Abstract
The effective purification of large-capacity wastewater from heavy non-ferrous metals and organic pollutants using inexpensive sorption technology remains a crucial task. Analyzing the current objectives of sustainable development, biochar obtained from chicken manure has prospects as a source for sorption purification of industrial wastewater. To determine the characteristics of organic material and the composition of the initial and equilibrium phases, the following analysis methods were used: volumetric, complexometric, pH-metric, X-ray fluorescence, chromatographic, spectrophotometric, luminescence-photometric and X-ray diffraction. The thermal nitrogen desorption method was used for determining the specific surface area and pore sizes with the Quantachrome Nova 1000e automatic analyzer. The sorption properties of the reprocessing product of the fresh poultry manure were investigated in relation to organic and inorganic compounds: phenols, benzene, ketones, cations of lead, mercury, manganese and iron. Based on the results obtained, technical conditions were developed for the use of the reprocessed organic waste-based product as a sorption material for household, industrial and technological wastewater purification from organic and inorganic components.
1. Introduction
A prerequisite for the creation of sustainable industrial technologies is their compliance with the formulated principles of green chemistry, the creation of safe components, the minimization of waste generation, and the use of renewable resources [1,2].
The use of by-products or secondary resources of the main technological lines, particularly for the effective purification of large-capacity wastewater from heavy non-ferrous metals and organic pollutants using inexpensive sorption technology, remains a crucial task [3,4]. Commercially available sorbents that are used to address these problems are mainly natural materials such as active carbon materials, biochar and zeolites [5,6,7]. Analyzing the current objectives of sustainable development [8,9,10], it was found that biochar obtained from chicken manure has prospects as a source for water purification in many parts of the world.
In [11], the effectiveness of biochar based on peanut shells and untreated peanut shells for the removal of arsenites and arsenates from aqueous solutions was investigated. The experimental results showed that biochar has a higher efficiency than peanut shells: arsenites were removed at 95% effectiveness at pH = 7.2 and arsenates were removed at 99% effectiveness at pH = 6.2. Analysis of the adsorbent structure using X-ray spectroscopy and Fourier transform infrared spectroscopy showed that hydroxyl and aromatic functional groups make a significant contribution to the sorption of arsenates and arsenites from aqueous solutions through surface complexation and electrostatic interactions.
In [12], the sorption capacity of biochar obtained from Chinese jujuba seed, for the purification of aqueous solutions from Pb (II), was evaluated. The effect of pH and temperature on the efficiency of adsorption was determined, as well as the possibility of multiple repetitions of adsorption–desorption operations without significant losses of sorbent efficiency. It was found that the adsorption capacity reached 70% after five sorption–desorption cycles.
The authors of [13] carried out a comparative analysis of biochar based on pine sawdust and paper mill sludge as adsorbents of carbon dioxide from gas mixtures. In the experimental determination of the adsorption capacity of the obtained sorbents, an initial gas mixture of the following composition was used: 15% and 85% . Pine dust biochar showed the highest adsorption capacity and selectivity towards due to its porosity and surface area, in addition to the presence of oxygen-containing functional groups.
In [14], the use of biochar from fir cone was proposed as an adsorbent for water purification from cadmium. Analysis of the adsorption mechanism allowed the assumption that precipitation and surface complexation were the main mechanisms of cadmium adsorption. Precipitation occurred mainly in the form of and .
In [15], the use of biochar based on agricultural waste as the adsorbent for purification of aqueous solutions from Cd (II) and Cu (II) was described. The sorbent was obtained from various raw materials: poultry manure, alfalfa shoots, vetch shoots, canola shoots, wheat straw and eucalyptus wood. According to Langmuir’s model, biochar from alfalfa had the highest sorption capacity of 6.28 mg/g in relation to Cd (II), and biochar from vetch had the highest sorption capacity of 18.0 mg/g in relation to Cu (II), at pH = 5. All obtained biochars had a higher sorption capacity in relation to copper than to cadmium.
In [16], the effectiveness of using biochar obtained from cattle and poultry manure for the removal of copper cations from aqueous media was studied. When analyzing the mechanism of adsorption, a strong interaction of copper (II) ions with functional groups on the organic adsorbent surface was established. Irregular structural characteristics and large oxygen-containing groups were significantly important in determining the adsorption capacities of the DBCs, resulting in the formation of stable CuO and CuSO4 complexes [17].
In [18], the use of biochar obtained from farmyard manure (FYM-BC) and poultry manure (PM-BC) as adsorbents for the removal of . from aqueous solutions was described. The results showed that PM-BC was a more effective adsorbent than FYM-BC under all experimental conditions. In terms of thermodynamics, the process can be characterized as chemisorption, spontaneous, and endothermic. Post-adsorption analysis confirmed that sorption on the studied biochar is possible due to chemical interactions between functional groups of adsorbents and cadmium cations.
The authors of [19] investigated the efficiency and extraction mechanisms of using biochar from chicken manure. The studies were carried out at temperatures of 25, 35 and 45 °C, and the obtained thermodynamic parameters confirmed the spontaneous and endothermic nature of adsorption at each temperature. Complexation and precipitation appeared to be the predominant mechanisms of adsorption on the studied biochar (92.4–98.8%), while the cation-exchange mechanism made a relatively small contribution to the adsorption of (1.2–7.6%).
Biochar obtained from rice husk (RHBC) and manure (DMBC) were proposed in [20] as sorbents for the simultaneous removal of lead, copper, zinc and cadmium from aqueous solutions. DMBC demonstrated higher adsorption efficiency than RHBC for all four metals. Structural analysis of the sorbents showed that the highest efficiency of DMBC was due to the possibility of the coprecipitation of metals with groups of and , which were present in the composition of the DMBC sorbent, in contrast to RHBC.
The authors of [21] studied the efficiency of biochar from manure modified with H2O2 and NaOH as an adsorbent for U (VI). Treatment with NaOH increased the specific surface area of the sorbent from three to six times. Biochar obtained by combustion at a medium-high temperature showed the highest sorption capacity.
The possibility of using biochar obtained from banana (OPb) and orange (Bp) peels by pyrolysis at a temperature of 800 °C was studied in [22]. It was found that the sorption capacity increased linearly with an increase in the initial concentration of in the solution to 340 and 212 mg/g for OPb and Bp, respectively.
The authors of [23] used biochar obtained by burning fragments of chicken bones at 600 °C X as an adsorbent for the purification of aqueous solutions from Pb (II). Among the studied sorbents, the most effective was obtained from the tibia. It was found that during desorption with 0.1 M HCl solution, 75–88% of lead was extracted into the solution; thus, the sorbent is suitable for repeated use.
The assessment of the sorption capacity of modified biochar based on peanut shells for the extraction of Ni (II) from aqueous solutions was carried out in [24]. Since ordinary biochar cannot effectively adsorb Ni (II), it was modified with and KOH. It was found that the nature of the process is spontaneous, endothermic and corresponds to the chemisorption type. It was determined, using the method of Fourier transform infrared spectroscopy, that complexation occurs due to the presence of amino and hydroxyl groups in the modified biocarbon.
In [25] the obtaining of hybrid activated carbon from coconut shells using microwave activation with potassium hydroxide, with the addition of polyether ketone, was described. The obtained porous sorbents were used to study the adsorption of methane. The interaction of carbon and methane was based on pore diffusion and partial film diffusion. The experimental data obtained under initial pH values of 8.0–9.9 correlated with the isothermal models of Freundlich and Langmuir.
The authors of [26] studied the sorption potential of activated carbon obtained from olive pits for the purification of olive mill wastewater. The biosorption by untreated olive pits and those treated with KOH and H3PO4 was studied. Biosorption is characterized by an exothermic effect and is accompanied by a decrease in entropy. The Gibbs energy increased with an increase in temperature from 303 to 320 K, which indicated a decrease in sorption capacity at higher temperatures.
According to an analytical review of the sorption characteristics of natural organic materials as well as thermally and chemically modified materials of natural origin, there are insufficient literature data on the sorption properties of biochar materials of animal origin.
While the use of biocarbon materials as organic fertilizers is not in doubt, their sorption properties for a whole class of organic and inorganic compounds have not been fully studied. The data considered in the literature review on materials utilized for the manufacture of biochar and the values of the sorption capacities for CO2 and metal ions are shown in Table 1 and Figure 1.
Table 1.
Values of sorption capacities for metal ions and CO2 for biochar made from waste materials.
Figure 1.
Sorption capacity of Cu, Cd and Pb for biochar made from organic materials.
The aim of this work was to study the sorption properties of “Ecochar”, an organic material of biological origin, obtained from fresh chicken manure. The pre-dried poultry manure was heated in an oxygen-deficient environment to produce syngas and solid residue. These solids were coal, which still contained minerals from the incoming raw materials, and were called “Ecochar”. Syngas is composed primarily of CO, and this was oxidized and burned to produce a hot air stream. The technological scheme is shown in Figure 2.
Figure 2.
Technological scheme for obtaining organic material at the poultry farm “ROSKAR”, Leningrad Oblast.
The sorption properties for a number of inorganic and organic substances (heavy metal ions Pb2+, Fe3+, Mn2+ and Hg2+; ketones, phenol and benzene) of the “Ecochar” material were the object of study of this work.
2. Materials and Methods
To determine the characteristics of organic material and the composition of the initial and equilibrium phases, the following methods of analysis were used: volumetric, complexometric, pH-metric, X-ray fluorescence (XRF) (PANalytical Epsilon 3), chromatographic (Thermo Trace GC Ultra, GCMS-2010 SE), spectrophotometric (Unico 2100), luminescence-photometric (Fluorate 02–3M (fluorometer)) and X-ray diffraction (Shimadzu XRD-7000). The thermal nitrogen desorption method was used for determining the specific surface area and pore sizes with the Quantachrome Nova 1000e automatic analyzer. Before analysis, the samples were preliminarily dried to constant weight at a temperature of 250 °C. Degassing was carried out for 10 h for each sample at a temperature of 210 °C under vacuum [27,28,29].
Experimental studies were carried out on a laboratory scale. When deriving dependencies, the propositions of the process system analysis were applied.
This study investigated the sorption of Pb2+, Fe3+, Mn2+, Hg2+ cations in the concentration range of 0.0082–0.3 mol/L by organic material from acidic solutions with pH value from 0.6÷ to 3 at 278, 298, 323 K using of iron (III) nitrate solution, mercury (II) nitrate solution, manganese (II) sulfate solution and lead nitrate solution.
The extraction degree α,% was calculated using Equation (1):
where C0, C∞ are the values of initial and equilibrium concentrations of metals, mol/L;
α = C0 − C∞∙C0∙100%,
The sorption capacity G, mol/kg was calculated using Equation (2):
where V is the volume of the solution, mL; msorb—mass of organic material, kg.
When constructing the isotherm of sorption, the value of the total capacity of the organic material was determined by the Langmuir Equation (3) using linear approximation.
where GMe is the sorption capacity of the metal, mol/kg; G∞—total capacity of organic material, mol/kg; K—equilibrium constant of the sorption process.
The values of the total dynamic capacity (TDC) were calculated using Equation (4):
where m—mass of organic material, g; C0 and Cn—initial and current metal concentrations at the column outlet, mol/L; Vn+1, Vn—solution volume, mL, corresponding to cerium concentration at the column outlet Cn+1 and Cn.
The method for determining the true density involved measuring the volume of distilled water displaced by a sample of test material from a pycnometer. The following Equation (5) was used to determine the true density:
where m1—empty pycnometer mass, g; m2—mass of pycnometer with sample, g; m3—mass of pycnometer with sample and water, g; m4—mass of pycnometer with water, g; ρaq—water density. The true density of the material was determined in parallel for two samples with an error of not more than 0.01 g/cm3 and calculated as the average of these determinations.
The phase contact was carried out using a thermostatically controlled GFL Shaking Incubator 3032 manufactured by LAUDA-GFL Gesellschaft für Labortechnik mbH, equipped with temperature and stirring rate controllers. The mixture of aqueous and solid phases was thermostated at specific temperatures with measure error within 2 °C and a constant shaking rate of 120 min−1. After the sorption process, the solid phase was separated from the aqueous phase by filtration through a paper filter.
To study sorption under dynamic conditions, a solution containing metal cations was passed through a sorption column loaded with a layer of organic material weighing 1–2 g at a constant rate of 2 mL/min. Portions of the solution, 10 mL each, were taken at the outlet of the column, after which they were analyzed for their metal contents and pH.
The physicochemical characteristics of the dry material and material washed with distilled water were determined. Due to the high dusting and adhesion of the test material particles, washing was necessary to prevent the formation of centers, which would have been inaccessible for sorption. Before testing, the material was sieved into two fractions with granule sizes of less than 1 mm and more than 1 mm. During the construction of sorption isotherms, the total capacity value of the organic material was determined by the Langmuir equation using a linear approximation.
3. Results and Discussion
3.1. Description of Organic Material and Analysis Results
3.1.1. Specific Surface Area and Porosity of Organic Material
To determine the porosity and specific surface area, four samples were used:
- unwashed material of two fractions: >1 mm and <1 mm;
- material of two fractions: >1 mm and <1 mm, pre-washed with distilled water to neutral pH.
As a result of the analysis, data were obtained for the specific surface area and pore volume, as presented in Table 2.
Table 2.
Values of porosity and specific surface area of organic material.
Based on the data obtained, it can be concluded that the studied material is not a highly porous organic material; for example, the specific surface areas of zeolites and activated carbons reached 400–500 m2/g. In terms of specific surface area, the sample under study corresponds to conventional carbon-containing materials, such as charcoal, coal or petroleum coke, with a specific surface area of 20–70 m2/g. However, it should be noted that preliminary washing of the organic material with water to a neutral pH value leads to an increase in the specific surface by a factor of 2.8–4.4 due to the activation of the surface, and, as a consequence, to an increase in the sorption efficiency.
3.1.2. Moisture Mass Fraction, Density and Fractional Composition of Organic Material
The moisture mass fraction was determined in a sample of the initial organic material that was not washed with water and not separated into fractions. The obtained average value of the moisture mass fraction was 3.5%.
To determine the true density, two samples of organic material were used: the original unwashed material and material that was washed with water to a neutral pH, then dried at room temperature.
According to the results obtained, the true density of the initial material was 2.277 g/cm3, and the density of the washed material was 2.007 g/cm3. The bulk density was 703.786 g/cm3.
Fractionation losses were 0.89 ± 0.04%. The total yield by fractions depending on the particle size is shown in Figure 3.
Figure 3.
Material size characteristics.
The concave-type curves in the graph show that small and medium particles predominate in both samples, namely, particles with a particle size of 2 to 0.25 mm. However, unwashed material is characterized by a high content of particles with a diameter of less than 0.125 mm, which leads to its high dusting [30].
3.1.3. Chemical, Elemental and Phase Composition
Investigations of the chemical composition of organic material were carried out to ascertain the content of total and inorganic carbon. As a result, the following data were obtained: the amount of total carbon was 26.5% and that of inorganic carbon was 3.54%. Other elements contained in the material are presented in Table 3.
Table 3.
Chemical composition of organic material.
The determination of the organic material phase composition was carried out using the X-ray diffraction method on an XRD 7000 diffractometer according to the standard procedure. The main crystalline phases in the organic material are CaCO3. KCl, Ca3(PO4)2.
3.2. Characteristics of Organic Material in Relation to Pb2+, Fe3+, Mn2+, Hg2+ ions
Manganese sorption studies were carried out at a pH ~ 2, since lower pH values lead to the destruction of organic material. The experimental results are presented in Table 4.
Table 4.
Results of manganese sorption by organic material at pH ~ 2.
With the decreasing of the aqueous phase volume, an increase in the manganese content was observed in equilibrium solutions. This result may have been caused by the manganese desorption from organic material (the initial manganese content in the samples was 0.52%).
The sorption isotherms are shown in Figure 4. The absolute term of the approximation equation (Figure 5) was used to calculate the value of the total static capacity:
Figure 4.
Isotherms of Mn2 + sorption on organic material at a phase ratio of S:L = 1: 100, phase contact time of 2 h, temperature of 25 °C, 120 rpm.
Figure 5.
Linear forms of Mn2+ sorption isotherms.
- for a fraction >1 mm, the value of manganese sorption was GMn = 0.2188 ± 0.0109 mol/kg, total static capacity was G∞ = 0.3049 ± 0.0153 mol/kg.
- for a fraction <1 mm, the value of manganese sorption was GMn = 0.2770 ± 0.0109 mol/kg, total static capacity was G∞ = 0.2961 ± 0.0153 mol/kg.
Sorption under dynamic conditions was studied on material with a particle size > 1 mm using solutions with a pH value from 1 to 2.
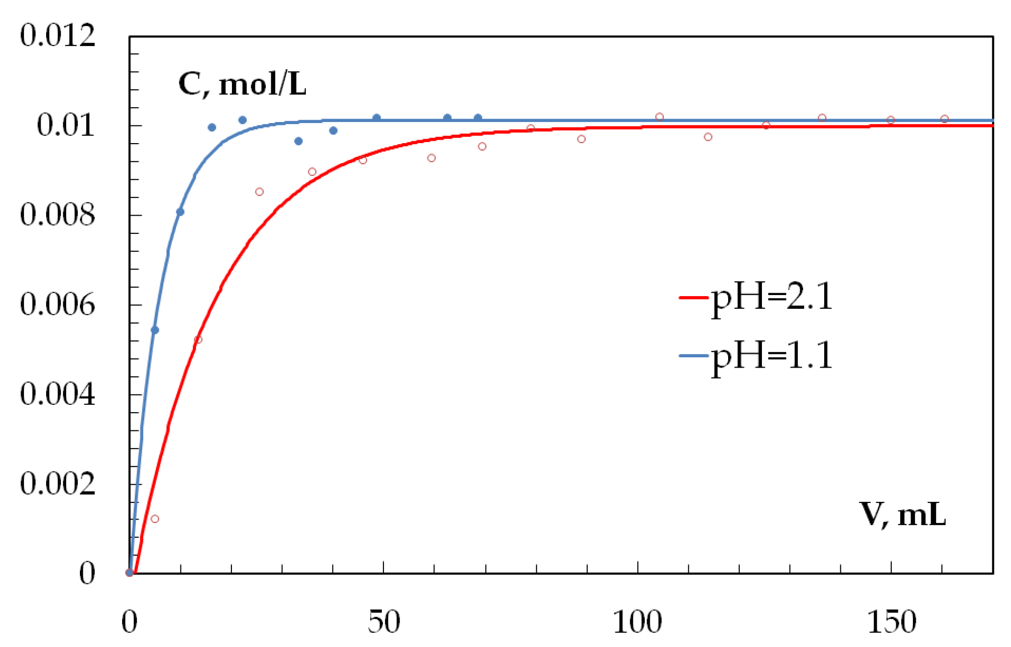
The elution curves are shown in Figure 6. The dependence of the pH change on the volume of the passed solution is shown in Figure 7.
Figure 6.
Elution curves of Mn2+ solution at different initial pH values.
Figure 7.
Dependence of the washing solution pH values after sorption.
The LSC (limiting sorption capacity) value of sample 1 was 0.0237 ± 0.0118 mol/kg, while the LSC of sample 2 reached 0.1923 ± 0.0096 mol/kg and satisfactorily converged with the value of the limiting static sorption of manganese (0.2188 ± 0.0109 mol/kg). Such a significant difference between the LSC values can be explained by the influence of the acidity of the medium, a low value of which led to the oxidation of carbon in the material composition and, as a consequence, to its destruction.
Sorption studies of mercury, iron and lead ions were carried out on pre-washed organic material. The phases ratio, pH values, initial and equilibrium concentrations of the solution are presented in Table 5 and Table 6.
Table 5.
Results of Pb2+ sorption by organic material.
Table 6.
Results of Fe3+ sorption by organic material.
Highly acidic solutions led to partial destruction of the test material, and lead and manganese cations formed poorly soluble complex compounds with the organic component of this material.
To perform the sorption extraction of mercury, solutions of mercury (II) nitrate were acidified with nitric acid to pH 0.5–0.8 to prevent mercury salt hydrolysis. The extremely low pH value prevented the sorption process under static conditions due to the decomposition of organic material. Therefore, the sorption capacity value was obtained only under dynamic conditions.
To study the sorption process under dynamic conditions, a sample weight of 2.0010 ± 0.0002 g of organic material with a fraction of >1 mm, and model solutions with a pH value of 1.7–1.9 and a metal concentration of 0.01–0.1 mol/L, were used.
Figure 8.
Results of Fe3+ sorption by organic material.
Figure 9.
Results of Hg2+ sorption by organic material.
Figure 10.
Results of Pb2+ sorption by organic material.
The LSC value for iron sorption was 0.4095 ± 0.0205 mol/kg, which was higher than the static capacity value at a phase ratio of 1:100 on material with a fraction size > 1 mm, 0.2548 ± 0.0127 mol/kg.
The LSC value for lead sorption was 0.9875 ± 0.0494 mol/kg, which was satisfactorily converged with static capacity value at a phase ratio of 1:100 on organic material with a fraction size > 1 mm, 1.3729 ± 0.0686 mol/kg.
Due to the precipitate formation that occurred during sorption, it can be concluded that the absorption of lead cations is evidently related to the mechanical retention of the precipitate (a poorly soluble compound) in the grains of organic material.
The LSC value for mercury ions was 0.3481 ± 0.0174 mol/kg. The absence of a precipitate in solutions at the column outlet was obviously associated with the mechanical sorption of an insoluble organic mercury compound formed under the influence of the acidic medium due to the specificity of the sorption under dynamic conditions, when the adsorbent and adsorbate were in a constant equilibrium with each other.
As a result of the study, the following parameters were obtained:
- The optimal pH value for the sorption of heavy metal cations was 1.5–3; at a pH below 1, the destruction of organic material occurred, and with an increase in pH above 3, hydrolysis of metals was observed.
- The phase contact time for the sorption process was 2 h, which was the time taken for the system to reach an equilibrium state.
- With the increasing of the temperature, an increase in the sorption capacity of organic material and in the degree of extraction was observed.
- When carrying out sorption with material using two fractions, >1 mm and <1 mm, precipitation was observed only when the <1 mm fraction was used. Thus, the recommended grain size of organic material for sorption is more than 1 mm.
- The value of sorption characteristics are presented in Table 7:
Table 7. Sorption characteristics of organic material in relation to metal cations.
3.3. Sorption Characteristics of Organic Material in Relation to Carbonyl Compounds
The optimal phase ratio was determined at a temperature of 25 ± 2 °C for 120 min using model solutions of acetone and cyclohexanone. To compare the sorption efficiency, both fractions, <1 mm and >1 mm, were used in the process of acetone sorption. The results are shown in Table 8 and Table 9.
Table 8.
Influence of the phase ratio on the sorption extraction of acetone.
Table 9.
Influence of the phase ratio on the sorption extraction of cyclohexanone.
According to the obtained results, the fraction size insignificantly affected the efficiency of the sorption; on the other hand, the use of a fraction >1 mm greatly simplified the filtration process. Thus, organic material with a particle size of >1 mm was used in the remainder of the study.
The highest value of sorption was observed when using the phase ratio L/S = 50/1. To determine the optimal phase contact time, model solutions of acetone and phenol were used (Figure 11).
Figure 11.
Sorption of acetone and phenol at different contact times at a temperature of 25 ± 2 °C; L/S = 50.
Within 60 min, a kinetic curve was obtained, from which the limit of the concentration–time dependence was determined. Thus, the optimal phase contact time was 60 min, and a further increase in the sorption time was deemed to be impractical.
To assess the static capacity of organic material, an acetone sorption isotherm was obtained, as shown in Figure 12. The organic material was washed to neutral pH before use. The adsorption process was described using the Langmuir equation (Figure 13).
Figure 12.
Results of acetone sorption by organic material.
Figure 13.
Linear form of the sorption isotherm of acetone on organic material.
Thus, the value of the static limiting sorption of acetone was Γ∞ = 2.1195 ± 0.1061 mol/kg. The adsorption equilibrium constant was 0.1815 ± 0.0117.
To determine the total dynamic capacity value, model solutions of acetone and cyclohexanone were passed through the layer of organic material that was placed in the column (Figure 14).
Figure 14.
Curves of the acetone and cyclohexanone sorption under dynamic conditions.
The obtained values of the total dynamic capacity corresponded to the values of LSC = 0.77 ± 0.0386 mol/kg (unwashed), 1.98 ± 0.099 mol/kg (washed) for acetone and LSC = 0.65 ± 0.06 mol/kg (washed) for cyclohexanone.
Thus, the total dynamic capacity of the washed organic material was significantly higher than that of the unwashed one. There was also a better sorption efficiency of acetone in comparison with cyclohexanone, which may have been caused by either the higher polarity of acetone or the small pore size of the organic material, either of which would have prevented the effective absorption of cyclohexanone.
3.4. Sorption Characteristics of Organic Material in Relation to Benzene and Phenol
To assess the static capacity of organic material, sorption isotherms were obtained, as shown in Figure 15. The linear forms of the Langmuir adsorption equations at the coordinates 1/Γ = f (1/C) are shown in Figure 16.
Figure 15.
Isotherms of the phenol and benzene sorption on organic material, L/S = 50, 25 C, 60 min.
Figure 16.
Linear form of the phenol and benzene sorption isotherm on organic material.
Using the obtained approximation equations, the parameters of adsorption equilibrium were calculated. Thus, the value of the static limiting sorption of phenol was Γ∞ = 0.133 ± 0.0028 mol/kg. The value of the static limiting sorption of benzene was Γ∞ = 0.1795 ± 0.002 mol/kg. The calculated constants of adsorption equilibrium were: 6.94 ± 0.31 for benzene and 4.92 ± 0.25 for phenol.
To determine the total dynamic capacity value, model solutions of phenol and benzene were passed through the layer of organic material, which was preliminarily washed to a neutral pH (Figure 17).
Figure 17.
Curves of the phenol and benzene sorption under dynamic conditions.
The obtained values of the total dynamic capacity corresponded to the values of LSC = 0.1159 ± 0.0059 mol/kg for phenol and LSC = 0.0927 ± 0.0046 mol/kg for benzene.
The study results showed high material sorption capacity values (under static conditions of more than 2 mol/kg) in relation to organic compounds, namely acetone (ketones). The lower capacitive characteristics of the material to phenols and benzenes are explained by the feature of the material, which contained about 30% organic carbon. The main components of this part of the sorbent were the degradation products of cellulose, amino acids and fiber, which were polar compounds such as esters, amides and aliphatic acids.
Phenols and benzenes, which have a lower dipole moment value, have a lower affinity for polar biomaterial; therefore, the capacity of these compounds was lower than that of carbonyl compounds.
4. Conclusions
The sorption properties of the reprocessing product of the fresh poultry manure, obtained from the “AO Ptitsefabrika Roskar”, were investigated in relation to organic and inorganic compounds: phenols, benzene, ketones, cations of lead, mercury, manganese and iron.
The specific surface area, pore size, moisture mass fraction, particle size distribution, working range of pH and temperature values are presented in Table 10.
Table 10.
Physical and chemical parameters of the investigated organic material (preliminary washed and not washed).
Samples with fractional compositions of less than 1 mm were characterized by large specific surface area values and, accordingly, smaller pore size values compared to samples with a fractional composition of more than 1 mm, in full accordance with the inversely proportional dependence of the linear particle sizes and specific surface area.
It should be noted that there was a significant difference in the specific surface area values of the preliminary washed material, which is explained, firstly, by the removal of dust, and, secondly, by the partial leaching of the samples by water, and, as a consequence, by an increase in active sorption sites on the solid surface.
The sorption characteristics of the washed material for metal cations, oil products and organic substances are presented in Table 11. Due to the high initial pH of the organic material, the determination of sorption values was not possible due to the formation of poorly soluble compounds with metal ions and organic substances. The pH value of the aqueous extract of the initial material after washing was over 12–13.
Table 11.
Sorption characteristics of the investigated organic material (preliminary washed) at a temperature of 25 ± 2 °C.
The maximum amount of a substance absorbed by a unit mass of the material by the time of equilibrium, which was reached under static conditions at constant temperature, converged with the amount of a substance absorbed by a unit mass of a sorbent under dynamic conditions.
The obtained values of the sorption capacity in relation to metal ions corresponded to the sorption capacity of conventional biocarbon materials (Table 1). The high sorption capacity value for lead ions is explained by the formation of poorly soluble organo-lead compounds with the studied material and, as a consequence, by an increase in the chemisorption effect of the lead salt retention in the material matrix, which was consistent with the literature data. The adsorption activities of phenol and benzene had a similar value and were considerably lower than those of ketones, which may have been due to the small pore size of the organic material. In addition, the higher the polarity difference between the solvent and the solid adsorbent, the better the adsorption of the dissolved substance. The better sorption of acetone compared to cyclohexanone may have been caused by the higher polarity of acetone.
Based on the results obtained, technical conditions were developed for the use of reprocessed organic waste-based products as sorption materials for households, and for industrial and technological wastewater purification from organic and inorganic components.
Author Contributions
Conceptualization, O.C. and T.L.; Data curation, O.C. and T.L.; Formal analysis, T.L.; Funding acquisition, O.C.; Investigation, V.S. and J.M.; Methodology, M.P.; Project administration, T.L.; Resources, O.C. and M.P.; Software, J.M.; Supervision, M.P.; Validation, O.C. and M.P.; Visualization, V.S. and J.M.; Writing—original draft, V.S. and J.M.; Writing—review and editing, O.C. and V.S. All authors have read and agreed to the published version of the manuscript.
Funding
This research received no external funding.
Institutional Review Board Statement
Not applicable.
Informed Consent Statement
Not applicable.
Acknowledgments
The authors express their gratitude and appreciation to the “OAO Ptitsefabrika Roskar” for the provided samples of the organic sorbent.
Conflicts of Interest
The authors declare no conflict of interest.
References
- Ilinova, A.; Romasheva, N.; Cherepovitsyn, A. CC(U)S Initiatives: Public Effects and “Combined Value” Performance. Resources 2021, 10, 61. [Google Scholar] [CrossRef]
- Matveeva, V.A.; Smirnov, Y.D.; Suchkov, D.V. Industrial processing of phosphogypsum into organomineral fertilizer. Environ. Geochem. Health 2021, 2, 2–13. [Google Scholar]
- Petrov, G.; Zotova, I.; Nikitina, T.; Fokina, S. Sorption Recovery of Platinum Metals from Production Solutions of Sulfate-Chloride Leaching of Chromite Wastes. Metals 2021, 11, 569. [Google Scholar] [CrossRef]
- Alekseenko, V.A.; Bech, J.; Alekseenko, A.V.; Shvydkaya, N.V.; Roca, N. Environmental impact of disposal of coal mining wastes on soils and plants in Rostov Oblast, Russia. J. Geochem. Explor. 2018, 184, 261–270. [Google Scholar] [CrossRef]
- Zubkova, O.; Alexeev, A.; Polyanskiy, A.; Karapetyan, K.; Kononchuk, O.; Reinmöller, M. Complex Processing of Saponite Waste from a Diamond-Mining Enterprise. Appl. Sci. 2021, 11, 6615. [Google Scholar] [CrossRef]
- Lebedev, A.B.; Utkov, V.A.; Kaygorodova, O.A.; Kadyrov, M.A. Use of dumped red mud of alumina industry at granulation of the molten sulfur-containing blast furnace slag | Utilização Da Lama Vermelha Da Indústria De Alumina Na Granulação Da Escória Fundida De Alto Forno Contendo Enxofre. Period. Tche Quim. 2019, 16, 837–845. [Google Scholar]
- Vasilyeva, M.; Kovshov, S.; Zambrano, J.; Zhemchuzhnikov, M. Effect of magnetic fields and fertilizers on grass and onion growth on technogenic soils. J. Water Land Dev. 2021, 49, 55–62. [Google Scholar]
- Nedosekin, A.O.; Rejshahrit, E.I.; Kozlovskij, A.N. Strategic approach to assessing economic sustainability objects of mineral resources sector of Russia. J. Min. Inst. 2019, 237, 354–360. [Google Scholar] [CrossRef]
- Yurak, V.; Dushin, A.; Mochalova, L. Vs sustainable development: Scenarios for the future. J. Min. Inst. 2020, 242, 242. [Google Scholar] [CrossRef]
- Kachor, O.L.; Sarapulova, G.I.; Bogdanov, A.V. Investigation of the possibility of immobilization of mobile forms of arsenic in technogenic soils. J. Min. Inst. 2019, 239, 596–602. [Google Scholar] [CrossRef]
- Sattar, M.S.; Shakoor, M.B.; Ali, S.; Rizwan, M.; Niazi, N.K.; Jilani, A. Comparative efficiency of peanut shell and peanut shell biochar for removal of arsenic from water. Environ. Sci. Pollut. Res. 2019, 26, 18624–18635. [Google Scholar] [CrossRef] [PubMed]
- Gao, J.; Liu, Y.; Li, X.; Yang, M.; Wang, J.; Chen, Y. A promising and cost-effective biochar adsorbent derived from jujube pit for the removal of Pb(II) from aqueous solution. Sci. Rep. 2020, 10, 7473. [Google Scholar] [CrossRef] [PubMed]
- Igalavithana, A.D.; Choi, S.W.; Shang, J.; Hanif, A.; Dissanayake, P.D.; Tsang, D.C.W.; Kwon, J.-H.; Lee, K.B.; Ok, Y.S. Carbon dioxide capture in biochar produced from pine sawdust and paper mill sludge: Effect of porous structure and surface chemistry. Sci. Total Environ. 2020, 739, 139845. [Google Scholar] [CrossRef] [PubMed]
- Teng, D.; Zhang, B.; Xu, G.; Wang, B.; Mao, K.; Wang, J.; Sun, J.; Feng, X.; Yang, Z.; Zhang, H. Efficient removal of Cd(II) from aqueous solution by pinecone biochar: Sorption performance and governing mechanisms. Environ. Pollut. 2020, 265, 115001. [Google Scholar] [CrossRef]
- Bandara, T.; Xu, J.; Potter, I.D.; Franks, A.; Chathurika, J.B.A.J.; Tang, C. Mechanisms for the removal of Cd(II) and Cu(II) from aqueous solution and mine water by biochars derived from agricultural wastes. Chemosphere 2020, 254, 126745. [Google Scholar] [CrossRef] [PubMed]
- Batool, S.; Idrees, M.; Hussain, Q.; Kong, J. Adsorption of copper (II) by using derived-farmyard and poultry manure biochars: Efficiency and mechanism. Chem. Phys. Lett. 2017, 689, 190–198. [Google Scholar] [CrossRef]
- Qi, X.; Tong, X.; Pan, W.; Zeng, Q.; You, S.; Shen, J. Recent advances in polysaccharide-based adsorbents for wastewater treatment. J. Clean. Prod. 2021, 315, 128221. [Google Scholar] [CrossRef]
- Idrees, M.; Batool, S.; Hussain, Q.; Ullah, H.; Al-Wabel, M.I.; Ahmad, M.; Kong, J. High-efficiency remediation of cadmium (Cd2+) from aqueous solution using poultry manure– and farmyard manure–derived biochars. Sep. Sci. Technol. 2016, 51, 2307–2317. [Google Scholar] [CrossRef]
- Huang, F.; Gao, L.-Y.; Deng, J.-H.; Chen, S.-H.; Cai, K.-Z. Quantitative contribution of Cd2+ adsorption mechanisms by chicken-manure-derived biochars. Environ. Sci. Pollut. Res. 2018, 25, 28322–28334. [Google Scholar] [CrossRef]
- Xu, X.; Cao, X.; Zhao, L. Comparison of rice husk- and dairy manure-derived biochars for simultaneously removing heavy metals from aqueous solutions: Role of mineral components in biochars. Chemosphere 2013, 92, 955–961. [Google Scholar] [CrossRef]
- Han, L.; Zhang, E.; Yang, Y.; Sun, K.; Fang, L. Highly efficient U(VI) removal by chemically modified hydrochar and pyrochar derived from animal manure. J. Clean. Prod. 2020, 264, 121542. [Google Scholar] [CrossRef]
- Amin, M.T.; Alazba, A.A.; Shafiq, M. Comparative Sorption of Nickel from an Aqueous Solution Using Biochar Derived from Banana and Orange Peel Using a Batch System: Kinetic and Isotherm Models. Arab. J. Sci. Eng. 2019, 44, 10105–10116. [Google Scholar] [CrossRef]
- Park, J.H.; Wang, J.J.; Kim, S.H.; Kang, S.W.; Cho, J.S.; Delaune, R.D.; Ok, Y.S.; Seo, D.C. Lead sorption characteristics of various chicken bone part-derived chars. Environ. Geochem. Health 2019, 41, 1675–1685. [Google Scholar] [CrossRef]
- An, Q.; Jiang, Y.-Q.; Nan, H.-Y.; Yu, Y.; Jiang, J.-N. Unraveling sorption of nickel from aqueous solution by KMnO4 and KOH-modified peanut shell biochar: Implicit mechanism. Chemosphere 2019, 214, 846–854. [Google Scholar] [CrossRef]
- Nasri, N.S.; Sidik, H.U.; Zaini, M.A.A.; Rashid, N.M.; Majid, Z.A.; Chelliapan, S.; Kumar, T.; Zain, H.M.; Mohsin, R.; Zaini, N. Kinetic Equilibrium and Isotherm Modeling Adsorbed Methane Assessment on Synthesized PEEK-Porous Sorbent Carbon of Sustainable Coconut Shell Kernel. Chem. Eng. Trans. 2019, 72, 247–252. [Google Scholar]
- Yassine, W.; Zyade, S.; Akazdam, S.; Essadki, A.; Gourich, B.; Left, D.B. A study of olive mill waste water removal by a biosorbent prepared by olive stones. Mediterr. J. Chem. 2019, 8, 420–434. [Google Scholar] [CrossRef][Green Version]
- Povarov, V.G.; Kopylova, T.N.; Sinyakova, M.A.; Rudko, V.A. Quantitative Determination of Trace Heavy Metals and Selected Rock-Forming Elements in Porous Carbon Materials by the X-ray Fluorescence Method. ACS Omega 2021, 6, 24595–24601. [Google Scholar] [CrossRef]
- Alexandrova, T.; Afanasova, A.; Nikolaeva, N. Low-Grade Structures of Noble and Non-Ferrous Metals and Methods of Their Selective Separation. Sustain. Dev. Mt. Territ. 2021, 13, 161–169. [Google Scholar] [CrossRef]
- Danilov, A.; Pivovarova, I.; Krotova, S. Geostatistical Analysis Methods for Estimation of Environmental Data Homogeneity. Sci. World J. 2018, 2018, 1–7. [Google Scholar] [CrossRef]
- Petrov, G.V.; Boduen, A.Y.; Fokina, S.B.; Popov, A.A. Chemical concentration of steelmaking dusts. Chernye Met. 2016, 10, 65–68. [Google Scholar]
Publisher’s Note: MDPI stays neutral with regard to jurisdictional claims in published maps and institutional affiliations. |
© 2021 by the authors. Licensee MDPI, Basel, Switzerland. This article is an open access article distributed under the terms and conditions of the Creative Commons Attribution (CC BY) license (https://creativecommons.org/licenses/by/4.0/).
















