Sign in to use this feature.

Years

Between: -

Subjects

remove_circle_outline
remove_circle_outline
remove_circle_outline
remove_circle_outline
remove_circle_outline
remove_circle_outline

Journals

Article Types

Countries / Regions

Search Results (96)

Search Parameters:
Keywords = pooled urine

Order results
Result details
Results per page
Select all
Export citation of selected articles as:
35 pages, 932 KB  
Systematic Review
Wastewater Analyses for Psychoactive Substances at Music Festivals: A Systematic Review
by Ringala Cainamisir, Xiao Zeng, Samuel B. Himmerich and Hubertus Himmerich
Behav. Sci. 2025, 15(12), 1672; https://doi.org/10.3390/bs15121672 - 3 Dec 2025
Abstract
Music festivals have emerged as venues for the consumption of recreational drugs and novel psychoactive substances. This systematic review provides the first critical evaluation and synthesis of published wastewater analyses for detecting recreational drug use at music festivals worldwide. Following Preferred Reporting Items [...] Read more.
Music festivals have emerged as venues for the consumption of recreational drugs and novel psychoactive substances. This systematic review provides the first critical evaluation and synthesis of published wastewater analyses for detecting recreational drug use at music festivals worldwide. Following Preferred Reporting Items for Systematic Reviews and Meta-analyses (PRISMA) guidelines, we systematically searched PubMed, Embase, MEDLINE, and SCOPUS databases using terms combining music festivals, drugs, and wastewater analysis. Twenty-three studies were included, spanning festivals with 6200 to 600,000 attendees. Two primary sampling approaches emerged: wastewater sampling (16 studies) and pooled urine sampling (7 studies), using Liquid Chromatography–Tandem Mass Spectrometry or Liquid Chromatography–High-Resolution Mass Spectrometry for chemical analysis. 3,4-Methylenedioxymethamphetamine (MDMA; ecstasy) emerged as the most consistently detected substance. Regional variations included a dominance of methamphetamine in Eastern Europe, MDMA use in Western Europe, and a high prevalence of cocaine use in South America. Regarding the music genre, electronic dance music events showed markedly higher MDMA rates. Limitations include geographic underrepresentation of African and Asian countries and a gender bias in pooled urine sampling. Future research should work on enhancing sampling infrastructure, analytical capabilities, public health surveillance, and harm reduction strategies. Full article
(This article belongs to the Section Health Psychology)
Show Figures

Figure 1

15 pages, 1096 KB  
Article
Surveillance of West Nile Virus in Tunisia: Evidence from Human and Entomological Investigation
by Walid Barhoumi, Marwa Khedhiri, Youmna M’Ghirbi, Souha Bougatef, Henda Touzi, Adel Rhim, Hela Karray, Abdelhalim Trabelsi, Maha Mastouri, Naila Hannachi, Ali Bouattour, Henda Triki, Nissaf Bouafif Ben Alaya and Wasfi Fares
Viruses 2025, 17(12), 1562; https://doi.org/10.3390/v17121562 - 29 Nov 2025
Viewed by 155
Abstract
West Nile virus (WNV) is a mosquito-borne pathogen of the Flaviviridae family that poses recurring public health threats in Tunisia, where Culex pipiens is recognized as the primary vector. Identification of circulating strains in different mosquito species is essential for targeted prevention and [...] Read more.
West Nile virus (WNV) is a mosquito-borne pathogen of the Flaviviridae family that poses recurring public health threats in Tunisia, where Culex pipiens is recognized as the primary vector. Identification of circulating strains in different mosquito species is essential for targeted prevention and control. Between November 2021 and October 2022, mosquitoes were collected at four high-risk sites, and human samples were obtained through the national meningitis surveillance program. Human serum, cerebrospinal fluid (CSF), and urine samples were tested for WNV-specific IgM and IgG antibodies using ELISA, and molecular diagnosis was performed using Real-time RT-PCR (RRT-PCR). Positive samples underwent sequencing for phylogenetic characterization. Serological investigation on human serum revealed the presence of IgM and/or IgG antibodies reactive to WNV antigens, which may indicate exposure to WNV or related flaviviruses. RNA of WNV was detected in 21 mosquito pools (10.19%) belonging to Culex pipiens, Cx. perexiguus, Aedes caspius, and Ae. detritus, as well as in three human cases. Phylogenetic analysis of positive human and mosquito samples showed that all detected WNV strains belonged to sublineage 1a. The concurrent detection of WNV in vectors and humans confirms active circulation in Tunisia and underscores the role of Culex spp. Mosquitoes in transmission. Sustained multidisciplinary surveillance integrating entomological and clinical data is critical for early detection, guiding control measures, and preventing future outbreaks in humans and animals. Full article
(This article belongs to the Special Issue Current Trends in Arbovirus Outbreaks and Research)
Show Figures

Figure 1

31 pages, 4232 KB  
Systematic Review
Artificial Intelligence-Driven SELEX Design of Aptamer Panels for Urinary Multi-Biomarker Detection in Prostate Cancer: A Systematic and Bibliometric Review
by Ayoub Slalmi, Nabila Rabbah, Ilham Battas, Ikram Debbarh, Hicham Medromi and Abdelmjid Abourriche
Biomedicines 2025, 13(12), 2877; https://doi.org/10.3390/biomedicines13122877 - 25 Nov 2025
Viewed by 378
Abstract
Background/Objectives: The limited specificity of prostate-specific antigen (PSA) drives unnecessary biopsies in prostate cancer (PCa). Urinary extracellular vesicles (uEVs) provide a non-invasive reservoir of tumor-derived nucleic acids and proteins. Aptamers selected by SELEX enable highly specific capture, and artificial intelligence (AI) can accelerate [...] Read more.
Background/Objectives: The limited specificity of prostate-specific antigen (PSA) drives unnecessary biopsies in prostate cancer (PCa). Urinary extracellular vesicles (uEVs) provide a non-invasive reservoir of tumor-derived nucleic acids and proteins. Aptamers selected by SELEX enable highly specific capture, and artificial intelligence (AI) can accelerate their optimization. This systematic review evaluated AI-assisted SELEX for urine-derived and exosome-enriched aptamer panels in PCa detection. Methods: Systematic searches of PubMed, Scopus, and Web of Science (1 January 2010–24 August 2025; no language restrictions) followed PRISMA 2020 and PRISMA-S. The protocol is registered on OSF (osf.io/b2y7u). After deduplication, 1348 records were screened; 129 studies met the eligibility criteria, including 34 (26.4%) integrating AI within SELEX or downstream refinement. Inclusion required at least one quantitative metric (dissociation constant Kd, SELEX cycles, limit of detection [LoD], sensitivity, specificity, or AUC). Risk of bias was appraised with QUADAS-2 (diagnostic accuracy studies) and PROBAST (prediction/machine learning models). Results: AI-assisted SELEX workflows reduced laboratory enrichment cycles from conventional 12–15 to 5–7 (≈40–55% relative reduction) and reported Kd values spanning low picomolar to upper nanomolar ranges; heterogeneity and inconsistent comparators precluded pooled estimates. Multiplex urinary panels (e.g., PCA3, TMPRSS2:ERG, miR-21, miR-375, EN2) yielded single-study AUCs between 0.70 and 0.92 with sensitivities up to 95% and specificities up to 88%; incomplete 2 × 2 contingency reporting prevented bivariate meta-analysis. LoD reporting was sparse and non-standardized despite several ultralow claims (attomolar to low femtomolar) on nanomaterial-enhanced platforms. Pre-analytical variability and absent threshold prespecification contributed to high or unclear risk (QUADAS-2). PROBAST frequently indicated high risk in participants and analysis domains. Across the included studies, lower Kd and reduced LoD improved analytical detectability; however, clinical specificity and AUC were predominantly shaped by pre-analytical control (matrix; post-DRE vs. spontaneous urine) and prespecified thresholds, so engineering gains did not consistently translate into higher diagnostic accuracy. Conclusions: AI-assisted SELEX is a promising strategy for accelerating high-affinity aptamer discovery and assembling multiplex urinary panels for PCa, but current evidence is early phase, heterogeneous, and largely single-center. Priorities include standardized uEV processing, complete 2 × 2 diagnostic reporting, multicenter external validation, calibration and decision impact analyses, and harmonized LoD and Kd reporting frameworks. Full article
Show Figures

Figure 1

17 pages, 2563 KB  
Article
A Comparative Metabolomics Study of Multiple Urological Diseases by Highly Sensitive Dansylation Isotope Labeling LC-MS
by Wei-Hsuan Wang, Ya-Ju Hsieh, Chien-Lun Chen, Ying-Hsu Chang, Yi-Huai Tsai, Chih-Hsiang Chang, Liang Li, Wei-Ju Tu, Jau-Song Yu and Yi-Ting Chen
Int. J. Mol. Sci. 2025, 26(23), 11353; https://doi.org/10.3390/ijms262311353 - 24 Nov 2025
Viewed by 192
Abstract
Urine analysis is a straightforward, non-invasive testing method that, when integrated with metabolomics, shows great potential for detecting small-molecule metabolites as biomarkers of abnormal metabolic activity in the urinary tract, including drug interactions, toxicity, and diseases. However, integrated and comparative analyses of multiple [...] Read more.
Urine analysis is a straightforward, non-invasive testing method that, when integrated with metabolomics, shows great potential for detecting small-molecule metabolites as biomarkers of abnormal metabolic activity in the urinary tract, including drug interactions, toxicity, and diseases. However, integrated and comparative analyses of multiple urinary tract pathologies are currently limited. In this study, 12C2/13C2-chemical dansylation labeling was used to explore the urinary amine/phenol-metabolome profiles of eight urological conditions compared with normal profiles. We obtained ten samples for each condition (disease and normal) from a total of 90 participants, pooling them as representative samples, and constructed metabolite panels to differentiate various urological conditions. We discovered nine metabolites that were dysregulated between urine samples from patients with and without cancer. Another seven metabolites were differentially expressed between the benign prostatic hyperplasia group and the prostate cancer group. Among 1854 peak pairs of metabolites in an amine/phenol submetabolome analyzed by dansyl chloride derivatization coupled with LC–MS/MS, 1747 (94.2%) were detectable in urine specimens from all nine groups. Notably, 18 identified metabolites showed substantial stability across all urological conditions. Given the considerable variability in urine metabolite composition, these metabolites could potentially be used for normalization in urine metabolome analysis, addressing the need for stably expressed molecules as internal standards in the development of urinary biomarkers. Our findings provide the preliminary insights into the stability of urinary metabolomics and the metabolic perturbations associated with different urinary tract-related pathologies. Full article
(This article belongs to the Section Molecular Endocrinology and Metabolism)
Show Figures

Figure 1

23 pages, 2179 KB  
Article
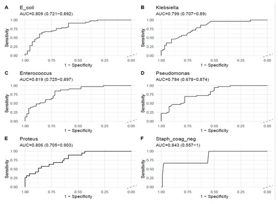
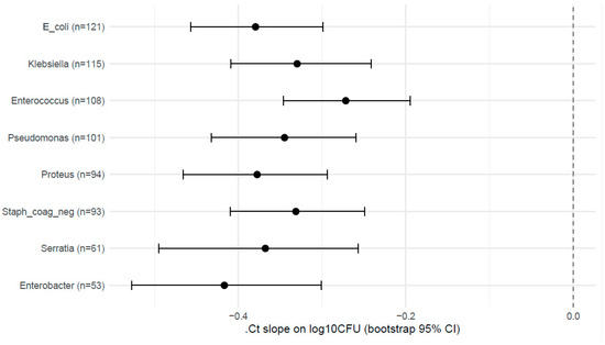
Semi-Quantitative ΔCt Thresholds for Bacteriuria and Pre-Analytic Drivers of PCR-Culture Discordance in Complicated UTI: An Analysis of NCT06996301
by Moustafa Kardjadj, Itoe P. Priestly, Roel Chavez, DeAndre Derrick and Thomas K. Huard
Diagnostics 2025, 15(23), 2959; https://doi.org/10.3390/diagnostics15232959 - 21 Nov 2025
Viewed by 363
Abstract
Background: Quantitative urine culture (CFU/mL) remains the reference standard for diagnosing urinary tract infections (UTIs) but is limited by delayed turnaround times and sensitivity to pre-analytic factors. Multiplex PCR panels offer rapid detection; however, standardized mappings between molecular signals and viable bacterial [...] Read more.
Background: Quantitative urine culture (CFU/mL) remains the reference standard for diagnosing urinary tract infections (UTIs) but is limited by delayed turnaround times and sensitivity to pre-analytic factors. Multiplex PCR panels offer rapid detection; however, standardized mappings between molecular signals and viable bacterial burdens are insufficiently defined. We used the multicenter NCT06996301 paired dataset to evaluate the analytical validity (AV), clinical validity (CV), and pre-analytic robustness of ΔCt (Ct_target − IC_Ct) as a semi-quantitative indicator of bacterial load. Methods: We analyzed 1027 paired PCR and quantitative urine culture specimens from six sites. The primary molecular predictor was ΔCt (Ct_target − IC_Ct). Species-level Spearman and Pearson correlations, species-specific linear mixed-effects calibration models (log10CFU ~ ΔCt + (1|site)), and ROC analyses were performed for the taxa meeting pre-specified sample thresholds. A pooled multilevel model assessed the collection method and time-to-processing (hours) effects (log10CFU ~ ΔCt × collection_method + ΔCt × time_to_processing_h + (1|site) + (1|run)). AV was assessed via reproducibility, internal control normalization, and site run variance. CV was assessed by ΔCt calibration and discrimination. Clinical utility (CU) was contextualized using outcomes from the parent randomized trial. Results: PCR positivity exceeded culture positivity across all sites (PCR ~82–88% vs. culture ~66–70%); this excess likely reflects a combination of molecular detection of non-viable DNA, detection of fastidious taxa less readily recovered by culture, and pre-analytic effects. For six common uropathogens (n = 90 pairs/species), ΔCt correlated strongly with log10CFU (Spearman ρ = −0.64 to −0.75; Pearson r = −0.75 to −0.83). Species-specific mixed models yielded slopes of −0.746 to −0.922 log10CFU per ΔCt unit (all p < 0.001), indicating that each 1 unit ΔCt change corresponds to a ~5.6–8.4-fold CFU difference. ROC AUCs for ΔCt discrimination were 0.78–0.84 (interpreted as good discrimination, i.e., ΔCt meaningfully improves the clinician’s probability estimate of a high CFU but does not perfectly classify every specimen). The collection method (catheter vs. clean-catch) did not materially modify the ΔCt→CFU relationship, whereas the processing delay was associated with reduced recovered CFU (~0.048 log10CFU lost per hour) and a significant ΔCt × time interaction, consistent with time-dependent viability loss driving the PCR+/culture discordance. Conclusions: ΔCt from the DOC Lab UTM 2.0 panel shows a reproducible, analytically valid semi-quantitative measure of urinary bacterial load. Laboratories can derive assay- and workflow-specific ΔCt cut points for semi-quantitative reporting, but thresholds must be validated prospectively and paired with operational controls for specimen handling. Full article
(This article belongs to the Special Issue Advances in the Laboratory Diagnosis)
Show Figures

Figure 1

22 pages, 550 KB  
Article
Full Validation of Pooled Antibiotic Susceptibility Testing Using CLSI Methods and Performance Criteria in UTI Pathogens
by Richard A. Festa, Frank R. Cockerill, Rick L. Pesano, Emery Haley, Natalie Luke, Mohit Mathur, Xiaofei Chen, Jim Havrilla, Michael Percaccio, Alain Rosas, Jesus Magallon, Shane Erickson, Mandana Ghashghaie, Jade Sinatra, Vicente Gonzalez and David Baunoch
Antibiotics 2025, 14(11), 1168; https://doi.org/10.3390/antibiotics14111168 - 20 Nov 2025
Viewed by 584
Abstract
Background: Here, we validate a unique and rapid susceptibility assay, Pooled Antibiotic Susceptibility Testing (P-AST), used for complicated, persistent, and recurrent urinary tract infections (UTIs), following Clinical and Laboratory Standards Institute (CLSI) protocols and performance metrics. Methods: P-AST™ was validated against [...] Read more.
Background: Here, we validate a unique and rapid susceptibility assay, Pooled Antibiotic Susceptibility Testing (P-AST), used for complicated, persistent, and recurrent urinary tract infections (UTIs), following Clinical and Laboratory Standards Institute (CLSI) protocols and performance metrics. Methods: P-AST™ was validated against the standard disk diffusion method with discrepancy resolution by the broth microdilution reference method. Performance was evaluated for five groups of non-fastidious uropathogenic organisms (Enterobacterales, Enterococci, Staphylococci, Pseudomonas aeruginosa, and Acinetobacter species) for up to 20 antibiotics, as clinically relevant per group. Fresh (144 monomicrobial and 49 polymicrobial) and frozen (78 monomicrobial and 7 polymicrobial) clinical urine specimens, as well as contrived specimens from pre-characterized frozen “challenge” isolates (52 monomicrobial and 37 polymicrobial), were included. Results: P-AST met CLSI target performance criteria of ≥90.0% categorical agreement, <3.0% very major error, <3.0% major error, minor error ≤ 10.0%, or within laboratory standards, and precision > 95.0% across all analysis groups. Across all monomicrobial analyses, there were no very major errors (VMEs), and two major errors (MEs). Across all polymicrobial analyses, there were three VMEs and two MEs. No organism–antibiotic pair analysis had more than a single VME or ME. Conclusions: P-AST, a component of the Guidance® UTI assay, demonstrates acceptable performance within the thresholds established by CLSI when compared against standard and reference methods for antibiotic susceptibility testing. Appropriate performance was established in both monomicrobial and polymicrobial specimens for five CLSI-defined groups of uropathogenic bacteria, against up to 20 antibiotics as clinically relevant to each organism group. Full article
Show Figures

Figure 1

15 pages, 2109 KB  
Article
Urine Extracellular Vesicle miRNA Changes Induced by Vicadrostat with/Without Empagliflozin in Patients with Chronic Kidney Disease
by Denis Delic, Isabella Gashaw, Ileana Duran-Fernandez, Lisa Cronin, Sibylle J. Hauske, Peter Rossing and Katherine R. Tuttle
Int. J. Mol. Sci. 2025, 26(22), 10810; https://doi.org/10.3390/ijms262210810 - 7 Nov 2025
Viewed by 602
Abstract
Vicadrostat, a selective aldosterone synthase inhibitor, reduced albuminuria with concurrent renin–angiotensin system inhibition and empagliflozin, suggesting additive efficacy for chronic kidney disease (CKD) treatment. Specific urinary extracellular vesicle microRNAs (uEV miRNAs) may reflect key mechanisms of kidney injury. We investigated how vicadrostat alone [...] Read more.
Vicadrostat, a selective aldosterone synthase inhibitor, reduced albuminuria with concurrent renin–angiotensin system inhibition and empagliflozin, suggesting additive efficacy for chronic kidney disease (CKD) treatment. Specific urinary extracellular vesicle microRNAs (uEV miRNAs) may reflect key mechanisms of kidney injury. We investigated how vicadrostat alone or with empagliflozin affected uEV miRNA expression in study participants. Small RNA sequencing was conducted on uEV miRNAs from 435 participants with CKD who completed 14 weeks treatment in the phase II trial of vicadrostat given with or without empagliflozin. Differentially expressed uEV miRNAs in participants with ≥30% UACR (urine albumin–creatinine ratio) reduction treated with 10 or 20 mg vicadrostat were pooled and evaluated with or without empagliflozin. Changes in miRNA-142-5p correlated significantly with changes in UACR in participants treated with vicadrostat alone, whereas changes in expression of eight additional uEV miRNAs (miR-192-5p, miR-194-5p, miR-6882-5p, miR-27a-5p, miR-381-3p, miR-192-3p, miR-513a-5p, and miR-199b-3p) correlated with ≥30% UACR improvements in patients treated with vicadrostat plus empagliflozin. Cellular deconvolution revealed that these miRNAs were expressed in various kidney cell types. Vicadrostat plus empagliflozin altered uEV miRNAs involved in immunomodulatory and fibrotic pathways irrespective of participant diabetes status. Regulation of miRNAs may provide insights into synergistic mechanisms of vicadrostat and empagliflozin in CKD treatment. Full article
Show Figures

Figure 1

41 pages, 2569 KB  
Systematic Review
Harnessing Metabolomics to Advance Nutrition-Based Therapeutics for Inflammation: A Systematic Review of Randomized Clinical Trials
by Belén Carlino, Gerardo N. Guerrero-Flores, Camila Niclis, Gina Segovia-Siapco and Martín L. Mayta
Metabolites 2025, 15(11), 705; https://doi.org/10.3390/metabo15110705 - 29 Oct 2025
Viewed by 900
Abstract
Background/Objectives: The association between plasma metabolites derived from dietary substrates and inflammatory processes remains underexplored, despite its potential relevance in the prevention of non-communicable diseases. This systematic review aimed to examine the relationship between blood metabolites and the modulation of inflammatory biomarkers. Methods: [...] Read more.
Background/Objectives: The association between plasma metabolites derived from dietary substrates and inflammatory processes remains underexplored, despite its potential relevance in the prevention of non-communicable diseases. This systematic review aimed to examine the relationship between blood metabolites and the modulation of inflammatory biomarkers. Methods: A total of 25 randomized controlled trials, published between 2019 and 2024, were included from an initial pool of 111 records. These studies investigated the effects of dietary patterns, specific food groups, or nutritional supplements on the human metabolome and their potential links to inflammation. Results: Metabolomic analyses were predominantly performed using mass spectrometry (MS)-based platforms (17 out of 25), with liquid chromatography–mass spectrometry as the most frequently employed method. Both targeted (n = 14) and untargeted (n = 11) approaches were represented, and samples were drawn from plasma, urine, and feces. Across the interventions, 64 metabolites were modulated, including fatty acyls, glycerolipids, benzenoids, and organic acids, reflecting potential changes in pathways related to oxidative stress, lipid and carbohydrate metabolism, and inflammatory signaling. Several studies also assessed classical inflammatory biomarkers such as C-reactive protein (CRP), tumor necrosis factor alpha (TNFα), interleukin-6 (IL-6), and monocyte chemoattractant protein-1 (MCP-1). Interventions involving healthy traditional dietary patterns, improvements in dietary fat quality, or the use of specific probiotic strains were often associated with favorable immunometabolic outcomes. In contrast, some interventions, such as Mohana Choorna, elicited upregulation of immune-related gene expression in adipose tissue without improvements in glucose or lipid metabolism. Conclusions: While metabolomic responses varied across studies, the evidence highlights the value of dietary interventions in modulating systemic metabolism and inflammation. These findings support the integration of metabolomics into clinical nutrition to define more personalized and effective dietary strategies for inflammation-related chronic disease prevention. Full article
(This article belongs to the Special Issue The Role of Diet and Nutrition in Relation to Metabolic Health)
Show Figures

Graphical abstract

23 pages, 3681 KB  
Review
Comparative Effectiveness of Urine vs. Stool Gluten Immunogenic Peptides Testing for Monitoring Gluten Intake in Coeliac Patients: A Systematic Review and Meta-Analysis
by Sarmad Sarfraz Moghal and Jonathan Soldera
Life 2025, 15(10), 1548; https://doi.org/10.3390/life15101548 - 2 Oct 2025
Viewed by 813
Abstract
Coeliac disease (CD) is a chronic immune-mediated enteropathy triggered by gluten ingestion in genetically predisposed individuals carrying HLA-DQ2 or HLA-DQ8 haplotypes, characterized by small intestinal mucosal damage and systemic manifestations. This systematic review and meta-analysis aimed to compare the effectiveness of urine versus [...] Read more.
Coeliac disease (CD) is a chronic immune-mediated enteropathy triggered by gluten ingestion in genetically predisposed individuals carrying HLA-DQ2 or HLA-DQ8 haplotypes, characterized by small intestinal mucosal damage and systemic manifestations. This systematic review and meta-analysis aimed to compare the effectiveness of urine versus stool GIPS testing for monitoring gluten intake in coeliac patients, providing evidence-based recommendations for clinical practice. A comprehensive literature search was conducted in databases like PubMed and Embase. Studies evaluating urine or stool GIPS testing in coeliac patients were included, focusing on sensitivity, specificity, and patient adherence. The meta-analysis included six studies with a total of 572 participants. The stool GIPS testing demonstrated a pooled sensitivity of 85.1% (95% CI: 79.0–89.9%) and a specificity of 92.5% (95% CI: 88.3–95.6%), making it highly reliable for detecting gluten exposure and ruling out false positives. It also achieved an AUC of 0.9853, indicating excellent diagnostic performance. In contrast, the urine GIPS testing showed a pooled sensitivity of 55.4% (95% CI: 49.6–61.2%) and a specificity of 73.0% (95% CI: 67.4–78.1%), with an AUC of 0.7898. The heterogeneity across the studies was significant (I2 > 80%), driven by variations in the population characteristics, sample handling, and testing protocols. These findings emphasize the need for standardized methodologies to enhance the reliability and comparability of results. Full article
Show Figures

Figure 1

22 pages, 1071 KB  
Systematic Review
Systematic Review and Meta-Analysis of Risk Factors for Dehydration and the Development of a Predictive Scoring System
by Melvin Omone Ogbolu, Olanrewaju D. Eniade and Miklos Kozlovszky
Healthcare 2025, 13(16), 1974; https://doi.org/10.3390/healthcare13161974 - 12 Aug 2025
Viewed by 1185
Abstract
Background: Dehydration is a prevalent and potentially serious condition, particularly affecting vulnerable populations such as children and older adults. Prompt recognition and intervention are critical for preventing associated complications. Methods: A systematic review and meta-analysis were conducted, registered in PROSPERO (CRD42024594780), to identify [...] Read more.
Background: Dehydration is a prevalent and potentially serious condition, particularly affecting vulnerable populations such as children and older adults. Prompt recognition and intervention are critical for preventing associated complications. Methods: A systematic review and meta-analysis were conducted, registered in PROSPERO (CRD42024594780), to identify key clinical and demographic risk factors associated with dehydration. A comprehensive search of PubMed, Scopus, and the Cochrane Library was performed for studies published between 2000 and 2024. The risk of bias in included studies was assessed using the Newcastle–Ottawa Scale and the Cochrane Risk-of-Bias (RoB) tool. Ten studies met the inclusion criteria for quantitative synthesis. Based on pooled diagnostic metrics, a preliminary scoring tool was developed for dehydration risk stratification. Results: The pooled sensitivity and specificity of common clinical signs, such as thirst, dry mouth, and dark urine, were 85% (95% CI: 80–90%) and 70% (95% CI: 65–75%), respectively. The positive predictive value (PPV) was 75%, and the negative predictive value (NPV) was 80%. Pediatric subgroup analysis yielded the most robust data, while data for adult and elderly populations were limited. A conceptual risk scoring system was proposed based on relative diagnostic utility, though it has not yet been externally validated. Conclusions: Simple clinical signs demonstrate reasonable diagnostic accuracy for identifying individuals at risk of dehydration. The proposed scoring system offers a promising, evidence-informed framework for early risk assessment but requires further validation in prospective studies before integration into clinical practice. Full article
Show Figures

Figure 1

17 pages, 4790 KB  
Article
A Comparative Study Using Reversed-Phase and Hydrophilic Interaction Liquid Chromatography to Investigate the In Vitro and In Vivo Metabolism of Five Selenium-Containing Cathinone Derivatives
by Lea Wagmann, Jana H. Schmitt, Tanja M. Gampfer, Simon D. Brandt, Kenneth Scott, Pierce V. Kavanagh and Markus R. Meyer
Metabolites 2025, 15(8), 497; https://doi.org/10.3390/metabo15080497 - 23 Jul 2025
Viewed by 1023
Abstract
Background/Objectives: The emergence of cathinone-based psychostimulants necessitates ongoing research and analysis of the characteristics and properties of novel derivatives. The metabolic fate of five novel cathinone-derived substances (ASProp, MASProp, MASPent, PySProp, and PySPent) containing a selenophene moiety was investigated in vitro and [...] Read more.
Background/Objectives: The emergence of cathinone-based psychostimulants necessitates ongoing research and analysis of the characteristics and properties of novel derivatives. The metabolic fate of five novel cathinone-derived substances (ASProp, MASProp, MASPent, PySProp, and PySPent) containing a selenophene moiety was investigated in vitro and in vivo. Methods: All compounds were incubated individually with pooled human liver S9 fraction. A monooxygenase activity screening investigating the metabolic contribution of eleven recombinant phase I isoenzymes was conducted. Rat urine after oral administration was prepared by urine precipitation. Liquid chromatography–high-resolution tandem mass spectrometry was used for the analysis of all samples. Reversed-phase liquid chromatography (RPLC) and zwitterionic hydrophilic interaction liquid chromatography (HILIC) were used to evaluate and compare the metabolites’ chromatographic resolution. Results: Phase I reactions of ASProp, MASProp, MASPent, PySProp, and PySPent included N-dealkylation, hydroxylation, reduction, and combinations thereof. The monooxygenase activity screening revealed the contribution of various isozymes. Phase II reactions detected in vivo included N-acetylation and glucuronidation. Both chromatographic columns complemented each other. Conclusions: All substances revealed metabolic reactions comparable to those observed for other synthetic cathinones. Contributions from isozymes to their metabolism minimized the risk of drug–drug interactions. The identified metabolites should be considered as targets in human biosamples, especially in urine screening procedures. RPLC and HILIC can both be recommended for this purpose. Full article
(This article belongs to the Special Issue Metabolite Profiling of Novel Psychoactive Substances)
Show Figures

Figure 1

9 pages, 211 KB  
Article
Performance of Urine Reagent Test Strips in Detecting Schistosoma haematobium Infection in Individual and Pooled Urine Samples
by Abraham Degarege, Berhanu Erko, David M. Brett-Major, Bruno Levecke, Abebe Animut, Yohannes Negash, M. Jana Broadhurst, Tzeyu Michaud and Christopher R. Bilder
Microorganisms 2025, 13(3), 510; https://doi.org/10.3390/microorganisms13030510 - 26 Feb 2025
Cited by 1 | Viewed by 1186
Abstract
This study evaluated the performance of urine reagent strips (URSs) in detecting Schistosoma haematobium infection in individual and pooled urine samples. Between June 2022 and April 2023, 2634 urine samples (10 mL each) from school-age children (5–15 years) in 15 villages across Ethiopia’s [...] Read more.
This study evaluated the performance of urine reagent strips (URSs) in detecting Schistosoma haematobium infection in individual and pooled urine samples. Between June 2022 and April 2023, 2634 urine samples (10 mL each) from school-age children (5–15 years) in 15 villages across Ethiopia’s Afar, Benishangul-Gumuz, and Gambella regions were tested using urine filtration microscopy (UFM) and URSs for blood, a marker of S. haematobium eggs. Pooled samples from 5, 10, 20, and 40 individuals (one positive, others negative) were examined with both methods. UFM results were used to calculate URSs’ sensitivity, specificity, and predictive values for detecting infection. A total of 2634 children were screened for S. haematobium infection. UFM detected S. haematobium eggs in 370 samples, while URSs identified infection in 414 children. URSs showed 64% sensitivity and 92% specificity for individual samples. The positive and negative predictive values for individual samples were 57% and 94%, respectively. Sensitivity for pooled samples ranged from 47% (pools of 40) to 53% (pools of 20). In pools with one positive sample, URSs misclassified 220 (50%), 109 (49.5%), 52 (47.0%), and 28 (50.9%) pools as negative for S. haematobium eggs for pool sizes 5, 10, 20, and 40, respectively. Sensitivity for individual samples was higher in children with heavy infection (92.5%) compared to light infection (55.9%), and sensitivity in pooled samples increased with infection intensity (p < 0.001). In conclusion, URSs may misclassify S. haematobium infection in children when samples are examined individually or in pools, potentially leading to unnecessary treatment or missed cases. However, URSs shows promise as a screening tool for detecting S. haematobium infection in areas with high infection intensity. Full article
21 pages, 1578 KB  
Article
Pooled Antibiotic Susceptibility Testing for Polymicrobial UTI Performs Within CLSI Validation Standards
by Richard A. Festa, Frank R. Cockerill, Rick L. Pesano, Emery Haley, Natalie Luke, Mohit Mathur, Xiaofei Chen, Jim Havrilla, Michael Percaccio, Jesus Magallon, Shane Erickson, Mandana Ghashghaie, Alain Rosas and David Baunoch
Antibiotics 2025, 14(2), 143; https://doi.org/10.3390/antibiotics14020143 - 1 Feb 2025
Cited by 2 | Viewed by 3011
Abstract
Background/Objectives: Urinary tract infections (UTIs) pose an increasing risk of antimicrobial resistance, and novel diagnostic tests have been developed to address the limitations of standard urine culture in these cases. It is important that these novel tests be validated for agreement and error [...] Read more.
Background/Objectives: Urinary tract infections (UTIs) pose an increasing risk of antimicrobial resistance, and novel diagnostic tests have been developed to address the limitations of standard urine culture in these cases. It is important that these novel tests be validated for agreement and error rates against the standard antibiotic susceptibility testing (AST) methods. Methods: Polymicrobial (≥two non-fastidious microorganisms) consecutive clinical urine specimens submitted for UTI diagnostic testing were included in this analysis. Specimens were tested with Pooled Antibiotic Susceptibility Testing (P-AST) and with broth microdilution/disk diffusion (BMD/DD) in parallel. Performance characteristics, such as essential agreement (EA%), very major errors (VMEs), and major errors (MEs), were assessed using Clinical and Laboratory Standards Institute (CLSI) standards. Specimens with P-AST-resistant and BMD/DD consensus-sensitive results were assessed for heteroresistance. Real-world clinical sample data were used to assess associations between increasing organism counts and average “sensitive” antibiotic count per sample. Results: The essential agreement between P-AST and standard isolate AST was ≥90%, VMEs were <2.0%, and MEs were <3.0%, meeting the CLSI guidelines for AST verification and validation studies. When heteroresistance was accounted for, overall VMEs and MEs were both <1.5%. The presence of additional non-fastidious organisms dropped the number of average “sensitive” antibiotics from 9.8 with one organism to 2.5 with five or more organisms. The presence of fastidious organisms did not have any meaningful impact. Conclusions: P-AST, a component of the Guidance® UTI assay (Pathnostics, Irvine, CA, USA), performed within CLSI standards for AST in polymicrobial UTI diagnostic urine specimens. Full article
(This article belongs to the Section Mechanism and Evolution of Antibiotic Resistance)
Show Figures

Figure 1

17 pages, 631 KB  
Article
Pooled Antibiotic Susceptibility Testing Performs Within CLSI Standards for Validation When Measured Against Broth Microdilution and Disk Diffusion Antibiotic Susceptibility Testing of Cultured Isolates
by Emery Haley, Frank R. Cockerill, Rick L. Pesano, Richard A. Festa, Natalie Luke, Mohit Mathur, Xiaofei Chen, Jim Havrilla and David Baunoch
Antibiotics 2024, 13(12), 1214; https://doi.org/10.3390/antibiotics13121214 - 14 Dec 2024
Cited by 11 | Viewed by 6442
Abstract
Background/Objectives: While new methods for measuring antimicrobial susceptibility have been associated with improved patient outcomes, they should also be validated using standard protocols for error rates and other test metrics. The objective of this study was to validate a novel susceptibility assay [...] Read more.
Background/Objectives: While new methods for measuring antimicrobial susceptibility have been associated with improved patient outcomes, they should also be validated using standard protocols for error rates and other test metrics. The objective of this study was to validate a novel susceptibility assay for complicated and recurrent urinary tract infections (UTIs): pooled antibiotic susceptibility testing (P-AST). This assay was compared to broth microdilution (BMD) and disk diffusion (DD), following Clinical and Laboratory Standards Institute (CLSI) guidelines for assessment of error rates and agreement. Methods: This study analyzed consecutive fresh clinical urine specimens submitted for UTI diagnostic testing. Upon receipt, the urine samples were subjected in parallel to standard urine culture and multiplex polymerase chain reaction (M-PCR) for microbial identification and quantification. Specimens with the same monomicrobial non-fastidious bacteria detected by both M-PCR and standard urine culture (SUC) underwent standard antibiotic susceptibility testing (AST) and P-AST antibiotic susceptibility testing. Analysis was also undertaken to assess the presence of heteroresistance for specimens with P-AST-resistant and BMD/DD consensus-susceptible results. Results: The performance measures without correction for heteroresistance showed essential agreement (EA%) of ≥90%, very major errors (VMEs) of <1.5%, and major errors (MEs) of <3.0% for P-AST, all meeting the threshold guidelines established by CLSI for AST. The categorical agreement (CA%) also met acceptable criteria (>88%), as the majority of the errors were minor (mEs) with essential agreement. The very major and major error rates for P-AST decreased to <1.0% when heteroresistance was accounted for. Conclusions: The P-AST assay methodology is validated within acceptable parameters when compared to broth microdilution and disk diffusion using CLSI criteria. Full article
(This article belongs to the Section Mechanism and Evolution of Antibiotic Resistance)
Show Figures

Figure 1

13 pages, 500 KB  
Article
Comparing Prescribing Behaviors and Clinician Experiences Between Multiplex PCR/Pooled Antibiotic Susceptibility Testing and Standard Urine Culture in Complicated UTI Cases
by Emery Haley, Natalie Luke, Howard Korman, Ganesh Srinvas Rao, David Baunoch, Xiaofei Chen, Jim Havrilla and Mohit Mathur
J. Clin. Med. 2024, 13(23), 7453; https://doi.org/10.3390/jcm13237453 - 7 Dec 2024
Cited by 1 | Viewed by 1746
Abstract
Background/Objectives: We aimed to compare the prescribing behavior and clinical experience of urology providers when using the combined multiplex polymerase chain reaction (M-PCR)/Pooled Antibiotic Susceptibility Testing (P-AST) diagnostic test versus the standard urine culture (SUC) in the same set of patients previously reported [...] Read more.
Background/Objectives: We aimed to compare the prescribing behavior and clinical experience of urology providers when using the combined multiplex polymerase chain reaction (M-PCR)/Pooled Antibiotic Susceptibility Testing (P-AST) diagnostic test versus the standard urine culture (SUC) in the same set of patients previously reported to have improved clinical outcomes with M-PCR/P-AST. Methods: We conducted a multi-centered, prospective, observational study (clinical trial registration: NCT05091931) with Western Institutional Review Board (IRB) approval (20214705). Adult subjects were split between the M-PCR/P-AST (n = 250) and SUC arms (n = 135). Treatment details were determined by clinician and subject surveys. Differences in prescribed antibiotics were compared using the Chi-square or Fisher’s exact test. Results: There was no significant difference in the overall use of “access” antibiotics (p = 1.0) or first-line drugs (p = 0.4483) between M-PCR/P-AST and SUC. Nitrofurantoin (p = 0.0172) and metronidazole (p = 0.0309) were more frequently used with M-PCR/P-AST, while amoxicillin/clavulanate (p = 0.0008), cefuroxime (p = 0.0378), and ertapenem (p = 0.0378) were more frequently used with SUC. Conclusions: The use of M-PCR/P-AST to guide complicated UTI management was not associated with the increased use of non-first-line antibiotics, such as carbapenems, compared to SUC. Combined with the prior reported evidence of improved patient outcomes in this same set of patients, this test should be considered for utilization when managing complicated UTI cases. Full article
(This article belongs to the Section Infectious Diseases)
Show Figures

Figure 1

Back to TopTop