Sign in to use this feature.

Years

Between: -

Subjects

remove_circle_outline
remove_circle_outline
remove_circle_outline
remove_circle_outline
remove_circle_outline
remove_circle_outline
remove_circle_outline
remove_circle_outline
remove_circle_outline

Journals

remove_circle_outline
remove_circle_outline
remove_circle_outline
remove_circle_outline
remove_circle_outline
remove_circle_outline
remove_circle_outline
remove_circle_outline
remove_circle_outline
remove_circle_outline
remove_circle_outline

Article Types

Countries / Regions

remove_circle_outline
remove_circle_outline
remove_circle_outline
remove_circle_outline

Search Results (477)

Search Parameters:
Keywords = prescribing error

Order results
Result details
Results per page
Select all
Export citation of selected articles as:
19 pages, 3028 KB  
Article
Adaptive Prescribed-Performance Guidance Law for UAVs with Predefined-Time Convergence
by Lihan Sun, Shiyao Li, Ze Yang, Baoqing Yang and Jie Ma
Drones 2026, 10(3), 219; https://doi.org/10.3390/drones10030219 - 20 Mar 2026
Abstract
In order to evade interception, advanced aircraft often adopt jump-gliding trajectories to efficiently utilize aerodynamics and achieve complex maneuvers. Precise guidance of UAVs for intercepting such targets is critically challenged due to their high speed and uncertain maneuvers. For terminal guidance scenarios, the [...] Read more.
In order to evade interception, advanced aircraft often adopt jump-gliding trajectories to efficiently utilize aerodynamics and achieve complex maneuvers. Precise guidance of UAVs for intercepting such targets is critically challenged due to their high speed and uncertain maneuvers. For terminal guidance scenarios, the extremely short engagement window necessitates strict convergence within the predefined finite time. While PPC offers a promising framework to ensure such convergence with guaranteed transient performance, it suffers from singularity when target uncertainties drive tracking errors beyond performance bounds. To address these challenges, this paper proposes an adaptive prescribed-performance guidance law with predefined-time convergence for UAVs. Built upon the analysis that jump-gliding targets exhibit predominantly longitudinal oscillatory maneuvers, we first establish a velocity model to characterize their motion uncertainties. Using the derived uncertainty bounds and estimated parameters, a predefined-time performance function (PPF) is then developed and robustly modified to eliminate the singularity risk. By integrating this modified PPC with an adaptive law, the proposed framework achieves robust predefined-time convergence of the line-of-sight angle while simultaneously compensating for unknown target maneuvers. Theoretical analysis verifies the framework’s stability, and simulation results demonstrate its effectiveness in intercepting highly maneuverable targets. Full article
(This article belongs to the Special Issue UAV Swarm Intelligent Control and Decision-Making)
Show Figures

Figure 1

19 pages, 1416 KB  
Article
On the Communication–Key Rate Region of Hierarchical Vector Linear Secure Aggregation
by Jiawen Lv, Xiang Zhang and Zhou Li
Entropy 2026, 28(3), 352; https://doi.org/10.3390/e28030352 - 20 Mar 2026
Abstract
Motivated by heterogeneous data distributions and task-dependent aggregation requirements in federated learning, we study information-theoretic secure aggregation of linear functions over a two-hop hierarchical network. The system comprises an aggregation server, an intermediate layer of U relays, and UV users, where each [...] Read more.
Motivated by heterogeneous data distributions and task-dependent aggregation requirements in federated learning, we study information-theoretic secure aggregation of linear functions over a two-hop hierarchical network. The system comprises an aggregation server, an intermediate layer of U relays, and UV users, where each relay serves a disjoint cluster of V users. Each relay observes all uplink transmissions within its cluster and forwards a coded message to the server. The server is authorized to compute a prescribed linear function F of the users’ inputs with zero error, while being prevented from learning any additional information about an unauthorized linear function G. Moreover, each relay must obtain no information about any non-trivial linear function Bu of the inputs in its own cluster. We define the communication rates on both hops as the number of transmitted symbols per input symbol. By deriving matching information-theoretic converse and achievability bounds, we fully characterize the optimal communication rates and propose an explicit linear coding scheme that achieves the resulting optimal region. Our results demonstrate that hierarchical architectures can attain optimal communication rates while substantially reducing the server-side masking burden, thereby enabling scalable secure aggregation of authorized linear functions. Full article
(This article belongs to the Special Issue Secure Aggregation for Federated Learning and Distributed Computation)
Show Figures

Figure 1

26 pages, 10653 KB  
Review
AI/ML-Enhanced Wind Forecasts for Reducing Uncertainty in Prescribed Fire Planning
by Sara Brambilla, Shane Xavier Coffing, Jesse Edward Slaten, Diego Rojas, David Joseph Robinson and Arvind Thanam Mohan
Atmosphere 2026, 17(3), 312; https://doi.org/10.3390/atmos17030312 - 18 Mar 2026
Viewed by 52
Abstract
Prescribed fire is a vital tool for ecosystem management and wildfire risk reduction but its escalation is constrained by overly conservative burn windows because of uncertainties, for instance, in wind forecasts. This review describes the state of the art in weather product use [...] Read more.
Prescribed fire is a vital tool for ecosystem management and wildfire risk reduction but its escalation is constrained by overly conservative burn windows because of uncertainties, for instance, in wind forecasts. This review describes the state of the art in weather product use by fire/smoke models and identifies three priority research gaps that artificial intelligence/machine learning (AI/ML) is well positioned to address: (1) spatial and temporal downscaling to meter-scale, sub-hourly wind fields; (2) bias correction for systematic model errors in complex terrain; and (3) robust uncertainty quantification to inform ensemble-based simulations. Emerging AI/ML techniques offer promising frameworks to address all three challenges. By providing high-resolution, bias-corrected, and probabilistic wind fields, AI/ML-enhanced forecasts will allow for expanded burn windows, improved ignition strategy design and a reduced reliance on expert intuition, especially when a prescribed fire is introduced into new areas. Full article
(This article belongs to the Section Atmospheric Techniques, Instruments, and Modeling)
Show Figures

Figure 1

18 pages, 628 KB  
Article
Assessment of Drug Dosing Appropriateness in Hospitalized Chronic Kidney Disease Patients with Cardiovascular Diseases: A Cross-Sectional Study in the Al-Baha Region, Saudi Arabia (2023–2025)
by Lina O. Abdelmagid, Saleh Alghamdi, Mohammad Algarni, Mohammad A. Albanghali, Zuheir Osman, Ahmed Alghamdi, Mohammed Alamri, Mohammed S. Alghamdi, Saeed A. Alzahrani, Fayez Alghamdi and Bassant Mohamed Barakat
J. Clin. Med. 2026, 15(6), 2293; https://doi.org/10.3390/jcm15062293 - 17 Mar 2026
Viewed by 180
Abstract
Background/Objectives: For patients diagnosed with chronic kidney disease (CKD), it is important to follow guidelines addressing dose-adjustments for renally eliminated drugs to avoid complications related to toxicity and subtherapeutic effects. In Saudi Arabia, limited data are available regarding appropriate medication doses for CKD. [...] Read more.
Background/Objectives: For patients diagnosed with chronic kidney disease (CKD), it is important to follow guidelines addressing dose-adjustments for renally eliminated drugs to avoid complications related to toxicity and subtherapeutic effects. In Saudi Arabia, limited data are available regarding appropriate medication doses for CKD. In this study, we investigated the prevalence of inappropriately administered drugs in patients with CKD and examined factors associated with unadjusted renal dosing. Methods: A retrospective, cross-sectional, observational analysis (2023–2025) was conducted via a systematic electronic medical record review of hospitalized patients diagnosed with CKD and cardiovascular diseases (CVDs) in the Al-Baha region, Saudi Arabia. Medications were selected and evaluated for appropriate dosing based on creatinine clearance (CrCl). Medications were categorized as appropriately adjusted, inappropriately adjusted, unadjusted, or contraindicated. Results: A total of 440 patients (787 prescriptions) were included. At the patient level, 85% had at least one appropriately adjusted medication, 13% had at least one inappropriately adjusted medication, 30% had at least one medication that was not adjusted despite indication, 34% had at least one medication requiring no adjustment, and 17% had at least one contraindicated medication (categories are not mutually exclusive). At the prescription level, which was the primary analytic unit (N = 787), 48% of prescriptions were appropriately adjusted, 7% were inappropriately adjusted, 17% were not adjusted despite indication, 19% required no adjustment, and 10% were contraindicated. Antibiotics accounted for the largest share of inappropriate adjustments, representing 77% (43/56) of all inappropriate dose-adjustment events. In exploratory bivariate analyses, age was not statistically significantly associated with dosing outcomes (Holm-adjusted p = 0.145). Polypharmacy was highly prevalent (91% of patients) but was not significantly associated with any dosing outcome in these exploratory analyses, likely due to limited statistical power. Conclusions: Our results showed that several regularly prescribed drugs, including metformin, sitagliptin, ceftazidime, ciprofloxacin, and spironolactone, were inappropriately prescribed to patients with CKD. These dosing errors can be avoided by increasing clinicians’ and pharmacists’ awareness of appropriate dosage modifications essential for patients with CKD. Full article
(This article belongs to the Section Pharmacology)
Show Figures

Figure 1

15 pages, 1742 KB  
Article
Enhancing Insulin Therapy Adherence Through Technology: Which Needles Do People with Diabetes Prefer?
by Sandro Gentile, Raffaella Fiorentino, Maddalena Lettieri, Giuseppina Guarino, Giampiero Marino, Elisabetta Tommasi, Vera Frison, Ersilia Satta, Maria Chiarello, Giuseppe Caccavale, Emilia Masuccio and Felice Strollo
Diabetology 2026, 7(3), 56; https://doi.org/10.3390/diabetology7030056 - 9 Mar 2026
Viewed by 354
Abstract
Background: Despite major advances in insulin formulations and delivery systems since 1921, many people with diabetes (PwDs) still fail to achieve recommended glycemic targets. Common reasons include inadequate education, injection errors, and poor adherence due to factors such as needle phobia and pain. [...] Read more.
Background: Despite major advances in insulin formulations and delivery systems since 1921, many people with diabetes (PwDs) still fail to achieve recommended glycemic targets. Common reasons include inadequate education, injection errors, and poor adherence due to factors such as needle phobia and pain. Recognition of these barriers has driven the development of improved injection systems, particularly thinner and shorter needles. An experimental study previously identified the Pic Insupen 34 G 3.5 mm needle as high performing. We therefore conducted an observational study to assess its acceptability directly among PwDs. Methods: This multicentre, open-label, real-world study enrolled 300 insulin-treated PwDs who compared their usual pen needle (30–33 G) with the new 34 G × 3.5 mm needle over two two-week periods. The primary outcome was perceived puncture pain. Results: Participants overwhelmingly preferred the 34 G needle, based on the following findings: Pain perception: 62% of 34 G users reported minimal or no pain, compared with only 8% using their previous needle. Conversely, 22% of participants reported the highest pain score with their old needle, compared with just 5% using the 34 G. Ease of use: 77% rated the 34 G needle at the highest level of ease of use, compared with 20% for their previous needle. Complications: The 34 G needle was linked to significantly fewer hypo-/hyperglycemic episodes and local skin complications such as bruising or irritation. Eighty per cent reported no glycemic fluctuations while using the 34 G needle. Robustness: Ninety-four per cent of PwDs never observed the 34 G needle bending during use, compared with 64% using their previous needle, confirming greater robustness despite its thinner profile. Conclusions: The Insupen® 34 G × 3.5 mm needle substantially reduces puncture pain and improves the overall manageability of insulin injections. Its innovative design—combining reduced thickness with optimised tip geometry—is associated with fewer complications and enhanced injection performance. Because reduced pain and ease of use are critical for improving adherence to insulin therapy, the features of the 34 G needle should inform future prescribing decisions. Full article
Show Figures

Figure 1

14 pages, 1352 KB  
Article
Finite-Time Prescribed Performance Neural Network Force Control of Electro-Hydraulic Proportional Load Simulator with Output Feedback
by Zhenle Dong, Chao Li, Pengxiang Zhang, Yilong Jia, Jianyong Yao and Long Liu
Actuators 2026, 15(3), 150; https://doi.org/10.3390/act15030150 - 4 Mar 2026
Viewed by 215
Abstract
This paper focus on the high accuracy force control of electro-hydraulic proportional load simulator (EHPLS). Firstly, to weaken the influence of the unknown dead zone of the proportional valve, a mathematic model with a smooth inverse dead zone was constructed. Then, finite-time prescribed [...] Read more.
This paper focus on the high accuracy force control of electro-hydraulic proportional load simulator (EHPLS). Firstly, to weaken the influence of the unknown dead zone of the proportional valve, a mathematic model with a smooth inverse dead zone was constructed. Then, finite-time prescribed performance function, of which the desired steady-state value can be achieved within finite time, is defined to impose constraints on the tracking error, while the neural network feedback is introduced to compensate for the unknown dynamic, which can ensure the tracking accuracy further improved for the entire tracking process in the presence of unknown dead-zone parameters, unknown system parameters and disturbance. Finally, through design modification, the proposed control technologies are realized based on the output feedback signal. Comparative simulations under two desired force trajectories are carried out to verify the effectiveness of the proposed controller. Full article
Show Figures

Figure 1

16 pages, 554 KB  
Article
Utility of Field Tests for Predicting Cardiorespiratory Fitness and Prescribing Exercise Intensity in Cardiac Rehabilitation Programs: A Randomized Crossover Trial
by Blake E. G. Collins, Brett A. Gordon, Daniel W. T. Wundersitz, Jayden R. Hunter, Lisa C. Hanson and Michael I. C. Kingsley
J. Cardiovasc. Dev. Dis. 2026, 13(3), 114; https://doi.org/10.3390/jcdd13030114 - 3 Mar 2026
Viewed by 287
Abstract
The aims of this study are the following: To examine whether field tests predict cardiorespiratory fitness in people with coronary heart disease (CHD) and to determine if heart rate (HR) agreement between the first ventilatory threshold (VT1) and field tests is [...] Read more.
The aims of this study are the following: To examine whether field tests predict cardiorespiratory fitness in people with coronary heart disease (CHD) and to determine if heart rate (HR) agreement between the first ventilatory threshold (VT1) and field tests is sufficient for prescribing exercise intensity. Participants randomly completed field tests and a cardiopulmonary exercise test (CPET). Linear regression models were developed to predict VT1. Agreement between predicted and measured peak oxygen consumption (V̇O2peak) as well as field test terminal HR and HR at VT1 (VT1HR) was assessed using Pearson correlations, Bland–Altman analyses, mean absolute percentage error (MAPE), Lin’s concordance correlation coefficient (CCC), and standard error of estimate (SEE). Agreement between predicted and measured V̇O2peak was modest (Pearson’s r = 0.27–0.77; Lin’s CCC = 0.132–0.735; MAPE = 16.1–30.1%; SEE = 4.7–6.8 mL·kg−1·min−1). Agreement between field test terminal HR and VT1HR was moderate (Pearson’s r = 0.50–0.67; Lin’s CCC = 0.36–0.68; MAPE = 8.9–13.7%; SEE = 11.9–18.7 bpm; Bland–Altman 95%LOA = −3.5 to 13.7 bpm). Field tests demonstrated variable accuracy for predicting V̇O2peak, with none meeting predefined agreement criteria. Regression models indicate field tests can estimate VT1; however, levels of HR agreement indicate CPET is necessary for prescribing exercise intensity. Full article
Show Figures

Figure 1

11 pages, 393 KB  
Article
Analysis of Pharmacist Interventions to Reduce Medication-Related Problems in a Neonatal Clinical Care Unit
by Stephanie W. K. Teoh, Tamara Lebedevs, Geena Dickson, Marcus Femia and Nabeelah Mukadam
Pharmacy 2026, 14(2), 40; https://doi.org/10.3390/pharmacy14020040 - 2 Mar 2026
Viewed by 268
Abstract
(1) Background: Medication-related problems (MRPs) are a significant burden on health care systems. Pharmacists play an important role in preventing and reducing MRPs through clinical review, education, and policy governance. This study analyzed pharmacist interventions within a 92-bed neonatal clinical care unit to [...] Read more.
(1) Background: Medication-related problems (MRPs) are a significant burden on health care systems. Pharmacists play an important role in preventing and reducing MRPs through clinical review, education, and policy governance. This study analyzed pharmacist interventions within a 92-bed neonatal clinical care unit to better understand MRPs and guide targeted medication safety initiatives. (2) Methods: All pharmacist interventions documented in REDCap® between 1 July 2022 and 30 June 2025 were analyzed identifying MRP incidence, types, and acceptability following interventions. (3) Results: A total of 873 pharmacist interventions were recorded during the study period. The most common MRPs were related to dosing errors (320/873, 36.7%), compliance with hospital policy (152/873, 17.4%), no indication apparent (106/873, 12.1%), drug interactions (66/873, 7.6%), and inadequate laboratory monitoring (40/873, 4.6%). Of these, 545/873, 62.4% were accepted by prescribers, while 228/873, 26.1% had unknown outcomes at the time of data entry. 343/873, 39.3% of interventions documented were from the Neonatal Intensive Care Unit, involving medications such as gentamicin (n = 46/343, 13.4%), benzylpenicillin (n = 37/343, 10.8%), caffeine (n = 34/343, 9.9%), parenteral nutrition (n = 23/343, 6.7%), and morphine (n = 16/343, 4.7%) and meropenem (n = 16/343, 4.7%)). (4) Conclusions: Regular analysis of pharmacist interventions provides valuable insights into local MRP trends and highlights opportunities for quality improvement and education. Full article
(This article belongs to the Section Pharmacy Practice and Practice-Based Research)
Show Figures

Figure 1

14 pages, 615 KB  
Article
Effects of Caffeine on Voluntary Force Estimation During Isometric Exercises
by Ester Jiménez-Ormeño, Verónica Giráldez-Costas, Beatriz Lara-López, María Menchén-Rubio and Carlos Ruiz-Moreno
Sports 2026, 14(3), 90; https://doi.org/10.3390/sports14030090 - 2 Mar 2026
Viewed by 288
Abstract
Background: Caffeine is widely used as an ergogenic aid to enhance strength performance; however, its effects on perceptual accuracy during submaximal force regulation remain unclear, particularly in multi-joint isometric tasks. This study examined whether caffeine ingestion influences maximal isometric force production and the [...] Read more.
Background: Caffeine is widely used as an ergogenic aid to enhance strength performance; however, its effects on perceptual accuracy during submaximal force regulation remain unclear, particularly in multi-joint isometric tasks. This study examined whether caffeine ingestion influences maximal isometric force production and the accuracy of voluntary submaximal force estimation during complex isometric exercises. Methods: Seventeen recreationally trained participants completed a randomized, double-blind, placebo-controlled crossover study. Participants ingested either caffeine (4 mg·kg−1 body mass) or a placebo before performing an isometric squat test (ISqT) and an isometric mid-thigh pull test (IMTP). Maximal voluntary contractions were assessed, followed by freely estimated submaximal efforts at 50% and 75% of perceived maximal force. Relative peak force and discrepancies between prescribed and exerted force (estimation error) were analyzed, with discrepancies calculated as the difference between exerted force and the prescribed target intensity. Results: Caffeine ingestion did not significantly affect relative peak force during maximal isometric efforts nor improve the accuracy of voluntary submaximal force estimation. Regardless of supplementation conditions, participants consistently misestimated submaximal efforts, tending to overproduce force, particularly at lower intensities. The IMTP showed a closer approximation to prescribed submaximal targets than the ISqT. Conclusions: Ingesting 4 mg·kg−1 of caffeine does not enhance maximal isometric force output or perceptual accuracy during voluntary submaximal force regulation in multi-joint isometric tasks. Prescribing isometric intensity based solely on perceived effort may therefore be unreliable under these specific testing conditions, particularly at lower intensities. Full article
Show Figures

Figure 1

17 pages, 1450 KB  
Article
Active Disturbance Rejection Control for Nonlinear Systems Subject to Prescribed Performance Under Unknown Initial Tracking Conditions
by Xinen Liu, Qiang Qu, Yushan Meng and Haifeng Guo
Symmetry 2026, 18(3), 424; https://doi.org/10.3390/sym18030424 - 28 Feb 2026
Viewed by 175
Abstract
This paper proposes a novel active disturbance rejection prescribed performance controller for a class of strictly feedback nonlinear systems under unknown initial tracking conditions. By introducing a novel algebraic saturation function, the initial value of tracking error is transformed into a bounded range, [...] Read more.
This paper proposes a novel active disturbance rejection prescribed performance controller for a class of strictly feedback nonlinear systems under unknown initial tracking conditions. By introducing a novel algebraic saturation function, the initial value of tracking error is transformed into a bounded range, effectively overcoming the limitation of traditional prescribed performance control that requires prior knowledge of the initial value of tracking error. To address the differential explosion issue arising from the backstepping method, this paper employs dynamic surface processing techniques. The integration of active disturbance rejection control with prescribed performance control significantly enhances the robustness of nonlinear systems. The designed controller ensures that closed-loop systems under unknown initial tracking conditions converge to any small neighborhood near the origin within finite time. The system output satisfies the requirements of the prescribed performance function and exhibits excellent suppression capability against external disturbances. Full article
(This article belongs to the Section Mathematics)
Show Figures

Figure 1

23 pages, 381 KB  
Article
A Posteriori Error Estimation and Adaptive Taylor Series Methods for Nonlinear Function Approximation
by Mahboub Baccouch
Mathematics 2026, 14(5), 805; https://doi.org/10.3390/math14050805 - 27 Feb 2026
Viewed by 222
Abstract
The Taylor approximation theorem is a fundamental tool in numerical analysis, providing a local polynomial representation of smooth functions. In practical computations, a function f is approximated by a finite Taylor polynomial Pn, and controlling the resulting truncation error is of [...] Read more.
The Taylor approximation theorem is a fundamental tool in numerical analysis, providing a local polynomial representation of smooth functions. In practical computations, a function f is approximated by a finite Taylor polynomial Pn, and controlling the resulting truncation error is of central importance. In this paper, we introduce two novel a posteriori error estimation techniques for Taylor polynomial approximations. The proposed estimators are fully computable and do not require prior bounds on the (n+1)st derivatives of f. We prove that the estimators converge to the exact error both pointwise and in the L2-norm as n, and we establish their asymptotic sharpness through effectivity analysis. Based on these results, we develop two adaptive algorithms that automatically determine the minimal degree n required to achieve a prescribed tolerance, either at a specific point or over a domain. We further extend the analysis to multivariate functions and show that analogous estimators and effectivity properties hold in higher dimensions. Numerical experiments are presented to validate the theoretical results and demonstrate the practical performance of the proposed methods. Full article
29 pages, 6564 KB  
Article
Predefined-Time Globally Nonsingular Prescribed Performance Control for AUVs Under Uncertainties and Actuator Saturation
by Kang An, Yuchen Liao, Jinjun Jia and Dapeng Jiang
J. Mar. Sci. Eng. 2026, 14(5), 417; https://doi.org/10.3390/jmse14050417 - 25 Feb 2026
Viewed by 216
Abstract
Prescribed performance control (PPC) provides an effective framework for explicitly enforcing transient and steady-state performance constraints in autonomous underwater vehicle (AUV) trajectory tracking. However, in practical underwater environments, unavoidable localization errors, model uncertainties, and actuator saturation render conventional PPC schemes unsuitable due to [...] Read more.
Prescribed performance control (PPC) provides an effective framework for explicitly enforcing transient and steady-state performance constraints in autonomous underwater vehicle (AUV) trajectory tracking. However, in practical underwater environments, unavoidable localization errors, model uncertainties, and actuator saturation render conventional PPC schemes unsuitable due to their inherent semi-globality and singularity issues. To address these limitations, this paper proposes a globally nonsingular PPC framework for AUV tracking control under model uncertainties and input saturation. A novel error transformation function is developed, which fundamentally eliminates semi-global and singular behaviors without imposing additional control effort or modifying the initial error. Furthermore, a predefined-time disturbance observer is designed without requiring prior knowledge of disturbance bounds, and a predefined-time saturation compensator is introduced to mitigate actuator limitations. By integrating these components into a backstepping-based control structure, all closed-loop error signals are guaranteed to converge to an arbitrarily small neighborhood of the origin within a predefined time. Numerical simulations validate the effectiveness and superiority of the proposed method. Full article
(This article belongs to the Section Ocean Engineering)
Show Figures

Figure 1

18 pages, 3329 KB  
Article
Intelligent Tomato Leaf Disease Detection and Automated Spray Prescription Using YOLOv9: A Smart Agriculture Approach
by Shahab Ul Islam, Giampaolo Ferraioli, Ghassan Husnain, Abdul Waheed and Vito Pascazio
Automation 2026, 7(2), 36; https://doi.org/10.3390/automation7020036 - 25 Feb 2026
Viewed by 307
Abstract
Tomato cultivation is a cornerstone of global agriculture, yet it faces significant challenges from a variety of diseases that can drastically reduce yield and quality. Traditional methods of disease detection, which rely on manual inspection, are labor-intensive, time-consuming, and prone to human error. [...] Read more.
Tomato cultivation is a cornerstone of global agriculture, yet it faces significant challenges from a variety of diseases that can drastically reduce yield and quality. Traditional methods of disease detection, which rely on manual inspection, are labor-intensive, time-consuming, and prone to human error. To address these challenges, this study presents an advanced, automated system for tomato disease detection and spray prescription using an enhanced YOLOv9 (You Only Look Once) model. By leveraging advanced deep learning techniques, the proposed system accurately identifies and detects nine tomato leaf diseases in real-time by making efficient, precise, and accurate decisions. This YOLOv9 model is modified for detecting tomato leaf diseases and optimized for getting higher accuracy and efficiency. The system automatically prescribes the spray based on detected disease, which helps in reducing pesticide use, along with the environmental impact. This system helps in maximizing crop health and yield. After testing the system on the test dataset and real-time images, the results demonstrate the system’s accuracy and efficiency, achieving a detection accuracy of 97% and spray prescription accuracy of 94%. Integrating a YOLOv9 with a spray prescription system provides a sustainable, cost-effective solution for managing tomato plant diseases. Implementing this system on edge devices paves the way for more extensive precision agriculture applications. By integrating advanced technology with real-world agricultural needs, this work makes a contribution and a global effort to ensure food security and ecological farming practices. Full article
(This article belongs to the Section Robotics and Autonomous Systems)
Show Figures

Figure 1

23 pages, 6295 KB  
Article
Influence of Transmitter Arrangement on Localization Accuracy in Radio–Ultrasonic RTLS in Underground Roadways
by Sławomir Bartoszek, Grzegorz Ćwikła, Gabriel Kost, Artur Dylong, Dominik Bałaga and Sebastian Jendrysik
Appl. Sci. 2026, 16(4), 2142; https://doi.org/10.3390/app16042142 - 23 Feb 2026
Viewed by 290
Abstract
This paper presents a sensitivity analysis of positioning accuracy in a localization system based on signal time-of-flight measurements, intended for operation in underground roadway workings. The underground environment is characterized by limited installation space, numerous obstacles causing multipath propagation, and the presence of [...] Read more.
This paper presents a sensitivity analysis of positioning accuracy in a localization system based on signal time-of-flight measurements, intended for operation in underground roadway workings. The underground environment is characterized by limited installation space, numerous obstacles causing multipath propagation, and the presence of sections with non-uniform geometry, which in practice leads to a “flattening” of the transmitter constellation and a deterioration of the conditioning of the trilateration problem. As a result, even small changes in input parameters (e.g., related to infrastructure geometry, distance-measurement quality, or the adopted model) may cause a significant change in the position-estimation error, thereby reducing the reliability of roadheader localization across the entire working area. In this study, a local sensitivity analysis is employed to identify the parameters that dominate the positioning outcome. Sensitivity coefficients are defined in a normalized form and are determined numerically using a perturbation approach (changing a given input parameter by a prescribed percentage), which avoids analytical differentiation of the complex relationships arising from the trilateration equations. The analysis is performed for a roadway scenario supported by an ŁP10 steel arch yielding support, with transmitters installed under the support arch and the roadheader trajectory represented by a sequence of consecutive position vectors. The obtained results allow the solution’s susceptibility to errors and uncertainties in the parameters to be assessed and indicate which parameters require priority control in practical implementation. On this basis, recommendations are formulated for the design and maintenance of the localization infrastructure, including transmitter placement and reconfiguration rules (relocation or adding an additional transmitter), to maintain stable positioning quality under operational mining conditions. Full article
Show Figures

Figure 1

26 pages, 3551 KB  
Article
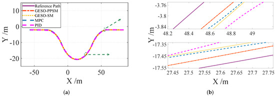
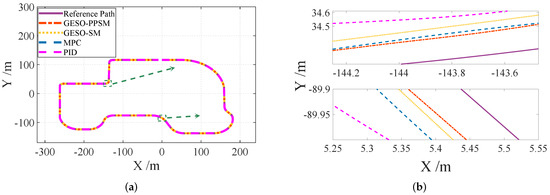
Generalized Extended-State Observer-Based Switched Sliding Mode for Path-Tracking Control of Unmanned Agricultural Tractors with Prescribed Performance
by Shenghui Li, Benjian Dai, Zhenzhen Huang, Jinlin Sun and Li Ma
Agriculture 2026, 16(4), 490; https://doi.org/10.3390/agriculture16040490 - 22 Feb 2026
Viewed by 272
Abstract
Time-varying disturbances arising from complex terrain and the lack of rigorous constraint-handling mechanisms significantly degrade the path-tracking performance of unmanned agricultural tractors (UATs). To address these issues, this paper proposes a generalized extended-state-observer-based prescribed-performance sliding-mode (GESO-PPSM) control method. First, a homeomorphic mapping-based prescribed [...] Read more.
Time-varying disturbances arising from complex terrain and the lack of rigorous constraint-handling mechanisms significantly degrade the path-tracking performance of unmanned agricultural tractors (UATs). To address these issues, this paper proposes a generalized extended-state-observer-based prescribed-performance sliding-mode (GESO-PPSM) control method. First, a homeomorphic mapping-based prescribed performance function is employed to impose hard performance constraints, guaranteeing that the preview error remains within predefined bounds throughout the entire process. Second, a generalized super-twisting extended-state observer (GESO) is developed to compensate for lumped uncertainties, enabling finite-time and high-accuracy disturbance estimation compared with that of conventional observers. Furthermore, a switching sliding mode surface is designed to achieve fast convergence far from equilibrium while effectively suppressing overshoot near the origin. Unlike traditional sliding mode control, a continuous path-tracking control law based on a power function is formulated to ensure robustness while avoiding discontinuities. Comparative co-simulations based on a high-fidelity UAT model demonstrate that the proposed control method achieves superior steady-state accuracy, with significant reductions in preview error standard deviations of up to 92.52%, 84.33%, and 80.44% compared to PID, model predictive control (MPC), and GESO-based conventional sliding mode (GESO-SM) control, respectively. These results validate the superiority of the GESO-PPSM method in terms of accuracy, robustness, and strict constraint satisfaction in complex agricultural environments. Full article
Show Figures

Figure 1

Back to TopTop