Sign in to use this feature.

Years

Between: -

Subjects

remove_circle_outline
remove_circle_outline
remove_circle_outline
remove_circle_outline
remove_circle_outline
remove_circle_outline
remove_circle_outline
remove_circle_outline
remove_circle_outline

Journals

remove_circle_outline
remove_circle_outline
remove_circle_outline
remove_circle_outline
remove_circle_outline
remove_circle_outline
remove_circle_outline
remove_circle_outline
remove_circle_outline
remove_circle_outline
remove_circle_outline
remove_circle_outline

Article Types

Countries / Regions

remove_circle_outline
remove_circle_outline
remove_circle_outline
remove_circle_outline
remove_circle_outline

Search Results (1,455)

Search Parameters:
Keywords = propagation path

Order results
Result details
Results per page
Select all
Export citation of selected articles as:
17 pages, 4328 KB  
Article
Influence of Cooling Rate During β Annealing on the Microstructure and Properties of Ti55531 Titanium Alloy
by Xiaoyuan Yuan, Shun Han, Yuxian Cao, Leilei Li, Xinyang Li, Ruming Geng, Simin Lei, Jianguo Wang, Chunxu Wang and Yong Li
Materials 2026, 19(8), 1486; https://doi.org/10.3390/ma19081486 - 9 Apr 2026
Abstract
As a high-performance lightweight structural material with superior strength, Ti55531 titanium alloy has been widely adopted in critical load-bearing components such as landing gears and airframe frames in the aerospace sector to achieve significant weight reduction. However, when the tensile strength of Ti55531 [...] Read more.
As a high-performance lightweight structural material with superior strength, Ti55531 titanium alloy has been widely adopted in critical load-bearing components such as landing gears and airframe frames in the aerospace sector to achieve significant weight reduction. However, when the tensile strength of Ti55531 exceeds 1250 MPa, the fracture toughness typically falls below 50 MPa·m1/2. In this study, we addressed this challenge by precisely controlling the cooling rate during β annealing heat treatment. Through careful regulation of the cooling rate from the high-temperature β phase region to the aging temperature region, the Widmanstätten structure was successfully introduced into the Ti55531 titanium alloy. The experimental results demonstrate that this microstructure achieves a high tensile strength of 1252 MPa at a cooling rate of 2.5 °C/min, while simultaneously improving the elongation and fracture toughness to 9% and 84 MPa·m1/2, respectively. Microstructural analysis reveals that the basket-weave structure plays a crucial role in maintaining high strength. Meanwhile, the Widmanstätten structure effectively increases the energy required for crack extension by resisting crack propagation and altering the crack propagation path, thus significantly enhancing fracture toughness. These findings offer a promising pathway for overcoming the traditional trade-off between strength and toughness in high-performance titanium alloys. Full article
(This article belongs to the Section Metals and Alloys)
Show Figures

Graphical abstract

15 pages, 6086 KB  
Article
Horizon Calibration in Highly Deviated Wells and Implications for Velocity-Model Building
by Hailong Ma, Liping Zhang, Ting Lou, Yao Zhao, Lei Zhong, Xiaoxuan Chen and Xuan Chen
Appl. Sci. 2026, 16(8), 3628; https://doi.org/10.3390/app16083628 - 8 Apr 2026
Abstract
Highly deviated wells commonly exhibit large errors in horizon calibration because the logging path follows an inclined borehole trajectory, whereas post-stack seismic processing effectively treats wave propagation as vertical. This mismatch has received limited attention. Here, we performed horizon calibration and velocity-model building [...] Read more.
Highly deviated wells commonly exhibit large errors in horizon calibration because the logging path follows an inclined borehole trajectory, whereas post-stack seismic processing effectively treats wave propagation as vertical. This mismatch has received limited attention. Here, we performed horizon calibration and velocity-model building for highly deviated wells drilled in the Mahu Sag, Junggar Basin, and obtained three key findings. First, the assumed vertical travel path in post-stack data is the primary cause of the initial mis-tie for highly deviated wells. Second, calibration in the deviated interval requires a strategy distinct from that of vertical wells and may involve substantial stretching or squeezing of the original logs to achieve a consistent time-depth relationship. Third, the map-view projection of a highly deviated well is essentially linear; relative to vertical wells, it provides denser in situ velocity constraints and, with pseudo-well control, supplies 2D velocity information along the well-trajectory plane, thereby improving velocity-field modeling. Validation against drilling data showed that this workflow improved well ties and refined the velocity model, providing practical guidance for geological well planning and reducing drilling risk. Full article
Show Figures

Figure 1

38 pages, 3132 KB  
Article
Lightweight Semantic-Aware Route Planning on Edge Hardware for Indoor Mobile Robots: Monocular Camera–2D LiDAR Fusion with Penalty-Weighted Nav2 Route Server Replanning
by Bogdan Felician Abaza, Andrei-Alexandru Staicu and Cristian Vasile Doicin
Sensors 2026, 26(7), 2232; https://doi.org/10.3390/s26072232 - 4 Apr 2026
Viewed by 483
Abstract
The paper introduces a computationally efficient semantic-aware route planning framework for indoor mobile robots, designed for real-time execution on resource-constrained edge hardware (Raspberry Pi 5, CPU-only). The proposed architecture fuses monocular object detection with 2D LiDAR-based range estimation and integrates the resulting semantic [...] Read more.
The paper introduces a computationally efficient semantic-aware route planning framework for indoor mobile robots, designed for real-time execution on resource-constrained edge hardware (Raspberry Pi 5, CPU-only). The proposed architecture fuses monocular object detection with 2D LiDAR-based range estimation and integrates the resulting semantic annotations into the Nav2 Route Server for penalty-weighted route selection. Object localization in the map frame is achieved through the Angular Sector Fusion (ASF) pipeline, a deterministic geometric method requiring no parameter tuning. The ASF projects YOLO bounding boxes onto LiDAR angular sectors and estimates the object range using a 25th-percentile distance statistic, providing robustness to sparse returns and partial occlusions. All intrinsic and extrinsic sensor parameters are resolved at runtime via ROS 2 topic introspection and the URDF transform tree, enabling platform-agnostic deployment. Detected entities are classified according to mobility semantics (dynamic, static, and minor) and persistently encoded in a GeoJSON-based semantic map, with these annotations subsequently propagated to navigation graph edges as additive penalties and velocity constraints. Route computation is performed by the Nav2 Route Server through the minimization of a composite cost functional combining geometric path length with semantic penalties. A reactive replanning module monitors semantic cost updates during execution and triggers route invalidation and re-computation when threshold violations occur. Experimental evaluation over 115 navigation segments (legs) on three heterogeneous robotic platforms (two single-board RPi5 configurations and one dual-board setup with inference offloading) yielded an overall success rate of 97% (baseline: 100%, adaptive: 94%), with 42 replanning events observed in 57% of adaptive trials. Navigation time distributions exhibited statistically significant departures from normality (Shapiro–Wilk, p < 0.005). While central tendency differences between the baseline and adaptive modes were not significant (Mann–Whitney U, p = 0.157), the adaptive planner reduced temporal variance substantially (σ = 11.0 s vs. 31.1 s; Levene’s test W = 3.14, p = 0.082), primarily by mitigating AMCL recovery-induced outliers. On-device YOLO26n inference, executed via the NCNN backend, achieved 5.5 ± 0.7 FPS (167 ± 21 ms latency), and distributed inference reduced the average system CPU load from 85% to 48%. The study further reports deployment-level observations relevant to the Nav2 ecosystem, including GeoJSON metadata persistence constraints, graph discontinuity (“path-gap”) artifacts, and practical Route Server configuration patterns for semantic cost integration. Full article
(This article belongs to the Special Issue Advances in Sensing, Control and Path Planning for Robotic Systems)
Show Figures

Figure 1

11 pages, 997 KB  
Perspective
Resilience, Tipping Points, and Hysteresis
by Peter Grindrod
Complexities 2026, 2(2), 10; https://doi.org/10.3390/complexities2020010 - 3 Apr 2026
Viewed by 106
Abstract
In the essay we introduce present-day systems concepts, such as resilience, tipping points, and hysteresis effects, via the concept of fast–slow dynamical systems (whether explicit in the models or implicit through bifurcation and stability behaviours). These lead naturally to ideas first propagated within [...] Read more.
In the essay we introduce present-day systems concepts, such as resilience, tipping points, and hysteresis effects, via the concept of fast–slow dynamical systems (whether explicit in the models or implicit through bifurcation and stability behaviours). These lead naturally to ideas first propagated within catastrophe theory, fifty years ago. We discuss the historical catastrophe (the backlash) that befell such an abstract yet mathematically grounded (and thus inescapable) theory within economics and also its subsequent re-appraisal and re-adoption. Finally, we discuss some of the challenges inherent in anticipating tipping points from live systems data (observations), within systems-theoretic interpretations, and whether methods from topological data analysis might respond to them. While it is fashionable for national, governmental and policy institutions to speak of “resilience” in all manner of national systems contexts, we aver that it is foolishly inadequate to do so without an understanding and consideration of tipping points and hysteresis (sometimes termed “path dependence”), giving rise to “lock-in”. Full article
Show Figures

Figure 1

19 pages, 1843 KB  
Article
Expert Knowledge-Infused Learning for Indoor Radio Propagation Environment Digital Twins
by Haotian Wang, Lili Xu, Yu Zhang, Tao Peng and Wenbo Wang
Sensors 2026, 26(7), 2199; https://doi.org/10.3390/s26072199 - 2 Apr 2026
Viewed by 233
Abstract
Digital Twin (DT) technology, which enables the simulation, evaluation, and optimization of physical entities through synchronized digital replicas, has attracted increasing attention in the context of wireless networks. Among the various components involved, the radio propagation environment is fundamental to communication performance, making [...] Read more.
Digital Twin (DT) technology, which enables the simulation, evaluation, and optimization of physical entities through synchronized digital replicas, has attracted increasing attention in the context of wireless networks. Among the various components involved, the radio propagation environment is fundamental to communication performance, making its accurate digital replication a critical challenge. This paper focuses on constructing a high-precision radio propagation environment DT using deep learning (DL) methods. While data-driven DL has become a mainstream solution for signal propagation prediction in DTs, its performance depends heavily on the model’s ability to learn intrinsic propagation patterns from data. Owing to the complex interactions between wireless signals and environmental obstacles, conventional DL models often struggle to efficiently capture implicit propagation laws solely from raw data. To address this issue, we propose a general methodology for incorporating expert knowledge of radio propagation into DL frameworks. Building upon the widely adopted encoder–decoder architecture, the proposed approach explicitly integrates theoretical propagation knowledge to enhance learning efficiency and prediction accuracy. Ablation experiments demonstrate that the inclusion of expert knowledge significantly improves the performance of DL-based radio environment DTs. This work highlights the potential of knowledge–data dual-driven DL as a promising direction for advancing radio propagation environment DTs. Full article
(This article belongs to the Topic AI-Driven Wireless Channel Modeling and Signal Processing)
Show Figures

Figure 1

15 pages, 1434 KB  
Article
Two-Signal Set and Adaptive Spectral Decomposition Algorithm for Estimating the Phase Velocity of Dispersive Lamb Wave Mode
by Lina Draudvilienė, Asta Meškuotienė, Aušra Gadeikytė and Paulius Lapienis
Sensors 2026, 26(7), 2190; https://doi.org/10.3390/s26072190 - 1 Apr 2026
Viewed by 308
Abstract
This study introduces an automated computational tool to evaluate the phase velocity of the highly dispersive A0 mode using only two signals measured along the wave propagation path. The algorithm combines the zero-crossing technique with automated spectral decomposition, utilizing a bank of [...] Read more.
This study introduces an automated computational tool to evaluate the phase velocity of the highly dispersive A0 mode using only two signals measured along the wave propagation path. The algorithm combines the zero-crossing technique with automated spectral decomposition, utilizing a bank of bandpass filters with adaptive bandwidths. Validated through theoretical and experimental analysis of an aluminium plate near 300 kHz, the results demonstrate that using a two-signal set and variable filter widths significantly improves accuracy and extends the measurable frequency range of the dispersion curve. Experimental results demonstrate that by applying various filter widths, the phase velocity dispersion curve segment can be reconstructed over a frequency range exceeding 65% of the signal’s spectral width at the −40 dB level. The reconstruction yielded an average relative error of 0.8% ± 1.2%, while the best-case scenario showed an error of just 0.3% ± 0.4%. Implementing automated filter parameter selection on a signal pair offers a time-efficient alternative to traditional spatial scanning, significantly simplifying data collection while reducing labour and time requirements. Full article
Show Figures

Figure 1

19 pages, 4911 KB  
Article
Temporal Evolution-Based Risk Assessment for Fault Correlations in Catenary Systems
by Chengxi You, Diyang Liu and Xiaoguang Wei
Appl. Sci. 2026, 16(7), 3412; https://doi.org/10.3390/app16073412 - 1 Apr 2026
Viewed by 137
Abstract
As the primary power source for high-speed railways, understanding the fault propagation mechanisms among the components of the catenary system is crucial for developing proactive maintenance strategies. To quantitatively characterize fault propagation risk among catenary components, this paper proposes a temporal evolution-based fault [...] Read more.
As the primary power source for high-speed railways, understanding the fault propagation mechanisms among the components of the catenary system is crucial for developing proactive maintenance strategies. To quantitatively characterize fault propagation risk among catenary components, this paper proposes a temporal evolution-based fault correlation risk assessment model from a data-driven perspective. First, fault correlations are defined based on temporal evolution, and a risk assessment model integrating credibility and discredibility is developed based on the MYCIN model to avoid misclassifying high-frequency but low-risk fault correlations as high-risk. Second, to address potential fault correlations that are not explicitly observed in historical data, a latent path-based risk inference graph is constructed to indirectly infer their risk levels through observable fault correlations. Third, to reveal the temporal evolution characteristics of fault propagation risk, a temporal evolution series of system risk coefficients after component faults is constructed, and risk decay node and risk stabilization node are defined. A case study based on real historical fault data collected from the operation and maintenance system of a high-speed railway catenary system validates the effectiveness of the proposed method. The results demonstrate that the framework can comprehensively assess both observable and potential fault correlation risks and capture their temporal evolution characteristics, providing quantitative support for time-targeted proactive maintenance strategies of catenary systems. Full article
(This article belongs to the Section Electrical, Electronics and Communications Engineering)
Show Figures

Figure 1

23 pages, 1056 KB  
Article
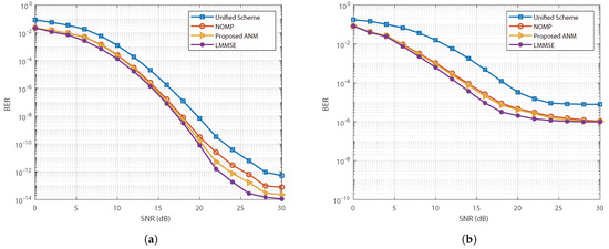
Deep Learning-Driven Atomic Norm Optimization for Accurate Downlink Channel Estimation in FDD Systems
by Ke Xu, Sining Li, Changwei Huang, Dan Wu, Changning Wei, Dongjun Zhang, Richu Jin, Huilin Ren, Zhuoqiao Ji, Xinbo Chen and Weiqiang Wu
Electronics 2026, 15(7), 1461; https://doi.org/10.3390/electronics15071461 - 1 Apr 2026
Viewed by 148
Abstract
In this paper, we propose a downlink (DL) channel estimation scheme for frequency-division duplex (FDD) multi-antenna orthogonal frequency-division multiplexing (OFDM) systems, leveraging atomic norm minimization (ANM) and deep neural networks (DNN). Unlike time-division duplex (TDD) systems, where uplink (UL) and DL channels are [...] Read more.
In this paper, we propose a downlink (DL) channel estimation scheme for frequency-division duplex (FDD) multi-antenna orthogonal frequency-division multiplexing (OFDM) systems, leveraging atomic norm minimization (ANM) and deep neural networks (DNN). Unlike time-division duplex (TDD) systems, where uplink (UL) and DL channels are reciprocal, FDD systems do not share this reciprocity, leading to increased channel training overhead. However, both theoretical analyses and empirical evidence reveal that key channel characteristics—such as angles of arrival and departure, path delays, and the number of propagation paths—exhibit partial reciprocity between UL and DL. Building on this insight, we design a DL channel estimation scheme that exploits frequency-independent UL parameters along with estimated DL channel gains. Our method integrates ANM with DNN to enhance estimation accuracy and efficiency. Specifically, ANM formulates the estimation problem while avoiding the off-grid errors inherent in traditional grid-based methods. To further mitigate performance degradation in clustered-path channels and reduce computational complexity, we introduce a DNN-based architecture that predicts channel parameters. The DNN captures hidden relationships between received pilot signals and frequency-independent channel parameters, enabling accurate estimation with linear time complexity. During training, ANM assists in serving users, ensuring reliable performance. Once the DNN is fully trained, it takes over to balance quality of service (QoS) and latency, providing an efficient and accurate solution for DL channel estimation in FDD-OFDM systems. Full article
(This article belongs to the Section Circuit and Signal Processing)
Show Figures

Figure 1

11 pages, 817 KB  
Article
Retrieval of Sunrise C-Region Electron Density Using Mid-Range VLF Amplitude and FDTD-Based Optimization
by Taira Shirasaki, Yuki Itabashi and Yoshiaki Ando
Atmosphere 2026, 17(4), 350; https://doi.org/10.3390/atmos17040350 - 31 Mar 2026
Viewed by 203
Abstract
This study presents a method to retrieve the electron density structure of the transient C-region using very-low-frequency (VLF) Earth–ionosphere waveguide propagation. Here, we demonstrate the identification of the C-region from amplitude variations of a mid-range VLF propagation path that is nearly perpendicular to [...] Read more.
This study presents a method to retrieve the electron density structure of the transient C-region using very-low-frequency (VLF) Earth–ionosphere waveguide propagation. Here, we demonstrate the identification of the C-region from amplitude variations of a mid-range VLF propagation path that is nearly perpendicular to the solar terminator. Previous investigations have primarily relied on phase measurements along long-distance paths with small terminator angles, whereas the present approach utilizes amplitude information under conditions where modal interference is significant. The Faraday International Reference Ionosphere (FIRI-2018) provides an effective semi-empirical model of the lower-ionospheric electron density; however, discrepancies between simulations and observations are often observed at sunrise. To resolve this issue, we introduce Gaussian perturbations to the electron density profile output by FIRI-2018 and optimize their parameters so that finite-difference time-domain (FDTD) simulations reproduce the observed VLF amplitude. The analysis is performed for the 22.2 kHz JJI transmitter signal received in Chofu, Japan over a mid-range propagation path, ∼900 km. The optimized electron density profile successfully reproduces the characteristic features of the C-region, including a temporary enhancement near 65 km altitude during sunrise. These results demonstrate that mid-range VLF amplitude analysis provides a quantitative tool for identifying transient lower- ionospheric structures. Full article
Show Figures

Figure 1

23 pages, 3785 KB  
Article
Dynamic Simulation of Seismogenic-Fault-Induced Rupture in Overlying Soil
by Chang Wang, Xiaojun Li, Mianshui Rong, Xiaoyan Sun and Weiqing Meng
Infrastructures 2026, 11(4), 119; https://doi.org/10.3390/infrastructures11040119 - 30 Mar 2026
Viewed by 191
Abstract
Accurate prediction of surface rupture induced by seismogenic fault displacement is essential for the seismic safety assessment of major engineering projects. Most existing numerical simulations adopt quasi-static approaches, in which the effect of fault displacement is simplified as static loading. As a result, [...] Read more.
Accurate prediction of surface rupture induced by seismogenic fault displacement is essential for the seismic safety assessment of major engineering projects. Most existing numerical simulations adopt quasi-static approaches, in which the effect of fault displacement is simplified as static loading. As a result, these methods cannot represent the dynamic characteristics of the fault rupture process, such as stress-wave propagation, soil inertial effects, and the influence of dynamic loading paths on rupture extension in soil layers. To address this issue, a full-process simulation method is established for simulating rupture of overlying soil subjected to dynamic fault displacement: Firstly, a non-uniform dynamic fault displacement loading is formulated for the two sides of the fault based on viscoelastic artificial boundaries, allowing the differential motion of the bedrock on both sides of the fault to be represented. Secondly, an improved dynamic skeleton curve constitutive model of soil is developed by introducing a minimum modulus constraint, providing an improved description of soil nonlinear dynamic behavior from small-strain hysteresis to large-strain shear failure. The reliability of the proposed method is verified through element-level tests and horizontal-site response simulation. As a benchmark, its ability to reproduce key rupture characteristics under quasi-static conditions is also assessed by comparison with classical quasi-static rupture studies. The method is then applied to simulate rupture extension and deformation response of overlying soil under strike-slip fault displacement. The results show that, compared to quasi-static analysis, dynamic fault displacement produces similar cumulative slip for surface rupture initiation and full connection, but induces transient amplification of peak surface displacement and a wider deformation zone with gentler displacement gradients. These findings demonstrate the necessity of considering dynamic fault dislocation of bedrock–overlying soil interaction in seismic assessments of engineering projects crossing active faults. Full article
Show Figures

Figure 1

22 pages, 11478 KB  
Article
Tidal Modulation of Waves over the Changjiang River Estuary: Long-Term Observations and Coupled Modeling
by Zhikun Zhang, Zengrui Rong, Xin Meng, Pixue Li and Tao Qin
J. Mar. Sci. Eng. 2026, 14(7), 635; https://doi.org/10.3390/jmse14070635 - 30 Mar 2026
Viewed by 232
Abstract
Tidal-scale wave modulation is a critical yet complex process in macro-tidal estuaries. This study investigates semidiurnal wave modulations in the Changjiang River Estuary (CRE) using unique, long-term in situ observations and high-resolution ADCIRC–SWAN coupled simulations. Pronounced semidiurnal signals are identified in significant wave [...] Read more.
Tidal-scale wave modulation is a critical yet complex process in macro-tidal estuaries. This study investigates semidiurnal wave modulations in the Changjiang River Estuary (CRE) using unique, long-term in situ observations and high-resolution ADCIRC–SWAN coupled simulations. Pronounced semidiurnal signals are identified in significant wave height (Hs), mean wave period, and wave direction. Observational results demonstrate that the modulation intensity is highest in Hangzhou Bay and the CRE mouth, decreasing gradually offshore. A key finding is that semidiurnal Hs maxima systematically coincide with peak flood currents and precede high water by approximately three hours. Long-term records confirm that this modulation persists year-round and intensifies during energetic events such as typhoons. The expression of the tidal signal depends on wave composition: wind-sea-dominated conditions exhibit stronger period modulation, whereas swell-dominated conditions favor coherent Hs modulation as kinematic tidal effects remain more apparent in the absence of strong local wind forcing. Numerical sensitivity experiments demonstrate that tidal currents are the primary driver of the observed wave modulation, while water-level effects are largely confined to shallow shoals. The results highlight that accurately reproducing the observed frequency–directional structure requires the inclusion of current-induced Doppler shifts and refraction. Beyond the classical following-current effects, the analysis suggests that the spatial deceleration of currents along the wave path acts as a kinematic trap that focuses wave action and sustains Hs intensification. This mechanism provides a physically plausible explanation for the observed phase relationship and points to the non-local nature of estuarine wave dynamics, where the wave state appears as an integrated response to cumulative current gradients along the propagation path. These findings emphasize the necessity of incorporating wave–current coupling in future coastal modeling and hazard forecasting. Full article
(This article belongs to the Section Physical Oceanography)
Show Figures

Figure 1

23 pages, 17793 KB  
Article
SPM-Track: A State-Persistent Mamba Framework with Hierarchical Context Management for Lightweight Visual Tracking
by Qiuyu Jin, Yuqi Han, Linbo Tang, Yanhua Wang and Yihang Tian
Drones 2026, 10(4), 247; https://doi.org/10.3390/drones10040247 - 29 Mar 2026
Viewed by 302
Abstract
Target tracking for uncrewed aerial vehicles (UAVs) demands both low-latency, real-time inference and robust, long-term temporal consistency. Current approaches often face a trade-off between efficiency and stability in practice. This tension is particularly pronounced in resource-limited UAV platforms: computationally heavy architectures can exceed [...] Read more.
Target tracking for uncrewed aerial vehicles (UAVs) demands both low-latency, real-time inference and robust, long-term temporal consistency. Current approaches often face a trade-off between efficiency and stability in practice. This tension is particularly pronounced in resource-limited UAV platforms: computationally heavy architectures can exceed onboard processing capacity and energy budgets, whereas overly lightweight models degrade temporal state fidelity—leading to cumulative drift under challenging conditions such as occlusion, motion blur, rapid scale variation, and cluttered backgrounds. To address this challenge, we propose SPM-Track, a lightweight yet temporally consistent tracking framework grounded in explicit state maintenance. It introduces a dual-loop judgment-calibration architecture comprising three coordinated components: (1) the content-aware state encoder, which employs input-gate modulation, selectively models temporal dynamics to suppress noise propagation into the state; (2) the hierarchical state manager enhances robustness against long-term occlusions and appearance variations by coordinating short-term state updates with a long-term reliable snapshot library via dual-path cooperation; (3) the adaptive feature recalibration module applies joint spatial-channel discriminative weighting before response map generation, effectively enhancing target distinctiveness and mitigating background clutter interference. Experiments on UAV123, DTB70, UAVTrack112, and LaSOT show that SPM-Track outperforms lightweight baselines and remains competitive with several Transformer-based trackers, demonstrating a favorable trade-off between edge-deployable efficiency and long-term robustness in UAV-based tracking. Full article
Show Figures

Figure 1

19 pages, 1032 KB  
Article
A Multi-Modal Benchmark Dataset for UAV Wireless Communication Research
by Najmeh Alibabaie, Antonello Calabrò and Eda Marchetti
Drones 2026, 10(4), 244; https://doi.org/10.3390/drones10040244 - 27 Mar 2026
Viewed by 326
Abstract
Data-centric approaches are increasingly shaping wireless communication research, where the availability and quality of datasets directly influence the reliability of learning-based and model-driven methods. In this context, unmanned aerial vehicle (UAV) communication poses unique challenges, as it requires datasets that jointly capture geometric [...] Read more.
Data-centric approaches are increasingly shaping wireless communication research, where the availability and quality of datasets directly influence the reliability of learning-based and model-driven methods. In this context, unmanned aerial vehicle (UAV) communication poses unique challenges, as it requires datasets that jointly capture geometric information, propagation conditions, and diverse link configurations. This work introduces a geometry-aware UAV communication dataset designed to support research on controlled UAV communication link directions and propagation scenarios. The dataset is generated using standardized 3GPP and ITU-R channel models across multiple urban, suburban, and rural regions, accounting for variations in altitude, carrier frequency, and node distribution. The dataset provides spatially resolved channel parameters along with geometry-rich files containing environmental features, which can be used to extract relevant parameters for UAV communication studies. These data support reproducible research in geometry-aware channel modelling, path-loss prediction, LOS/NLOS analysis, delay-related modelling, and trajectory-conditioned link-quality analysis. Full article
(This article belongs to the Section Drone Communications)
Show Figures

Figure 1

17 pages, 6088 KB  
Article
Visualizing the 3D Evolution and Morphology of Hydrogen-Assisted Ductile Crack Growth in Hydrogen-Precharged P355NH Steel Using X-Ray Micro-Computed Tomography
by Alexander Hell, Jonas Fell, Torben Werning and Hans-Georg Herrmann
Materials 2026, 19(7), 1335; https://doi.org/10.3390/ma19071335 - 27 Mar 2026
Viewed by 290
Abstract
Hydrogen embrittlement is known to adversely affect the mechanical properties of low-carbon steels used for pipelines and pressure vessels, leading to accelerated crack growth and lowered fracture toughness. To overcome the limitations of surface-based analysis, this study employs X-ray micro-computed tomography (µ-CT) to [...] Read more.
Hydrogen embrittlement is known to adversely affect the mechanical properties of low-carbon steels used for pipelines and pressure vessels, leading to accelerated crack growth and lowered fracture toughness. To overcome the limitations of surface-based analysis, this study employs X-ray micro-computed tomography (µ-CT) to provide a comprehensive 3D evaluation of the crack evolution. This approach is used to assess hydrogen-assisted crack growth in P355NH compact tension samples from previous fracture mechanical tests and enables a precise quantification of the internal crack path and the crack tip opening angle (CTOA) across the entire specimen thickness as well as the local damage morphology. By integrating these spatial parameters, a deeper understanding of the impact of hydrogen on local fracture mechanisms is achieved, revealing insights that have remained hidden in previous two-dimensional microscopy observations. For instance, µ-CT results clearly demonstrate that the hydrogen-assisted crack propagation is associated with increased void formation and secondary cracking in vicinity of the crack tip. However, it is proposed that the results are superimposed with continuous hydrogen desorption, which implies a need for in situ charging during mechanical loading and an analysis of the hydrogen concentration profile. Both will be the scope of further studies. Full article
(This article belongs to the Section Mechanics of Materials)
Show Figures

Figure 1

26 pages, 10549 KB  
Article
Macroscopic Failure Behavior and Crack Evolution of Random Fissured Sandstone: A Multi-Parameter Numerical Analysis
by Xiaowei Liu, Wenyao Yan, Li Zhang, Jiayuan Li, Yaoyao Meng, Xueliang Zhu, Feng Li and Yajuan Xin
Processes 2026, 14(7), 1074; https://doi.org/10.3390/pr14071074 - 27 Mar 2026
Viewed by 182
Abstract
The presence of random fissures significantly alters the mechanical properties and failure mechanisms of rocks. To systematically investigate the impact of fissures on the failure behavior of sandstone, a multivariable random fissure numerical model was developed based on the Weibull distribution probability density [...] Read more.
The presence of random fissures significantly alters the mechanical properties and failure mechanisms of rocks. To systematically investigate the impact of fissures on the failure behavior of sandstone, a multivariable random fissure numerical model was developed based on the Weibull distribution probability density function, in combination with a random fissure generation algorithm and cohesive element embedding method. This study primarily focuses on analyzing the influence of fissure ratio (R), fissure dip angle interval (A), fissure length interval (L), and fissure width interval (W) on the sandstone failure process. The results show that the failure modes change with variations in R, A, L, and W, specifically manifested as the formation of “X”-shaped, “Y”-shaped, or inverted “Y”-shaped primary cracks; the increase in fissure ratio significantly reduces both peak stress and total damage dissipated energy (ALLDMD), and promotes the propagation of tensile cracks; the increase in L leads to more complex failure patterns, but its effect on peak stress and peak strain fluctuates non-linearly, the ALLDMD remains insensitive to this change, while the number of tensile cracks decreases as L increases; conversely, an increase in W results in a failure mode characterized by a single crack path, the peak stress first increases and then decreases, and the ALLDMD exhibits an “N”-shaped fluctuation, though the overall variation is limited. Full article
Show Figures

Figure 1

Back to TopTop