Sign in to use this feature.

Years

Between: -

Subjects

remove_circle_outline
remove_circle_outline
remove_circle_outline
remove_circle_outline
remove_circle_outline
remove_circle_outline
remove_circle_outline
remove_circle_outline
remove_circle_outline

Journals

remove_circle_outline
remove_circle_outline
remove_circle_outline
remove_circle_outline
remove_circle_outline
remove_circle_outline
remove_circle_outline
remove_circle_outline
remove_circle_outline
remove_circle_outline
remove_circle_outline
remove_circle_outline
remove_circle_outline

Article Types

Countries / Regions

remove_circle_outline
remove_circle_outline
remove_circle_outline
remove_circle_outline

Search Results (834)

Search Parameters:
Keywords = propensity score matching difference-in-differences method

Order results
Result details
Results per page
Select all
Export citation of selected articles as:
10 pages, 530 KB  
Article
Valve-Sparing Versus Composite Graft Aortic Root Replacement in Acute Type A Aortic Dissection with Standardized Hemiarch Repair: A Propensity Score Matching Analysis
by Mohammed Morjan, Tong Li, Luis J. Vallejo Castano, Carlos A. Mestres, Amin Thwairan, Freya S. Jenkins, Hannan Dalyanoglu and Artur Lichtenberg
J. Cardiovasc. Dev. Dis. 2026, 13(3), 116; https://doi.org/10.3390/jcdd13030116 - 4 Mar 2026
Abstract
Objectives: The aim of this study was to compare the short- and long-term results of patients who had received aortic valve-sparing reimplantation (David I procedure) vs. aortic root replacement using a composite graft combined with a hemiarch replacement for acute type A aortic [...] Read more.
Objectives: The aim of this study was to compare the short- and long-term results of patients who had received aortic valve-sparing reimplantation (David I procedure) vs. aortic root replacement using a composite graft combined with a hemiarch replacement for acute type A aortic dissection (ATAAD) in a propensity score matching analysis. Methods: In this retrospective study we compared the outcomes before and after propensity score matching of patients who underwent emergency surgical repair for ATAAD requiring replacement of the aortic hemiarch with replacement of the aortic root between 2001 and 2023 at our institute. The 154 patients were divided into two groups: the first group consisted of patients undergoing David (n = 59), and the second group of patients undergoing Bentall (n = 95) procedures combined with an aortic hemiarch replacement. To reduce the confounding impact of pre-operative variables in this non-randomized study, 1:1 propensity score matching using the Nearest-Neighbour Matching algorithm was used. Results: Patients in the David plus Hemiarch group were significantly younger (62.16 ± 12.35 vs. 55.55 ± 10.80, p = 0.001). After the propensity score matching there were no significant differences between the two groups regarding intra-operative variables and hospital outcomes. In-hospital death was 15% (n = 6) in the David plus Hemiarch group compared to 24% (n = 10) in the Bentall plus Hemiarch group (15% vs. 24%, p = 0.40). Operation time was also similar between the two groups, being 402 and 384 min, respectively. Survival analyses also did not show any difference in long-term survival between both groups. Conclusions: When a standardized hemiarch replacement was used, no significant differences in short- and long-term outcomes were observed between a valve-sparing procedure and composite graft replacement in patients undergoing surgical repair for ATAAD. Surgeons should opt for the surgical strategy they are most comfortable with. This study represents one of the few analyses comparing the David and Bentall techniques in ATAAD patients undergoing standardized hemiarch replacement. Despite its retrospective nature, it provides clinically relevant insights for surgical decision-making in emergency settings. Full article
(This article belongs to the Special Issue Aortic Surgery—Back to the Roots and Looking to the Future)
Show Figures

Figure 1

11 pages, 969 KB  
Article
Prognostic Impact of Untreated Chronic Coronary Artery Obstruction After Surgery for Aortic Regurgitation
by Xin Li, Vito Domenico Bruno, Yi Jiang, Yunxing Xue and Dongjin Wang
J. Cardiovasc. Dev. Dis. 2026, 13(3), 115; https://doi.org/10.3390/jcdd13030115 - 3 Mar 2026
Abstract
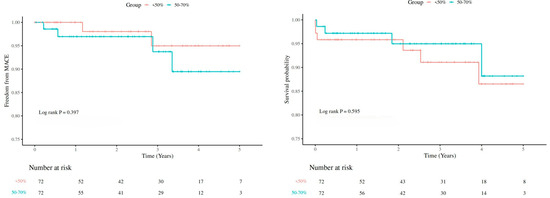
Background: The optimal management strategy for 50–70% chronic coronary artery stenosis in patients undergoing aortic valve surgery for aortic regurgitation (AR) remains controversial. This study evaluates the prognostic impact of chronic coronary obstruction severity on surgical outcomes and mid-term survival. Methods: This retrospective [...] Read more.
Background: The optimal management strategy for 50–70% chronic coronary artery stenosis in patients undergoing aortic valve surgery for aortic regurgitation (AR) remains controversial. This study evaluates the prognostic impact of chronic coronary obstruction severity on surgical outcomes and mid-term survival. Methods: This retrospective cohort study included 717 patients undergoing aortic valve surgery for AR, grouped by coronary stenosis into <50% (n = 641) and 50–70% (n = 76). Following 1:1 propensity score matching (72 patients per group), the primary outcome of major adverse cardiovascular events (MACE) and the secondary outcome of all-cause death were compared. Results: No intergroup differences emerged in perioperative mortality (1.32% vs. 1.56%, p = 1.000) or complication rate. With a median follow-up of 2.53 years, 50–70% coronary obstruction does not increase MACE (HR = 2.050; 95% CI 0.375–11.197; log-rank p = 0.397) and all-cause mortality (HR = 0.710; 95% CI 0.200–2.522; log-rank p = 0.595). Similar results were obtained in the competing risk regression and multivariable analyses. Conclusions: In patients with AR, 50–70% chronic coronary obstruction does not increase perioperative complications, MACE, and all-cause mortality. Full article
Show Figures

Graphical abstract

14 pages, 505 KB  
Article
Transcatheter Versus Sutureless Aortic Valve Replacement: A Propensity-Matched Single-Center Cohort Study
by Nikoleta Stanitsa, Emmanouel Tempelis, Ilias Samiotis, Dimitris Oikonomou, Konstantinos Triantafyllou, George Lazopoulos, Periklis Tomos and Panagiotis Dedeilias
Medicina 2026, 62(3), 476; https://doi.org/10.3390/medicina62030476 - 3 Mar 2026
Viewed by 52
Abstract
Background and Objectives: Over the past decade, transcatheter aortic valve replacement (TAVI) has evolved from a treatment for inoperable patients to an established option across all risk categories. In parallel, the Perceval sutureless valve has demonstrated safety and efficacy especially for minimally [...] Read more.
Background and Objectives: Over the past decade, transcatheter aortic valve replacement (TAVI) has evolved from a treatment for inoperable patients to an established option across all risk categories. In parallel, the Perceval sutureless valve has demonstrated safety and efficacy especially for minimally invasive surgical aortic valve replacement (AVR). Despite the advances of both TAVI and Perceval, robust long-term data and clear patient selection criteria are still lacking. This retrospective single-center study reports the outcomes of patients undergoing isolated AVR with the Perceval sutureless valve or with TAVI. Materials and Methods: We retrospectively reviewed consecutive patients undergoing isolated AVR at our institution between April 2013 and December 2024. Of 1006 eligible patients (424 TAVI; 582 Perceval), propensity score matching was performed for age, sex, EuroSCORE II, body surface area, and comorbidities, yielding 197 matched pairs. Primary endpoints were all-cause and cardiovascular mortality. Secondary endpoints included acute kidney injury, permanent pacemaker implantation, stroke, pericardial effusion, ICU stay, and overall hospital stay. Clinical and echocardiographic follow-up was obtained by medical-record review and routine echocardiography, with an additional prospective clinical and echocardiographic evaluation at 6–12 months. Results: Postprocedural paravalvular leak was significantly more frequent after TAVI than after Perceval AVR (23.4% vs. 2.5%; p < 0.001). At 6–12 months, TAVI was associated with greater aortic regurgitation and higher rates of para- and intra-prosthetic leak (both p < 0.001) and higher mean transvalvular gradients, particularly in small and medium valve sizes. ICU and overall hospital stay were longer after Perceval implantation (both p < 0.001). New permanent pacemaker implantation was numerically higher after TAVI (11.2% vs. 5.6%; p = 0.063). Early mortality was similar; however, 1-year mortality was higher after TAVI (16.2% vs. 9.1%; p = 0.045), and Kaplan–Meier analysis demonstrated better overall survival with Perceval (p < 0.001), while cardiovascular survival did not differ significantly (p = 0.851). Conclusions: Our study underscores the importance of meticulous patient selection when choosing between TAVI and Perceval. Perceval implantation was associated with better long-term overall survival than TAVI in the propensity-matched cohort. Paravalvular leaks were more frequent after TAVI and associated with poorer survival. Both approaches achieve excellent outcomes; however, differences in long-term survival and valve performance highlight the need for a personalized treatment strategy guided by a multidisciplinary heart team. Full article
Show Figures

Figure 1

15 pages, 2826 KB  
Article
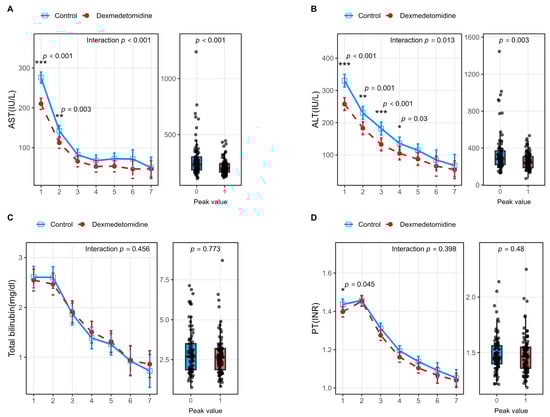
Effect of Intraoperative Dexmedetomidine Use on Postoperative Liver Function and Graft Outcomes in Laparoscopic Living Donor Hepatectomy: A Propensity Score–Matched Study
by Yan Zhen Jin, Hye-Mee Kwon, Kyoung-Sun Kim, Shi-Yeun Lee, In-Gu Jun, Jun-Gol Song and Gyu-Sam Hwang
J. Clin. Med. 2026, 15(5), 1906; https://doi.org/10.3390/jcm15051906 - 2 Mar 2026
Viewed by 150
Abstract
Background/Objectives: Laparoscopic living donor hepatectomy may compromise hepatic microcirculation and exacerbate ischemia–reperfusion injury. Evidence regarding the effects of dexmedetomidine on donor liver injury and graft outcomes in laparoscopic living donor liver transplantation (LDLT) remains limited. Methods: We conducted a retrospective cohort study of [...] Read more.
Background/Objectives: Laparoscopic living donor hepatectomy may compromise hepatic microcirculation and exacerbate ischemia–reperfusion injury. Evidence regarding the effects of dexmedetomidine on donor liver injury and graft outcomes in laparoscopic living donor liver transplantation (LDLT) remains limited. Methods: We conducted a retrospective cohort study of adult donor–recipient pairs undergoing purely laparoscopic living donor hepatectomy with the Pringle maneuver, categorized by intraoperative dexmedetomidine administration. Primary outcomes were postoperative donor liver function and lactate dynamics. Secondary outcomes included recipient postoperative liver function, perioperative lactate dynamics, early allograft dysfunction (EAD), and graft failure. A 1:1 propensity score matching was performed, and longitudinal laboratory trends were analyzed using linear mixed-effects models. Results: Among 395 donor–recipient pairs, 168 matched pairs (84 per group) were analyzed after PSM. Donors receiving dexmedetomidine had significantly lower postoperative peak aspartate aminotransferase (AST) and alanine aminotransferase (ALT) levels (both p < 0.01), with significant group-by-time interactions (AST p < 0.001; ALT p = 0.013). Lactate trajectories differed significantly between groups in both donors and recipients (p for interaction < 0.001). In recipients, there were no significant differences between the two groups in EAD (2.4% vs. 8.3%; OR, 0.31; 95% CI, 0.07–1.35; p = 0.168) and one-year graft survival (1.2% vs. 4.8%; HR, 0.36; 95% CI, 0.04–7.20; p = 0.251). Conclusions: Intraoperative dexmedetomidine administration in living liver donors was associated with reduced biochemical evidence of hepatocellular injury and improved perioperative metabolic profiles. These findings suggest a potential donor-level protective effect without demonstrable early clinical benefit in recipients, supporting the need for prospective studies to clarify its clinical significance. Full article
(This article belongs to the Special Issue Anesthesia and Perioperative Management of Organ Transplants)
Show Figures

Figure 1

13 pages, 751 KB  
Article
Time-of-Day-Dependent Post-Induction Hypotension and Personalized Hemodynamic Management in Emergency Spine Surgery: A Retrospective Pre–Post Cohort Study
by Cheol Lee, Eunsung Park, Jina Kim and Kwangjin Lee
Medicina 2026, 62(3), 473; https://doi.org/10.3390/medicina62030473 - 2 Mar 2026
Viewed by 99
Abstract
Background and Objectives: Post-induction hypotension (PIH) is common in emergency spine surgery and may vary by time of day. We evaluated whether a personalized hemodynamic management (PHM) bundle was associated with reduced PIH and hypotension burden. Materials and Methods: We conducted [...] Read more.
Background and Objectives: Post-induction hypotension (PIH) is common in emergency spine surgery and may vary by time of day. We evaluated whether a personalized hemodynamic management (PHM) bundle was associated with reduced PIH and hypotension burden. Materials and Methods: We conducted a single-center retrospective pre–post cohort study of adults undergoing emergency decompressive or stabilizing spine surgery under general anesthesia. The PHM bundle included documentation of an individualized pre-induction MAP target (default 65 mmHg; higher for selected high-risk phenotypes), dynamic assessment of fluid responsiveness, and proactive vasopressor use (norepinephrine initiated at induction in prespecified high-risk patients), with continuous BP trajectory monitoring. PIH was defined as mean arterial pressure (MAP) < 65 mmHg or a ≥30% decrease from pre-induction MAP within 20 min. We used 1:1 propensity score matching (caliper 0.2) and provider-clustered logistic regression in the matched cohort. Results: Among 312 eligible patients (usual care n = 200; PHM n = 112), PIH varied by time of day, with the highest incidence in morning cases (46.2%; p = 0.041). After matching, 224 patients (112 per group) were analyzed. PHM was associated with lower PIH (43.8% vs. 33.0%; adjusted odds ratio 0.62; 95% CI: 0.41–0.94; p = 0.024). PHM reduced time-weighted average (TWA) MAP below target (5.7 ± 4.2 vs. 3.2 ± 3.6 mmHg; mean difference (MD) −2.3 mmHg; 95% CI −3.3 to −1.3; p = 0.001) and area under MAP < 65 mmHg (ratio 0.62; 95% CI 0.50–0.78; p < 0.001). Norepinephrine-equivalent dose was higher (Δ + 20 μg; p = 0.005) while rescue phenylephrine boluses were fewer (Δ − 1; p < 0.001); crystalloid volume was similar (p = 0.151). Conclusions: In emergency spine surgery, PIH showed time-of-day variation, and PHM implementation was associated with reduced PIH and hypotension burden. Full article
(This article belongs to the Section Intensive Care/ Anesthesiology)
Show Figures

Figure 1

21 pages, 1630 KB  
Article
An Infant Formula with Partially Hydrolyzed Whey and Intact Protein Demonstrates Adequate Growth and Safety: A 6-Month Randomized, Triple-Blind, Controlled Trial
by Qianqian Shen, Hua Jiang, Shuai Mao, Sha Luo, Yanjie Hao, Wenxin Liang, Tingchao He, Lotte Neergaard Jacobsen, Nan Sheng, Jing Yin, Xiaoying Feng, Xiaojiang Jia, Yvan Vandenplas and Yumei Zhang
Nutrients 2026, 18(5), 770; https://doi.org/10.3390/nu18050770 - 26 Feb 2026
Viewed by 247
Abstract
Background/Objectives: Evidence suggests that partially hydrolyzed whey protein promotes appropriate infant growth; however, research on its long-term effects, especially in Asia, remains limited. This study set out to evaluate the effects of an infant formula containing partially hydrolyzed whey and intact protein on [...] Read more.
Background/Objectives: Evidence suggests that partially hydrolyzed whey protein promotes appropriate infant growth; however, research on its long-term effects, especially in Asia, remains limited. This study set out to evaluate the effects of an infant formula containing partially hydrolyzed whey and intact protein on infant growth and development. Methods: This multicenter, triple-blind, randomized non-inferiority trial enrolled healthy full-term infants (≤14 days old). Participants were randomized (1:1) to receive pHF (n = 78) or SF (n = 70) until 6 months of age, with propensity score-matched exclusively breastfed (BF) infants (n = 70) serving as the reference. The primary outcome was daily weight gain. Linear mixed models assessed the association between feeding type and WHO z-scores over time. Results: Over 6 months, the adjusted mean (SE) daily weight gain (g) was 26.4 (1.27) g/day in BF, 26.0 (1.19) g/day in pHF, and 25.3 (1.27) g/day in the SF group. The adjusted mean difference between pHF and SF was 0.64 g/day (95%CI: −1.55, 2.83), confirming non-inferiority. Growth parameters were comparable between pHF and SF, with WHO z-scores remaining within ±1 SD of reference standards. Compared with pHF, SF was associated with a slower increase in length-for-age z score (LAZ). While there was no difference between the pHF and BF groups, WAZ increased significantly less in SF vs. BF [−0.34 (95%CI: −0.58, −0.10), p = 0.003]. Gastrointestinal disorders occurred more frequently in the SF group than in the BF group, with no significant difference between the pHF and BF groups. Conclusions: An infant formula containing partially hydrolyzed whey and intact protein supported adequate growth and was well tolerated during the first six months of life, with growth trajectories comparable to those of breastfed infants. Full article
Show Figures

Figure 1

18 pages, 1968 KB  
Article
Association Between Body Mass Index and Clinical Outcomes of CDK4/6 Inhibitors in HR+/HER2− Metastatic Breast Cancer: A Real-World Cohort Study
by Seval Orman, Miray Aydoğan, Nisanur Sarıyar Busery, Sedat Yıldırım, Hacer Şahika Yıldız, Hamit Bal, Utku Dönem Gündoğdu, Seval Ay Ersoy, Deniz Işık, Hatice Odabaş and Nedim Turan
J. Clin. Med. 2026, 15(4), 1671; https://doi.org/10.3390/jcm15041671 - 23 Feb 2026
Viewed by 292
Abstract
Background: Body mass index (BMI) has been widely investigated as a potential prognostic factor in breast cancer; however, its clinical relevance in patients with hormone receptor-positive/human epidermal growth factor receptor 2-negative (HR+/HER2−) metastatic breast cancer treated with CDK4/6 inhibitors remains controversial, particularly in [...] Read more.
Background: Body mass index (BMI) has been widely investigated as a potential prognostic factor in breast cancer; however, its clinical relevance in patients with hormone receptor-positive/human epidermal growth factor receptor 2-negative (HR+/HER2−) metastatic breast cancer treated with CDK4/6 inhibitors remains controversial, particularly in contemporary real-world settings. This study aimed to evaluate the association between baseline BMI and clinical outcomes, including survival and treatment-related toxicity, in a real-world cohort. Methods: This single-centre retrospective observational cohort study included patients with HR+/HER2− metastatic breast cancer treated with endocrine therapy and a CDK4/6 inhibitor (palbociclib or ribociclib) in the metastatic setting between January 2018 and May 2025. Patients were categorised by baseline BMI (<25 vs. ≥25 kg/m2). Progression-free survival (PFS) and overall survival (OS) were assessed using the Kaplan–Meier method and Cox proportional hazards models. To minimise confounding, propensity score matching (PSM) with a 1:3 nearest-neighbour algorithm was performed. Non-linear associations between continuous BMI and survival outcomes were explored using restricted cubic spline analyses. Treatment-related adverse events were evaluated according to CTCAE v5.0. Results: A total of 456 patients were included; 321 (70.4%) had a BMI ≥ 25 kg/m2, and 135 (29.6%) had a BMI < 25 kg/m2. Propensity score matching produced a balanced cohort of 220 patients. The reduction in sample size after matching reflects the need to achieve close baseline comparability between groups. In the matched cohort, no statistically significant differences in PFS (log-rank p = 0.55) or OS (log-rank p = 0.31) were observed across BMI categories. BMI was not an independent predictor of PFS or OS in multivariable analyses. However, restricted cubic spline modelling revealed a non-linear relationship between continuous BMI and survival outcomes, with increased risk at extreme BMI values, underscoring the limitations of dichotomous BMI categorisation. Conclusions: In this real-world cohort of patients with HR+/HER2− metastatic breast cancer treated with CDK4/6 inhibitors, dichotomised BMI categories were not independently associated with survival outcomes. However, modelling BMI as a continuous variable revealed a non-linear (U-shaped) relationship, with increased risk at both the low and high ends of the BMI distribution. These findings suggest that the prognostic impact of BMI is non-linear and may be obscured by simple dichotomous categorisation. Full article
(This article belongs to the Section Oncology)
Show Figures

Figure 1

11 pages, 1001 KB  
Article
The Left Axillary Artery as an Alternative Inflow Source in Minimally Invasive Coronary Artery Bypass Grafting: Safety, Feasibility, and Mid-Term Outcomes
by Jian Song, Tong Ding, Rui Li, Yichen Gong, Ruitao Zhang, Yuanhao Fu, Luyu Meng, Song Wu, Zhongqi Cui, Ya Wu, Chen Yang, Ming Cui and Yunpeng Ling
J. Cardiovasc. Dev. Dis. 2026, 13(2), 101; https://doi.org/10.3390/jcdd13020101 - 21 Feb 2026
Viewed by 192
Abstract
Objective: The objective of this study is to evaluate the safety, feasibility, and mid-term outcomes of using the left axillary artery (AXA) as an alternative inflow source for the proximal anastomosis of the saphenous vein graft (SVG) in MICS-CABG, focusing on intraoperative graft [...] Read more.
Objective: The objective of this study is to evaluate the safety, feasibility, and mid-term outcomes of using the left axillary artery (AXA) as an alternative inflow source for the proximal anastomosis of the saphenous vein graft (SVG) in MICS-CABG, focusing on intraoperative graft haemodynamics, early patency, and clinical outcomes. Methods: We retrospectively analyzed consecutive patients who underwent MICS-CABG between April 2020 and August 2025 at a single center. Patients were divided into two groups based on the inflow source: the ascending aorta (n = 292) or the left axillary artery (n = 90). After propensity score matching, 80 matched pairs were analyzed. Intraoperative graft haemodynamics were assessed. Early graft patency was evaluated using coronary angiography or CT angiography. Mid-term outcomes, including overall survival and major adverse cardiac and cerebrovascular events (MACCEs), were compared between groups. Results: Both groups demonstrated comparable intraoperative hemodynamic performance. The AXA group demonstrated an early graft occlusion rate comparable to that of the AOR group (1.32% vs. 3.16%, RR = 0.42, 95% CI = 0.08–2.11, and p = 0.45). Overall survival (93.2% vs. 100%, p = 0.06) and the MACCE-free metric (91.9% vs. 92.1%, p = 0.83) showed no significant difference between groups. Conclusions: The left axillary artery is a safe and feasible alternative inflow source in MICS-CABG. This approach provides acceptable intraoperative flow dynamics, early patency, and mid-term outcomes to conventional ascending aortic inflow. Full article
(This article belongs to the Special Issue Coronary Artery Bypasses: Techniques, Outcomes, and Complications)
Show Figures

Figure 1

11 pages, 472 KB  
Article
Association Between Medical Cannabis Use and Substance Use Disorder in Patients with Dysuria: A Propensity-Score Matched Cohort Study Using Federated Network of Global Real-World Data
by Muhammed A. M. Hammad, Laith E. Baqain, Mohammed Shahait and Gamal M. Ghoniem
Soc. Int. Urol. J. 2026, 7(1), 13; https://doi.org/10.3390/siuj7010013 - 17 Feb 2026
Viewed by 223
Abstract
Background/Objectives: To evaluate whether medical cannabis (MC) use following dysuria diagnosis is associated with increased risk of developing substance use disorder (SUD), given rising cannabis prescriptions for urologic symptoms and concerns about long-term consequences. Methods: We conducted a retrospective cohort study using [...] Read more.
Background/Objectives: To evaluate whether medical cannabis (MC) use following dysuria diagnosis is associated with increased risk of developing substance use disorder (SUD), given rising cannabis prescriptions for urologic symptoms and concerns about long-term consequences. Methods: We conducted a retrospective cohort study using the TriNetX Research Network, a federated electronic health record database with over 120 million patients. Adult patients newly diagnosed with dysuria between 2003 and 2024 were identified and stratified by subsequent cannabis exposure. MC users were defined by a cannabis-related diagnostic code within 90 days of dysuria diagnosis. Propensity score matching (PSM) was performed 1:1 by age, sex, and race. The primary outcome was a new diagnosis of SUD (cannabis, opioid, or cocaine use disorders) within 12 months. Secondary analysis included Kaplan–Meier (KM) survival estimates over 5 years. Risk ratios (RR), odds ratios (OR), and hazard ratios (HR) were calculated. OR and RR estimated the likelihood of SUD within 12 months, and HR reflected relative hazard over 5 years. Results: After excluding patients with prior SUD, the final sample included 60,544 MC patients and 98,715 general dysuria (GD) patients. The MC group had a significantly higher incidence of new SUD diagnoses (11.13%) than the GD group (2.28%), yielding a risk difference of −8.85% (95% CI: −9.11 to −8.58; p < 0.0001), relative risk 0.205, and OR 0.186. KM analysis showed lower SUD-free survival in MC (80.96%) versus GD (96.35%; log-rank p < 0.0001). MC exposure was associated with nearly fivefold increased odds of SUD within 12 months (OR = 0.186) and sixfold higher hazard over 5 years (HR = 0.163). Conclusions: Medical cannabis use after dysuria is linked to markedly increased risk and earlier onset of SUD. Careful patient selection, counseling, and monitoring are essential when prescribing MC for urologic symptoms. Full article
Show Figures

Figure 1

12 pages, 873 KB  
Article
Comparative Effectiveness and Safety of Denosumab Versus Bisphosphonates in Elderly Patients with Cancer Bone Metastases: A Target Trial Emulation Study
by Che-Wei Liu, Shun-Neng Hsu, Shao-Hsuan Chang, Wei-Cheng Chang, Chun-Liang Hsu, Hsin-Yu Chen, Po-Huang Chen and Cho-Hao Lee
Life 2026, 16(2), 346; https://doi.org/10.3390/life16020346 - 17 Feb 2026
Viewed by 317
Abstract
Objective: Bone-modifying agents (BMA) are central to the prevention of skeletal-related events (SREs) in patients with cancer bone metastases, yet evidence guiding agent selection in very old patients remains limited. This study aimed to compare the effectiveness and safety of Denosumab versus bisphosphonates [...] Read more.
Objective: Bone-modifying agents (BMA) are central to the prevention of skeletal-related events (SREs) in patients with cancer bone metastases, yet evidence guiding agent selection in very old patients remains limited. This study aimed to compare the effectiveness and safety of Denosumab versus bisphosphonates in patients aged ≥75 years with solid tumour-related bone metastases using a target trial emulation framework. Methods: We conducted a retrospective cohort study using the TriNetX Global Collaborative Network to emulate a hypothetical randomised trial. Patients aged ≥75 years with solid tumour-related bone metastases initiating Denosumab or bisphosphonates were included. After 1:1 propensity score matching (PSM), 10,662 patients were analysed in each treatment group. The primary outcome was time to first SRE. Secondary outcomes included individual SRE components, all-cause mortality, and safety events. Results: Among 21,324 matched patients (mean age, 75.6 years), bisphosphonate use was associated with a higher risk of SREs compared with Denosumab (hazard ratio [HR], 1.15; 95% CI, 1.06–1.25). The excess risk was driven by pathological fractures (HR, 1.28; 95% CI, 1.10–1.49), whereas other SRE components did not differ significantly. All-cause mortality was higher among bisphosphonate users (HR, 1.41; 95% CI, 1.33–1.49, p < 0.001). Hypocalcaemia occurred more frequently with Denosumab (5.7% vs. 2.4%), while risks of acute kidney injury and end-stage renal disease (ESRD) were similar. Findings were consistent across sensitivity and subgroup analyses. Conclusions: In patients aged ≥75 years with solid tumour-related bone metastases, Denosumab was associated with lower risks of skeletal-related events—particularly pathological fractures—and reduced all-cause mortality compared with bisphosphonates. These results extend randomised trial evidence to a clinically vulnerable population and support Denosumab as a preferred BMA in older adults. Full article
(This article belongs to the Special Issue Contemporary Therapeutic Strategies for Solid Tumors)
Show Figures

Figure 1

13 pages, 409 KB  
Article
Factors Associated with GLP-1 Receptor Agonist Use in Patients with Type 2 Diabetes and Established Atherosclerotic Cardiovascular Disease: A Retrospective Propensity-Score Matched Analysis
by Georgios Vournas, Leonidas Mourgos, Michael Doumas, Evangelos N. Liberopoulos, Kalliopi Kotsa and Theocharis Koufakis
Diseases 2026, 14(2), 75; https://doi.org/10.3390/diseases14020075 - 17 Feb 2026
Viewed by 299
Abstract
Background: Atherosclerotic cardiovascular disease (ASCVD) frequently coexists with type 2 diabetes (T2D), amplifying morbidity and mortality. Glucagon-like peptide-1 receptor agonists (GLP-1RA) confer significant cardiovascular benefits and are recommended for patients with T2D and established ASCVD. However, real-world use may not reflect a complication-driven [...] Read more.
Background: Atherosclerotic cardiovascular disease (ASCVD) frequently coexists with type 2 diabetes (T2D), amplifying morbidity and mortality. Glucagon-like peptide-1 receptor agonists (GLP-1RA) confer significant cardiovascular benefits and are recommended for patients with T2D and established ASCVD. However, real-world use may not reflect a complication-driven therapeutic approach. Methods: This retrospective study included adults with T2D and established ASCVD (prior myocardial infarction, ischemic stroke, transient ischemic attack, or symptomatic peripheral arterial disease) consecutively admitted to the internal medicine and cardiology departments of a tertiary hospital over a 60-day period. Pre-admission medication use, comorbidities, and laboratory parameters were recorded. Factors associated with GLP-1 RA use were assessed using logistic regression before and after 1:1 propensity score (PS) matching. Results: Among 202 eligible patients, 49 (24.3%) were treated with a GLP-1RA. GLP-1RA users were younger (71.9 vs. 77.8 years, p < 0.001), had lower hypertension prevalence (61.2% vs. 78.4%, p = 0.02), and were more frequently on insulin (69.4% vs. 25.5%, p < 0.001) and sodium-glucose cotransporter 2 inhibitors (55.1% vs. 28.1%, p = 0.001). After PS matching (48 pairs), demographic and comorbidity differences were attenuated, although insulin remained strongly associated with GLP-1RA therapy (Odds Ratio 11.85, p < 0.001). Neither cardiovascular disease burden—captured through the presence of multiple cardiovascular comorbidities—nor renal function were independently associated with GLP-1RA use after adjustment. Conclusions: In patients with T2D and established ASCVD, GLP-1RA use was more strongly associated with the intensity of glucose-lowering therapy—particularly insulin use—than with cardiovascular or renal risk profiles. These findings should be interpreted with caution given the retrospective observational design and the limited availability of glycated hemoglobin, anthropometry and diabetes duration data. However, they suggest that, in real-world clinical practice, GLP-1RA prescribing may remain predominantly glucose-centric rather than complication-driven, underscoring the need for improved implementation of contemporary diabetes guidelines. Full article
(This article belongs to the Section Cardiology)
Show Figures

Figure 1

14 pages, 599 KB  
Article
Evaluating the Feasibility of Using Historical Placebo Control in Osteoarthritis Trials
by Justine Monseur, Emma Barbeau, Anne-Françoise Donneau and Olivier Bruyère
Epidemiologia 2026, 7(1), 27; https://doi.org/10.3390/epidemiologia7010027 - 14 Feb 2026
Viewed by 191
Abstract
Background/Objectives: Randomized controlled trials (RCTs) are the gold standard for evaluating treatment efficacy, yet recruitment and retention remain challenging, particularly when placebo arms are required. Using historical placebo data may reduce the need for contemporaneous placebo groups, but comparability between historical and real-time [...] Read more.
Background/Objectives: Randomized controlled trials (RCTs) are the gold standard for evaluating treatment efficacy, yet recruitment and retention remain challenging, particularly when placebo arms are required. Using historical placebo data may reduce the need for contemporaneous placebo groups, but comparability between historical and real-time placebo responses is uncertain. This study assessed the feasibility of replacing a placebo control group with a historical placebo arm in osteoarthritis (OA) RCTs using several matching approaches. Methods: Data from three published knee OA RCTs (2009, 2013, 2017) were analyzed. The study followed three steps: (1) development of matching techniques using the 2009 and 2013 trials, (2) validation in the 2017 trial, and (3) post hoc analyses comparing placebo responses across trials. Methods included direct covariate adjustment, exact and nearest-neighbor matching, and propensity score matching based on baseline characteristics (age, sex, BMI, OA duration, baseline pain). The main outcome was change in 100 mm visual analogue scale (VAS) pain. Results: Initial attempts showed moderate to good success in adjusting historical placebo response on the VAS using various adjustment methods. However, in the validation process, a significant discrepancy was observed between real placebo VAS changes data and historical placebo VAS changes data, and various matching techniques failed to sufficiently reduce this discrepancy. In the post hoc analysis, despite the application of advanced matching techniques, substantial variability in VAS placebo responses persisted across trials. Even among placebo patients with highly similar baseline characteristics, the VAS changes over time differed significantly between studies. Conclusions: The findings indicate that replacing a real placebo group with a historical placebo in osteoarthritis RCTs is hardly feasible. These results underscore the complexity of placebo effects in osteoarthritis trials and the limitations of historical control data in this context. Full article
Show Figures

Figure 1

14 pages, 597 KB  
Article
Metabolic Dysfunction-Associated Fatty Liver Disease and Bone Mineral Density in School-Aged Children in China: A Propensity Score-Matched Analysis
by Junting Liu, Hanyue Guo, Qin Liu, Tao Li, Guimin Huang, Dongqing Hou, Yijing Cheng, Fangfang Chen, Xinnan Zong and Shaoli Li
Nutrients 2026, 18(4), 621; https://doi.org/10.3390/nu18040621 - 13 Feb 2026
Viewed by 190
Abstract
Background/Objectives: To examine the association between metabolic dysfunction–associated fatty liver disease (MAFLD) and bone mineral density in school-aged children. To investigate the association between metabolic dysfunction-associated fatty liver disease (MAFLD) and bone mineral density among school-aged children using a propensity score-matched study [...] Read more.
Background/Objectives: To examine the association between metabolic dysfunction–associated fatty liver disease (MAFLD) and bone mineral density in school-aged children. To investigate the association between metabolic dysfunction-associated fatty liver disease (MAFLD) and bone mineral density among school-aged children using a propensity score-matched study design. Methods: A cross-sectional analysis was performed using baseline data from the Beijing Children and Adolescents Health Cohort, with samples collected between September 2022 and May 2023. The study included 5170 children aged 7–18 years. Standardized questionnaires collected behavioral, lifestyle, and dietary data. Anthropometric measurements (height, weight, waist circumference) were obtained to calculate body mass index (BMI). Fasting venous blood samples were analyzed for glucose and lipid profiles. Clinical assessments included pubertal development evaluation, abdominal ultrasound for hepatic steatosis, oscillometric blood pressure measurement, quantitative ultrasound for calcaneal bone mineral density (BMD), and bioelectrical impedance analysis for body fat percentage. MAFLD was diagnosed as hepatic steatosis combined with metabolic abnormalities (assessed via BMI, blood glucose, lipid levels, and blood pressure). Propensity score matching (PSM) was conducted at a 1:3 ratio between the MAFLD and non-MAFLD groups, matching on age, sex, and pubertal stage. Multiple linear regression, conditional logistic regression, and quantile regression (10th–90th percentiles) were used to analyze the association between MAFLD and BMD. Results: Of 5170 participants, 579 had MAFLD and were matched to 1737 non-MAFLD controls (standardized mean differences < 0.001). Children with MAFLD had higher BMI, body fat percentage, and waist circumference, and lower BMD versus controls. Multiple linear regression confirmed a significant negative association between MAFLD and BMD, which was stronger in boys and mid-pubertal children. Conditional logistic regression analyses further showed that boys with MAFLD had a higher risk of reduced BMD. The odds ratios were 1.77 (95% CI: 1.14–2.75) overall, 2.74 (95% CI: 1.56–4.81) among those aged 12–14 years, 1.81 (95% CI: 1.04–3.17) in mid-puberty, and 2.27 (95% CI: 1.17–4.40) in late puberty. Quantile regression revealed the strongest associations between MAFLD and BMD at the 40th–75th percentiles (regression coefficients: −9.5 to −6.7). Conclusions: MAFLD was associated with lower bone mineral density in children, with the strongest associations observed in the lower-to-middle range. Boys, children in mid-puberty, and those with obesity may represent particularly vulnerable groups with respect to bone health in the presence of MAFLD. This highlights the importance of early MAFLD identification and targeted interventions to mitigate long-term skeletal risks. Prospective studies are needed to clarify the causal pathways between MAFLD and pediatric bone health, and future research should integrate multiple factors to elucidate the underlying mechanisms. Full article
(This article belongs to the Section Pediatric Nutrition)
Show Figures

Figure 1

11 pages, 353 KB  
Article
Outcomes After Robot-Assisted Versus Open Pancreatoduodenectomy: A Propensity Score-Matching Analysis in a High-Volume Center (TAKUMI-7)
by Kosei Takagi, Tomokazu Fuji, Kazuya Yasui, Yuzo Umeda, Ryuichi Yoshida, Motohiko Yamada, Takeyoshi Nishiyama, Yasuo Nagai, Atene Ito, Naohiro Okada, Shohei Yokoyama and Toshiyoshi Fujiwara
Cancers 2026, 18(4), 602; https://doi.org/10.3390/cancers18040602 - 12 Feb 2026
Viewed by 289
Abstract
Background/Objectives: Although the safety and feasibility of robot-assisted pancreatoduodenectomy (RPD) compared to open pancreatoduodenectomy (OPD) have been reported, studies investigating the advantages of RPD remain limited. Moreover, only a few studies have investigated the effects of robotic surgery on textbook outcomes (TO). [...] Read more.
Background/Objectives: Although the safety and feasibility of robot-assisted pancreatoduodenectomy (RPD) compared to open pancreatoduodenectomy (OPD) have been reported, studies investigating the advantages of RPD remain limited. Moreover, only a few studies have investigated the effects of robotic surgery on textbook outcomes (TO). Methods: This single-center retrospective study included 400 patients who underwent RPD and OPD at our institution between January 2017 and December 2025. Outcomes were compared between the RPD (n = 162) and OPD (n = 238) groups using propensity score-matching (PSM) analysis. The factors associated with TO were examined. Results: Before PSM, significant differences were observed between the groups. PSM yielded RPD (n = 117) and OPD (n = 117) with equal preoperative factors. The RPD group demonstrated a significantly shorter operative time (402 vs. 444 min, p < 0.001), lesser blood loss (75 vs. 270 mL, p < 0.001), shorter postoperative hospital stays (13 vs. 22 days, p < 0.001), and fewer major complications (17.1 vs. 44.4%, p < 0.001), resulting in a higher TO achievement rate (76.9 vs. 52.1%, p = 0.001). Adjusted multivariate analyses identified robotic surgery (odds ratio 3.04, p < 0.001) as an independent predictor of TO. Conclusions: This study demonstrated that RPD was potentially superior to OPD in terms of short-term outcomes. Robotic surgery was significantly associated with TO after pancreatoduodenectomy at the expert’s hand. Full article
Show Figures

Figure 1

15 pages, 1520 KB  
Article
Association of Vitamin D Deficiency with Mortality and Cardiorenal Events in Sjögren’s Syndrome and Osteoporosis
by Ying-Kai Chen, Chien-Lin Lu, Kuo-Cheng Lu, Yu-Chen Cheng and Wui-Chiu Mui
J. Clin. Med. 2026, 15(4), 1430; https://doi.org/10.3390/jcm15041430 - 12 Feb 2026
Viewed by 244
Abstract
Background: Sjögren’s syndrome (SjS) is a chronic systemic autoimmune disease associated with substantial extraglandular morbidity, including osteoporosis, cardiovascular disease, and renal involvement. Vitamin D deficiency (VDD) is highly prevalent in patients with SjS and has been linked to immune dysregulation, systemic inflammation, and [...] Read more.
Background: Sjögren’s syndrome (SjS) is a chronic systemic autoimmune disease associated with substantial extraglandular morbidity, including osteoporosis, cardiovascular disease, and renal involvement. Vitamin D deficiency (VDD) is highly prevalent in patients with SjS and has been linked to immune dysregulation, systemic inflammation, and adverse cardiorenal outcomes in other clinical settings. However, the prognostic significance of VDD in patients with SjS and osteoporosis remains incompletely characterized. Methods: We conducted a retrospective cohort study using de-identified electronic health records from the TriNetX research network between 2010 and 2024. Adult patients with SjS and osteoporosis who had at least one serum 25-hydroxyvitamin D measurement within six months before or after cohort entry were included. VDD was defined as a serum 25-hydroxyvitamin D concentration below 20 ng/mL, and vitamin D adequacy (VDA) as a concentration of 30 ng/mL or higher. Propensity score matching was performed at a 1: 1 ratio using 95 baseline covariates. The primary outcome was all-cause mortality. Secondary outcomes included major adverse cardiovascular events (MACEs), major adverse kidney events (MAKEs), and fractures. Results: Among 19,177 eligible patients, 1218 with VDD and 7659 with VDA met the inclusion criteria. After propensity score matching, 1067 well-balanced pairs were analyzed. Over five years of follow-up, VDD was associated with higher risks of all-cause mortality, MACEs, and MAKEs compared with VDA. In contrast, fracture risk did not differ significantly between groups. Sensitivity analyses demonstrated consistent associations across analytic approaches. Conclusions: In patients with SjS and osteoporosis, VDD was associated with increased risks of mortality, MACEs, and MAKEs, but not fractures. These findings suggest that VDD may serve as a marker of a high-risk clinical phenotype and may be useful for long-term risk stratification in this vulnerable population. Full article
(This article belongs to the Special Issue Sjogren’s Syndrome: Clinical Advances and Insights)
Show Figures

Figure 1

Back to TopTop