Sign in to use this feature.

Years

Between: -

Subjects

remove_circle_outline
remove_circle_outline
remove_circle_outline
remove_circle_outline
remove_circle_outline
remove_circle_outline
remove_circle_outline
remove_circle_outline
remove_circle_outline

Journals

remove_circle_outline
remove_circle_outline
remove_circle_outline
remove_circle_outline
remove_circle_outline
remove_circle_outline
remove_circle_outline
remove_circle_outline
remove_circle_outline
remove_circle_outline
remove_circle_outline
remove_circle_outline
remove_circle_outline
remove_circle_outline
remove_circle_outline
remove_circle_outline

Article Types

Countries / Regions

remove_circle_outline
remove_circle_outline
remove_circle_outline
remove_circle_outline
remove_circle_outline
remove_circle_outline

Search Results (1,456)

Search Parameters:
Keywords = permeability damage

Order results
Result details
Results per page
Select all
Export citation of selected articles as:
20 pages, 1860 KB  
Review
Diabetic Retinopathy Therapeutics: Bridging Conventional Approaches and Gene Therapy with Focus on TXNIP-Targeted Interventions
by Riddhi Tiwari, Archana Tiwari and Lalit P. Singh
J. Mol. Pathol. 2026, 7(1), 7; https://doi.org/10.3390/jmp7010007 - 6 Feb 2026
Abstract
Diabetic retinopathy (DR) is a progressive retinal disorder and a leading cause of vision impairment worldwide affecting the livelihood of millions. Its pathogenesis is driven by chronic hyperglycemia-induced neuronal and microvascular injury, leading to capillary occlusion, increased vascular permeability, and the eventual formation [...] Read more.
Diabetic retinopathy (DR) is a progressive retinal disorder and a leading cause of vision impairment worldwide affecting the livelihood of millions. Its pathogenesis is driven by chronic hyperglycemia-induced neuronal and microvascular injury, leading to capillary occlusion, increased vascular permeability, and the eventual formation of fragile neo vessels. These changes mark the progression from non-proliferative diabetic retinopathy (NPDR) to proliferative diabetic retinopathy (PDR). Diabetic macular edema (DME), characterized by blood–retinal barrier disruption and macular fluid accumulation, further contributes to vision loss. This review provides an integrative perspective on the cellular and molecular mechanisms of DR, highlighting both vascular and neuroglial contributions to retinal pathology. Current therapeutic approaches, including anti-VEGF agents and corticosteroids, offer symptomatic relief but are limited by the need for repeated administration and variability in patient response. Emerging evidence implicates the role of thioredoxin-interacting protein (TXNIP) as one of mediators of the disease progression. Strongly upregulated under hyperglycaemic stress, TXNIP induces oxidative damage, inflammation, and neuronal apoptosis, exacerbating neurovascular dysfunction. We explore potential therapeutic strategies such as gene therapy, TXNIP-targeted molecular interventions, and stem cell-based approaches aimed at achieving long-term modulation of disease mechanisms. This article thus attempts to address a comprehensive understanding of DR pathophysiology and innovative new strategies to improve long-term visual outcomes. Full article
Show Figures

Figure 1

25 pages, 1520 KB  
Article
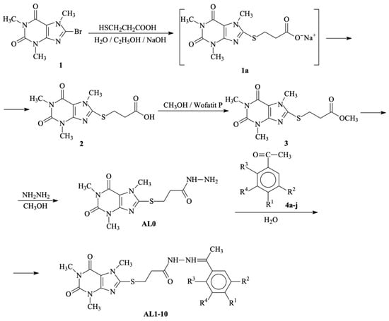
Design and Synthesis of Caffeine-Based Derivatives with Antioxidant and Neuroprotective Activity: In Vitro Evaluation and SwissADME Profiling
by Denitsa Stefanova, Alime Garip, Virginia Tzankova, Stefan Kostov, Emilio Mateev, Alexander Zlatkov and Yavor Mitkov
Antioxidants 2026, 15(2), 217; https://doi.org/10.3390/antiox15020217 - 6 Feb 2026
Abstract
Oxidative stress and excitotoxicity are key contributors to neuronal damage in various neurodegenerative diseases. Caffeine, a widely used neuroactive compound with moderate antioxidant properties, may benefit from structural modifications to enhance its neuroprotective potential. In this study, a series of novel caffeine derivatives [...] Read more.
Oxidative stress and excitotoxicity are key contributors to neuronal damage in various neurodegenerative diseases. Caffeine, a widely used neuroactive compound with moderate antioxidant properties, may benefit from structural modifications to enhance its neuroprotective potential. In this study, a series of novel caffeine derivatives was synthesized and evaluated for antioxidant and potential neuroprotective relevance using in vitro models of oxidative stress and glutamate-induced excitotoxicity in SH-SY5Y human neuroblastoma cells. Antioxidant capacity was assessed using ABTS•+ radical cation decolorization and DPPH radical scavenging assays. Most derivatives exhibited strong free radical scavenging activity, surpassing both caffeine and the reference antioxidant Trolox at low concentrations (5 µM). Notably, compounds AL-7, AL-8, AL-9, and AL-10 demonstrated particularly high activity. Cytotoxicity evaluation using the MTT assay revealed low toxicity for all compounds, with calculated IC50 values above 500 µM. Intracellular reactive oxygen species (ROS) levels measured by the DCFH-DA assay showed that several derivatives, especially AL-4, significantly reduced H2O2-induced oxidative stress. In neuroprotection assays, compounds AL-0, AL-1, and AL-4 markedly protected against hydrogen peroxide-induced damage, restoring cell viability up to 73%, while AL-7 achieved up to 85% protection against L-glutamate-induced excitotoxicity, outperforming caffeine. In silico SwissADME analysis indicated favorable oral bioavailability, with predicted gastrointestinal absorption and limited blood–brain barrier permeability. Overall, these findings highlight structurally modified caffeine derivatives as promising antioxidant and neuroprotective agents warranting further mechanistic and therapeutic investigation. Full article
(This article belongs to the Section Natural and Synthetic Antioxidants)
Show Figures

Figure 1

24 pages, 2379 KB  
Review
Glutamine Supplementation and Exercise: A Narrative Review of Biochemical Mechanisms and Timing Strategies
by Branka Djordjevic, Vladana Stojiljkovic, Aleksandra Velickov, Jana Kocic, Jelena Milenkovic, Andrej Veljkovic, Jelena Basic and Tatjana Cvetkovic
Medicina 2026, 62(2), 329; https://doi.org/10.3390/medicina62020329 - 6 Feb 2026
Abstract
Intense physical activity imposes substantial oxidative, metabolic, and immunological stress on the human body. It is often accompanied by reductions in plasma glutamine levels, making this amino acid conditionally essential. Glutamine plays a vital role in energy production, nitrogen transport, acid–base balance, antioxidant [...] Read more.
Intense physical activity imposes substantial oxidative, metabolic, and immunological stress on the human body. It is often accompanied by reductions in plasma glutamine levels, making this amino acid conditionally essential. Glutamine plays a vital role in energy production, nitrogen transport, acid–base balance, antioxidant defense, and immune function. It is required in the biosynthesis of neurotransmitters, nucleotides, nicotinamide-derived coenzymes, glutathione, and hexosamines, making it a candidate for supporting exercise recovery. In addition, glutamine may support key mechanisms involved in muscle adaptation and recovery during exercise-induced stress by contributing to redox balance, energy sensing, anabolic signaling, intestinal barrier integrity, and immune function. This narrative review aims to synthesize biochemical mechanisms underlying glutamine effects relevant to exercise and evaluate preclinical and clinical findings on supplementation outcomes, with emphasis on timing strategies. Preclinical findings demonstrate that glutamine can modulate protein synthesis, reduce oxidative stress, improve intestinal integrity, and attenuate immune and inflammatory disturbances. Limited preclinical data suggest that post-exercise supplementation may better resolve muscle and organ damage. Clinical trials, however, report heterogeneous outcomes: several studies show improvements in markers of intestinal permeability and intestinal epithelial damage, oxidative stress, muscle damage, and inflammation, whereas others report minimal or no effect, including limited influence on performance outcomes. Variability in timing protocols, participant characteristics, and measured endpoints contributes to inconsistent findings. Overall, glutamine demonstrates several biologically plausible mechanisms that could support recovery and overall health in active individuals, athletes, and specific clinical populations. However, current evidence remains insufficient to determine clear supplementation benefits or define an optimal timing strategy. Future research using standardized protocols and integrated biochemical and functional endpoints is needed to clarify timing effects. Until such evidence emerges, recommendations should remain individualized, considering athlete-specific needs. Full article
Show Figures

Figure 1

21 pages, 3982 KB  
Article
Advanced Silica Gel/Sulfonated Polymer Composites for Electric Vehicle Thermal Management by Sorption Technology
by Davide Palamara, Mengistu Gelaw, Emanuela Mastronardo, Andrea Frazzica, Candida Milone and Luigi Calabrese
Materials 2026, 19(3), 625; https://doi.org/10.3390/ma19030625 - 6 Feb 2026
Abstract
This study explores novel silica gel/sulfonated polymer composite coatings for enhanced thermal management in electric vehicles via sorption technology. Leveraging the cost-effectiveness of silica gel as a filler and a readily available, water vapor-permeable sulfonated polymer as the matrix, we developed and characterized [...] Read more.
This study explores novel silica gel/sulfonated polymer composite coatings for enhanced thermal management in electric vehicles via sorption technology. Leveraging the cost-effectiveness of silica gel as a filler and a readily available, water vapor-permeable sulfonated polymer as the matrix, we developed and characterized these materials. Mechanical assessments revealed varied performance: coatings with lower silica gel content (80 and 85 wt%) demonstrated suitable scratch resistance (damage width ~1100 µm at 1300 g load) and superior impact resistance (damage diameter ~2.4 mm). Pull-off adhesion strengths for these batches were 1.26 MPa and 1.36 MPa, respectively, though higher filler loading (90 and 95 wt%) led to a ~30% reduction and a shift to cohesive failure for high-filler-content batches. Thermogravimetric analysis confirmed thermal stability up to 280 °C. Adsorption studies revealed that the composite coating with 95 wt% of silica gel achieved the highest water uptake (just under 30 wt%), with all batches exhibiting capacities comparable to commercial adsorbents. This comprehensive characterization confirms that these composites offer a compelling balance of mechanical robustness, reliable adhesion, and high adsorption efficiency, positioning them as promising, cost-effective solutions for EV thermal management. Full article
Show Figures

Graphical abstract

23 pages, 6205 KB  
Article
Study on the Mechanism of Enhanced Water Injection for Improving Oil Recovery in Low-Permeability Reservoirs
by Fenghe Liu, Hongming Song, Chenggang Xian, Xiaofeng Lv and Fuchun Tian
Processes 2026, 14(3), 562; https://doi.org/10.3390/pr14030562 - 5 Feb 2026
Abstract
The development of low-permeability reservoirs faces significant challenges, particularly regarding low recovery rates. Conventional water injection is often limited by poor injectivity and low waterflood efficiency. As a key technology to enhance development effectiveness, enhanced water injection requires a systematic investigation into its [...] Read more.
The development of low-permeability reservoirs faces significant challenges, particularly regarding low recovery rates. Conventional water injection is often limited by poor injectivity and low waterflood efficiency. As a key technology to enhance development effectiveness, enhanced water injection requires a systematic investigation into its intrinsic mechanism for improving recovery. This study focuses on a typical low-permeability reservoir. Through laboratory experiments on rock fracturing and spontaneous imbibition, the mechanism by which enhanced water injection increases recovery rates is elucidated. COMSOL Multiphysics is employed to simulate the enhanced water injection process and examine the multi-field coupling patterns during injection. The results indicate that (1) low-permeability rocks in the study area exhibit strong oil–water exchange capabilities driven by capillary forces, with average imbibition capacity ranging from 0.6 to 0.7 g/cm3 and oil displacement efficiency between 20% and 30%; (2) fracturing experiments demonstrate that the injection of low-viscosity fluids at low flow rates (15 mL/min) can induce complex fracture propagation, thereby expanding flow pathways; and (3) the evolution of fluid–solid coupling is jointly governed by injection pressure and damage effects. Specifically, coupling intensity and fracture propagation potential increase with pressure, with optimal injection pressure ranging from 20 to 25 MPa. Rock damage exacerbates the nonlinear response of this coupling. This study combines experimental validation with numerical simulation to provide theoretical support for field practice. Full article
(This article belongs to the Special Issue Advances in Enhanced Oil Recovery Processes)
Show Figures

Figure 1

25 pages, 3844 KB  
Review
A Comprehensive Review on Constitutive Models and Damage Analysis of Concrete Spalling in High Temperature Environment and Geological Repository for Spent Fuel and Nuclear Waste Disposal
by Toan Duc Cao, Lu Sun, Kayla Davis, Cade Berry and Jaiden Zhang
Infrastructures 2026, 11(2), 54; https://doi.org/10.3390/infrastructures11020054 - 5 Feb 2026
Abstract
This paper reviews constitutive models used to predict concrete spalling under elevated temperatures, with emphasis on fire exposure and concrete linings in deep geological repositories for spent fuel and nuclear waste. The review synthesizes (1) how material composition (ordinary Portland cement concrete, geopolymer [...] Read more.
This paper reviews constitutive models used to predict concrete spalling under elevated temperatures, with emphasis on fire exposure and concrete linings in deep geological repositories for spent fuel and nuclear waste. The review synthesizes (1) how material composition (ordinary Portland cement concrete, geopolymer concrete, and fiber-reinforced systems using polypropylene and steel fibers) affects spalling resistance; (2) how coupled environmental and mechanical actions (temperature, moisture, stress state, chloride ingress, and radiation) drive damage initiation and spalling; and (3) how constituent-scale characteristics (microstructure, porosity, permeability, elastic modulus, and water content) govern thermal–hydro–mechanical–chemical (THMC) transport and damage evolution. We compare major constitutive modeling frameworks, including plasticity–damage models (e.g., concrete damage plasticity), statistical damage approaches, and fully coupled THM/THMC formulations, and highlight how key parameters (e.g., water-to-binder ratio, temperature-driven pore-pressure gradients, and crack evolution laws) control predicted spalling onset, depth, and timing. Several overarching challenges emerge: lack of standardized experimental protocols for spalling tests and assessments, which limits cross-study benchmarking; continued debate on whether spalling is dominated by pore pressure, thermo-mechanical stress, or their interaction; limited integration of multiscale and constituent-level material characteristics; and high data and computational demands associated with advanced multi-physics models. The paper concludes with targeted research directions to improve model calibration, validation, and performance-based design of concrete systems for high-temperature and repository applications. Full article
Show Figures

Figure 1

16 pages, 8072 KB  
Article
A Study on the Evolution of Coal Seam Stress and Permeability During Coal Mining and Its Application Effects: A Case Study of T Coal Mine
by Jie Gao, Lihua Wang, Zhenhua Hu, Wei Zhao, Zhengyu Yang, Hongxing Zhou, Dong Liu and Tao Wang
Processes 2026, 14(3), 550; https://doi.org/10.3390/pr14030550 - 4 Feb 2026
Abstract
Background: The pressure reduction range in traditional protective coal mining is often set conservatively, resulting in diminished actual pressure reduction effects near the mining boundary. Therefore, analyzing the stress and permeability evolution patterns at the mining boundary is particularly essential. Method: A three-dimensional [...] Read more.
Background: The pressure reduction range in traditional protective coal mining is often set conservatively, resulting in diminished actual pressure reduction effects near the mining boundary. Therefore, analyzing the stress and permeability evolution patterns at the mining boundary is particularly essential. Method: A three-dimensional numerical model was established according to the mining conditions of the 864 working face in T Mine to study the stress evolution, fissure development, and permeability evolution of the coal and rock mass overlying the protective seam mining, especially those near the mining boundary. Results: The overlying coal and surrounding rock mass near the mining boundary are in the state of increasing vertical stress and decreasing horizontal stress, and under this mechanical path of “increasing axial pressure and decreasing peripheral pressure”, the coal mass is damaged and destroyed, fissures are developed, and the permeability is increased; as a result, the coal and surrounding rock mass near the mining boundary mainly produce vertical longitudinal fissures, and the permeability can be increased 900 times compared with that of the overlying coal and surrounding rock mass in the mining boundary. After ground drilling and enhanced depressurization, the measured maximum gas content of the coal mass at the strike boundary is 3.25 m3/t, and the measured maximum gas content of the coal mass at the inclination boundary is 2.63 m3/t. Conclusions: After mining the protective layer, the permeability enhancement effect diminishes from the center toward the sides, yet remains sufficient to eliminate the risk of gas outbursts. This validates the importance of verifying permeability enhancement effects at coal seam boundaries. Full article
Show Figures

Figure 1

18 pages, 6165 KB  
Article
CO2 Injection for Enhanced Gas Recovery in Tight Gas Reservoirs of the Central Shenfu Area
by Ziliang Liu, Haifeng Zhang, Renbao Zhao, Liang He, Bing Zhang, Yahao Yuan and Kang Zhao
Energies 2026, 19(3), 801; https://doi.org/10.3390/en19030801 - 3 Feb 2026
Viewed by 108
Abstract
The tight gas reservoirs developed in the central Shenfu block are characterized by ultra-low porosity and permeability (typically < 10% porosity, <1 mD permeability), and high irreducible water saturation (40–60%). The frequent water blocking issue sharply reduces gas relative permeability during the production [...] Read more.
The tight gas reservoirs developed in the central Shenfu block are characterized by ultra-low porosity and permeability (typically < 10% porosity, <1 mD permeability), and high irreducible water saturation (40–60%). The frequent water blocking issue sharply reduces gas relative permeability during the production period, severely limiting well productivity. In this study, core flooding experiments using artificial cores were conducted to systematically evaluate the feasibility of CO2 injection for enhanced gas recovery (EGR). The results show that the effectiveness of CO2 EGR is sensitive to many factors, such as injection pressure, injection rate, total injection volume, and core permeability. The higher injection pressure and rate would improve the pressure gradient, CO2 sweep efficiency, and EGR. An optimal total volume with the value (around 2.0 pore volumes, PV) was recommended as the amount of CO2 injection are varied in the range of 0.5–2.5 PV. A higher permeable tight reservoir is prone to a higher nature gas recovery. The experimental findings, within the controlled conditions of this study, suggest that a flowback strategy of “slow startup and controlled depressurization” could be considered. Combining CO2 injection with managed pressure drop of production and optimized fracturing process is proposed as a potential comprehensive strategy focused on “energy supplement, damage mitigation, and water control,” which may provide a useful reference for the efficient development of high-water-saturation tight gas reservoirs. Full article
Show Figures

Figure 1

27 pages, 8433 KB  
Article
Polygonal Crack Evolution in Multilayered Rocks Under Cooling Contraction
by Tiantian Chen, Yu Jiang, Zhengzhao Liang, Chun’an Tang and Tao Geng
Fractal Fract. 2026, 10(2), 107; https://doi.org/10.3390/fractalfract10020107 - 3 Feb 2026
Viewed by 165
Abstract
Multilayered geological structures are common in geotechnical engineering, where cooling shrinkage induces polygonal cracks in interlayers, compromising rock mass strength, permeability, and long-term stability. Existing thermo-mechanical studies on layered rock cracking insufficiently address the combined effects of weak interlayer geometry or interface-regulated mechanisms. [...] Read more.
Multilayered geological structures are common in geotechnical engineering, where cooling shrinkage induces polygonal cracks in interlayers, compromising rock mass strength, permeability, and long-term stability. Existing thermo-mechanical studies on layered rock cracking insufficiently address the combined effects of weak interlayer geometry or interface-regulated mechanisms. To address this gap, based on meso-damage mechanics and thermodynamics, this study adopts a thermo-mechanical coupling simulation method considering rock heterogeneity, innovatively focusing on the understudied stress transfer effect at strong–weak interlayer interfaces. Systematic investigations were conducted on the initiation, propagation, and saturation of polygonal cracks in plate-like layered rocks under surface cooling, analyzing the influences of weak interlayer thickness, number, and position, and comparing surface vs. inner interlayer behaviors. Results showed that stress transfer interruption at weak–strong layer interfaces can inhibit crack propagation. Inter weak interlayers produce significantly more cracks and fragments than surface weak interlayers, with a stratified crack length distribution, and the maximum fragment area increases exponentially with weak interlayer thickness. Crack development is strongly influenced by weak interlayer thickness, with thinner layers dominated by non-penetrating cracks and thicker layers tending to develop penetrating lattice-like cracks. The inter layer stress and crack distribution exhibit fractal characteristics, with crack density decreasing layer by layer and no new cracks forming after saturation. This study clarifies the regulatory mechanism of weak interlayer features and surface cooling on crack evolution, quantifies interface effects and fractal characteristics, and provides a theoretical basis for instability prediction of layered rock structures in low-temperature geotechnical engineering. Full article
(This article belongs to the Special Issue Applications of Fractal Dimensions in Rock Mechanics and Geomechanics)
Show Figures

Figure 1

12 pages, 33407 KB  
Article
Antibacterial Activity and Action Mode of Lactobionic Acid Against Cronobacter sakazakii: With Insights into Cell Wall, Membrane, and Macromolecule Targeting
by Shimo Kang, Siyuan Wang, Shuqi Shen, Yaqi Zhang, Na Liu and Xiqing Yue
Foods 2026, 15(3), 535; https://doi.org/10.3390/foods15030535 - 3 Feb 2026
Viewed by 104
Abstract
Lactobionic acid (LBA) has demonstrated antibacterial activities against multiple foodborne bacteria; however, few studies have reported on its effect against Cronobacter sakazakii. In this study, the antibacterial activity and mode of LBA against C. sakazakii were explored. The minimum inhibitory concentration (MIC) [...] Read more.
Lactobionic acid (LBA) has demonstrated antibacterial activities against multiple foodborne bacteria; however, few studies have reported on its effect against Cronobacter sakazakii. In this study, the antibacterial activity and mode of LBA against C. sakazakii were explored. The minimum inhibitory concentration (MIC) and minimum bactericidal concentration (MBC) of LBA against C. sakazakii were 12.5 and 25 mg/mL, respectively. LBA exhibited bacteriostatic activity at sub-MIC and bactericidal activity at concentrations ≥ MIC. Alkaline phosphatase (AKP) activity, cell outer membrane (OM) permeability, protein leakage, and gel electrophoresis results suggested that LBA increased the permeability of the cell wall and OM, leading to intracellular protein leakage and a decrease in protein contents and activity, indicating LBA damage to the cell wall and membrane. Among these, the rapid AKP activity surge reached 4.37 U/gprot at 2 MIC, and the OM permeability dramatically increased up to 10 min and stabilized after 30 min. Microscopic observations confirm the disruption to the cell wall and membrane, further showing that LBA disrupted the integrity of the cell wall and membrane. Moreover, LBA disturbs normal cellular functions by binding to deoxyribonucleic acid (DNA), as reflected by the competitive binding assay. Overall, LBA possesses potential multiple applications in the food industry due to its natural and antibacterial properties. Full article
(This article belongs to the Section Food Microbiology)
Show Figures

Figure 1

33 pages, 1846 KB  
Review
Molecular and Cellular Mechanisms of Myocardial Ischemia and Reperfusion Injury: A Narrative Review
by Stefan Juricic, Jovana Klac, Sinisa Stojkovic, Branko Beleslin, Milorad Tesic, Ivana Jovanovic, Marko Banovic, Olga Petrovic, Srdjan Aleksandric, Natalija Vasic, Filip Simeunovic, Dejan Lazovic, Milica Stoiljkovic, Sashko Nikolov and Dejan Simeunovic
Cells 2026, 15(3), 265; https://doi.org/10.3390/cells15030265 - 30 Jan 2026
Viewed by 418
Abstract
Myocardial ischemia represents a state of reduced coronary perfusion with oxygenated blood, insufficient to meet the metabolic demands of the myocardium. Both acute and chronic ischemia trigger a cascade of cellular events that lead to disturbances in ionic balance, mitochondrial function and energy [...] Read more.
Myocardial ischemia represents a state of reduced coronary perfusion with oxygenated blood, insufficient to meet the metabolic demands of the myocardium. Both acute and chronic ischemia trigger a cascade of cellular events that lead to disturbances in ionic balance, mitochondrial function and energy metabolism. During ischemia, cardiomyocytes (CMs) shift from aerobic to anaerobic metabolism, resulting in adenosine triphosphate (ATP) depletion, loss of ionic homeostasis and calcium (Ca2+) overload that activate proteases, phospholipases and membrane damage. Reperfusion restores oxygen supply and prevents irreversible necrosis but paradoxically initiates additional injury in marginally viable myocardium. The reoxygenation phase induces excessive production of reactive oxygen species (ROS), endothelial dysfunction and a strong inflammatory response mediated by neutrophils, platelets and cytokines. Mitochondrial dysfunction and opening of the mitochondrial permeability transition pore (mPTP) further amplify oxidative stress and inflammation and trigger apoptosis and necroptosis. Understanding these intertwined cellular and molecular mechanisms remains essential for identifying novel therapeutic targets aimed at reducing reperfusion injury and improving myocardial recovery after ischemic events. Full article
Show Figures

Figure 1

22 pages, 2612 KB  
Review
Mitochondria in Renal Ischemia–Reperfusion Injury: From Mechanisms to Therapeutics
by Yijun Pan and Jiefu Zhu
Biomedicines 2026, 14(2), 310; https://doi.org/10.3390/biomedicines14020310 - 29 Jan 2026
Viewed by 202
Abstract
Renal ischemia–reperfusion injury (IRI) is a leading trigger of acute kidney injury (AKI), a syndrome with high incidence and mortality worldwide. The kidney is among the most energy-demanding organs; its mitochondrial content is second only to the heart, rendering renal function highly contingent [...] Read more.
Renal ischemia–reperfusion injury (IRI) is a leading trigger of acute kidney injury (AKI), a syndrome with high incidence and mortality worldwide. The kidney is among the most energy-demanding organs; its mitochondrial content is second only to the heart, rendering renal function highly contingent on mitochondrial integrity. Accumulating evidence places mitochondria at the center of IRI pathogenesis. During ischemia, ATP depletion, ionic disequilibrium, and Ca2+ overload set the stage for injury; upon reperfusion, a burst of mitochondrial reactive oxygen species (mtROS), collapse of the mitochondrial membrane potential (ΔΨm), aberrant opening of the mitochondrial permeability transition pore (mPTP), mitochondrial DNA (mtDNA) damage, and release of mitochondrial damage-associated molecular patterns (mtDAMPs) further amplify inflammation and drive regulated cell-death programs. In recent years, the centrality of mitochondrial bioenergetics, quality control, and immune signaling in IRI-AKI has been increasingly recognized. Building on advances from the past five years, this review synthesizes mechanistic insights into mitochondrial dysfunction in renal IRI and surveys mitochondria-targeted therapeutic strategies—including antioxidant defenses, reinforcement of mitochondrial quality control (biogenesis, dynamics, mitophagy), and modulation of mtDAMP sensing—with the aim of informing future translational efforts in AKI. Full article
(This article belongs to the Special Issue Innovations in Kidney Disease: From Pathogenesis to Therapy)
Show Figures

Figure 1

17 pages, 2850 KB  
Article
Involvement of Non-Muscle Myosin Light Chain Kinase Nitration in Molecular Regulation of Inflammation-Induced Endothelial Cell Barrier Dysfunction
by Haifei Xu, Jin H. Song, Joseph B. Mascarenhas, Libia A. Garcia, Susannah Patarroyo-White, Annie Hernandez, Carrie L. Kempf, Paul R. Langlais, Donna D. Zhang and Joe G. N. Garcia
Cells 2026, 15(3), 261; https://doi.org/10.3390/cells15030261 - 29 Jan 2026
Viewed by 221
Abstract
Endothelial cell (EC) barrier integrity is tightly regulated by the activity of the non-muscle myosin light chain kinase (nmMLCK) under diverse pathological inflammatory conditions (pneumonia, sepsis) and exposure to mechanical stress. Inflammatory stimuli, including lipopolysaccharide (LPS), cytokines, and damage-associated molecular patterns (DAMPs), increase [...] Read more.
Endothelial cell (EC) barrier integrity is tightly regulated by the activity of the non-muscle myosin light chain kinase (nmMLCK) under diverse pathological inflammatory conditions (pneumonia, sepsis) and exposure to mechanical stress. Inflammatory stimuli, including lipopolysaccharide (LPS), cytokines, and damage-associated molecular patterns (DAMPs), increase EC permeability through nmMLCK-dependent EC paracellular gap formation. However, the exact mechanisms by which nmMLCK regulates vascular barrier dysfunction in acute lung injury (ALI) remain incompletely understood. We hypothesized that inflammation-induced ROS results in the peroxynitrite-mediated nitration of nmMLCK that contributes to EC barrier disruption. Human lung EC exposure to either the peroxynitrite donor, SIN-1, or to LPS, triggered significant nmMLCK nitration, which was abolished by the oxidant scavenger, MnTMPyP. Mass spectrometry of SIN-1-treated nmMLCK identified multiple nitrated tyrosines. Nitration of Y1410 proved a critical PTM as site-directed substitution with alanine (Y1410A) abolished both SIN-1- and LPS-induced nmMLCK nitration. nmMLCK nitration disrupts wild-type nmMLCK interaction with Kindlin-2, a cytoskeletal regulator of vascular barrier stability, whereas EC transfected with the Y1410A nmMLCK mutant exhibited preserved Kindlin-2 binding, reflected by alterations in trans-EC electrical resistance (TEER). Consistent with these observations, LPS-challenged murine lungs displayed enhanced nmMLCK nitration and diminished nmMLCK-Kindlin-2 association. Functionally, SIN-1 markedly impaired EC barrier integrity (TEER), which was not observed in ECs expressing the Y1410A mutant. Together, these findings suggest that nmMLCK nitration at Y1410 is a critical molecular mechanism contributing to vascular leakage, highlighting this modification as a potential therapeutic target to reduce inflammation-induced vascular permeability. Given nmMLCK’s established role in barrier regulation, we hypothesized that LPS-induced peroxynitrite formation may promote the nitration of nmMLCK tyrosine residues: a PTM that potentially contribute to nmMLCK’s regulation of EC barrier integrity. Full article
(This article belongs to the Section Cell Signaling)
Show Figures

Figure 1

19 pages, 4136 KB  
Article
Unmasking the Fungicidal Potency and Multifaceted Mechanisms of Nutmeg Essential Oil Against Candida auris
by Akriti Gaurav, Saif Hameed, Suhailah S. Aljameel, Suriya Rehman, Inès Hammami, Wissem Mnif, Zainab S. Alghamdi and Zeeshan Fatima
Pharmaceuticals 2026, 19(2), 233; https://doi.org/10.3390/ph19020233 - 29 Jan 2026
Viewed by 168
Abstract
Background: Candida auris has emerged as a multidrug-resistant fungal pathogen, presenting significant clinical challenges worldwide. Although considerable progress has been made in antifungal research, the specific mechanisms underlying drug resistance in C. auris remain incompletely understood. To overcome this problem, natural compounds [...] Read more.
Background: Candida auris has emerged as a multidrug-resistant fungal pathogen, presenting significant clinical challenges worldwide. Although considerable progress has been made in antifungal research, the specific mechanisms underlying drug resistance in C. auris remain incompletely understood. To overcome this problem, natural compounds can be used as valuable alternatives. The present study aimed to evaluate the antifungal activity of NEO against C. auris and to understand the functional mechanisms underlying its antifungal activity. Methods: The antifungal activity of NEO against C. auris strain CBS10913T was examined using broth microdilution and spot assays to determine the minimum inhibitory concentration (MIC) and minimum fungicidal concentration (MFC). Mechanistic investigations were performed using phenotypic-, biochemical-, and fluorescence-based assays to evaluate its effects on cell wall integrity, membrane permeability, efflux pump activity, oxidative stress, lipid peroxidation, biofilm formation, and host cell adherence. Hemolytic assays were performed to evaluate preliminary biocompatibility. Results: During our study, we found that NEO showed strong fungicidal activity against C. auris, with an MIC of 500 µg/mL and an MFC of 650 µg/mL, and disrupted fungal cell wall integrity, significantly reduced ergosterol content, and inhibited efflux pump activity, leading to increased accumulation of fluorescent substrates. NEO induced increased intracellular reactive oxygen species, leading to oxidative-mediated lipid peroxidation and DNA damage. Moreover, NEO also suppressed stress biofilm formation, reduced metabolic activity, and decreased adherence to buccal epithelial cells, and it showed negligible hemolytic activity up to 2× MIC, indicating preliminary biocompatibility. Conclusions: This study demonstrates that NEO utilizes broad antifungal activity through multiple functional and phenotypic mechanisms, including disruption of membrane integrity, inhibition of efflux pump, induction of oxidative stress, and suppression of biofilm formation. Although the direct effects on pathogenicity-related genes or proteins were not studied, the findings still show NEO as a promising natural antifungal agent. Full article
(This article belongs to the Section Natural Products)
Show Figures

Graphical abstract

17 pages, 1821 KB  
Review
Sub-Internal Limiting Membrane Hemorrhage: Molecular Microenvironment and Review of Treatment Modalities
by Krzysztof Eder, Paulina Langosz, Marta Danikiewicz-Zagała, Rafał Leszczyński and Dorota Wyględowska-Promieńska
Int. J. Mol. Sci. 2026, 27(3), 1336; https://doi.org/10.3390/ijms27031336 - 29 Jan 2026
Cited by 1 | Viewed by 136
Abstract
Sub-internal limiting membrane (sub-ILM) hemorrhage is a distinct preretinal bleeding entity in which blood accumulates between the ILM and the retinal nerve fiber layer (RNFL), forming a sharply confined compartment. The ILM’s low permeability and lack of immune cell access create a stagnant [...] Read more.
Sub-internal limiting membrane (sub-ILM) hemorrhage is a distinct preretinal bleeding entity in which blood accumulates between the ILM and the retinal nerve fiber layer (RNFL), forming a sharply confined compartment. The ILM’s low permeability and lack of immune cell access create a stagnant microenvironment in which erythrocyte lysis leads to the accumulation of hemoglobin, heme, and iron, promoting the generation of reactive oxygen species. This oxidative burden poses a direct risk to retinal ganglion cells and Müller cell endfeet. Spectral-domain optical coherence tomography (SD-OCT) enables precise identification of sub-ILM blood through its characteristic dome-shaped elevation and hyperreflective contents, distinguishing it from subhyaloid and vitreous hemorrhage. Management options include observation, neodymium-doped yttrium–aluminum–garnet (Nd: YAG) laser membranotomy, pneumatic displacement, and pars plana vitrectomy (PPV). While small, extrafoveal hemorrhages may resolve spontaneously, prolonged blood entrapment is associated with increased retinal toxicity, tractional changes, and proliferative vitreoretinopathy (PVR). Early intervention generally results in faster clearance and improved visual outcomes, particularly for dense or foveal bleeding. Major gaps remain regarding cellular stress responses, biomarkers that predict irreversible damage, and the optimal timing of intervention. Standardized imaging criteria and evidence-based management algorithms are needed to guide individualized treatment. Full article
(This article belongs to the Special Issue Molecular Mechanisms and Treatment of Retinal Diseases)
Show Figures

Figure 1

Back to TopTop