Sign in to use this feature.

Years

Between: -

Subjects

remove_circle_outline
remove_circle_outline
remove_circle_outline
remove_circle_outline
remove_circle_outline
remove_circle_outline
remove_circle_outline

Journals

Article Types

Countries / Regions

Search Results (30)

Search Parameters:
Keywords = pneumococcal CAP

Order results
Result details
Results per page
Select all
Export citation of selected articles as:
13 pages, 1048 KB  
Article
Heterogeneity in the Association Between Pneumococcal Vaccination and the Risk of Severe Community-Acquired Pneumonia in Elderly Inpatients: A Causal Forest Analysis
by Yunhua Lan, Ziyi Xin, Zhuochen Lin, Jialing Li, Xin Xie, Ying Xiong and Dingmei Zhang
Vaccines 2026, 14(1), 90; https://doi.org/10.3390/vaccines14010090 - 16 Jan 2026
Viewed by 444
Abstract
Background: Community-acquired pneumonia (CAP) is a leading cause of morbidity and mortality in the elderly. While pneumococcal vaccination is a core preventive measure, it remains unclear whether its association with severe CAP is uniform across all elderly subgroups. Our study aimed to evaluate [...] Read more.
Background: Community-acquired pneumonia (CAP) is a leading cause of morbidity and mortality in the elderly. While pneumococcal vaccination is a core preventive measure, it remains unclear whether its association with severe CAP is uniform across all elderly subgroups. Our study aimed to evaluate the overall association of pneumococcal vaccination with the risk of severe CAP in hospitalized patients aged ≥ 65 years and to explore potential heterogeneity in this association using a causal forest model. Methods: We conducted a retrospective cohort study of patients discharged between January 2023 and June 2025, aged ≥ 65 years, with a primary diagnosis of CAP. We used multivariable logistic regression to estimate the average association and a causal forest model to explore heterogeneous patterns in the conditional average treatment effect (CATE). Results: Among 1906 included patients (severe CAP: 924; non-severe CAP: 982), PPSV23 vaccination was independently associated with reduced odds of all-cause severe CAP (adjusted OR = 0.610, 95% CI: 0.401–0.930). The causal forest model yielded an average treatment effect (ATE) estimate of −0.112 (95% CI: −0.200 to −0.023), corresponding to an 11.2 percentage-point reduction in absolute risk. Exploratory analysis suggested potential heterogeneity: the association appeared most pronounced in patients aged 65–74 years (CATE = −0.122) and showed an attenuating trend in older groups. Age was the primary variable associated with heterogeneity, followed by hypertension, SARS-CoV-2 infection, and sex. Conclusions: In this observational cohort study, PPSV23 vaccination was associated with a reduced risk of severe CAP in elderly inpatients under strong assumptions of no unmeasured confounding. Exploratory analyses suggested potential heterogeneity in this association, which appeared to attenuate with advancing age and may be influenced by comorbidities. These hypothesis-generating findings indicate that further investigation is needed to determine whether prevention strategies should be tailored for the very old and those with specific chronic conditions. Full article
(This article belongs to the Section Vaccine Advancement, Efficacy and Safety)
Show Figures

Figure 1

13 pages, 732 KB  
Article
Stewardship in Action: An Evaluation of Antibiotic De-Escalation Prescribing After Positive Pneumococcal Urinary Antigen Testing in a Safety Net Health System
by Mehak Bhatia, Katherine Davanzo, Paul Kim, Jyothik Varun Inampudi, Mazhar Shapoo, Marco Scipione, Sorabh Dhar and Lea Monday
LabMed 2026, 3(1), 1; https://doi.org/10.3390/labmed3010001 - 31 Dec 2025
Viewed by 454
Abstract
The Infectious Diseases Society of America (IDSA) guidelines for community-acquired pneumonia (CAP) recommend pneumococcal urinary antigen testing (UAT) for a subset of inpatients admitted with pneumonia. Despite this, UAT testing is frequently performed on inpatients who do not meet the official IDSA criteria, [...] Read more.
The Infectious Diseases Society of America (IDSA) guidelines for community-acquired pneumonia (CAP) recommend pneumococcal urinary antigen testing (UAT) for a subset of inpatients admitted with pneumonia. Despite this, UAT testing is frequently performed on inpatients who do not meet the official IDSA criteria, and current evidence regarding antibiotic de-escalation in UAT-positive cases remains inconclusive. To explore this further, we conducted a retrospective cohort study examining antibiotic de-escalation patterns among hospitalized CAP patients who underwent UAT over a 60-day period during peak respiratory illness season (November and December, 2023). Patients with positive UAT results were compared to those who had negative UAT; the primary outcome was whether a positive UAT impacted antibiotic de-escalation prescribing. A total of 268 patients were analyzed—235 UAT-negative and 33 UAT-positive. Both groups were comparable in terms of disease severity, underlying health conditions, and readmission rates. Empiric therapy targeting Pseudomonas aeruginosa (P. aeruginosa) and methicillin-resistant Staphylococcus aureus (MRSA) was used in 40% of patients (36% in the UAT-positive group and 46% of the UAG-negative group). The use of atypical coverage, MRSA coverage, or anti-pseudomonal β-lactams was frequently de-escalated in both cohorts (p < 0.05); however, the UAT-positive group had significantly shorter durations of anti-pseudomonal therapy (p = 0.03) and anti-MRSA therapy (p = 0.02). Despite this, the UAT-positive group was more commonly given fluoroquinolones, such as levofloxacin or moxifloxacin, over narrow-spectrum β-lactams for final antibiotic coverage (p = 0.021). Overall, positive UAT appeared to support earlier discontinuation of anti-MRSA and anti-pseudomonal antibiotics; however, it did not impact fluoroquinolone use. Future antimicrobial stewardship efforts may benefit from promoting greater use of narrow-spectrum β-lactams in these patients. Full article
Show Figures

Figure 1

13 pages, 1161 KB  
Article
Role of Myeloid Cell Glucose Transporter 1 in the Host Response During Pneumonia Caused by Streptococcus pneumoniae
by Liza Pereverzeva, Valentine Léopold, Anno Saris, Alex R. Schuurman, Joe M. Butler, Tom D. Y. Reijnders, Joris J. T. H. Roelofs, Daniël R. Faber, W. Joost Wiersinga, Cornelis van’t Veer, Alex F. de Vos and Tom van der Poll
Int. J. Mol. Sci. 2025, 26(21), 10461; https://doi.org/10.3390/ijms262110461 - 28 Oct 2025
Viewed by 754
Abstract
During infection, myeloid cells are subjected to a fast increase in energy demand. Glucose transporter 1 (GLUT1) is a key mediator of glucose metabolism, especially for glycolysis. The present study aimed to investigate GLUT1 expression in monocytes and neutrophils from patients with community-acquired [...] Read more.
During infection, myeloid cells are subjected to a fast increase in energy demand. Glucose transporter 1 (GLUT1) is a key mediator of glucose metabolism, especially for glycolysis. The present study aimed to investigate GLUT1 expression in monocytes and neutrophils from patients with community-acquired pneumonia (CAP) and to determine the functional role of GLUT1 in the responsiveness during pneumonia evoked in mice by Streptococcus (S.) pneumoniae, the most common causative pathogen in CAP. GLUT1 expression in monocytes and neutrophils of patients and controls was determined by RNA sequencing and flow cytometry analysis. Myeloid cell-specific GLUT1-deficient mice and controls were intranasally infected with S. pneumoniae, after which bacterial loads, lung pathology, and cytokine levels were analyzed. GLUT1 gene expression was upregulated in monocytes from CAP patients in comparison to matched subjects without infection, and protein expression was increased upon ex vivo activation. In neutrophils, GLUT1 mRNA levels were significantly upregulated in CAP patients, but protein levels were not altered. Surprisingly, myeloid-specific GLUT1-deficient mice displayed an unaltered host response during pneumococcal pneumonia. These data suggest that GLUT1 may contribute to immune responses of myeloid cells during CAP, but that its role may be superseded by other mechanisms during pneumococcal pneumonia. Full article
(This article belongs to the Special Issue Immune Regulation in Lung Diseases)
Show Figures

Figure 1

13 pages, 792 KB  
Article
10-Year Effects of the 13-Valent Pneumococcal Conjugate Vaccine in Patients with Chronic Obstructive Pulmonary Disease and Stable Angina Pectoris
by Galina L. Ignatova, Sergey N. Avdeev, Vladimir N. Antonov, Elena V. Blinova and Mikhail V. Osikov
Vaccines 2025, 13(10), 1000; https://doi.org/10.3390/vaccines13101000 - 25 Sep 2025
Cited by 1 | Viewed by 2305
Abstract
Background: COPD and stable angina are common in older adults, increasing the risk of respiratory and cardiovascular complications. Pneumococcal vaccination is recommended to reduce this burden. This study evaluated the 10-year impact of 13-valent pneumococcal conjugate vaccine (PCV13) on community-acquired pneumonia (COPD), [...] Read more.
Background: COPD and stable angina are common in older adults, increasing the risk of respiratory and cardiovascular complications. Pneumococcal vaccination is recommended to reduce this burden. This study evaluated the 10-year impact of 13-valent pneumococcal conjugate vaccine (PCV13) on community-acquired pneumonia (COPD), COPD exacerbations, hospitalizations, and survival in this cohort. Methods: A total of 483 male patients with COPD and/or stable angina received a single dose of PCV13 and were divided into three groups: Group 1 (n = 140): vaccinated with COPD; Group 2 (n = 167): vaccinated with COPD and stable angina; and Group 3 (n = 176): unvaccinated with COPD. Primary endpoints were CAP cases, COPD exacerbations, and hospitalizations; the secondary endpoint was survival. Analysis used generalized linear models, Cox regression, and Kaplan–Meier survival curves. Results: PCV13 significantly reduced CAP in patients with COPD alone but not in those with comorbid angina. Although CAP, exacerbations, and hospitalizations increased over time, vaccinated groups consistently showed lower rates than the unvaccinated group. Survival was higher in both vaccinated groups over 10 years. Conclusions: PCV13 was associated with a reduced risk of CAP, COPD exacerbations, hospitalizations, and improved survival in older adults with COPD and stable angina. These findings support the vaccine’s potential to improve outcomes in multimorbid populations and its inclusion in clinical guidelines and adult immunization programs for high-risk older adults. Full article
(This article belongs to the Section Vaccine Advancement, Efficacy and Safety)
Show Figures

Figure 1

25 pages, 7367 KB  
Article
Antimicrobial Activity of Arthrospira platensis-Mediated Gold Nanoparticles against Streptococcus pneumoniae: A Metabolomic and Docking Study
by Lamya Azmy, Ebtesam Al-Olayan, Mohamed A. A. Abdelhamid, Ahmed Zayed, Saly F. Gheda, Khayrya A. Youssif, Hesham A. Abou-Zied, Usama R. Abdelmohsen, Ibraheem B. M. Ibraheem, Seung Pil Pack and Khaled N. M. Elsayed
Int. J. Mol. Sci. 2024, 25(18), 10090; https://doi.org/10.3390/ijms251810090 - 19 Sep 2024
Cited by 16 | Viewed by 3000
Abstract
The emergence of antibiotic-resistant Streptococcus pneumoniae necessitates the discovery of novel therapeutic agents. This study investigated the antimicrobial potential of green-synthesized gold nanoparticles (AuNPs) fabricated using Arthrospira platensis extract. Characterization using Fourier transform infrared spectroscopy revealed the presence of functional groups such as [...] Read more.
The emergence of antibiotic-resistant Streptococcus pneumoniae necessitates the discovery of novel therapeutic agents. This study investigated the antimicrobial potential of green-synthesized gold nanoparticles (AuNPs) fabricated using Arthrospira platensis extract. Characterization using Fourier transform infrared spectroscopy revealed the presence of functional groups such as ketones, aldehydes, and carboxylic acids in the capping agents, suggesting their role in AuNP stabilization. Transmission electron microscopy demonstrated the formation of rod-shaped AuNPs with a mean diameter of 134.8 nm, as determined by dynamic light scattering, and a zeta potential of −27.2 mV, indicating good colloidal stability. The synthesized AuNPs exhibited potent antibacterial activity against S. pneumoniae, with a minimum inhibitory concentration (MIC) of 12 μg/mL, surpassing the efficacy of the control antibiotic, tigecycline. To elucidate the underlying mechanisms of action, an untargeted metabolomic analysis of the A. platensis extract was performed, identifying 26 potential bioactive compounds belonging to diverse chemical classes. In silico studies focused on molecular docking simulations revealed that compound 22 exhibited a strong binding affinity to S. pneumoniae topoisomerase IV, a critical enzyme for bacterial DNA replication. Molecular dynamics simulations further validated the stability of this protein–ligand complex. These findings collectively highlight the promising antimicrobial potential of A. platensis-derived AuNPs and their constituent compounds, warranting further investigation for the development of novel anti-pneumococcal therapeutics. Full article
(This article belongs to the Special Issue Antimicrobial Materials and Nanoparticles 2.0)
Show Figures

Figure 1

8 pages, 245 KB  
Brief Report
Effectiveness of the 23-Valent Pneumococcal Polysaccharide Vaccine (PPV23) in Preventing Community-Acquired Pneumonia in Adults: A Population-Based Cohort Study
by Mateu Serra-Prat, Ignasi Bolíbar, Elisabet Palomera, Àngel Lavado and Jordi Almirall
Vaccines 2024, 12(9), 1023; https://doi.org/10.3390/vaccines12091023 - 6 Sep 2024
Cited by 1 | Viewed by 2342
Abstract
Aim: The aim was to assess the effectiveness of 23-valent pneumococcal polysaccharide vaccine (PPV23) in preventing CAP in adults. Methods: This was a population-based cohort study, followed up over 5 years (2015–2019), that included 47,768 persons aged ≥18 years assigned to three primary [...] Read more.
Aim: The aim was to assess the effectiveness of 23-valent pneumococcal polysaccharide vaccine (PPV23) in preventing CAP in adults. Methods: This was a population-based cohort study, followed up over 5 years (2015–2019), that included 47,768 persons aged ≥18 years assigned to three primary care centres. Data were retrospectively obtained from electronic medical records and databases. The vaccination effect was adjusted for potential confounders. Analyses were performed for the entire study population and for the ≥65 age subgroup. Results: The annual incidence of CAP (per 103 adult inhabitants) was 3.29 overall, and 8.08 and 2.93 for vaccinated and non-vaccinated persons, respectively. The non-adjusted effect of PPV23 on CAP was evidenced by HR = 2.80 (95% CI: 2.32–3.37), and after adjusting for possible confounders, PPV23 showed no significant independent effect on CAP in the overall population (HR = 1.14; p = 0.277) or in persons aged ≥65 years (HR = 1.30; p = 0.051). No protective effect was observed in persons vaccinated <2 years previously (HR = 1.17; p = 0.514). Conclusions: PPV23 showed no effect in preventing CAP in adults aged ≥18 years or in the subgroup aged ≥65 years, even if vaccinated <2 years previously. Full article
9 pages, 2613 KB  
Communication
Clonality Analysis of Streptococcus pneumoniae in Clinical Specimens
by Delly Chipta Lestari, Pranee Somboonthum, Daisuke Motooka, Eiji Ishii, Shigeaki Matsuda, Anis Karuniawati and Tetsuya Iida
Microbiol. Res. 2024, 15(3), 1110-1118; https://doi.org/10.3390/microbiolres15030074 - 29 Jun 2024
Viewed by 2141
Abstract
Pneumococcal pneumonia is a significant cause of illness and death globally, particularly among young children and the elderly. The cpsB gene is involved in the biosynthesis of the capsule polysaccharide, and polymorphisms in the cpsB gene are the basis for sequetyping, a molecular [...] Read more.
Pneumococcal pneumonia is a significant cause of illness and death globally, particularly among young children and the elderly. The cpsB gene is involved in the biosynthesis of the capsule polysaccharide, and polymorphisms in the cpsB gene are the basis for sequetyping, a molecular biology-based approach to serotyping. In this study, we attempted the sequetyping of pneumococci directly from clinical sputum specimens collected from adult patients diagnosed with community-acquired pneumonia (CAP). We performed conventional PCR for the cpsB gene, followed by TA cloning and Sanger sequencing of the amplicon. The results showed the status of clonality of pneumococci in each specimen. We also performed real-time PCR targeting pneumococci for each specimen. It revealed a significant association between the Ct value of the real-time PCR and the clonality status of pneumococci among the specimens (p-value 0.0007 by Fisher’s exact test analysis). Specifically, when the Ct value was below 22, there was a high probability that pneumococcus existed as a single clone. Thus, this study demonstrates the possible correlation between pneumococcal clonality and bacterial load in clinical specimens, which might indicate the infection status. Full article
Show Figures

Figure 1

21 pages, 2864 KB  
Article
Impact of Demographic Developments and PCV13 Vaccination on the Future Burden of Pneumococcal Diseases in Germany—An Integrated Probabilistic Differential Equation Approach
by Myka Harun Sarajan, Kahkashan Mahreen, Patrizio Vanella and Alexander Kuhlmann
Mathematics 2024, 12(6), 796; https://doi.org/10.3390/math12060796 - 8 Mar 2024
Cited by 1 | Viewed by 2235
Abstract
Streptococcus pneumonia is the primary cause of morbidity and mortality in infants and children globally. Invasive pneumococcal disease (IPD) incidence is affected by various risk factors such as age and comorbidities. Additionally, this bacterium is a major cause of community-acquired pneumonia (CAP), leading [...] Read more.
Streptococcus pneumonia is the primary cause of morbidity and mortality in infants and children globally. Invasive pneumococcal disease (IPD) incidence is affected by various risk factors such as age and comorbidities. Additionally, this bacterium is a major cause of community-acquired pneumonia (CAP), leading to higher rates of hospitalization, especially among older adults. Vaccination with pneumococcal conjugate vaccines (PCVs) has proven effective, but the demographic transition in Germany poses a challenge. This study introduces a novel stochastic approach by integrating a population forecast model into a transmission dynamic model to investigate the future burden of pneumococcal diseases in three age groups (0–4, 5–59, and 60 and older). Our simulations, presented through mean predictions and 75% prediction intervals, indicate that implementing PCV13 (13-valent pneumococcal conjugate vaccine) until the year 2050 results in reduced cases of IPD and CAP in all age groups compared to scenarios without infant vaccination. However, cases with non-vaccine serotypes may persist at higher levels compared to scenarios without infant vaccination. Consequently, there may be a need for improvement in the current national vaccine policy, such as implementing the use of higher-valent PCVs and strengthening adult vaccination uptake. Full article
Show Figures

Figure 1

17 pages, 1067 KB  
Article
Diagnosis and Therapy of Community-Acquired Pneumonia in the Emergency Department: A Retrospective Observational Study and Medical Audit
by Giorgia Lüthi-Corridori, Andrea I. Roth, Maria Boesing, Fabienne Jaun, Philip E. Tarr, Anne B. Leuppi-Taegtmeyer and Jörg D. Leuppi
J. Clin. Med. 2024, 13(2), 574; https://doi.org/10.3390/jcm13020574 - 19 Jan 2024
Cited by 6 | Viewed by 5289
Abstract
Background: Despite advances in therapy, community-acquired pneumonia (CAP) is still associated with significant morbidity and mortality. Several studies conducted in different countries have reported suboptimal adherence to the guidelines. However, there are currently no available data on adherence to CAP guidelines specifically in [...] Read more.
Background: Despite advances in therapy, community-acquired pneumonia (CAP) is still associated with significant morbidity and mortality. Several studies conducted in different countries have reported suboptimal adherence to the guidelines. However, there are currently no available data on adherence to CAP guidelines specifically in Switzerland. Objectives: The aim of this study was to audit the quality of diagnosis and therapy of CAP at a Swiss general hospital. Methods: A retrospective, observational, single-center cohort study was conducted, including patients older than 18 years diagnosed with CAP and admitted to a medical ward throughout 2019 without prior antibiotic therapy prescribed by their general practitioner (GP). The baseline characteristics of the patients were analyzed, and the diagnostic workup and treatment were compared to the Swiss guidelines for CAP. Results: A total of 254 patients diagnosed with CAP were included in this study (median age 78 years, 51.6% males). Atypical pneumonia was diagnosed in 4% of patients, while an organism was identified in 33% of cases, with Streptococcus pneumoniae being the most frequently detected pathogen (57%). A chest image was taken in almost all patients. Documentation of respiratory rate was missing in 23% of cases. Procalcitonin was measured in 23.2% of cases. Pneumococcal and legionella urinary antigen testing was performed on approximately 90% of all patients and blood cultures were drawn in approximately 80% of patients. In 39% of cases, arterial blood gas analysis was performed. Guideline adherence for the administration of empiric antibiotics was documented/recorded in 75% of cases. Twelve different antibiotic regimens were administered, and they were mostly amoxicillin/clavulanate with or without macrolides, as suggested by the guidelines. In particular, the use of ceftriaxone was higher (19.7%) compared to the Swiss guidelines. The average length of antibiotic therapy was longer (8.2 days) compared to the guidelines (5–7 days). Oral steroid therapy was administered to 29.1% of patients, including to 75% of those diagnosed with COPD. Conclusion: Overall, guideline adherence was moderately low, especially with regards to the assessment of respiratory rate, performance of arterial blood gas analysis, and sputum collection. Regarding antibiotic therapy, the use of ceftriaxone and the length of antibiotic therapy should be reduced. Further research is needed to identify the reasons for guideline non-adherence, and to find effective measures for the improvement of guideline adherence. Full article
Show Figures

Figure 1

12 pages, 998 KB  
Article
A Multicentric Observational Study to Determine Myocardial Injury in Severe Community-Acquired Pneumonia (sCAP)
by Ignacio Martin-Loeches, Giampaolo Maggi, Emili Diaz, Judith Marín-Corral, Alfonso Guedea, Marcos I. Restrepo, Luis F. Reyes and Alejandro Rodríguez
Antibiotics 2023, 12(12), 1710; https://doi.org/10.3390/antibiotics12121710 - 8 Dec 2023
Cited by 1 | Viewed by 2264
Abstract
Background: Severe community-acquired pneumonia (sCAP) is the most frequent admission for acute respiratory failure in intensive care medicine. Observational studies have found a correlation between patients who were admitted with CAP and the development of cardiovascular events. The risk of acute myocardial damage [...] Read more.
Background: Severe community-acquired pneumonia (sCAP) is the most frequent admission for acute respiratory failure in intensive care medicine. Observational studies have found a correlation between patients who were admitted with CAP and the development of cardiovascular events. The risk of acute myocardial damage in patients with CAP is particularly high within the first 30 days of hospitalization. Research design and methods: Multicenter prospective cohort analysis conducted in consecutive patients admitted to an ICU with microbiologically confirmed diagnoses of sCAP. The aim was to determine any structural cardiac damage detected by advanced imagining techniques (cardiac MRI) and cardiac biomarkers in patients with sCAP. The patients were stratified, according to their etiology, into pneumococcal or not-pneumococcal sCAP. The primary outcome was cardiac damage at day 5 and 7 of clinical presentation. Results: A total of 23 patients were consecutively and prospectively enrolled for two winter periods. No significant differences were observed between the median troponin when comparing the pneumococcal vs. non-pneumococcal. The incidence of myocardial damage was numerically higher in the pneumococcal subgroup (70% vs. 50%, p = 0.61) on day 5 and on day 7 (53% vs. 40%, p = 0.81) but did not achieve significance. Confirming a correlation between the biomarkers of cell damage and the biomarkers of myocardial damage, only a positive and significant correlation was observed between h-FABP and DNA on day 1 (r = 0.74; p < 0.01) and day 3 (r = 0.83; p < 0.010). Twenty cardiac MRIs were performed on the 23 patients (87%). No presence of fibrosis was observed in any of the studies carried out within the first 15 days of admission. Conclusions: No significant myocardial damage was found in patients with sCAP independent of the bacterial etiology in accordance with biomarker alterations (Troponin and/or h-FABP) or cardiac MRI. Using cardiac MRI, we could not find any presence of myocardial fibrosis within the first 15 days of admission. Full article
(This article belongs to the Special Issue Pulmonary Infections: Pathogenesis and Antimicrobial Treatment)
Show Figures

Figure 1

14 pages, 3339 KB  
Article
Epidemiology of Pneumococcal Pneumonia in Louisville, Kentucky, and Its Estimated Burden of Disease in the United States
by Julio Ramirez, Stephen Furmanek, Thomas R. Chandler, Timothy Wiemken, Paula Peyrani, Forest Arnold, William Mattingly, Ashley Wilde, Jose Bordon, Rafael Fernandez-Botran, Ruth Carrico, Rodrigo Cavallazzi and The University of Louisville Pneumonia Study Group
Microorganisms 2023, 11(11), 2813; https://doi.org/10.3390/microorganisms11112813 - 20 Nov 2023
Cited by 9 | Viewed by 3737
Abstract
Streptococcus pneumoniae remains a primary pathogen in hospitalized patients with community-acquired pneumonia (CAP). The objective of this study was to define the epidemiology of pneumococcal pneumonia in Louisville, Kentucky, and to estimate the burden of pneumococcal pneumonia in the United States (US). This [...] Read more.
Streptococcus pneumoniae remains a primary pathogen in hospitalized patients with community-acquired pneumonia (CAP). The objective of this study was to define the epidemiology of pneumococcal pneumonia in Louisville, Kentucky, and to estimate the burden of pneumococcal pneumonia in the United States (US). This study was nested in a prospective population-based cohort study of all adult residents in Louisville, Kentucky, who were hospitalized with CAP from 1 June 2014 to 31 May 2016. In hospitalized patients with CAP, urinary antigen detection of 24 S. pneumoniae serotypes (UAD-24) was performed. The annual population-based pneumococcal pneumonia incidence was calculated. The distribution of S. pneumoniae serotypes was characterized. Ecological associations between pneumococcal pneumonia and income level, race, and age were defined. Mortality was evaluated during hospitalization and at 30 days, 6 months, and 1 year after hospitalization. Among the 5402 CAP patients with a UAD-24 test performed, 708 (13%) patients had pneumococcal pneumonia. The annual cumulative incidence was 93 pneumococcal pneumonia hospitalizations per 100,000 adults (95% CI = 91–95), corresponding to an estimated 226,696 annual pneumococcal pneumonia hospitalizations in the US. The most frequent serotypes were 19A (12%), 3 (11%), and 22F (11%). Clusters of cases were found in areas with low incomes and a higher proportion of Black or African American population. Pneumococcal pneumonia mortality was 3.7% during hospitalization, 8.2% at 30 days, 17.6% at 6 months, and 25.4% at 1 year after hospitalization. The burden of pneumococcal pneumonia in the US remains significant, with an estimate of more than 225,000 adults hospitalized annually, and approximately 1 out of 4 hospitalized adult patients dies within 1 year after hospitalization. Full article
(This article belongs to the Special Issue Detection and Analysis of Clinical Microbial Infections)
Show Figures

Figure 1

19 pages, 1200 KB  
Article
Pneumococcal Serotypes Associated with Community-Acquired Pneumonia Hospitalizations in Adults in Spain, 2016–2020: The CAPA Study
by Rosario Menéndez, Antoni Torres, Pedro Pablo España, Jose Alberto Fernández-Villar, José María Marimón, Raúl Méndez, Catia Cilloniz, Mikel Egurrola, Maribel Botana-Rial, María Ercibengoa, Cristina Méndez, Isabel Cifuentes and Bradford D. Gessner
Microorganisms 2023, 11(11), 2781; https://doi.org/10.3390/microorganisms11112781 - 16 Nov 2023
Cited by 6 | Viewed by 3619
Abstract
Newer higher valency pneumococcal conjugate vaccines (PCVs) have the potential to reduce the adult community-acquired pneumonia (CAP) burden. We describe the evolution and distribution of adult community-acquired pneumonia (CAP) serotypes in Spain, focusing on serotypes contained in the 20-valent PCV (PCV20). This was [...] Read more.
Newer higher valency pneumococcal conjugate vaccines (PCVs) have the potential to reduce the adult community-acquired pneumonia (CAP) burden. We describe the evolution and distribution of adult community-acquired pneumonia (CAP) serotypes in Spain, focusing on serotypes contained in the 20-valent PCV (PCV20). This was a prospective, observational study of chest X-ray (CXR)-confirmed CAP in immunocompetent adults hospitalized in one of four Spanish hospitals between November 2016 and November 2020. Pneumococci were isolated from cultures and detected in urine using BinaxNow® and Pfizer serotype-specific urinary antigen tests UAD1 and UAD2. We included 1948 adults hospitalized with CXR-CAP. The median age was 69.0 years (IQR: 24 years). At least one comorbidity was present in 84.8% (n = 1653) of patients. At admission, 76.1% of patients had complicated pneumonia. Pneumococcus was identified in 34.9% (n = 680) of study participants. The PCV20 vaccine-type CAP occurred in 23.9% (n = 465) of all patients, 68.4% (n = 465) of patients with pneumococcal CAP, and 82.2% (83/101) of patients who had pneumococcus identified by culture. Serotypes 8 (n = 153; 7.9% of all CAP) and 3 (n = 152; 7.8% of all CAP) were the most frequently identified. Pneumococcus is a common cause of hospitalized CAP among Spanish adults and serotypes contained in PCV20 caused the majority of pneumococcal CAP. Full article
(This article belongs to the Special Issue Research in Hospital Infection Control 2.0)
Show Figures

Figure 1

18 pages, 2475 KB  
Review
A Review of the Resistance Mechanisms for β-Lactams, Macrolides and Fluoroquinolones among Streptococcus pneumoniae
by Nurul Izzaty Najwa Zahari, Engku Nur Syafirah Engku Abd Rahman, Ahmad Adebayo Irekeola, Naveed Ahmed, Ali A. Rabaan, Jawaher Alotaibi, Shayea A. Alqahtani, Mohammed Y. Halawi, Ibrahim Ateeq Alamri, Mohammed S. Almogbel, Amal H. Alfaraj, Fatimah Al Ibrahim, Manar Almaghaslah, Mohammed Alissa and Chan Yean Yean
Medicina 2023, 59(11), 1927; https://doi.org/10.3390/medicina59111927 - 31 Oct 2023
Cited by 37 | Viewed by 13574
Abstract
Streptococcus pneumoniae (S. pneumoniae) is a bacterial species often associated with the occurrence of community-acquired pneumonia (CAP). CAP refers to a specific kind of pneumonia that occurs in individuals who acquire the infection outside of a healthcare setting. It represents the leading cause [...] Read more.
Streptococcus pneumoniae (S. pneumoniae) is a bacterial species often associated with the occurrence of community-acquired pneumonia (CAP). CAP refers to a specific kind of pneumonia that occurs in individuals who acquire the infection outside of a healthcare setting. It represents the leading cause of both death and morbidity on a global scale. Moreover, the declaration of S. pneumoniae as one of the 12 leading pathogens was made by the World Health Organization (WHO) in 2017. Antibiotics like β-lactams, macrolides, and fluoroquinolones are the primary classes of antimicrobial medicines used for the treatment of S. pneumoniae infections. Nevertheless, the efficacy of these antibiotics is diminishing as a result of the establishment of resistance in S. pneumoniae against these antimicrobial agents. In 2019, the WHO declared that antibiotic resistance was among the top 10 hazards to worldwide health. It is believed that penicillin-binding protein genetic alteration causes β-lactam antibiotic resistance. Ribosomal target site alterations and active efflux pumps cause macrolide resistance. Numerous factors, including the accumulation of mutations, enhanced efflux mechanisms, and plasmid gene acquisition, cause fluoroquinolone resistance. Furthermore, despite the advancements in pneumococcal vaccinations and artificial intelligence (AI), it is not feasible for individuals to rely on them indefinitely. The ongoing development of AI for combating antimicrobial resistance necessitates more research and development efforts. A few strategies can be performed to curb this resistance issue, including providing educational initiatives and guidelines, conducting surveillance, and establishing new antibiotics targeting another part of the bacteria. Hence, understanding the resistance mechanism of S. pneumoniae may aid researchers in developing a more efficacious antibiotic in future endeavors. Full article
(This article belongs to the Special Issue Antimicrobial Resistance, and Stewardship)
Show Figures

Figure 1

20 pages, 368 KB  
Review
The Global Burden of Community-Acquired Pneumonia in Adults, Encompassing Invasive Pneumococcal Disease and the Prevalence of Its Associated Cardiovascular Events, with a Focus on Pneumolysin and Macrolide Antibiotics in Pathogenesis and Therapy
by Ronald Anderson and Charles Feldman
Int. J. Mol. Sci. 2023, 24(13), 11038; https://doi.org/10.3390/ijms241311038 - 3 Jul 2023
Cited by 47 | Viewed by 14447
Abstract
Despite innovative advances in anti-infective therapies and vaccine development technologies, community-acquired pneumonia (CAP) remains the most persistent cause of infection-related mortality globally. Confronting the ongoing threat posed by Streptococcus pneumoniae (the pneumococcus), the most common bacterial cause of CAP, particularly to the non-immune [...] Read more.
Despite innovative advances in anti-infective therapies and vaccine development technologies, community-acquired pneumonia (CAP) remains the most persistent cause of infection-related mortality globally. Confronting the ongoing threat posed by Streptococcus pneumoniae (the pneumococcus), the most common bacterial cause of CAP, particularly to the non-immune elderly, remains challenging due to the propensity of the elderly to develop invasive pneumococcal disease (IPD), together with the predilection of the pathogen for the heart. The resultant development of often fatal cardiovascular events (CVEs), particularly during the first seven days of acute infection, is now recognized as a relatively common complication of IPD. The current review represents an update on the prevalence and types of CVEs associated with acute bacterial CAP, particularly IPD. In addition, it is focused on recent insights into the involvement of the pneumococcal pore-forming toxin, pneumolysin (Ply), in subverting host immune defenses, particularly the protective functions of the alveolar macrophage during early-stage disease. This, in turn, enables extra-pulmonary dissemination of the pathogen, leading to cardiac invasion, cardiotoxicity and myocardial dysfunction. The review concludes with an overview of the current status of macrolide antibiotics in the treatment of bacterial CAP in general, as well as severe pneumococcal CAP, including a consideration of the mechanisms by which these agents inhibit the production of Ply by macrolide-resistant strains of the pathogen. Full article
(This article belongs to the Special Issue Molecular Study of Bacterial Pneumonia and Pathogens)
11 pages, 1279 KB  
Article
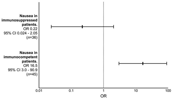
Nausea Predicts Bacteremia in Immunocompetent Patients with Pneumococcal Community-Acquired Pneumonia: Secondary Data Analysis from a Prospective Cohort
by Hans Kristian Floeystad, Jan Cato Holter, Einar Husebye, William Ward Siljan, Dag Berild, Are Martin Holm and Lars Heggelund
J. Clin. Med. 2023, 12(12), 3924; https://doi.org/10.3390/jcm12123924 - 8 Jun 2023
Cited by 1 | Viewed by 2311
Abstract
Background: In pneumococcal community-acquired pneumonia (CAP), bacteremia is associated with increased mortality, but initial clinical severity scores frequently fail to identify bacteremic patients at risk. We have previously shown that gastrointestinal symptoms are common among patients admitted to the hospital with pneumococcal bacteremia. [...] Read more.
Background: In pneumococcal community-acquired pneumonia (CAP), bacteremia is associated with increased mortality, but initial clinical severity scores frequently fail to identify bacteremic patients at risk. We have previously shown that gastrointestinal symptoms are common among patients admitted to the hospital with pneumococcal bacteremia. The aim of this study was to examine gastrointestinal symptoms and inflammatory responses in bacteremic and non-bacteremic pneumococcal CAP in a prospective cohort of immunocompromised and immunocompetent patients hospitalized with CAP. Methods: Logistic regression analysis was used to estimate the predictive value of gastrointestinal symptoms for pneumococcal bacteremia in patients with CAP. The Mann–Whitney test was used to compare inflammatory responses in patients with bacteremic vs. non-bacteremic pneumococcal CAP. Results: Eighty-one patients with pneumococcal CAP were included, of whom 21 (26%) had bacteremia. Immunocompetent patients with pneumococcal CAP had an odds ratio of 16.5 (95% CI 3.0–90.9, p = 0.001) for bacteremia if nausea was present, whereas no such association was found in the immunocompromised patients (OR 0.22, 95% CI 0.02–2.05, p = 0.18). The serum levels of C-reactive protein, procalcitonin and interleukin 6 were significantly higher in the patients with bacteremic pneumococcal CAP compared to non-bacteremic pneumococcal CAP patients (p < 0.001, p = 0.005, and p = 0.019, respectively). Conclusions: In immunocompetent patients hospitalized with pneumococcal CAP, nausea may be a predictor of bacteremia. Bacteremic pneumococcal CAP patients display an increased inflammatory response compared to non-bacteremic pneumococcal CAP patients. Full article
(This article belongs to the Section Infectious Diseases)
Show Figures

Graphical abstract

Back to TopTop