Sign in to use this feature.

Years

Between: -

Subjects

remove_circle_outline
remove_circle_outline
remove_circle_outline
remove_circle_outline
remove_circle_outline
remove_circle_outline
remove_circle_outline
remove_circle_outline
remove_circle_outline

Journals

remove_circle_outline
remove_circle_outline
remove_circle_outline
remove_circle_outline
remove_circle_outline
remove_circle_outline
remove_circle_outline
remove_circle_outline
remove_circle_outline
remove_circle_outline
remove_circle_outline
remove_circle_outline
remove_circle_outline
remove_circle_outline
remove_circle_outline
remove_circle_outline
remove_circle_outline
remove_circle_outline
remove_circle_outline
remove_circle_outline
remove_circle_outline
remove_circle_outline
remove_circle_outline
remove_circle_outline
remove_circle_outline
remove_circle_outline
remove_circle_outline
remove_circle_outline

Article Types

Countries / Regions

remove_circle_outline
remove_circle_outline
remove_circle_outline
remove_circle_outline
remove_circle_outline
remove_circle_outline
remove_circle_outline

Search Results (1,950)

Search Parameters:
Keywords = post-release

Order results
Result details
Results per page
Select all
Export citation of selected articles as:
20 pages, 5106 KB  
Article
Phase I Clinical Study with the GRPR-Antagonist [99mTc]Tc-DB8 for SPECT Imaging of Prostate Cancer: Does the Injected Peptide Mass Make a Difference?
by Anna Orlova, Anastasia Rybina, Anna Medvedeva, Roman Zelchan, Olga Bragina, Liubov Tashireva, Maria Larkina, Ruslan Varvashenya, Nadejda Lushnikova, Panagiotis Kanellopoulos, Theodosia Maina, Berthold A. Nock, Vladimir Tolmachev and Vladimir Chernov
Pharmaceutics 2025, 17(10), 1323; https://doi.org/10.3390/pharmaceutics17101323 - 12 Oct 2025
Viewed by 42
Abstract
Background/Objectives: The gastrin-releasing peptide receptor (GRPR) shows high-density expression in prostate cancer (PCa), especially in the early stages of the disease. The introduction of a safe radiotracer for assessing GRPR-expression in PCa may serve as an alternative or complementary tracer to PSMA-directed [...] Read more.
Background/Objectives: The gastrin-releasing peptide receptor (GRPR) shows high-density expression in prostate cancer (PCa), especially in the early stages of the disease. The introduction of a safe radiotracer for assessing GRPR-expression in PCa may serve as an alternative or complementary tracer to PSMA-directed probes for patients with insufficient PSMA expression. In the present study, the tolerability and safety, biodistribution, and dosimetry of the new GRPR-targeting radiopeptide [99mTc]Tc-DB8 were investigated for the first time in male PCa patients. A mass escalation study was performed, aiming to improve tumor-to-background contrast and, thereby, to enhance diagnostic accuracy. Methods: Sixteen male patients were enrolled in a single-center diagnostic open-label exploratory Phase I clinical trial. Patients were administered a single intravenous injection of 40, 80, or 120 µg of [99mTc]Tc-DB8 peptide (n = 5–6) and underwent whole-body planar imaging (anterior and posterior) 2, 4, 6, and 24 h post-injection (pi) and SPECT-CT acquisition 2, 4, and 6 h pi. Results: Administration of [99mTc]Tc-DB8 was well tolerated at all tested peptide masses. The effective dose did not differ significantly between the injected peptide mass and was 0.005 ± 0.003 mSv/MBq. High activity uptake was observed in the pancreas and kidneys, which 3-fold decreased with an increasing injected peptide mass from 40 to 120 µg. The activity uptake in primary tumors did not differ significantly between cohorts injected with different peptide masses [SUVmax 1.65–9.96]. The tumor-to-muscle ratios increased with time and were the highest for the cohort injected with 120 µg of peptide, 7.2 ± 3.1 (4.64-11-25) at 4 h pi. Conclusions: Single intravenous administration of [99mTc]Tc-DB8, for visualization of GRPR expression in PCa using SPECT imaging was well tolerated in a peptide mass range of 40–120 µg. An injected peptide mass of 80–120 µg/patient and SPECT acquisition 2–4 h pi were found to be optimal for further clinical studies due to the significantly lower activity accumulation in the pancreas and kidneys. Full article
(This article belongs to the Section Clinical Pharmaceutics)
Show Figures

Graphical abstract

15 pages, 1536 KB  
Article
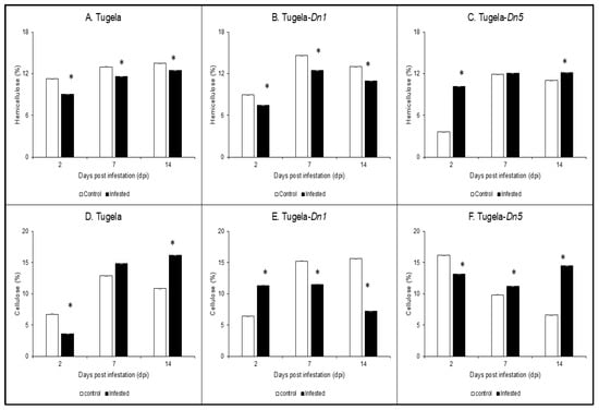
Simultaneous Accumulation of Holocellulose, Callose and Lignin: Cell Wall Markers for Resistance in Wheat Infested with Diuraphis noxia
by Siphephelo N. N. Zondo, Lintle Mohase, Vicki Tolmay and Mpho Mafa
Int. J. Mol. Sci. 2025, 26(20), 9874; https://doi.org/10.3390/ijms26209874 - 10 Oct 2025
Viewed by 112
Abstract
Exposure of the plant cell wall to biotic and abiotic stresses results in structural and chemical changes. Russian wheat aphid (RWA) infestation severely damages wheat plants, releasing cell wall-degrading enzymes that compromise cell wall integrity. This study aims to elucidate the cell wall [...] Read more.
Exposure of the plant cell wall to biotic and abiotic stresses results in structural and chemical changes. Russian wheat aphid (RWA) infestation severely damages wheat plants, releasing cell wall-degrading enzymes that compromise cell wall integrity. This study aims to elucidate the cell wall modifications in resistant wheat cultivars during RWA infestation. Three wheat cultivars with distinct resistance phenotypes to the RWA South African biotype 2 (RWASA2) were grown in the glasshouse. At the three-leaf stage, the seedlings were infested with RWASA 2 for 14 days. The leaf samples harvested at 2, 7, and 14 days post-infestation (dpi) were used to study cell wall modifications in the RWASA 2-infested cultivars, focusing on cellulose, hemicellulose, callose, and lignin contents. The results showed that post-RWASA2 infestation, the resistant Tugela-Dn5 significantly increased the hemicellulose content by 2.8- and 1.3-folds at 2 and 14 dpi, respectively, while the Tugela and Tugela-Dn1 significantly decreased the hemicellulose content at 2, 7, and 14 dpi. Tugela-Dn5 also increased the cellulose content by 1.4-fold and 2.2-fold at 7 and 14 dpi, respectively. The acid-soluble lignin content significantly increased in the infested Tugela-Dn5 compared to uninfested at 2 and 14 dpi, while it significantly decreased in Tugela and Tugela-Dn1. Callose levels also increased in all cultivars at 2 dpi, but only the infested Tugela-Dn5 exhibited an increase in callose content compared to the uninfested at 14 dpi. The extracted contents of the increased cellulose, hemicellulose, and lignin in Tugela-Dn5 were corroborated by FTIR analysis, which showed broad peaks at 3300 cm−1 representing the OH functional group and inter- and intra-hydrogen bonds within the increased cellulose in Tugela-Dn5. No significant reduction of lignin peaks at 1600 to 1578. 99 cm−1 assigned to the phenolic groups was observed in Tugela-Dn5. These findings place cell wall modifications at the centre of the wheat’s physiological resistance response to aphid infestation, particularly the reinforcement of the cell wall that persists for 14 dpi. Full article
(This article belongs to the Special Issue Chessboard: How Plants and Insects Outsmart Each Other)
Show Figures

Figure 1

18 pages, 597 KB  
Article
Upper Cervical Manipulation and Manual Massage Do Not Modulate Sympatho-Vagal Balance or Blood Pressure in Women: A Randomized, Placebo-Controlled Clinical Trial
by Estêvão Rios Monteiro, Linda S. Pescatello, Gustavo Henrique Garcia, Alexandre Gonçalves de Meirelles, Francine de Oliveira, Rafael Cotta de Souza, Leandro Alberto Calazans Nogueira, Agnaldo José Lopes and Daniel Moreira-Gonçalves
Healthcare 2025, 13(20), 2554; https://doi.org/10.3390/healthcare13202554 - 10 Oct 2025
Viewed by 203
Abstract
Objectives: To compare the acute effects of upper cervical manipulation (CM) and manual massage (MM) to simulated CM (Sham) and Control conditions (Control) on heart rate variability (HRV) and blood pressure (BP) responses in women with non-elevated BP. Methods: A single-blind, [...] Read more.
Objectives: To compare the acute effects of upper cervical manipulation (CM) and manual massage (MM) to simulated CM (Sham) and Control conditions (Control) on heart rate variability (HRV) and blood pressure (BP) responses in women with non-elevated BP. Methods: A single-blind, four-arm, parallel-group, randomized, crossover, placebo-controlled trial recruited 15 apparently healthy women with non-elevated BP who visited the lab on four occasions with 48 h intervals to ensure adequate washout between interventions. A Latin square randomization approach was employed to assign participants to one of four experimental conditions: (1) Control: Rest without intervention; (2) CM: Bilateral high-velocity, low-amplitude manipulation of the upper cervical spine (C0–C2); (3) MM: A single 120 s session of MM release applied unilaterally to the anterior and posterior thigh, posterior lower leg, and lumbar musculature; or (4) Sham: Mimicking the positioning used in CM without the application of thrust manipulation. In each experiment, HRV, systolic and diastolic BP were measured at rest (Baseline) and every 15 min for 60 min after each intervention. All procedures were performed in the morning to avoid any confounding circadian rhythm effect on HRV and BP. Results: We found significant increases within conditions for RMSSDms (Control: Post-0 (p = 0.032), Post-15 (p = 0.023); Sham: Post-15 (p = 0.014); CM: Post-15 (p = 0.027)); SDNNms (Control: Post-45 (p = 0.037); CM: Post-45 (p = 0.014) and Post-60 (p = 0.019)); PNN50% (CM: Post-0 (p = 0.044), Post-15 (p = 0.044) and Post-45 (p = 0.019)); LF Power (ms2) (CM: Post-60 (p = 0.001)), and LF/HF ratio (MM: Post-60 (p = 0.022). Conclusions: Although no statistically significant between-condition differences were detected, within-condition changes with moderate-to-large effect sizes suggest potential clinical relevance of CM and MM. These preliminary findings emphasize the importance of effect sizes and may indicate greater translational significance in populations with non-elevated cardiovascular risk. Full article
Show Figures

Figure 1

13 pages, 883 KB  
Article
Optimizing Post-Processing Parameters of 3D-Printed Resin for Surgical Guides
by Maria Gabriela Packaeser, Alexander Christiaan Santana, Amanda Maria de Oliveira Dal Piva, Cornelis Johannes Kleverlaan and João Paulo Mendes Tribst
J. Compos. Sci. 2025, 9(10), 553; https://doi.org/10.3390/jcs9100553 (registering DOI) - 10 Oct 2025
Viewed by 93
Abstract
This study evaluated post-processing protocols for 3D-printed implant surgical guides, aiming to determine the ideal timing after printing and post-curing durations that do not compromise residual monomer release and leachable components or mechanical properties. Specimens made of a surgical guide resin were 3D-printed [...] Read more.
This study evaluated post-processing protocols for 3D-printed implant surgical guides, aiming to determine the ideal timing after printing and post-curing durations that do not compromise residual monomer release and leachable components or mechanical properties. Specimens made of a surgical guide resin were 3D-printed (Formlabs Form 2) into bars (14 × 1 × 1 mm; n = 10) and square-shaped samples (10 × 10 × 1 mm; n = 1). They were grouped based on the time elapsed after printing (immediate, 24 h, and 72 h) and underwent washing in 99% isopropyl alcohol. Post-curing was performed for 5, 10, 20, or 30 min using a UV-light curing unit (NextDent LC-3DPrint Box). Residual monomer and components levels were assessed through solvent dissolution tests (n = 5), while mechanical properties were evaluated via flexural strength (n = 10) and hardness (n = 10). Statistical analysis with one-way ANOVA and Tukey’s post hoc test showed no significant differences in flexural strength across curing times or storage periods (p > 0.05), with values ranging from 42.93 MPa to 59.43 MPa. Monomers and leachable components were significantly higher immediately after printing (0.84 ± 0.36 mm3) compared to other groups (p < 0.05). For Vickers hardness, a 10 min curing protocol produced values comparable to longer durations (20.26 HV at 20 min/24 h), while the lowest hardness was 14.59 HV in the 5 min groups (p < 0.001). These findings suggest that delaying post-processing up to 72 h and reducing curing time to 10 min do not compromise mechanical properties, released monomers, and leachable components. Full article
(This article belongs to the Section Composites Manufacturing and Processing)
Show Figures

Figure 1

30 pages, 2277 KB  
Review
Bioengineered In Situ-Forming Hydrogels as Smart Drug Delivery Systems for Postoperative Breast Cancer Immunotherapy: From Material Innovation to Clinical Translation
by Yan Yan, Yiling Chen, Litao Huang, Menghan Cai, Xia Yin, Yi Zhun Zhu and Li Ye
J. Funct. Biomater. 2025, 16(10), 381; https://doi.org/10.3390/jfb16100381 - 10 Oct 2025
Viewed by 395
Abstract
Local recurrence after breast cancer surgery presents a critical challenge, demanding novel local immunotherapies capable of eliminating residual disease while avoiding systemic toxicity. In situ-forming hydrogels, functionalized with bioactive cargoes, represent a promising platform for precise spatiotemporal drug delivery directly into the post-resection [...] Read more.
Local recurrence after breast cancer surgery presents a critical challenge, demanding novel local immunotherapies capable of eliminating residual disease while avoiding systemic toxicity. In situ-forming hydrogels, functionalized with bioactive cargoes, represent a promising platform for precise spatiotemporal drug delivery directly into the post-resection tumor microenvironment. This review comprehensively examines the core design principles governing these advanced materials, highlighting their biocompatibility, stimuli-responsive behavior, tunable mechanics for conforming to surgical cavity, and capacity for multifunctional integration. A key mechanism discussed is how this controlled release profile orchestrates a temporal progression from innate immune activation to robust adaptive immunity. Despite significant promise, translational success faces substantial hurdles, including efficacy validation, scalable manufacturing, regulatory pathway definition, and the lack of predictive biomarkers. Future research priorities include optimizing drug/antigen release kinetics, establishing standardized characterization methods for complex biohybrid systems, and designing adaptive clinical trials incorporating detailed immunomonitoring. By integrating functional biomaterials with immuno-oncology, in situ-forming hydrogels offer a paradigm-shifting approach for postoperative cancer treatment. This review provides a strategic roadmap to accelerate their translation from bench to bedside. Full article
(This article belongs to the Special Issue Biomaterials for Drug Delivery and Cancer Therapy)
Show Figures

Figure 1

35 pages, 9436 KB  
Article
Coated Zein Polymeric Nanoparticles Loaded with Amlodipine as a Repurposed Antibacterial Ocular Cure for MRSA-Induced Infection: Optimization, In Vitro, Ex Vivo, and In Vivo Assessments
by Alaa S. Eita, Amna M. A. Makky, Asem Anter and Islam A. Khalil
Pharmaceutics 2025, 17(10), 1314; https://doi.org/10.3390/pharmaceutics17101314 - 10 Oct 2025
Viewed by 302
Abstract
Background: Amlodipine besylate (AML) is recognized as a calcium channel blocker curative for hypertension. However, the drug emerged recently as an antibacterial cure that competently prevails over resistant strains. Methods: Incorporating amlodipine into zein nanoparticles was employed to innovate a suitable carrier for [...] Read more.
Background: Amlodipine besylate (AML) is recognized as a calcium channel blocker curative for hypertension. However, the drug emerged recently as an antibacterial cure that competently prevails over resistant strains. Methods: Incorporating amlodipine into zein nanoparticles was employed to innovate a suitable carrier for loading and targeting deep corneal infection. The Box–Behnken design was adopted to produce various formulations of amlodipine-loaded zein nanoparticles (AML-ZNs) with diversity in composition concentration (% w/v), comprising zein, Labrafac, and poloxamer 407. Results: Relying on the optimization criterion, the chosen preference formulation concentration (% w/v) consists of 2.068 for zein, 0.75 for Labrafac, and 1.0 for Poloxamer. Morphological micrography of AML-ZNs showed regular spherical particles in the nanometric scale, and physicochemical characterization procedures confirmed system suitability. While tracking eyedrop optimum features, sodium alginate was selected for coating nanoparticles to improve stability and system viscosity. Both pH and sterility were also considered and maintained. Comparative studies were conducted pre- and post-coating, and the assessed features for the final selected formulation were 349.9 ± 5.8 nm, 0.2186 ± 0.0271, −55.45 ± 1.84 mV, 81.293 ± 0.9%, and 19.3 ± 0.19 cp for size, PDI, surface charge, entrapment, and viscosity, respectively. The AML-ZNs-Alg formulation demonstrates a more controlled pattern of release of roughly 40% of the drug released after 48 h, while the permeation profile shows 37 ± 3.52% permeated after 24 h, confirmed visually. In vitro microbial assay alongside the corneal in vivo microbial and histological pathology evaluation proved the efficacy of amlodipine as an antibacterial agent. Conclusions: These findings highlighted that the prepared AML-ZNs-Alg eyedrop can be a promising system as an antibacterial therapy. Full article
(This article belongs to the Section Drug Delivery and Controlled Release)
Show Figures

Graphical abstract

17 pages, 1534 KB  
Article
Improving Telenomus remus (Hymenoptera: Scelionidae) Adoption: Contribution of Different Egg Parasitoid Densities, Fed Adults, and Their Storage for Successful Biological Control of Spodoptera frugiperda (Lepidoptera: Noctuidae)
by Weidson P. Sutil, Adeney de F. Bueno, Leonardo Roswadoski, Rafael S. Iasczczaki, Gabriel S. Carneiro and Yelitza C. Colmenarez
Insects 2025, 16(10), 1032; https://doi.org/10.3390/insects16101032 - 6 Oct 2025
Viewed by 530
Abstract
Egg parasitoids, such as Telenomus remus (Hymenoptera: Scelionidae), face significant challenges after release, as their pupae are exposed to various mortality factors that reduce the efficiency of biological control programs. Therefore, this study aimed to evaluate a honey-solid diet that can feed adults [...] Read more.
Egg parasitoids, such as Telenomus remus (Hymenoptera: Scelionidae), face significant challenges after release, as their pupae are exposed to various mortality factors that reduce the efficiency of biological control programs. Therefore, this study aimed to evaluate a honey-solid diet that can feed adults still inside the capsules without sticking the wasps on its surface, enabling parasitoid storage and later field release. Three independent bioassays were performed, each with 20 completely randomized replications. The first bioassay evaluated the acceptance of a solid feed—honey soaked in cotton thread—compared to the traditional form—honey droplets. In the second bioassay, the storage periods after emergence of adults in capsules with honey-solid food were analyzed at 2, 4, 6, and 8 days post-emergence, and the third bioassay studied the efficacy of different release densities of fed adults under field conditions. Parasitoids fed on the honey-solid diet exhibited a 13.3% reduction in parasitism compared to honey droplets. However, the sticky, viscous nature of honey can lead to parasitoids becoming glued, potentially leading to their death. T. remus feeding on the honey-solid diet resulted in low mortality inside the capsules, living up to six days with only 22.2% reduction in parasitism capacity, making it a viable alternative to release and transport fed adult parasitoids, with an increase of around 30% in the released density of parasitoids compared with the parasitoids fed on honey droplets. This flexibility of releasing T. remus up to six days after emergence provided valuable knowledge to establish T. remus as a biocontrol agent. Furthermore, the highest tested parasitoid density of 20,000 parasitoids per hectare obtained the highest parasitism of Spodoptera frugiperda (Lepidoptera: Noctuidae) eggs. However, future studies are still required with higher releasing densities and less expensive methods of mass rearing the parasitoid for those higher densities to be economically viable. Full article
Show Figures

Figure 1

9 pages, 627 KB  
Review
Role of Interferon-Gamma (IFN-γ) in Pathophysiology and Management of Deep Vein Thrombosis
by Kawaljit Kaur
Immuno 2025, 5(4), 46; https://doi.org/10.3390/immuno5040046 - 4 Oct 2025
Viewed by 664
Abstract
Immune cells like neutrophils, monocytes/macrophages, and lymphocytes play key roles in the development, progression, and resolution of deep vein thrombosis (DVT) by contributing to inflammation, coagulation, and fibrinolysis. IFN-γ, a cytokine mainly secreted by natural killer (NK) and T cells, is a critical [...] Read more.
Immune cells like neutrophils, monocytes/macrophages, and lymphocytes play key roles in the development, progression, and resolution of deep vein thrombosis (DVT) by contributing to inflammation, coagulation, and fibrinolysis. IFN-γ, a cytokine mainly secreted by natural killer (NK) and T cells, is a critical factor in DVT pathogenesis. It links immune responses to coagulation activation by promoting endothelial activation, leukocyte recruitment, cytokine release, and coagulation imbalance. Its strong pro-inflammatory and prothrombotic effects make IFN-γ a promising target for DVT treatment beyond standard anticoagulants. Exploring ways to block IFN-γ signaling or its downstream effects could open doors to novel therapies for DVT, aiding in resolution and preventing post-thrombotic complications. This review delves into DVT pathophysiology, diagnostics, and management, emphasizing the importance of targeting immune cells and IFN-γ to advance treatment options. Full article
Show Figures

Figure 1

16 pages, 1152 KB  
Article
Tacrolimus-Associated Tremor in Renal Transplant Patients: Potential Impact of the Galenic Formulation
by Jordi Rovira, Olga Millán, Pedro Ventura-Aguiar, Mercè Brunet and Fritz Diekmann
Pharmaceuticals 2025, 18(10), 1488; https://doi.org/10.3390/ph18101488 - 3 Oct 2025
Viewed by 384
Abstract
Background/Objectives: Tacrolimus is the most used immunosuppressive agent in solid organ transplantation due to its efficacy in preventing acute rejection, but it has a narrow therapeutic range, and overexposure often leads to toxicities, including neurological side effects like tremors. Tremor affects up to [...] Read more.
Background/Objectives: Tacrolimus is the most used immunosuppressive agent in solid organ transplantation due to its efficacy in preventing acute rejection, but it has a narrow therapeutic range, and overexposure often leads to toxicities, including neurological side effects like tremors. Tremor affects up to 54% of renal transplant patients under tacrolimus. Extended-release tacrolimus (LCPT) has demonstrated efficacy in reducing tremor severity, as evidenced by studies employing quality of life (QoL) questionnaires, the Fahn–Tolosa–Marin (FTM) scale, and Accelerometer devices. The objectives of this study were to evaluate the benefits of the conversion to LCPT formulation in kidney transplant recipients experiencing tremors on prolonged-release tacrolimus (PR-TAC) treatment and to validate the DyCare device, a wearable wireless sensor for tremors. Results: The DyCare device measured tremor frequencies of 8.74 ± 0.11 Hz and 1.36 ± 0.08° and 17.38 ± 1.16°, as root mean square (RMSx100 for accelerometer and Gyroscope, respectively) in PR-TAC patients. After switching ten patients to LCPT, tremor severity significantly decreased, as confirmed by DyCare and the QoL in the Essential Tremor Questionnaire (QUEST). Additionally, LCPT allowed a 34% reduction in tacrolimus dosage while maintaining therapeutic trough concentrations. Immunological and pharmacodynamic biomarkers (p-miR-210-3p, p-IL10, p-IL12p70, p-IFNγ uCXCL10, NFAT-regulated gene expression) confirmed stable immunosuppression post-conversion. Conclusions: The conversion to the LCPT formulation significantly reduced tremors in kidney transplant recipients without altering their immunological status, as confirmed through a panel of immunologic and pharmacodynamic biomarkers. The DyCare device enables a precise quantification of tremors in transplant recipients, allowing physicians to optimize treatment strategies. Full article
(This article belongs to the Section Pharmaceutical Technology)
Show Figures

Graphical abstract

18 pages, 1095 KB  
Article
In Vitro Model of the Human Blood–Brain Barrier to Explore HTLV-1 Immunopathogenesis
by Ana Beatriz Guimarães, Lucas Bernardo-Menezes, Elisa Azevedo, Almerinda Agrelli, Poliana Silva, Marília Sena, Waldecir Araújo Júnior, George Diniz, Wyndly Daniel Gaião, Claudio Rodrigues, Marton Cavalcante, Lúcio Roberto Castellano, Joelma Souza, Paula Magalhães, Antonio Carlos Vallinoto and Clarice Morais
Curr. Issues Mol. Biol. 2025, 47(10), 818; https://doi.org/10.3390/cimb47100818 - 3 Oct 2025
Viewed by 438
Abstract
Cellular components and inflammatory mediators involved in the transmigration of HTLV-1-infected cells across the blood–brain barrier (BBB) are not fully understood. This study proposes a BBB model to identify the immunological mechanisms associated with HTLV-1 pathogenesis. PBMCs from individuals with HTLV-1-associated Myelopathy/Tropical Spastic [...] Read more.
Cellular components and inflammatory mediators involved in the transmigration of HTLV-1-infected cells across the blood–brain barrier (BBB) are not fully understood. This study proposes a BBB model to identify the immunological mechanisms associated with HTLV-1 pathogenesis. PBMCs from individuals with HTLV-1-associated Myelopathy/Tropical Spastic Paraparesis (HAM/TSP) (n = 4) or HTLV-1-infected individuals without HAM/TSP (n = 4) were isolated. An indirect cell co-culture was performed between human brain microvascular endothelial (hBMEC) cells and neuroblastoma (SH-SY5Y) cells. PBMCs from healthy individuals (n = 4) were used as a negative control, and MT-2 cells were used as a positive control. Supernatants and cells were collected to quantify inflammatory cytokines and assess cell death after 24, 48, and 72 h. Multiple comparisons were performed using the Kruskal–Wallis test, followed by Fisher’s LSD post hoc analysis. We observed that the production of cytokines IL-6, IL-8, IL-1β, TNF, IL-10, and IL-12p70, as well as the rate of neuronal death, was higher in co-cultures mimicking HAM/TSP carriers compared to HTLV-1-infected individuals without HAM/TSP and controls. Our results suggest that the HAM/TSP condition induces the release of IL-6, IL-8, IL-1β, TNF, IL-10, and IL-12p70, along with the infiltration of mononuclear cells, which may lead to neuronal death. Full article
Show Figures

Figure 1

15 pages, 1290 KB  
Article
Successful Delivery of Small Non-Coding RNA Molecules into Human iPSC-Derived Lung Spheroids in 3D Culture Environment
by Anja Schweikert, Chiara De Santi, Xi Jing Teoh, Frederick Lee Xin Yang, Enya O’Sullivan, Catherine M. Greene, Killian Hurley and Irene K. Oglesby
Biomedicines 2025, 13(10), 2419; https://doi.org/10.3390/biomedicines13102419 - 3 Oct 2025
Viewed by 425
Abstract
Background/Objectives: Spheroid cultures in Matrigel are routinely used to study cell behaviour in complex 3D settings, thereby generating preclinical models of disease. Ideally, researchers would like to modulate gene expression ‘in situ’ for testing novel gene therapies while conserving the spheroid architecture. [...] Read more.
Background/Objectives: Spheroid cultures in Matrigel are routinely used to study cell behaviour in complex 3D settings, thereby generating preclinical models of disease. Ideally, researchers would like to modulate gene expression ‘in situ’ for testing novel gene therapies while conserving the spheroid architecture. Here, we aim to provide an efficient method to transfect small RNAs (such as microRNAs and small interfering RNAs, i.e., siRNAs) into human induced pluripotent stem cell (iPSC)-derived 3D lung spheroids, specifically alveolar type II epithelial cells (iAT2) and basal cell (iBC) spheroids. Methods: Transfection of iAT2 spheroids within 3D Matrigel ‘in situ’, whole spheroids released from Matrigel or spheroids dissociated to single cells was explored via flow cytometry using a fluorescently labelled siRNA. Validation of the transfection method was performed in iAT2 and iBC spheroids using siRNA and miRNA mimics and measurement of specific target expression post-transfection. Results: Maximal delivery of siRNA was achieved in serum-free conditions in whole spheroids released from the Matrigel, followed by whole spheroids ‘in situ’. ‘In situ’ transfection of SFTPC-siRNA led to a 50% reduction in the SFTPC mRNA levels in iAT2 spheroids. Transfection of miR-29c mimic and miR-21 pre-miR into iAT2 and iBC spheroids, respectively, led to significant miRNA overexpression, together with a significant decrease in protein levels of the miR-29 target FOXO3a. Conclusions: This study demonstrates successful transfection of iPSC-derived lung spheroids without disruption of their 3D structure using a simple and feasible approach. Further development of these methods will facilitate functional studies in iPSC-derived spheroids utilizing small RNAs. Full article
(This article belongs to the Section Molecular Genetics and Genetic Diseases)
Show Figures

Figure 1

15 pages, 673 KB  
Review
Eliminating REMS for CAR T-Cell Therapies: An Opportunity to Improve Access
by Angel Luis Orosco-Ttamina, Cecilia Arana Yi, Mazie Tsang, Talal Hilal, Allison Rosenthal and Javier Munoz
Cancers 2025, 17(19), 3216; https://doi.org/10.3390/cancers17193216 - 2 Oct 2025
Viewed by 499
Abstract
Autologous Chimeric antigen receptor (CAR) T-cell therapies have demonstrated substantial efficacy in patients with relapsed or refractory hematologic malignancies; however, their implementation has been constrained by regulatory barriers. Risk Evaluation and Mitigation Strategies (REMS), mandated by the U.S. Food and Drug Administration (FDA), [...] Read more.
Autologous Chimeric antigen receptor (CAR) T-cell therapies have demonstrated substantial efficacy in patients with relapsed or refractory hematologic malignancies; however, their implementation has been constrained by regulatory barriers. Risk Evaluation and Mitigation Strategies (REMS), mandated by the U.S. Food and Drug Administration (FDA), were initially implemented to mitigate risks associated with cytokine release syndrome (CRS), immune effector cell-associated neurotoxicity syndrome (ICANS), and other treatment-related toxicities. On 27 June 2025, the FDA removed REMS requirements for all approved B-cell maturation antigen (BCMA) and CD19-directed autologous CAR T-cell therapies, citing that current product labeling sufficiently communicates safety information. Key regulatory changes include the elimination of site certification and tocilizumab stocking requirements, a reduction in the recommended post-infusion proximity period from four weeks to two weeks, increased flexibility regarding monitoring locations, and a shortened driving restriction from eight weeks to two weeks. This review examines the rationale for the REMS requirements for CAR T-cell therapies, synthesizes contemporary safety data from clinical trials and real-world practice, and explores the implications of this regulatory shift for access to care, particularly in rural and underserved populations. The removal of REMS requirements may facilitate broader implementation of CAR T-cell therapies and alleviate logistical and institutional barriers, offering the potential to expand access while preserving patient safety. Full article
(This article belongs to the Special Issue CAR T Cells in Lymphoma and Multiple Myeloma)
Show Figures

Figure 1

17 pages, 1818 KB  
Article
pH-Sensitive Release of Functionalized Chiral Carbon Dots from PLGA Coatings on Titanium Alloys for Biomedical Applications
by Roberto López-Muñoz, Pascale Chevallier, Francesco Copes, Rafik Naccache and Diego Mantovani
Polymers 2025, 17(19), 2667; https://doi.org/10.3390/polym17192667 - 2 Oct 2025
Viewed by 379
Abstract
Titanium and its alloys are the most widely used metallic materials for bone contact implants. However, despite advances in implant technology, these alloys are still susceptible to post-operative clinical complications such as inflammation, which is often joined by infections and biofilm formation. A [...] Read more.
Titanium and its alloys are the most widely used metallic materials for bone contact implants. However, despite advances in implant technology, these alloys are still susceptible to post-operative clinical complications such as inflammation, which is often joined by infections and biofilm formation. A number of coatings were studied to overcome the drawbacks of these complications, but the controlled release of bioactive molecules over the first few days and the adhesion of the coating to the substrate remain recognized challenges. Carbon dots and the antibacterial potential of chiral carbon dots (CCDs) were recently reported, and their chirality was identified as a major contribution to the bactericidal effect. This study aimed to achieve a stimuli-responsive medium-term controlled release for up to one month. Two types of chiral carbon dots (CCDs) with distinct functional groups were incorporated into a stable and adherent biodegradable polymer coating, i.e., poly(lactic-co-glycolic acid) (PLGA). To enhance the coating adhesion, the titanium alloy surfaces were pre-treated and activated. The wettability, morphology, and surface composition of the coatings were characterized by contact angle, profilometry, SEM, and XPS, respectively. Coating degradation, adhesion, and CCDs release were studied at physiological pH (7.4) and at an acidic pH characteristic of an inflammatory site (pH 3.0) for up to one month. Their biological performances and blood compatibility were assessed as well. Degradation studies conducted over 28 days revealed a slow mass loss of approximately 10%, with maximum release rates for CCDs-OH and CCDs-NH2 of 67% and 45% at pH 7.4, respectively. At pH 3.0 an inverse trend was observed with 49% and 59% maximum release after 28 days. Furthermore, the coatings did not exhibit any cytotoxic and hemolytic effects. These findings demonstrate the potential of this approach to providing titanium implants with pH-sensitive controlled release of bioactive CCDs lasting up to one month, which could address key challenges in implant-associated complications. Full article
(This article belongs to the Special Issue Smart and Functional Biopolymers)
Show Figures

Figure 1

30 pages, 5419 KB  
Article
MIL-100(Fe)-Enabled Oral Delivery of Syringic Acid with Enhanced Pharmacokinetics
by Joshua H. Santos, Hannah Jean Victoriano, Mary Sepulveda, Hung-En Liu, Shierrie Mae N. Valencia, Rikkamae Zinca Marie L. Walde, Emelda A. Ongo and Chia-Her Lin
Pharmaceutics 2025, 17(10), 1282; https://doi.org/10.3390/pharmaceutics17101282 - 1 Oct 2025
Viewed by 389
Abstract
Background/Objectives: Plant-derived bioactive compounds like syringic acid, a phenolic acid from the shikimic acid pathway, have shown potential against chronic diseases, including diabetes, cardiovascular disorders, cancer, and cerebral ischemia. However, its poor water solubility and rapid systemic elimination result in low oral bioavailability, [...] Read more.
Background/Objectives: Plant-derived bioactive compounds like syringic acid, a phenolic acid from the shikimic acid pathway, have shown potential against chronic diseases, including diabetes, cardiovascular disorders, cancer, and cerebral ischemia. However, its poor water solubility and rapid systemic elimination result in low oral bioavailability, limiting therapeutic potential. This study aimed to enhance its oral bioavailability using MIL-100(Fe), a metal–organic framework (MOF) known for high surface area and drug-loading capacity. Methods: MIL-100(Fe) was synthesized using an optimized method and loaded with syringic acid through impregnation at 12, 24, 36, and 48 h. Characterization included PXRD, FTIR, BET, SEM, and DLS. Acute oral toxicity was evaluated following OECD 423 guidelines, and bioavailability was assessed in Sprague Dawley rats. Results: The 1:2 MIL-100(Fe) to syringic acid ratio achieved the highest drug loading at 64.42 ± 0.03% (12 h). PXRD and FTIR confirmed successful loading (notably at 1239.2 cm−1), and TGA indicated thermal stability at ~350 °C. SEM revealed octahedral particles with an average size of 270.67 ± 2.60 nm. BET showed reduced surface area post-loading. In vitro drug release exhibited media-dependent profiles. Toxicity tests indicated no adverse effects at 2000 mg/kg. Oral administration of SYA@MIL-100(Fe) resulted in a 10.997-fold increase in relative bioavailability versus oral syringic acid and a 12.82-fold increase compared to intraperitoneal administration. Conclusions: MIL-100(Fe) is a safe and effective oral carrier for syringic acid, significantly enhancing its bioavailability. This platform shows strong potential for delivering phenolic compounds in pharmaceutical applications. Full article
(This article belongs to the Special Issue Novel Drug Delivery Systems for Natural Extracts)
Show Figures

Graphical abstract

26 pages, 3750 KB  
Article
Engineering Robust, Porous Guar Gum Hydrogels by One-Step Mild Synthesis: Impact of Porogen Choice on Rheology and Sustained Gastroretentive Amoxicillin Delivery
by Fátima Díaz-Carrasco, M.-Violante De-Paz, Matea Katavić, Estefanía García-Pulido, Álvaro Santos-Medina, Lucía Muíña-Ramil, M.-Gracia García-Martín and Elena Benito
Gels 2025, 11(10), 785; https://doi.org/10.3390/gels11100785 - 1 Oct 2025
Viewed by 314
Abstract
This study introduces a single-step method to synthesize guar gum-based interpenetrating polymer network (IPN) hydrogels, achieving simultaneous Diels–Alder crosslinking and amoxicillin (AMOX) encapsulation under mild conditions. To evaluate the influence of porogen addition on IPN structure, drug loading and release, twenty-one formulations were [...] Read more.
This study introduces a single-step method to synthesize guar gum-based interpenetrating polymer network (IPN) hydrogels, achieving simultaneous Diels–Alder crosslinking and amoxicillin (AMOX) encapsulation under mild conditions. To evaluate the influence of porogen addition on IPN structure, drug loading and release, twenty-one formulations were developed, including AMOX loading (25% or 40% w/w relative to the polymer) and biocompatible porogens incorporation [polyethylene glycol (PEG) or sucrose at 5%, 10%, or 50% w/w]. All crosslinked IPN hydrogels formed robust gels, unlike non-crosslinked controls. Porogen choice strongly influenced hydrogel performance: PEG quadrupled the swelling index while enhancing storage modulus (up to 10,054 Pa) and complex viscosity (up to 1302 Pa·s), whereas high sucrose concentrations produced soft, ductile networks with critical strains above 20% and swelling indices up to 1895%. All hydrogels released AMOX at levels above MIC50 for H. pylori. PEG-based IPN provided superior drug delivery profiles, with extended AMOX release (t50 up to 15.5 h at pH 5.0), while sucrose-rich matrices exhibited faster burst release and disintegration. Single-step (pre-loading) AMOX during synthesis improved release control compared to post-loading. These findings highlight the potential of one-pot IPN synthesis with porogen modulation offering a promising gastroretentive platforms for sustained AMOX delivery against H. pylori. Full article
(This article belongs to the Special Issue Recent Advances in Gels for Pharmaceutical Application)
Show Figures

Graphical abstract

Back to TopTop