Sign in to use this feature.

Years

Between: -

Subjects

remove_circle_outline
remove_circle_outline
remove_circle_outline
remove_circle_outline
remove_circle_outline

Journals

Article Types

Countries / Regions

Search Results (31)

Search Parameters:
Keywords = post-smolt

Order results
Result details
Results per page
Select all
Export citation of selected articles as:
16 pages, 1094 KB  
Article
Study on the Selective Behavior of Brachymystax tsinlingensis Li, 1966 (Order: Saloniformes, Family: Salmonidae) on Substrate Color and Type
by Lin Zhang, Rongqun Song and Jian Shao
Animals 2025, 15(14), 2089; https://doi.org/10.3390/ani15142089 - 15 Jul 2025
Viewed by 314
Abstract
Substrate is an important component of a fish’s habitat environment. Fish preferences for substrate influence their growth and development, feeding, hiding, schooling, and reproduction. To explore the habitat preference of Brachymystax tsinlingensis, this study was conducted on the preferences of B. pre-smolts, [...] Read more.
Substrate is an important component of a fish’s habitat environment. Fish preferences for substrate influence their growth and development, feeding, hiding, schooling, and reproduction. To explore the habitat preference of Brachymystax tsinlingensis, this study was conducted on the preferences of B. pre-smolts, post-smolts, and juveniles for three substrate colors, white, blue, and black, and four substrate types, sand (<0.5 cm in diameter), small gravel (1–2 cm in diameter), medium gravel (5–7 cm in diameter), and large gravel (12–16 cm in diameter), which were investigated in light (10–60 lx) and dark (no light) environments. The results showed that the individual populations of B. tsinlingensis in three periods of time had a clear preference for substrate color, preferring black substrate and staying away from blue substrate under both light and dark environmental conditions; B. tsinlingensis pre-smolts and post-smolts preferred sandy substrate, and juveniles preferred medium gravel substrate. The choice of substrate color and substrate type by B. tsinlingensis is a manifestation of the living environment characteristics of this species, which is conducive to their hiding, better avoidance of enemies, and improvement of their survival rate. Based on the research results and the early biological characteristics of B. tsinlingensis, it is recommended to use black or dark substrate during the cultivation of B. tsinlingensis fry. During the larval fish stage, a sandy substrate environment should be provided. During the juvenile fish stage, a medium-gravel environment should be provided. Full article
(This article belongs to the Collection Behavioral Ecology of Aquatic Animals)
Show Figures

Figure 1

25 pages, 2551 KB  
Article
Impact of Temperature Reduction from 14 °C to 12 °C in RASs on Atlantic Salmon: Increased Mineral Accumulation in RASs and Enhanced Growth Post-Transfer to Seawater
by Vegard Øvstetun Flo, Jon Øvrum Hansen, Tomé Silva, Jannicke Vigen and Odd-Ivar Lekang
Water 2025, 17(6), 803; https://doi.org/10.3390/w17060803 - 11 Mar 2025
Viewed by 2475
Abstract
Robust, healthy, and fast-growing smolt is of high importance for fish farmers as a way of reducing the mortality and production time of Atlantic salmon (Salmo salar) in open sea pens. Lowering the water temperature in flow-through systems (FTSs) compared to [...] Read more.
Robust, healthy, and fast-growing smolt is of high importance for fish farmers as a way of reducing the mortality and production time of Atlantic salmon (Salmo salar) in open sea pens. Lowering the water temperature in flow-through systems (FTSs) compared to recirculating aquaculture systems (RASs) has shown promising results for the growth and health of fish post-transfer to sea; unfortunately, limited information is available on the same parameters in replicated RAS setups. Hence, the current study aimed to compare the performance of Atlantic salmon reared at 12 and 14 °C over a 9-week RAS period and a subsequent 10-week post-transfer period, while also investigating the accumulation pattern of minerals in RASs. The results showed a 100% survival and comparable condition factors and cardiosomatic index (CSI) across both temperatures. During the RAS period, the thermal growth coefficient (TGC) was higher at 12 °C, but body weight gain and feed consumption were lower. No differences in mineral retention or fecal stability were observed. However, the production water accumulated more dissolved phosphorus (DP) and total iron (Fe) at 12 °C. Post-transfer, the TGC remained higher for fish with a rearing history of 12 °C. This fish also had higher body weight gain and feed consumption while exhibiting a lower hepatosomatic index (HSI) and viscerosomatic index (VSI), indicating improved muscle growth. Overall, lower water temperature reduced growth and increased DP and Fe in RASs. However, it improved post-transfer weight gain of muscle tissue, highlighting its benefits for seawater performance. Full article
(This article belongs to the Special Issue Aquaculture Productivity and Environmental Sustainability)
Show Figures

Figure 1

13 pages, 1617 KB  
Article
Body Shape Variation in Atlantic Salmon (Salmo salar, L.) Fed Fishmeal and Fish Oil-Free Diets
by Jorge G. Chollet-Villalpando, Frederic T. Barrows and Ewen McLean
Fishes 2025, 10(2), 62; https://doi.org/10.3390/fishes10020062 - 2 Feb 2025
Viewed by 2104
Abstract
Post-smolt Atlantic salmon were fed control (C), plant protein- (PP), and animal protein (AP)-based diets over a 90-day period. At trial start, the outline shape variation in the salmon body was recorded using two-dimensional Cartesian coordinates of a combination of 12 landmarks (LM) [...] Read more.
Post-smolt Atlantic salmon were fed control (C), plant protein- (PP), and animal protein (AP)-based diets over a 90-day period. At trial start, the outline shape variation in the salmon body was recorded using two-dimensional Cartesian coordinates of a combination of 12 landmarks (LM) and three semi-landmarks from each of the 48 fish. The identical landmarks were then assessed at trial end for the differing dietary treatments. These datasets were used to determine whether diet exerted a measurable effect on body shape to enable authentication of fishmeal/fish oil-free status. Most differences in shape at trial end were visualized at the base of the dorsal and pelvic fins and caudal peduncle. The greatest shape variation between PP and AP groups was found at the base of the pectoral and pelvic fins. While PP and AP groups were more similar in shape than control fish, the recorded differences were not significant enough to verify dietary origins. The number of animals employed and the length of the trial period were likely insufficient to distinguish alterations in body shape with any certainty. Future trials should employ larger numbers of animals and be of longer length to verify whether PP-based feeds cause changes in body shape. Full article
(This article belongs to the Section Nutrition and Feeding)
Show Figures

Figure 1

33 pages, 14381 KB  
Article
Reduced Numbers of Returning Atlantic Salmon (Salmo salar) and Thiamine Deficiency Are Both Associated with the Consumption of High-Lipid Prey Fish
by Marja Keinänen, Jari Raitaniemi, Jukka Pönni, Tiina Ritvanen, Timo Myllylä and Pekka J. Vuorinen
Fishes 2025, 10(1), 16; https://doi.org/10.3390/fishes10010016 - 31 Dec 2024
Viewed by 1924
Abstract
In 2023, exceptionally few salmon (Salmo salar) ascended from the Baltic Sea to spawn in the Rivers Tornionjoki and Simojoki, regardless of the proper number of smolts descending to the sea in preceding years. We investigated how the numbers of age-0 [...] Read more.
In 2023, exceptionally few salmon (Salmo salar) ascended from the Baltic Sea to spawn in the Rivers Tornionjoki and Simojoki, regardless of the proper number of smolts descending to the sea in preceding years. We investigated how the numbers of age-0 and young herring (Clupea harengus) and sprat (Sprattus sprattus), which are the principal prey species of salmon in the Baltic Proper, the main feeding area of these salmon, as well as the amount of lipid obtained from them and their protein-to-lipid ratio, correlated with the number of returning salmon and the thiamine (vitamin B1) status of spawning salmon. The fewer the 0-year-old herring were and the more abundant were the youngish sprat in the Baltic Proper when the post-smolts arrived there, and the greater the lipid content and lower the protein-to-lipid ratio of the prey fish, the fewer salmon returned to the Rivers Tornionjoki and Simojoki to spawn two years later. The number of returning salmon was lowest with a high ratio of youngish sprat, 1–3 years old, regarding the River Tornionjoki and 1–2 years old regarding the River Simojoki post-smolts, to 0-year-old herring, which were of a suitable size to be the prey for the post-smolts upon their arrival in the Baltic Proper. In 2021, the ratios were lowest due to the record-low number of 0-year-old herring. The poor thiamine status of spawning salmon was also associated with the high lipid content of available prey fish and with the abundance of youngish sprat, which have twice the lipid content of age-0 herring. Our findings parallel the observations in the early 1990s when post-smolt survival declined concurrently with the outbreak of thiamine deficiency, M74. We conclude that consuming high-lipid marine fish reduces the survival of post-smolts and, thus, the number of returning salmon, in addition to causing thiamine deficiency. Full article
Show Figures

Graphical abstract

8 pages, 1692 KB  
Communication
Differential Transcriptomic Profile of Piscirickettsia salmonis LF-89 and EM-90 During an In Vivo Spatial Separation Co-Culture in Atlantic Salmon
by Gabriela Carril, Hanne C. Winther-Larsen, Marie Løvoll and Henning Sørum
Microorganisms 2024, 12(12), 2480; https://doi.org/10.3390/microorganisms12122480 - 2 Dec 2024
Cited by 1 | Viewed by 1707
Abstract
Salmonid rickettsial septicemia (SRS) is a critical sanitary problem in the Chilean aquaculture industry since it induces the highest mortality rate in salmonids among all infectious diseases. Piscirickettsia salmonis, a facultative intracellular bacterium, is the biological agent of SRS. In Chile, two [...] Read more.
Salmonid rickettsial septicemia (SRS) is a critical sanitary problem in the Chilean aquaculture industry since it induces the highest mortality rate in salmonids among all infectious diseases. Piscirickettsia salmonis, a facultative intracellular bacterium, is the biological agent of SRS. In Chile, two genogroups of P. salmonis, designated as LF-89 and EM-90, have been identified. Previous studies suggested that their cohabitation triggers the expression of virulence effectors, which may be related to a higher pathogenicity in salmonids during co-infection with both P. salmonis genogroups. Therefore, we aimed to evaluate if the physical contact between two isolates from LF-89 and EM-90 is necessary to activate this effect. Through a spatially separated in vivo co-culture inside Atlantic salmon (Salmo salar) post smolts and RNA-seq analysis, we compared the differentially expressed genes (DEGs) with previous results from an in vivo mixed co-culture. The results showed that although the LF-89-like isolate and the EM-90-like isolate had a similar DEG profile under both co-culture conditions, important virulence factors observed during the mixed co-cultures (i.e., flagellar-related genes, CydD, and NCS2) were absent in the spatially separated co-cultures. Hence, the synergistic effect linked to increased pathogenicity to the host may be driven by the physical co-localization and contact between the P. salmonis LF-89-like and EM-90-like isolates. Full article
(This article belongs to the Special Issue Pathogens and Aquaculture)
Show Figures

Figure 1

10 pages, 720 KB  
Brief Report
Limited Experimental Susceptibility of Post-Smolt Atlantic salmon (Salmo salar) to an Emergent Strain of Vibrio Anguillarum Serotype O3
by Demitri Lifgren, Sarah M. Turner, Timothy J. Welch, Deborah Bouchard and Mark P. Polinski
Aquac. J. 2024, 4(4), 283-292; https://doi.org/10.3390/aquacj4040021 - 17 Nov 2024
Viewed by 1220
Abstract
Preliminary evidence has showed an emergent serotype O3 (SO3) strain of Vibrio anguillarum to cause mortality in pre-smolt Atlantic salmon (Salmo salar) by injection with >105 colony forming units (cfus). Here, we sought to identify the susceptibility of Atlantic salmon [...] Read more.
Preliminary evidence has showed an emergent serotype O3 (SO3) strain of Vibrio anguillarum to cause mortality in pre-smolt Atlantic salmon (Salmo salar) by injection with >105 colony forming units (cfus). Here, we sought to identify the susceptibility of Atlantic salmon post-smolts to this emergent strain by both injection and cohabitation to better understand transmission risk within cultured salmon and possibly between salmon and Atlantic menhaden (Brevoortia tyrannus), where this strain was identified. We identified that although mortality could be induced with a high-dose (>106 cfus) intraperitoneal injection of the emergent SO3 strain (cumulative mortality of 40%), post-smolt Atlantic salmon were highly refractory to a low dose (<106 cfus; cumulative mortality of 3%) or cohabitation exposure (no mortality). A qPCR assay targeting this strain was developed and analytically validated, revealing the limited presence of bacterial DNA in the spleen of low-dose-injected fish (2/36) and no detections in sampled cohabitants (0/70) across three timepoints during the 27-day challenge. These results suggest that although Atlantic salmon can succumb to high-dose artificial infections with V. anguillarum SO3, the risk of natural transmissibility and susceptibility of Atlantic salmon to this emergent strain is anticipated to be low. Full article
Show Figures

Figure 1

10 pages, 2349 KB  
Article
Smoltification of Atlantic Salmon (Salmo salar L.) Is Associated with Enhanced Traffic and Renewal of B Cell Repertoire
by Aleksei Krasnov, Sergey Afanasyev, Marianne H. S. Hansen, Marta Bou, Lene Sveen and Jens-Erik Dessen
Genes 2024, 15(9), 1220; https://doi.org/10.3390/genes15091220 - 18 Sep 2024
Cited by 2 | Viewed by 2365
Abstract
The smoltification of farmed Atlantic salmon is commonly associated with mild immunosuppression. However, B cells may deviate from this trend, showing increased proliferation and migration during this period. This study assessed the effects of smoltification and adaptation to seawater in a controlled experiment. [...] Read more.
The smoltification of farmed Atlantic salmon is commonly associated with mild immunosuppression. However, B cells may deviate from this trend, showing increased proliferation and migration during this period. This study assessed the effects of smoltification and adaptation to seawater in a controlled experiment. Analyses were conducted on the head kidney, spleen, gill, and both visceral and subcutaneous fat (VAT, SAT) across four time points: parr, early and complete smoltification, and twelve weeks post-seawater transfer. Gene expression analysis was performed to track the distribution and developmental changes in their B cells. Expression profiles of three types of immunoglobulins (ig), including membrane-bound and secreted forms of igm, as well as B cell-specific markers pax1 and cd79, showed strong correlations and contrasted with profiles of other immune cell markers. The highest levels of expression were observed in the lymphatic tissue, followed by the VAT. Enhanced expression in the gill and adipose tissues of smolts suggested an increase in B cell populations. Parallel sequencing of the variable region of the IgM heavy chain was used to track B cell traffic, assessed by the co-occurrence of the most abundant sequences (clonotypes) across different tissues. Smoltification markedly enhanced traffic between all tissues, which returned to initial levels after twelve weeks in the sea. The preferred migration between the head kidney, spleen, and VAT supports the role of abdominal fat as a reservoir of lymphocytes. These findings are discussed in the context of recent studies that suggested the functional significance of B cell traffic in Atlantic salmon. Specifically, the migration of B cells expressing secreted immunoglobulins to virus-infected hearts has been identified as a key factor in the disease recovery and survival of fish challenged with salmon alphavirus (SAV); this process is accelerated by vaccination. Additionally, the study of melanized foci in the skeletal muscles revealed an association between antigen-dependent differentiation and the migration of B cells, indicating a transfer from local to systemic immune responses. Updating the antibody repertoire in the lymphatic and peripheral tissues of smolts may assist in their adaptation to the marine environment and in encountering new pathogens. Emerging evidence highlights B cell migration as an important and previously unrecognized immune mechanism in salmonids. Full article
(This article belongs to the Special Issue Genetic Studies of Fish)
Show Figures

Figure 1

18 pages, 1531 KB  
Article
RAS-Designed Diets Result in Lower Accumulation of Nitrogen, Phosphorus, and Zinc in Recirculating Aquaculture System Compared with Traditional Flow-Through Designed Diets
by Vegard Øvstetun Flo, Thomas Cavrois-Rogacki, Jon Øvrum Hansen, Jannicke Vigen, Thomas Gitlesen and Odd-Ivar Lekang
Fishes 2024, 9(8), 300; https://doi.org/10.3390/fishes9080300 - 1 Aug 2024
Cited by 2 | Viewed by 3881
Abstract
A four-week trial was conducted to compare the effects of a conventional flow-through system diet (FTS) and an experimental RAS diet (ERAS) on fish performance, water quality and general system implication in a replicated recirculation aquaculture system (RAS). Six identical RAS, each with [...] Read more.
A four-week trial was conducted to compare the effects of a conventional flow-through system diet (FTS) and an experimental RAS diet (ERAS) on fish performance, water quality and general system implication in a replicated recirculation aquaculture system (RAS). Six identical RAS, each with a total system water volume of 1500 L and cylindrical rearing tanks of 1000 L were stocked with Atlantic salmon (Salmo salar) post-smolts with an average weight of 199.7 ± 28 g, to an average stocking density of 30 kg/m3 and reaching approximately 49 kg/m3 at the trial end. The ERAS diet were composed to inhabit typical RAS feed characteristics compared with the FTS diet, such as a higher fecal stability and reduced protein levels (−12%), but at the same time increased fat content (+8%) to secure similar gross energy levels (22–23 MJ kg−1) between the two diets. Water quality parameters were measured individually. The total accumulation of minerals and metals was analyzed in water from different parts of the system at the start and end of the trial period for both diets. No differences in growth, condition factor, feed conversion rate (FCR), or survival of fish fed the two dietary adaptations were observed. The system using the ERAS diet showed significantly higher pH (+1.2%) and alkalinity (+17%) and lower total ammonia nitrogen (TAN) (−18%) and NO2 (−46%) compared with the FTS diet. The count of drum filter activations was also significantly lower (−13%) with the ERAS diet. Compared with the FTS diet, the ERAS diet had a lower probability (−4%) of generating particles smaller than 50 μm, and that the RAS was also more effective in removing particles from the drum filter, prompting a lower daily activation of the filter of 22.1 ± 3.0 counts compared with 25.5 ± 3.5 for the FTS diet. Mineral analysis showed a significantly lower accumulation of total phosphorus (TP) (−90%) and dissolved phosphorus (DP) (−92%) in the RAS units using the ERAS diet compared with those using the FTS diet. Compared with a traditional flow-through diet, these results highlight the benefits of using an RAS-adapted diet that matches the energy requirement of flow-through diets regarding water quality, system performance, satisfactory growth, and condition. Full article
Show Figures

Figure 1

16 pages, 1168 KB  
Article
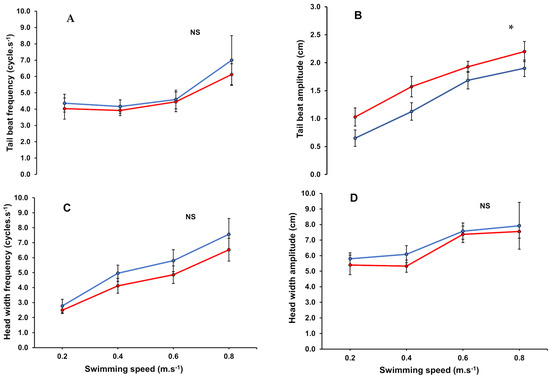
Swimming at Increasing Speeds in Steady and Unsteady Flows of Atlantic Salmon Salmo salar: Oxygen Consumption, Locomotory Behaviour and Overall Dynamic Body Acceleration
by Wisdom E. K. Agbeti, Arjan P. Palstra, Suzy Black, Leonardo Magnoni, Martin Lankheet and Hans Komen
Biology 2024, 13(6), 393; https://doi.org/10.3390/biology13060393 - 29 May 2024
Cited by 3 | Viewed by 2214
Abstract
The swimming performance of cultured finfish species is typically studied under steady flow conditions. However, flow conditions are mostly unsteady, for instance, as experienced in sea pens in exposed sea areas. Using a Loligo swim tunnel, we investigated the effects of swimming in [...] Read more.
The swimming performance of cultured finfish species is typically studied under steady flow conditions. However, flow conditions are mostly unsteady, for instance, as experienced in sea pens in exposed sea areas. Using a Loligo swim tunnel, we investigated the effects of swimming in steady and unsteady flows at increasing swimming speeds on post-smolt Atlantic salmon. Oxygen consumption (MO2), locomotory behaviour, and overall dynamic body acceleration (ODBA), as determined with implanted acoustic sensor tags, were compared between both flow conditions. Results were obtained for mean swimming speeds of 0.2 to 0.8 m.s−1 under both flow conditions. Sensor tags that were implanted in the abdominal cavity had no significant effects on MO2 and locomotory parameters. The MO2 of fish swimming in unsteady flows was significantly higher (15–53%) than when swimming in steady flows (p < 0.05). Significant interaction effects of ODBA with flow conditions and swimming speed were found. ODBA was strongly and positively correlated with swimming speed and MO2 in unsteady flow (R2 = 0.94 and R2 = 0.93, respectively) and in steady flow (R2 = 0.91 and R2 = 0.82, respectively). ODBA predicts MO2 well over the investigated range of swimming speeds in both flow conditions. In an unsteady flow condition, ODBA increased twice as fast with MO2 compared with steady flow conditions (p < 0.05). From these results, we can conclude that (1) swimming in unsteady flow is energetically more costly for post-smolt Atlantic salmon than swimming in steady flow, as indicated by higher MO2, and (2) ODBA can be used to estimate the oxygen consumption of post-smolt Atlantic salmon in unsteady flow in swim tunnels. Full article
(This article belongs to the Section Physiology)
Show Figures

Figure 1

21 pages, 988 KB  
Article
Influence of Krill Meal on the Performance of Post-Smolt Atlantic Salmon That Are Fed Plant-Based and Animal-Based Fishmeal and Fish Oil-Free Diets
by Frederick T. Barrows, Kelly B. Campbell, T. Gibson Gaylord, Rodrigo C. M. Sanchez, Sergio A. Castillo and Ewen McLean
Fishes 2023, 8(12), 590; https://doi.org/10.3390/fishes8120590 - 30 Nov 2023
Cited by 6 | Viewed by 3768
Abstract
The purpose of this study was to determine the influence of krill meal (KM) inclusion at various levels (0%, 2.5%, 5%) in plant-based and animal-based feeds, that were fishmeal (FM) and fish oil (FO) free, on Atlantic salmon growth. A FM/FO feed containing [...] Read more.
The purpose of this study was to determine the influence of krill meal (KM) inclusion at various levels (0%, 2.5%, 5%) in plant-based and animal-based feeds, that were fishmeal (FM) and fish oil (FO) free, on Atlantic salmon growth. A FM/FO feed containing 0% KM was the control. Using a 2 × 3 factorial approach, diets were randomly assigned to one of 28 0.5 m3 flow-through tanks (n = 4 tanks per diet) initially stocked with 60 fish (148.4 ± 12.9 g; 23.6 ± 0.8 cm; condition factor (K) = 1.16 ± 0.08) each. Salmon were fed for 90 days using automatic feeders ad libitum. On day 45, stocking densities were reduced to 45 fish per tank by the random removal of 15 individuals to remove any potential of density affecting growth through the trial end. Water temperature, oxygen saturation, pH, and salinity throughout the trial were 11.8 °C, 103.5%, 7.38, and 32.0 g L−1, respectively. Fish fed plant-based feed without KM were lighter (p < 0.05) than all other groups at day 45 and 90, but those fed a plant-based feed with KM had comparable growth and feed intake compared to that of fish fed the control diet. Irrespective of the presence of KM, animal-based feeds achieved comparable weight growth (p > 0.05) to the control and 5% KM plant-based groups, with KM increasing feed intake (p < 0.05). Between day 45 and 90, feed conversion ratios increased in all groups except the control and 0% KM plant-based group, while specific growth rates (SGRs) decreased for all except the 0% KM plant-based diet. Between-group differences (p < 0.05) were also noted for the thermal growth coefficient. No differences were recorded in visceral or intestinal weight, and whole-body lipid levels were identical, proportional for all groups. Although differences (p < 0.05) were apparent in the concentrations of individual fillet fatty acids between groups, a 75 g serving size of any treatment would be sufficient to exceed daily intake recommendations for EPA + DHA. This trial determined that benefit, in terms of feed intake and growth performance, was gained when KM was added to plant-based feeds. However, no such advantage was observed when KM was used with animal-based feeds. Full article
(This article belongs to the Section Nutrition and Feeding)
Show Figures

Figure 1

14 pages, 983 KB  
Article
Partial Replacement of Fishmeal with Poultry By-Product Meal in Diets for Coho Salmon (Oncorhynchus kisutch) Post-Smolts
by Hairui Yu, Min Li, Leyong Yu, Xuejun Ma, Shuliang Wang, Ziyi Yuan and Lingyao Li
Animals 2023, 13(17), 2789; https://doi.org/10.3390/ani13172789 - 1 Sep 2023
Cited by 11 | Viewed by 3207
Abstract
The present study evaluated the effects of partially substituting fish meal (FM) with poultry by-product meal (PBPM) on the growth, muscle composition, and tissue biochemical parameters of coho salmon (Oncorhynchus kisutch) post-smolts. Five isonitrogenous (7.45% nitrogen) and isoenergetic (18.61 MJ/kg gross [...] Read more.
The present study evaluated the effects of partially substituting fish meal (FM) with poultry by-product meal (PBPM) on the growth, muscle composition, and tissue biochemical parameters of coho salmon (Oncorhynchus kisutch) post-smolts. Five isonitrogenous (7.45% nitrogen) and isoenergetic (18.61 MJ/kg gross energy) experimental diets were made by substituting 0%, 10%, 20%, 40%, and 60% FM protein with PBPM protein, which were designated accordingly as PBPM0 (the control), PBPM10, PBPM20, PBPM40, and PBPM60, respectively. Each diet was fed to triplicates of ten post-smolts (initial individual body weight, 180.13 ± 1.32 g) in three floating cages three times daily (6:50, 11:50, and 16:50) to apparent satiation for 84 days. Both specific growth rate (SGR) and protein efficiency ratio did not differ significantly (p > 0.05) among the control, PBPM10, and PBPM20 groups, which were remarkably (p < 0.05) higher than those of the PBPM40 and PBPM60 groups. Feed conversion ratio varied inversely with SGR. The PBPM replacement had no remarkable effects on the morphological indices and proximal muscle components. The control and PBPM10 groups led to significantly higher muscle contents of leucine, lysine, and methionine than groups of higher PBPM inclusion. The groups of PBPM40 and PBPM60 obtained significantly (p < 0.05) higher serum alanine aminotransferase and aspartate aminotransferase activities than the control and low PBPM inclusion groups. The control group had significantly higher albumin and total cholesterol contents than the groups with PBPM inclusion. The control group had significantly higher triglycerides content than the PBPM60 group. The PBPM60 group had significantly lower contents of high-density lipoprotein, low-density lipoprotein, and total protein than the control and PBPM10 groups. The high PBPM replacement level up to 40% and 60% had adverse effects on hepatic malondialdehyde levels. The catalase and superoxide dismutase activities were not affected by low PBPM inclusion, but significantly decreased in high-PBPM-inclusion groups. Based on broken-line regression analysis of SGR and PER, the optimum dietary PBPM replacing level was evaluated to be 16.63–17.50% of FM protein for coho salmon post-smolts. Full article
(This article belongs to the Section Aquatic Animals)
Show Figures

Figure 1

18 pages, 3263 KB  
Article
Seasonal Changes in Photoperiod: Effects on Growth and Redox Signaling Patterns in Atlantic Salmon Postsmolts
by Peng Yin, Takaya Saito, Per Gunnar Fjelldal, Björn Thrandur Björnsson, Sofie Charlotte Remø, Tom Johnny Hansen, Sandeep Sharma, Rolf Erik Olsen and Kristin Hamre
Antioxidants 2023, 12(8), 1546; https://doi.org/10.3390/antiox12081546 - 2 Aug 2023
Cited by 9 | Viewed by 2887
Abstract
Farmed Atlantic salmon reared under natural seasonal changes in sea-cages had an elevated consumption of antioxidants during spring. It is, however, unclear if this response was caused by the increase in day length, temperature, or both. The present study examined redox processes in [...] Read more.
Farmed Atlantic salmon reared under natural seasonal changes in sea-cages had an elevated consumption of antioxidants during spring. It is, however, unclear if this response was caused by the increase in day length, temperature, or both. The present study examined redox processes in Atlantic salmon that were reared in indoor tanks at constant temperature (9 °C) under a simulated natural photoperiod. The experiment lasted for 6 months, from vernal to autumnal equinoxes, with the associated increase and subsequent decrease in day length. We found that intracellular antioxidants were depleted, and there was an increase in malondialdehyde (MDA) levels in the liver and muscle of Atlantic salmon with increasing day length. Antioxidant enzyme activity in liver and muscle and their related gene profiles was also affected, with a distinct upregulation of genes involved in maintaining redox homeostasis, such as peroxiredoxins in the brain in April. This study also revealed a nuclear factor-erythroid 2-related factor 2 (Nrf2)-mediated oxidative stress response in muscle and liver, suggesting that fish integrate environmental signals through redox signaling pathways. Furthermore, growth and expression profiles implicated in growth hormone (GH) signaling and cell cycle regulation coincided with stress patterns. The results demonstrate that a change in photoperiod without the concomitant increase in temperature is sufficient to stimulate growth and change the tissue oxidative state in Atlantic salmon during spring and early summer. These findings provide new insights into redox regulation mechanisms underlying the response to the changing photoperiod, and highlight a link between oxidative status and physiological function. Full article
(This article belongs to the Special Issue Oxidative Stress of Aquatic Animals)
Show Figures

Graphical abstract

19 pages, 1904 KB  
Review
Potential Impact of Climate Change on Salmonid Smolt Ecology
by Teppo Vehanen, Tapio Sutela and Ari Huusko
Fishes 2023, 8(7), 382; https://doi.org/10.3390/fishes8070382 - 24 Jul 2023
Cited by 7 | Viewed by 4964
Abstract
The migratory life history of anadromous salmonids requires successful migration between nursery, feeding, and spawning habitats. Smolting is the major transformation anadromous salmonids undergo before migration to feeding areas. It prepares juvenile fish for downstream migration and their entry to seawater. We reviewed [...] Read more.
The migratory life history of anadromous salmonids requires successful migration between nursery, feeding, and spawning habitats. Smolting is the major transformation anadromous salmonids undergo before migration to feeding areas. It prepares juvenile fish for downstream migration and their entry to seawater. We reviewed the effects of climate change on smolt ecology from the growth of juveniles in fresh water to early post-smolts in the sea to identify the potential effects of climate change on migratory salmonid populations during this period in their life history. The focus was especially on Atlantic salmon. The shift in suitable thermal conditions caused by climate change results in Atlantic salmon expanding their range northward, while at the southern edge of their distribution, populations struggle with high temperatures and occasional droughts. Climatic conditions, particularly warmer temperatures, affect growth during the freshwater river phase. Better growth in northern latitudes leads to earlier smolting. Thermal refuges, the areas of cooler water in the river, are important for salmonids impacted by climate change. Restoring and maintaining connectivity and a suitably diverse mosaic habitat in rivers are important for survival and growth throughout the range. The start of the smolt migration has shifted earlier as a response to rising water temperatures, which has led to concerns about a mismatch with optimal conditions for post-smolts in the sea, decreasing their survival. A wide smolt window allowing all migrating phenotypes from early to late migrants’ safe access to the sea is important in changing environmental conditions. This is also true for regulated rivers, where flow regulation practices cause selection pressures on migrating salmonid phenotypes. The freshwater life history also affects marine survival, and better collaboration across life stages and habitats is necessary among researchers and managers to boost smolt production in rivers. Proactive measures are recommended against population declines, including sustainable land use in the catchment, maintaining a diverse mosaic of habitats for salmonids, restoring flow and connectivity, and conserving key habitats. Full article
(This article belongs to the Special Issue Effect of Climate Change on Salmonid Fishes in Rivers)
Show Figures

Figure 1

16 pages, 1887 KB  
Article
Water Flow Requirements of Post-smolt Atlantic Salmon (Salmo salar L.) Reared in Intensive Seawater Flow-through Systems: A Physiological Perspective
by Sara Calabrese, Albert K. D. Imsland, Tom Ole Nilsen, Jelena Kolarevic, Lars O. E. Ebbesson, Camilla Diesen Hosfeld, Sveinung Fivelstad, Cindy Pedrosa, Bendik Fyhn Terjesen, Sigurd O. Stefansson, Harald Takle, Harald Sveier, Frode Mathisen and Sigurd O. Handeland
Fishes 2023, 8(6), 285; https://doi.org/10.3390/fishes8060285 - 26 May 2023
Cited by 1 | Viewed by 3938
Abstract
Environmental challenges related to open sea cage production of Atlantic salmon have sparked interest in developing commercial-scale semi-closed sea systems for post-smolt Atlantic salmon (100–1000 g). Determining the mass-specific water flow required by post-smolts will largely influence the design and dimensioning of such [...] Read more.
Environmental challenges related to open sea cage production of Atlantic salmon have sparked interest in developing commercial-scale semi-closed sea systems for post-smolt Atlantic salmon (100–1000 g). Determining the mass-specific water flow required by post-smolts will largely influence the design and dimensioning of such systems. In this experiment, post-smolts were exposed to four levels of specific water flow: 0.2, 0.3, 0.4, and 0.5 L kg fish−1 min−1. All treatments involved flow-through seawater with full oxygenation, a salinity of 34‰, and a mean temperature of 9.3 °C. The stocking density was kept stable at 75 kg m−3. Water pH decreased with reduced flow, while partial pressure of carbon dioxide (pCO2) and total ammonia nitrogen (TAN) in the water increased. The increase in water CO2 was reflected in the blood with increased pCO2, HCO3, and decreased Cl in the lowest water flow treatment (0.2 L kg fish−1 min−1), indicating a typical regulatory response to increased water CO2 over the eight-week experimental period. No negative effects on osmoregulation, external macroscopic welfare, or performance indicators were observed, suggesting that within the time period of this experiment, post-smolts can compensate for reductions in water flow down to 0.2 L kg fish−1 min−1. However, to avoid activating and exhausting potentially energy-costly physiological regulatory mechanisms, it is suggested to keep specific water flow above 0.3 L kg fish−1 min−1 in large-scale operations with semi-closed sea systems at intermediate temperatures. Full article
(This article belongs to the Section Sustainable Aquaculture)
Show Figures

Figure 1

20 pages, 1384 KB  
Article
Probability of Atlantic Salmon Post-Smolts Encountering a Tidal Turbine Installation in Minas Passage, Bay of Fundy
by Brian G. Sanderson, Richard H. Karsten, Cameron C. Solda, David C. Hardie and Daniel J. Hasselman
J. Mar. Sci. Eng. 2023, 11(5), 1095; https://doi.org/10.3390/jmse11051095 - 22 May 2023
Cited by 4 | Viewed by 2539
Abstract
Tidal stream energy is a renewable energy resource that might be developed to offset carbon emissions. A tidal energy demonstration (TED) area has been designated in Minas Passage, Bay of Fundy, for testing and installing marine hydrokinetic (MHK) turbines. Regulations require quantification of [...] Read more.
Tidal stream energy is a renewable energy resource that might be developed to offset carbon emissions. A tidal energy demonstration (TED) area has been designated in Minas Passage, Bay of Fundy, for testing and installing marine hydrokinetic (MHK) turbines. Regulations require quantification of the potential for MHK turbine installations to harm local populations of marine animals. Here, we use acoustic telemetry to quantify the probability that post-smolt inner Bay of Fundy salmon encounter a turbine installation at the TED area. Previous work has quantified the detection efficiency of Innovasea HR acoustic tags as a function of the current speed and range from a moored HR2 receiver and also demonstrated that drifters carrying HR tags will be effectively detected when the drifter track crosses the array of HR2 receivers in Minas Passage. Salmon smolts were tagged and released in Gaspereau and Stewiacke Rivers, Nova Scotia, in order that the HR2 receiver array could monitor seaward migration of the post-smolts through Minas Passage and particularly through the TED area. Presently, we formulate and apply a method by which tag signals detected by the HR2 array can be used to estimate the expected number of times that a post-smolt would encounter a single near-surface MHK turbine installation during its seaward migration. Full article
(This article belongs to the Special Issue Interface between Offshore Renewable Energy and the Environment)
Show Figures

Figure 1

Back to TopTop