Sign in to use this feature.

Years

Between: -

Subjects

remove_circle_outline
remove_circle_outline
remove_circle_outline
remove_circle_outline
remove_circle_outline
remove_circle_outline
remove_circle_outline
remove_circle_outline
remove_circle_outline

Journals

Article Types

Countries / Regions

Search Results (23)

Search Parameters:
Keywords = oroantral fistula

Order results
Result details
Results per page
Select all
Export citation of selected articles as:
18 pages, 1301 KB  
Review
Navigating the Treatment Landscape of Odontogenic Sinusitis: Current Trends and Future Directions
by Silviu Albu and Alexandra Roman
Medicina 2025, 61(12), 2175; https://doi.org/10.3390/medicina61122175 - 7 Dec 2025
Viewed by 1193
Abstract
Background and Objectives: Odontogenic sinusitis (ODS) is a particular type of sinus infection induced by dental infections or iatrogenic causes. Although not rare, it is often underrated and sometimes confused with other forms of chronic rhinosinusitis. The aim of this review was to [...] Read more.
Background and Objectives: Odontogenic sinusitis (ODS) is a particular type of sinus infection induced by dental infections or iatrogenic causes. Although not rare, it is often underrated and sometimes confused with other forms of chronic rhinosinusitis. The aim of this review was to summarize the main diagnostic aspects, microbiological profile, and current options in the therapeutic management of ODS. Materials and Methods: Recent studies and consensus statements from both dental and ENT fields were reviewed. The focus was on the ODS diagnostic criteria, the types and the timing of dental and endoscopic treatment approaches, and treatment combinations inducing the best outcomes in ODS. Results: ODS usually involves anaerobic bacteria such as Fusobacterium and Peptostreptococcus. Empirical antibiotics like amoxicillin or amoxicillin–clavulanate are most often used, but antibiotic therapy alone rarely cures the disease. Dental treatment is essential in ODS cases with oroantral fistulas, infected maxillary sinus bone grafts, or implants. However, in these clinical situations, concurrent one-stage dental and endoscopic sinus surgery (ESS) treatment seems to offer the highest success rate, close to 97%. Combined surgery significantly improved ODS treatment outcomes in terms of reduced reintervention rates and recurrence. There is still debate on how wide ESS should be in uncomplicated ODS, but many reports show that maxillary antrostomy alone can be sufficient. In apical periodontitis-related ODS, recurrence after primary ESS is uncommon in the short term. Conclusions: ODS management needs cooperation between ENT and dental specialists. Treating the dental underlying infection remains critical to prevent oral or systemic complications. Future research should better define diagnostic criteria, antibiotic use guidelines, and the best timing for combined surgery. New studies on microbiology, immunity, and artificial intelligence could help improve diagnosis and medical care of ODS patients. Full article
(This article belongs to the Section Surgery)
Show Figures

Figure 1

12 pages, 882 KB  
Article
Microbiological and Clinical Predictors of Surgical Intervention in Odontogenic Sinusitis
by So Jeong Kim and Jung Ho Bae
J. Clin. Med. 2025, 14(20), 7342; https://doi.org/10.3390/jcm14207342 - 17 Oct 2025
Viewed by 694
Abstract
Background: Odontogenic sinusitis (ODS) is a frequent but under-recognized cause of chronic maxillary sinusitis, often requiring multidisciplinary management. Understanding clinical and microbiological predictors for oral and maxillofacial surgery (OMS) treatment may aid in early risk stratification. Methods: We retrospectively reviewed 47 patients diagnosed [...] Read more.
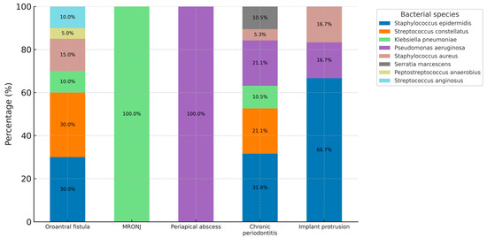
Background: Odontogenic sinusitis (ODS) is a frequent but under-recognized cause of chronic maxillary sinusitis, often requiring multidisciplinary management. Understanding clinical and microbiological predictors for oral and maxillofacial surgery (OMS) treatment may aid in early risk stratification. Methods: We retrospectively reviewed 47 patients diagnosed with ODS at a tertiary referral center between January 2023 and April 2025. Clinical characteristics, dental pathologies, and microbiological findings were analyzed. Univariate and multivariate logistic regression analyses were performed to identify independent predictors of OMS intervention. Results: The cohort included 20 males and 27 females, with a mean age of 59.5 years. OMS intervention was performed for 21 patients (44.7%). These patients were younger, and more frequently presented with gingival pain or swelling, oroantral fistula, antibiotic-resistant organisms, and polymicrobial infections compared with the non-OMS group. Staphylococcus epidermidis was the most common isolate, followed by Streptococcus constellatus, Klebsiella pneumoniae, and Pseudomonas aeruginosa. Antibiotic resistance was observed in 29.8% of patients and was significantly more prevalent in the OMS group (52.4% vs. 7.7%, p < 0.001). Multivariate analysis identified dental diagnosis and antibiotic resistance as independent predictors for OMS intervention. All patients achieved full recovery following surgery, with no treatment failures. Conclusions: ODS demonstrates distinct clinical and microbiological characteristics, with antibiotic resistance and specific dental pathologies serving as independent risk factors for OMS intervention. Recognition of these features may guide early multidisciplinary planning and improve clinical outcomes. Full article
(This article belongs to the Section Otolaryngology)
Show Figures

Figure 1

8 pages, 596 KB  
Article
Clinical and Radiological Analysis of Odontogenic Sinusitis: A Retrospective Study
by Shin Hyuk Yoo, Hahn Jin Jung, Soo Kyoung Park and Ji-Hun Mo
J. Clin. Med. 2025, 14(8), 2821; https://doi.org/10.3390/jcm14082821 - 19 Apr 2025
Viewed by 2432
Abstract
Background/Objectives: Odontogenic sinusitis (ODS) is a distinct subtype of chronic rhinosinusitis that arises from dental pathology, with unique etiologies and treatment strategies. This study aimed to evaluate the clinical features, radiological findings, and surgical outcomes of ODS patients treated with endoscopic sinus [...] Read more.
Background/Objectives: Odontogenic sinusitis (ODS) is a distinct subtype of chronic rhinosinusitis that arises from dental pathology, with unique etiologies and treatment strategies. This study aimed to evaluate the clinical features, radiological findings, and surgical outcomes of ODS patients treated with endoscopic sinus surgery (ESS). Methods: This retrospective study included 139 patients diagnosed with ODS who underwent ESS. Demographic characteristics, clinical symptoms, radiological findings, and treatment outcomes were analyzed. Outcomes were assessed using pre- and postoperative LundKennedy (L-K) scores, with additional evaluation of the impact of concurrent dental treatment. Results: The most common etiology was periodontal disease (60.4%), followed by dental implants (20.1%) and dental extractions (19.4%). Radiological findings revealed sinus involvement beyond the maxillary sinus in 78.4% of patients, with common abnormalities including periapical abscesses (60.4%), oroantral fistulas (19.4%), and implant-related complications (20.1%). Patients who received concurrent dental treatment with ESS demonstrated significantly better outcomes, with success rates of 96.4% compared to 73.9% for those without dental treatment (p = 0.003). Conclusions: ODS is frequently underdiagnosed due to overlapping symptoms with chronic rhinosinusitis of other origins. Radiological imaging is crucial for identifying dental pathologies contributing to ODS. Combining ESS with dental treatment significantly improves outcomes and is recommended as the optimal management strategy for ODS. Full article
(This article belongs to the Special Issue Otolaryngology—Head and Neck Surgery: Current Trends and Challenges)
Show Figures

Figure 1

16 pages, 2309 KB  
Article
Efficacy of Bichat’s Buccal Fat Pad Advancement in the Treatment of Odontogenic Maxillary Sinus Fistulas
by Christian Bacci, Claudia Manera, Davide Meneghetti, Iris Dhelpra and Luca Sbricoli
Surgeries 2025, 6(1), 10; https://doi.org/10.3390/surgeries6010010 - 8 Feb 2025
Viewed by 4757
Abstract
Background/Objectives: Oroantral fistulas (OF) are a challenging complication in oral and maxillofacial surgery, often requiring surgical intervention to restore sinus integrity. The Bichat’s buccal fat pad (BFP) has gained attention as a viable option for OF closure. This study aimed to evaluate the [...] Read more.
Background/Objectives: Oroantral fistulas (OF) are a challenging complication in oral and maxillofacial surgery, often requiring surgical intervention to restore sinus integrity. The Bichat’s buccal fat pad (BFP) has gained attention as a viable option for OF closure. This study aimed to evaluate the efficacy, safety, and clinical outcomes of BFP advancement for OF treatment. Methods: This prospective study included 20 patients diagnosed with OF. The surgical procedure involved isolation and advancement of the BFP to close the defect. Patients were followed up at 7 days, 45 days, and 6 months postoperatively, with clinical and radiographic assessments. The primary outcome was successful fistula closure at 6 months, while secondary outcomes included complication rates, sinus opacification on CT scans, pain levels, and quality of life improvements. Results: The overall success rate was 85.7%, with complete fistula closure achieved in 18 out of 21 cases (including one bilateral case). Minor complications occurred in 14.3% of cases. CT scans at 6 months showed complete resolution of sinus opacification in 81% of cases. Patients reported significant improvements in pain scores and quality of life. Conclusions: BFP advancement is an effective, safe, and minimally invasive technique for OF closure, offering high success rates and favorable clinical and radiographic outcomes. These findings support the use of BFP as a reliable option for managing OF in oral and maxillofacial surgery. Full article
Show Figures

Figure 1

33 pages, 7151 KB  
Systematic Review
Management of Oro-Antral Communication: A Systemic Review of Diagnostic and Therapeutic Strategies
by Gianna Dipalma, Angelo Michele Inchingolo, Irma Trilli, Laura Ferrante, Angela Di Noia, Elisabetta de Ruvo, Francesco Inchingolo, Antonio Mancini, Stefan Cocis, Andrea Palermo and Alessio Danilo Inchingolo
Diagnostics 2025, 15(2), 194; https://doi.org/10.3390/diagnostics15020194 - 16 Jan 2025
Cited by 7 | Viewed by 17914
Abstract
Aim: This study aims to evaluate the management of oro-antral communications (OAC) and fistulas (OAF), focusing on treatment strategies based on defect size, epithelialization, and the presence of sinus infections, while exploring both traditional and emerging techniques. Materials and Methods: The systematic review [...] Read more.
Aim: This study aims to evaluate the management of oro-antral communications (OAC) and fistulas (OAF), focusing on treatment strategies based on defect size, epithelialization, and the presence of sinus infections, while exploring both traditional and emerging techniques. Materials and Methods: The systematic review was conducted following the PRISMA guidelines and registered on PROSPERO (CDR ID 623251). Using targeted keywords, articles in English published within the last 10 years were analyzed from databases such as PubMed, WoS and Scopus, selecting only clinical studies on human patients. After thorough screening, 20 publications were included in the qualitative analysis, among 734 initially identified. Results: Small OACs (<5 mm) were managed conservatively with hemostatic materials, while larger defects (>5 mm) required surgical closure, with the Bichat flap proving highly effective for large defects. Innovative treatments using autologous bone grafts and PRF showed promise in supporting tissue regeneration. In cases with sinusitis, the combination of FESS and intra-oral closure techniques resulted in high success rates for infection resolution and defect closure. Conclusions: Treatment outcomes for OAC and OAF are highly dependent on the size of the defect and the presence of sinusitis. Multidisciplinary collaboration, along with timely surgical intervention and adherence to medical therapies, is essential for successful management. Emerging techniques and minimally invasive procedures continue to improve patient outcomes, offering hope for more effective and sustainable solutions in complex cases. Full article
(This article belongs to the Special Issue Diagnostic Approach and Innovations in the Different Dentistry Fields)
Show Figures

Figure 1

7 pages, 1469 KB  
Case Report
Formwork Technique with Mesh in Elevations of Sinus Floors with Large Perforations of the Schneider Membrane: A Case Pilot
by Erick Rafael Fernández Castellano, Cosimo Galletti and Javier Flores Fraile
Reports 2024, 7(4), 113; https://doi.org/10.3390/reports7040113 - 12 Dec 2024
Viewed by 1345
Abstract
Background and Clinical Significance: Currently, maxillary sinus floor elevation is one of the most common procedures used in implantology practice. Despite its predictability, the technique is not without complications, such as graft material dispersion in the sinus cavity, wound dehiscence, hematoma, fenestrations, [...] Read more.
Background and Clinical Significance: Currently, maxillary sinus floor elevation is one of the most common procedures used in implantology practice. Despite its predictability, the technique is not without complications, such as graft material dispersion in the sinus cavity, wound dehiscence, hematoma, fenestrations, oroantral fistulas, epistaxis, acute sinusitis, and Schneider membrane perforations. The treatment of the latter can be complex, and depending on its extent, surgery deferral may be necessary, leading to increased patient morbidity. Case Presentation: A patient with apical surgery underwent sinus floor elevation with a significant Schneider membrane perforation using a new approach involving titanium mesh, resorbable membrane, and xenograft. This allowed the continuation of surgery, reducing the number of interventions and patient morbidity. Conclusions: Despite limitations due to a small sample size, this case report demonstrates that addressing large Schneider membrane perforations and placing implants is effective and predictable using the technology and approach of mesh formwork with titanium. Full article
(This article belongs to the Special Issue Clinical Research on Oral Diseases)
Show Figures

Figure 1

14 pages, 555 KB  
Review
Treatment of Oroantral Communication and Fistulas with the Use of Blood-Derived Platelet-Rich Preparations Rich in Growth Factors: A Systematic Review
by Paulina Adamska, Magdalena Kaczoruk-Wieremczuk, Dorota Pylińska-Dąbrowska, Marcin Stasiak, Michał Bartmański, Adam Zedler and Michał Studniarek
Int. J. Mol. Sci. 2024, 25(21), 11507; https://doi.org/10.3390/ijms252111507 - 26 Oct 2024
Cited by 5 | Viewed by 4407
Abstract
The formation of an oroantral communication (OAC) or fistula (OAF) is a rare complication resulting from the presence of processes in the lateral parts of the maxilla or for iatrogenic reasons. The most common causes of OAC or OAF are tooth extraction with [...] Read more.
The formation of an oroantral communication (OAC) or fistula (OAF) is a rare complication resulting from the presence of processes in the lateral parts of the maxilla or for iatrogenic reasons. The most common causes of OAC or OAF are tooth extraction with periapical lesions. The aims of this systematic review were to assess the use of platelet-derived preparations rich in growth factors in the treatment of OAC or OAF, to determine the success of treating the communication or fistula, as well as impact on postoperative complications and the course of healing. The study was performed following PRISMA guidelines (PROSPERO: CRD42024570758). The inclusion criteria were as follows: at least ten patients, the presence of oroantral communication or oroantral fistula, treatment with platelet-derived preparations rich in growth factors, and information regarding the response to treatment. In order to find relevant studies, international databases, including PubMed, Google Scholar, Web of Science Core Collection, MDPI, Wiley, and Cochrane Library were searched. The last search was performed on 31 August 2024. Seven articles were included in the systematic review. In total, platelet-derived preparations rich in growth factors were used in 164 patients. Only studies in which OAC was treated and with platelet-rich fibrin (PRF) met the inclusion criteria. Only PRF was used as the sole treatment method in three studies. When OAC is greater than 5 mm, platelet-derived preparations rich in growth factors should be considered adjuncts to treatment, not the sole treatment method. The success rate of OAC treatment was 90–100%. The use of blood products to close OAC may be an effective therapeutic alternative. Proper patient qualification and the use of an appropriate protocol are crucial. There is a need for future well-designed case-control or cohort studies as well as randomized controlled trials to provide the required level of evidence. Full article
(This article belongs to the Special Issue Precision Medicine for Oral Diseases and Cancers)
Show Figures

Figure 1

14 pages, 3604 KB  
Systematic Review
The Treatment and Management of Oroantral Communications and Fistulas: A Systematic Review and Network Metanalysis
by Stefano Oliva, Felice Lorusso, Antonio Scarano, Maurizio D’Amario and Giovanna Murmura
Dent. J. 2024, 12(5), 147; https://doi.org/10.3390/dj12050147 - 20 May 2024
Cited by 19 | Viewed by 14009
Abstract
Objectives: The aim of this work was to systematically review and carry out a statistical metanalysis to identify the best treatment for close oroantral communications and fistulas and to avoid the risk of recurrence. Materials and Methods: An electronic search was conducted on [...] Read more.
Objectives: The aim of this work was to systematically review and carry out a statistical metanalysis to identify the best treatment for close oroantral communications and fistulas and to avoid the risk of recurrence. Materials and Methods: An electronic search was conducted on the MEDLINE database (Pubmed), Scopus, and Google scholar using the following keywords: “oro antral communication (OAC)” OR “oro antral fistula (OAF)” OR “antro-oral communication” OR “communication between maxillary sinus and oral cavity” OR “oro-sinusal communication” OR “oro-sinusal fistula” OR “sinus communication” OR “sinus fistula” OR “antral communication” AND “treatment” OR “management” OR “surgical treatment” OR “surgical interventions”. This work was performed in accordance with the guidelines of PRISMA (Preferred Reporting Items for Systematic Reviews and Meta-analyses). After article screening, 9 RCTs (randomized controlled trials), comparing two or more techniques, were included in this review. Results: A statistically significant difference was detected in favor of the buccal fat pad compared to the buccal advancement flap and palatal rotational flap. Conclusions: With the limitations of this study, the buccal fat pad showed the best results in terms of communication closure and reducing the risk of relapse. Full article
(This article belongs to the Section Oral and Maxillofacial Surgery)
Show Figures

Figure 1

15 pages, 318 KB  
Review
Introduction to Amniotic Membranes in Maxillofacial Surgery—A Scoping Review
by Grzegorz Dawiec, Wojciech Niemczyk, Rafał Wiench, Stanisław Niemczyk and Dariusz Skaba
Medicina 2024, 60(4), 663; https://doi.org/10.3390/medicina60040663 - 19 Apr 2024
Cited by 12 | Viewed by 5499
Abstract
Background: Amniotic membrane (AM) holds significant promise in various medical fields due to its unique properties and minimal ethical concerns. This study aims to explore the diverse applications of the human amniotic membrane (HAM) in maxillofacial surgery. Methodology: A comprehensive search was conducted [...] Read more.
Background: Amniotic membrane (AM) holds significant promise in various medical fields due to its unique properties and minimal ethical concerns. This study aims to explore the diverse applications of the human amniotic membrane (HAM) in maxillofacial surgery. Methodology: A comprehensive search was conducted on databases, namely Google Scholar, PubMed, and Scopus, from January 1985 to March 2024. Articles in English, Polish, and Spanish were included, focusing on keywords related to amniotic membrane and oral surgery. Results: Various preservation methods for HAM were identified, namely fresh, decellularized, cryopreserved, lyophilized, and air-dried formats. Clinical studies demonstrated the efficacy of HAM in repairing oral mucosal defects, vestibuloplasty, oronasal fistula closure, cleft palate treatment, bone defect repair, and medication-related osteonecrosis of the jaw (MRONJ). Surgeon evaluations highlighted the ease of handling but noted challenges in suturing and stability during application. Conclusions: Amniotic membranes offer a versatile and effective option in maxillofacial surgery, promoting wound healing, reducing inflammation, and providing a scaffold for tissue regeneration. Further research, including randomized trials and comparative studies, is warranted to validate the efficacy and optimize the utilization of HAM in clinical practice. Full article
(This article belongs to the Special Issue Medicine and Dentistry: New Methods and Clinical Approaches)
13 pages, 13195 KB  
Case Report
Treatment of Odontogenic Maxillary Sinusitis with the Use of Growth Factors in Advanced Platelet-Rich Fibrin for Immediate Closure of Oro-Antral Communication: A Case Report
by Paulina Adamska, Dorota Pylińska-Dąbrowska, Marcin Stasiak, Magdalena Kaczoruk-Wieremczuk, Ewa Kozłowska, Adam Zedler and Michał Studniarek
Int. J. Mol. Sci. 2024, 25(8), 4339; https://doi.org/10.3390/ijms25084339 - 14 Apr 2024
Cited by 5 | Viewed by 4178
Abstract
Chronic odontogenic maxillary sinusitis (COMS), a prolonged inflammation of the maxillary sinus lasting over 12 weeks, is often a result of periapical lesions, marginal periodontitis, and complications like oro-antral communication (OAC) and fistula (OAF). OAC, commonly emerging post-teeth extraction in the lateral maxilla, [...] Read more.
Chronic odontogenic maxillary sinusitis (COMS), a prolonged inflammation of the maxillary sinus lasting over 12 weeks, is often a result of periapical lesions, marginal periodontitis, and complications like oro-antral communication (OAC) and fistula (OAF). OAC, commonly emerging post-teeth extraction in the lateral maxilla, lacks documented treatments using advanced platelet-rich fibrin (A-PRF). This study evaluates A-PRF’s efficacy in treating COMS and immediately sealing extensive OAC. A case of a 28-year-old male with COMS linked to a periapical lesion and supernumerary molars is presented. Treatment involved extracting specific teeth while preserving adjacent ones and using A-PRF for immediate OAC closure. A-PRF, enriched with growth factors, was pivotal in healing, showcasing enhanced tissue regeneration, pain reduction, and faster recovery. The findings suggest A-PRF as an effective adjunct in treating extensive OAC and COMS, proposing its inclusion in standard treatment protocols. This study underscores A-PRF’s potential in improving outcomes for patients with COMS and related complications. Full article
(This article belongs to the Special Issue Precision Medicine for Oral Diseases and Cancers)
Show Figures

Figure 1

15 pages, 4076 KB  
Case Report
A Novel Approach for the Treatment of Recurrent Oroantral Fistula Occurring at an Infected Sinus Augmentation Site
by Won-Bae Park, Min-Soo Bae, Wonhee Park, Hyun-Chang Lim and Ji-Young Han
Medicina 2024, 60(2), 343; https://doi.org/10.3390/medicina60020343 - 19 Feb 2024
Cited by 3 | Viewed by 5200
Abstract
Closing a recurrent oroantral fistula (OAF) that occurs at an infected sinus augmentation site is a challenge for clinicians. The recurrent OAF has a detrimental impact on bone regeneration and subsequent implant placement. This case report includes three cases in which sinus graft [...] Read more.
Closing a recurrent oroantral fistula (OAF) that occurs at an infected sinus augmentation site is a challenge for clinicians. The recurrent OAF has a detrimental impact on bone regeneration and subsequent implant placement. This case report includes three cases in which sinus graft infection and OAF occurred after maxillary sinus augmentation (MSA). In these cases, treatments to control sinus infection were performed using an otolaryngologist; then, intraoral interventions comprising mucosal flap procedures, bone grafts, and barrier membrane applications were performed 2–5 times by oral surgeons. Nevertheless, OAF recurred persistently. The failure to stop OAF recurrence may be due to the inability to effectively block air pressure at the OAF site. Following a comprehensive debridement of the infected tissue at the previous sinus augmentation site, a pouch was created through sinus mucosal elevation. The perforated sinus mucosa at the OAF site was covered with a non-resorbable membrane in one case and with resorbable collagen membranes in the other two cases, followed by bone grafting within the pouch. Lastly, this procedure was completed by blocking the entrance of the pouch with a cortical bone shell graft and a resorbable collagen membrane. The cortical bone shell graft, obstructing the air pressure from the nasal cavity, facilitated bone formation, and, ultimately, allowed for implant placement. Within the limitations of the present case report, the application of a guided bone regeneration technique involving a cortical bone shell graft and a barrier membrane enabled the closure of the recurrent OAF and subsequent implant placement. Full article
(This article belongs to the Special Issue Recent Advances in Periodontics and Dental Implantology: Part II)
Show Figures

Figure 1

17 pages, 5846 KB  
Review
Anatomical and Surgical Implications of the Usage of Bichat Fat Pad in Oroantral Communication, Maxillary, Palatal, and Related Surgeries—Narrative Review
by Kamil Nelke, Alicja Morawska, Bartłomiej Błaszczyk, Maciej Janeczek, Edyta Pasicka, Marceli Łukaszewski, Krzysztof Żak and Maciej Dobrzyński
J. Clin. Med. 2023, 12(15), 4909; https://doi.org/10.3390/jcm12154909 - 26 Jul 2023
Cited by 9 | Viewed by 5112
Abstract
The buccal fat pad, also called the Bichat’s fat pad (BFP), is an encapsulated fat mass located in the cheek. This type of specialized fat mass can be used both as a pedicular or free graft in various surgeries and approaches. Due to [...] Read more.
The buccal fat pad, also called the Bichat’s fat pad (BFP), is an encapsulated fat mass located in the cheek. This type of specialized fat mass can be used both as a pedicular or free graft in various surgeries and approaches. Due to its easy access from the oral cavity approach, it is commonly used for oroantral and palatal fistula closure. The knowledge of its anatomy and surrounding tissues plays a role in its mobilization and suturing onto the desired defect in the palatal or maxillary region. The BFP is mostly associated with the primary approach used for a fistula or bone surgery. Alternatively, the procedure can be performed with a single approach incision, which does not compromise the appearance or the function of the operating or adjacent areas. The most important inclusion criteria for BFP usage and surgical limitations are highlighted. The BFP is used for multiple purposes in reconstructive and oncology surgery and also has its use in esthetic and facial contouring procedures. The amount, volume, and shape of the BFP are mostly associated with the scope of their usage. The aim of the following narrative review is to present the surgical and anatomical implications of fat pads in maxillary and palatal surgeries. Full article
(This article belongs to the Section Dentistry, Oral Surgery and Oral Medicine)
Show Figures

Figure 1

9 pages, 1703 KB  
Article
Odontogenic Sinusitis with Oroantral Communication and Fistula Management: Role of Regenerative Surgery
by Lorenzo Sabatino, Michele Antonio Lopez, Simone Di Giovanni, Michelangelo Pierri, Francesco Iafrati, Luigi De Benedetto, Antonio Moffa and Manuele Casale
Medicina 2023, 59(5), 937; https://doi.org/10.3390/medicina59050937 - 12 May 2023
Cited by 12 | Viewed by 6202
Abstract
Objective: The aim of this study is to show our experience with the correct management of patients suffering from odontogenic sinusitis with oroantral communication and fistula. Methods: According to the inclusion criteria, 41 patients were enrolled in this retrospective study with [...] Read more.
Objective: The aim of this study is to show our experience with the correct management of patients suffering from odontogenic sinusitis with oroantral communication and fistula. Methods: According to the inclusion criteria, 41 patients were enrolled in this retrospective study with a diagnosis of odontogenic sinusitis with oroantral communication and fistula; 1 patient with pre-implantological complication, 14 with implantological complications, and 26 with classical complications. Results: Two patients were treated with a fractioned combined approach, 13 patients were treated with an oral approach only, and 26 patients were treated with a combination. There was a complete resolution of the symptoms and closure of the fistula in all the patients enrolled. Conclusions: In our study, in all 41 patients, there was a surgical success. The best option is to use a multidisciplinary approach for patients suffering from odontogenic sinusitis. Full article
(This article belongs to the Special Issue Guided Bone Regeneration in Oral Surgery)
Show Figures

Figure 1

12 pages, 682 KB  
Article
The Evaluation of Clinical Signs and Symptoms of Malignant Tumors Involving the Maxillary Sinus: Recommendation of an Examination Sieve and Risk Alarm Score
by Atif Bashir, Zafar Ali Khan, Afsheen Maqsood, Namdeo Prabhu, Muhammad Mudassar Saleem, Bader K. Alzarea, Rakhi Issrani, Shammas Raza Khan, Naseer Ahmed, Maria Shakoor Abbasi, Anand Marya, Mohammed Ghazi Sghaireen and Artak Heboyan
Healthcare 2023, 11(2), 194; https://doi.org/10.3390/healthcare11020194 - 9 Jan 2023
Cited by 6 | Viewed by 4058
Abstract
This observational study was conducted to evaluate the clinical signs and symptoms of maxillary sinus tumors and to propose a clinical examination sieve and a unique risk alarm score to be used for timely patient referral and vigilance. The study consisted of 70 [...] Read more.
This observational study was conducted to evaluate the clinical signs and symptoms of maxillary sinus tumors and to propose a clinical examination sieve and a unique risk alarm score to be used for timely patient referral and vigilance. The study consisted of 70 patients between 20 to 82 years of age from both sexes. The clinical information gained was collected from the upper dentoalveolar segment, orbit, and nasal sites. Regarding the early clinical sign and symptoms of patients, nasal obstruction was found in 67 patients (95.7%), facial swelling in 69 patients (98.6%), paresthesia in 41 patients (58.6%), and epistaxis in 50 patients (71.4%). Furthermore, in terms of the late signs and symptoms, a palpable mass in buccal sulcus was observed in 65 (92.9%) of the patients, lymphadenopathy in 24 (34.3%), paresthesia in 38 (54.3%), and diplopia in 22 (31.4%). Furthermore, general sign and symptoms like exophthalmos was present in 35 patients (50%), anosmia was observed in 37 patients (52.9%), and oroantral fistula was noted in 37 patients (55.9%). Additionally, 67 (95.7%) of the patients complained of nasal obstruction. Similarly, facial asymmetry was observed in 69 (98.6%) of the patients and double vision was observed in 24 (34.4%). Tumors of the maxillary sinus have a very insidious course of spread and uncertain clinical signs and symptoms. What makes diagnosis worse is the fact that the symptoms of these tumors are so well hidden in the sponge-like nature of the midfacial region that they are easily misinterpreted by patients. Therefore, diagnoses must be made early, dentists must be vigilant, and patients must be fully investigated at the slightest suspicion of a tumor, albeit benign. Full article
(This article belongs to the Topic State-of-the-Art Dentistry and Oral Health)
Show Figures

Figure 1

12 pages, 2141 KB  
Article
Real-Life Experience in the Management of Sinonasal Complications of Dental Disease or Treatments
by Eugenio De Corso, Mario Rigante, Dario Antonio Mele, Stefano Settimi, Daniele Penazzi, Carlo Lajolo, Massimo Cordaro, Marco Panfili, Claudio Montuori, Jacopo Galli and Gaetano Paludetti
J. Pers. Med. 2022, 12(12), 2078; https://doi.org/10.3390/jpm12122078 - 16 Dec 2022
Cited by 5 | Viewed by 4164
Abstract
Diagnosis and management of sinonasal complications of dental diseases or treatment (SCDDT) may be challenging. We aimed to report our real-life experience in patients treated with endoscopic endonasal approach describing data about symptoms, etiology, extension of the disease and success rate. We evaluated [...] Read more.
Diagnosis and management of sinonasal complications of dental diseases or treatment (SCDDT) may be challenging. We aimed to report our real-life experience in patients treated with endoscopic endonasal approach describing data about symptoms, etiology, extension of the disease and success rate. We evaluated retrospectively data about 262 patients diagnosed as SCDDT and managed from August 2015 to May 2022. In 44.65% cases, maxillary sinus complications were determined by a dental disorder; the remaining 55.34% of cases were iatrogenic. Patients were managed according to our multidisciplinary protocol including ENT, dental, and radiological evaluation. Treatments were planned with a personalized approach, based on the patient’s clinical characteristics; all patients were treated with an endonasal endoscopic mini-invasive conservative approach. Combined dental treatment was performed simultaneously in 152/262 (58%) of patients; in the remaining cases, it was postponed after surgery. The overall treatment success rate (symptom resolution and endoscopically observed maxillary sinus healing) was 96.5%. At 15 days after surgery, we observed a significant improvement in the quality of life. The mean post-operative Sinonasal outcome test-22 (SNOT-22) score was significantly lower compared to baseline (6 versus 43.4; p < 0.05). Our study showed that endoscopic sinus surgery can be a successful procedure for treatment of SCDDT, leading to fast resolution of sinonasal symptoms and improving the quality of life. Furthermore, the technique allows removal of migrated dental material or dental implants even in challenging cases. Full article
(This article belongs to the Section Personalized Therapy in Clinical Medicine)
Show Figures

Figure 1

Back to TopTop