phenolic extract, resulting in a positive effect on the red color intensity (raw product) and thus reducing browning during storage. Full article
Show Figures

Graphical abstract

19 pages, 3568 KB  
Article
Application of the Organic Waste-Based Sorbent for the Purification of Aqueous Solutions
by Olga Cheremisina, Tatiana Litvinova, Vasiliy Sergeev, Maria Ponomareva and Julia Mashukova
Water 2021, 13(21), 3101; https://doi.org/10.3390/w13213101 - 4 Nov 2021
Cited by 20 | Viewed by 3416
Abstract
The effective purification of large-capacity wastewater from heavy non-ferrous metals and organic pollutants using inexpensive sorption technology remains a crucial task. Analyzing the current objectives of sustainable development, biochar obtained from chicken manure has prospects as a source for sorption purification of industrial [...] Read more.
The effective purification of large-capacity wastewater from heavy non-ferrous metals and organic pollutants using inexpensive sorption technology remains a crucial task. Analyzing the current objectives of sustainable development, biochar obtained from chicken manure has prospects as a source for sorption purification of industrial wastewater. To determine the characteristics of organic material and the composition of the initial and equilibrium phases, the following analysis methods were used: volumetric, complexometric, pH-metric, X-ray fluorescence, chromatographic, spectrophotometric, luminescence-photometric and X-ray diffraction. The thermal nitrogen desorption method was used for determining the specific surface area and pore sizes with the Quantachrome Nova 1000e automatic analyzer. The sorption properties of the reprocessing product of the fresh poultry manure were investigated in relation to organic and inorganic compounds: phenols, benzene, ketones, cations of lead, mercury, manganese and iron. Based on the results obtained, technical conditions were developed for the use of the reprocessed organic waste-based product as a sorption material for household, industrial and technological wastewater purification from organic and inorganic components. Full article
(This article belongs to the Section Wastewater Treatment and Reuse)
Show Figures

Figure 1

14 pages, 2447 KB  
Article
Efficient Catalytic Degradation of Phenol with Phthalocyanine-Immobilized Reduced Graphene–Bacterial Cellulose Nanocomposite
by Binbin Wu, Yikai Sun, Qiujin Fan, Jiahui Chen, Weizheng Fang and Shiliang Chen
Nanomaterials 2021, 11(9), 2218; https://doi.org/10.3390/nano11092218 - 28 Aug 2021
Cited by 2 | Viewed by 2551
Abstract
In this report, phthalocyanine (Pc)/reduced graphene (rG)/bacterial cellulose (BC) ternary nanocomposite, Pc-rGBC, was developed through the immobilization of Pc onto a reduced graphene–bacterial cellulose (rGBC) nanohybrid after the reduction of biosynthesized graphene oxide-bacterial cellulose (GOBC) with N2H4. Field emission [...] Read more.
In this report, phthalocyanine (Pc)/reduced graphene (rG)/bacterial cellulose (BC) ternary nanocomposite, Pc-rGBC, was developed through the immobilization of Pc onto a reduced graphene–bacterial cellulose (rGBC) nanohybrid after the reduction of biosynthesized graphene oxide-bacterial cellulose (GOBC) with N2H4. Field emission scanning electron microscopy (FESEM) and Fourier transform infrared spectroscopy (FT-IR) were employed to monitor all of the functionalization processes. The Pc-rGBC nanocomposite was applied for the treatment of phenol wastewater. Thanks to the synergistic effect of BC and rG, Pc-rGBC had good adsorption capacity to phenol molecules, and the equilibrium adsorption data fitted well with the Freundlich model. When H2O2 was presented as an oxidant, phenol could rapidly be catalytically decomposed by the Pc-rGBC nanocomposite; the phenol degradation ratio was more than 90% within 90 min of catalytic oxidation, and the recycling experiment showed that the Pc-rGBC nanocomposite had excellent recycling performance in the consecutive treatment of phenol wastewater. The HPLC result showed that several organic acids, such as oxalic acid, maleic acid, fumaric acid, glutaric acid, and adipic acid, were formed during the reaction. The chemical oxygen demand (COD) result indicated that the formed organic acids could be further mineralized to CO2 and H2O, and the mineralization ratio was more than 80% when the catalytic reaction time was prolonged to 4 h. This work is of vital importance, in terms of both academic research and industrial practice, to the design of Pc-based functional materials and their application in environmental purification. Full article
(This article belongs to the Section Nanofabrication and Nanomanufacturing)
Show Figures

Figure 1

16 pages, 6324 KB  
Article
Graphene Oxide Membranes for High Salinity, Produced Water Separation by Pervaporation
by Khalfan Almarzooqi, Mursal Ashrafi, Theeran Kanthan, Ali Elkamel and Michael A. Pope
Membranes 2021, 11(7), 475; https://doi.org/10.3390/membranes11070475 - 26 Jun 2021
Cited by 23 | Viewed by 4469
Abstract
Oil and gas industries produce a huge amount of wastewater known as produced water which contains diverse contaminants including salts, dissolved organics, dispersed oils, and solids making separation and purification challenging. The chemical and thermal stability of graphene oxide (GO) membranes make them [...] Read more.
Oil and gas industries produce a huge amount of wastewater known as produced water which contains diverse contaminants including salts, dissolved organics, dispersed oils, and solids making separation and purification challenging. The chemical and thermal stability of graphene oxide (GO) membranes make them promising for use in membrane pervaporation, which may provide a more economical route to purifying this water for disposal or re-use compared to other membrane-based separation techniques. In this study, we investigate the performance and stability of GO membranes cast onto polyethersulfone (PES) supports in the separation of simulated produced water containing high salinity brackish water (30 g/L NaCl) contaminated with phenol, cresol, naphthenic acid, and an oil-in-water emulsion. The GO/PES membranes achieve water flux as high as 47.8 L m−2 h−1 for NaCl solutions for membranes operated at 60 °C, while being able to reject 99.9% of the salt and upwards of 56% of the soluble organic components. The flux for membranes tested in pure water, salt, and simulated produced water was found to decrease over 72 h of testing but only to 50–60% of the initial flux in the worst-case scenario. This drop was concurrent with an increase in contact angle and C/O ratio indicating that the GO may become partially reduced during the separation process. Additionally, a closer look at the membrane crosslinker (Zn2+) was investigated and found to hydrolyze over time to Zn(OH)2 with much of it being washed away during the long-term pervaporation. Full article
(This article belongs to the Special Issue Advancements of 2D Materials-Based Membranes)
Show Figures

Graphical abstract

20 pages, 5456 KB  
Article
Purification of Wastewater from Biomass-Derived Syngas Scrubber Using Biochar and Activated Carbons
by Enrico Catizzone, Corradino Sposato, Assunta Romanelli, Donatella Barisano, Giacinto Cornacchia, Luigi Marsico, Daniela Cozza and Massimo Migliori
Int. J. Environ. Res. Public Health 2021, 18(8), 4247; https://doi.org/10.3390/ijerph18084247 - 16 Apr 2021
Cited by 15 | Viewed by 4503
Abstract
Phenol is a major component in the scrubber wastewater used for syngas purification in biomass-based gasification plants. Adsorption is a common strategy for wastewater purification, and carbon materials, such as activated carbons and biochar, may be used for its remediation. In this work, [...] Read more.
Phenol is a major component in the scrubber wastewater used for syngas purification in biomass-based gasification plants. Adsorption is a common strategy for wastewater purification, and carbon materials, such as activated carbons and biochar, may be used for its remediation. In this work, we compare the adsorption behavior towards phenol of two biochar samples, produced by pyrolysis and gasification of lignocellulose biomass, with two commercial activated carbons. Obtained data were also used to assess the effect of textural properties (i.e., surface area) on phenol removal. Continuous tests in lab-scale columns were also carried out and the obtained data were processed with literature models in order to obtain design parameters for scale-up. Results clearly indicate the superiority of activated carbons due to the higher pore volume, although biomass-derived char may be more suitable from an economic and environmental point of view. The phenol adsorption capacity increases from about 65 m/g for gasification biochar to about 270 mg/g for the commercial activated carbon. Correspondingly, service time of commercial activated carbons was found to be about six times higher than that of gasification biochar. Finally, results indicate that phenol may be used as a model for characterizing the adsorption capacity of the investigated carbon materials, but in the case of real waste water the carbon usage rate should be considered at least 1.5 times higher than that calculated for phenol. Full article
(This article belongs to the Special Issue Environmental Impact Assessment by Green Processes)
Show Figures

Figure 1

10 pages, 417 KB  
Article
Multi-Response Optimization of Coagulation and Flocculation of Olive Mill Wastewater: Statistical Approach
by Srikanth Vuppala, Riyaaz Uddien Shaik and Marco Stoller
Appl. Sci. 2021, 11(5), 2344; https://doi.org/10.3390/app11052344 - 6 Mar 2021
Cited by 11 | Viewed by 2746
Abstract
Olive oil production is one of the important industrial sectors within the agro-food framework of the Mediterranean region, economically important to the people working in this sector, although there is also a threat to the environment due to residues. The main wastes of [...] Read more.
Olive oil production is one of the important industrial sectors within the agro-food framework of the Mediterranean region, economically important to the people working in this sector, although there is also a threat to the environment due to residues. The main wastes of the olive oil extraction process are olive mill wastewater (OMW) and olive husks which also require proper treatment before dismissal. In this research work, the main goal is to introduce grey relational analysis, a technique for multi-response optimization, to the coagulation and flocculation process of OMW to select the optimum coagulant dosage. The coagulation and flocculation process was carried out by adding aluminum sulfate (Alum) to the waste stream in different dosages, starting from 100 to 2000 mg/L. In previous research work, optimization of this process on OMW was briefly discussed, but there is no literature available that reports the optimal coagulant dosage verified through the grey relational analysis method; therefore, this method was applied for selecting the best operating conditions for lowering a combination of multi-responses such as chemical oxygen demand (COD), total organic carbon (TOC), total phenols and turbidity. From the analysis, the 600 mg/L coagulant dosage appears to be top ranked, which obtained a higher grey relational grade. The implementation of statistical techniques in OMW treatment can enhance the efficiency of this process, which in turn supports the preparation of waste streams for further purification processes in a sustainable way. Full article
(This article belongs to the Special Issue Sustainable Technologies for the Revalorization of Agro-Food Residues)
Show Figures

Figure 1

Back to TopTop