Sign in to use this feature.

Years

Between: -

Subjects

remove_circle_outline
remove_circle_outline
remove_circle_outline
remove_circle_outline
remove_circle_outline

Journals

Article Types

Countries / Regions

Search Results (8)

Search Parameters:
Keywords = optical clot detection

Order results
Result details
Results per page
Select all
Export citation of selected articles as:
13 pages, 1808 KB  
Article
Prediction of Thrombus Formation within an Oxygenator via Bioimpedance Analysis
by Jan Korte, Tobias Lauwigi, Lisa Herzog, Alexander Theißen, Kai Suchorski, Lasse J. Strudthoff, Jannis Focke, Sebastian V. Jansen, Thomas Gries, Rolf Rossaint, Christian Bleilevens and Patrick Winnersbach
Biosensors 2024, 14(10), 511; https://doi.org/10.3390/bios14100511 - 18 Oct 2024
Cited by 1 | Viewed by 2263
Abstract
Blood clot formation inside the membrane oxygenator (MO) remains a risk in extracorporeal membrane oxygenation (ECMO). It is associated with thromboembolic complications and normally detectable only at an advanced stage. Established clinical monitoring techniques lack predictive capabilities, emphasizing the need for refinement in [...] Read more.
Blood clot formation inside the membrane oxygenator (MO) remains a risk in extracorporeal membrane oxygenation (ECMO). It is associated with thromboembolic complications and normally detectable only at an advanced stage. Established clinical monitoring techniques lack predictive capabilities, emphasizing the need for refinement in MO monitoring towards an early warning system. In this study, an MO was modified by integrating four sensor fibers in the middle of the hollow fiber mat bundle, allowing for bioimpedance measurement within the MO. The modified MO was perfused with human blood in an in vitro test circuit until fulminant clot formation. The optical analysis of clot residues on the extracted hollow fibers showed a clot deposition area of 51.88% ± 14.25%. This was detectable via an increased bioimpedance signal with a significant increase 5 min in advance to fulminant clot formation inside the MO, which was monitored by the clinical gold standard (pressure difference across the MO (dp-MO)). This study demonstrates the feasibility of detecting clot growth early and effectively by measuring bioimpedance within an MO using integrated sensor fibers. Thus, bioimpedance may even outperform the clinical gold standard of dp-MO as a monitoring method by providing earlier clot detection. Full article
Show Figures

Figure 1

12 pages, 2430 KB  
Article
Fabry–Perot Interferometric Fiber-Optic Sensor for Rapid and Accurate Thrombus Detection
by Marjan Ghasemi, Jeongmin Oh, Sunghoon Jeong, Mingyu Lee, Saeed Bohlooli Darian, Kyunghwan Oh and Jun Ki Kim
Biosensors 2023, 13(8), 817; https://doi.org/10.3390/bios13080817 - 15 Aug 2023
Cited by 11 | Viewed by 3572
Abstract
We present a fiber-optic sensor based on the principles of a Fabry–Perot interferometer (FPI), which promptly, sensitively, and precisely detects blood clot formation. This sensor has two types of sensor tips; the first was crafted by splicing a tapered fiber into a single-mode [...] Read more.
We present a fiber-optic sensor based on the principles of a Fabry–Perot interferometer (FPI), which promptly, sensitively, and precisely detects blood clot formation. This sensor has two types of sensor tips; the first was crafted by splicing a tapered fiber into a single-mode fiber (SMF), where fine-tuning was achieved by adjusting the tapered diameter and length. The second type is an ultra-compact blood FPI situated on the core of a single-mode fiber. The sensor performance was evaluated via clot-formation-indicating spectrum shifts induced by the varied quantities of a thrombin reagent introduced into the blood. The most remarkable spectral sensitivity of the micro-tip fiber type was approximately 7 nm/μL, with a power sensitivity of 4.1 dB/μL, obtained with a taper fiber diameter and length of 55 and 300 μm, respectively. For the SMF type, spectral sensitivity was observed to be 8.7 nm/μL, with an optical power sensitivity of 0.4 dB/μL. This pioneering fiber-optic thrombosis sensor has the potential for in situ applications, healthcare, medical monitoring, harsh environments, and chemical and biological sensing. The study underscores the scope of optical technology in thrombus detection, establishing a platform for future medical research and application. Full article
(This article belongs to the Special Issue Optical Fiber Biosensor)
Show Figures

Figure 1

12 pages, 1520 KB  
Article
Evaluation of the Analytical Performances of the Biolabo SOLEA 100 Optical Coagulometer and Comparison with the Stago STA-R MAX Analyser in the Determination of PT, APTT, and Fibrinogen
by Pierangelo Bellio, Simonetta De Angelis, Alessandra Piccirilli, Giulio Di Michele, Remo Barnabei, Gianfranco Amicosante, Mariagrazia Perilli and Giuseppe Celenza
Diagnostics 2023, 13(1), 85; https://doi.org/10.3390/diagnostics13010085 - 28 Dec 2022
Cited by 3 | Viewed by 3237
Abstract
Introduction. The Biolabo Solea 100 is a fully automated coagulation analyser using an optical system to detect coagulation designed to meet the needs of small- and medium-sized laboratories. This study aimed to evaluate the analytical performance in terms of bias, precision, and interference [...] Read more.
Introduction. The Biolabo Solea 100 is a fully automated coagulation analyser using an optical system to detect coagulation designed to meet the needs of small- and medium-sized laboratories. This study aimed to evaluate the analytical performance in terms of bias, precision, and interference of the Biolabo Solea 100 coagulometer under routine laboratory conditions. In addition, a comparison was made with Stago STA-R MAX. Materials and Methods. Imprecision and bias were evaluated for activated partial thromboplastin time (APTT), fibrinogen (FIB), and prothrombin time (PT) at the medical decision levels. The results of 200, 181, and 206 plasma samples for APTT, FIB, and PT, respectively, were compared with those obtained by Stago STA-R MAX. In addition, the interference level of bilirubin, haemoglobin, triglycerides, and fractionated heparin was evaluated. Results. Repeatability, intermediate imprecision, bias, and total error are overall below the defined limits of acceptability. Of interest is the high degree of agreement between Solea 100 and STA-R MAX with respect to PT (s), which fits perfectly with the theoretical line of identity (y = 0 + 1.00x). No interferences were found within the limits stated by the manufacturer, with some exceptions for APTT with heparin and APTT and PT for higher bilirubin concentrations. Conclusions. In conclusion, the performance of the Solea 100 optical analyser is satisfactory and adequate for the determination of routine coagulation tests. Moreover, they are perfectly comparable to mechanical systems, such as STA-R MAX and other upper-level analysers, even considering the low interference levels under routine conditions. Full article
(This article belongs to the Special Issue Diagnosis for Hematologic Disorders)
Show Figures

Figure 1

14 pages, 2398 KB  
Article
Evaluation of Blood Coagulation by Optical Vortex Tracking
by Jiaxing Gong, Yaowen Zhang, Hui Zhang, Qi Li, Guangbin Ren, Wenjian Lu and Jing Wang
Sensors 2022, 22(13), 4793; https://doi.org/10.3390/s22134793 - 24 Jun 2022
Cited by 8 | Viewed by 3714
Abstract
Blood coagulation is a complicated dynamic process that maintains the blood’s fluid state and prevents uncontrollable bleeding. The real-time monitoring of coagulation dynamics is critical for blood transfusion guidance, emergency management of trauma-induced coagulopathy, perioperative bleeding, and targeted hemostatic therapy. Here, we utilize [...] Read more.
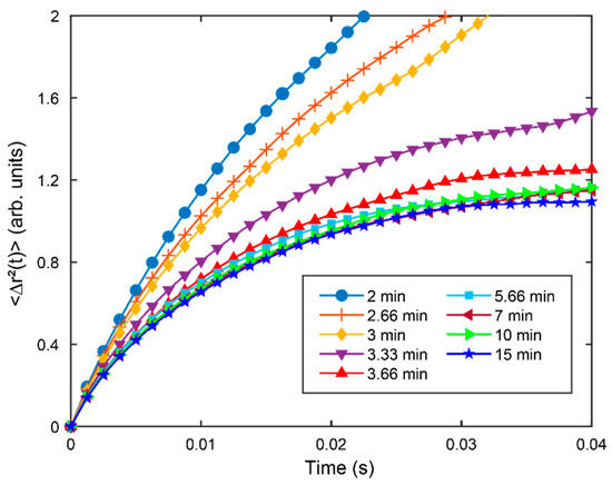
Blood coagulation is a complicated dynamic process that maintains the blood’s fluid state and prevents uncontrollable bleeding. The real-time monitoring of coagulation dynamics is critical for blood transfusion guidance, emergency management of trauma-induced coagulopathy, perioperative bleeding, and targeted hemostatic therapy. Here, we utilize optical vortex dynamics to detect the blood coagulation dynamic process in a rapid and non-contact manner. To characterize the temporal changes in viscoelastic properties of blood during coagulation, we track the stochastic motion of optical vortices in the time-varying speckles reflected from 100 blood samples with varied coagulation profiles. The mean square displacement (MSD) of the vortices increases nonlinearly with time lag during blood coagulation reminiscent of the particles in viscoelastic fluids. The MSD curves with coagulation time are similar to the tracings of thromboelastography (TEG) during the blood coagulation. The retrieved coagulation parameters, such as reaction time and activated clotting time measured using the optical vortex method, exhibit a close correlation to those parameters acquired from TEG. These results demonstrate the feasibility of the optical vortex method for monitoring blood coagulation at the point of care. Our method is also applicable to measuring the viscoelasticity of complex fluids and turbid soft matters. Full article
(This article belongs to the Section Biomedical Sensors)
Show Figures

Figure 1

15 pages, 4874 KB  
Article
Perovskite Nanoparticles as an Electrochemical Sensing Platform for Detection of Warfarin
by Anees Ahmad Ansari and Manawwer Alam
Biosensors 2022, 12(2), 92; https://doi.org/10.3390/bios12020092 - 3 Feb 2022
Cited by 6 | Viewed by 3561
Abstract
Chemically prepared PrAlO3 perovskite nanoparticles (NPs) were applied for the electrochemical detection of warfarin, which is commonly utilized for preventing blood clots, such as in deep vein thrombosis. PrAlO3 perovskite NPs were synthesized by the co-precipitation process at environmental conditions. Crystallographic [...] Read more.
Chemically prepared PrAlO3 perovskite nanoparticles (NPs) were applied for the electrochemical detection of warfarin, which is commonly utilized for preventing blood clots, such as in deep vein thrombosis. PrAlO3 perovskite NPs were synthesized by the co-precipitation process at environmental conditions. Crystallographic structure, phase purity, morphological structure, thermal stability, optical properties, and electrochemical characteristics were investigated by X-ray diffraction (XRD), transmission electron microscopy (TEM), thermogravimetric analysis (TGA), Fourier transform infrared (FTIR) spectroscopy, UV-visible analysis, and cyclic voltammetry techniques. TEM micrographs showed the highly crystalline structure, smooth surface, irregular shape, and size of nanocrystalline particles with an average size of 20–30 nm. Particularly crystalline perovskite NPs were pasted on glassy carbon electrodes (GCE) to electrochemically detect the warfarin contents in liquid samples. The fabricated electrode was electrochemically characterized by different parameters such as different potential, scan rates, same potential with seven consecutive cycles, time response, real-time sample analysis, and as a function of warfarin concentration in phosphate buffer solution (0.1 M PBS, pH 7.2). The electrochemical electrode was further verified with various potentials of 5, 10, 20, 50, 100, and 150 mV/s, which exhibited sequential enhancements in the potential range. For detecting warfarin over a wide concentration range (19.5 µM–5000 µM), the detection devices offered good sensitivity and a low limit of detection (19.5 µM). The time-dependent influence was examined using chronoamperometry (perovskite NPs/GCE) in the absence and presence of warfarin at four distinct voltages of +0.05 to +1.2 V from 0 to 1000 s. The repeatability and reliability of the constructed electrochemical sensing electrode were also evaluated in terms of cyclic response for 30 days, demonstrating that it is substantially more reliable for a longer period. The fabricated perovskite NPs/GCE electrodes could be employed for the rapid identification of other drugs. Full article
Show Figures

Figure 1

10 pages, 838 KB  
Article
The Effect of Wheatgrass Lyophilizate on Blood Clotting Time in Rats
by István Takács, Melinda Urkon, Tivadar Kiss, Edina Horváth, Eszter Laczkó-Zöld, Zoltán Péter Zomborszki, Anita Lukács, Gábor Oszlánczi, Dezső Csupor and Andrea Szabó
Sci. Pharm. 2021, 89(3), 39; https://doi.org/10.3390/scipharm89030039 - 20 Aug 2021
Cited by 1 | Viewed by 8672
Abstract
Wheatgrass is widely used in the alternative medicine, however, there is a lack of clinical evidence to support its efficacy. Although based on its chemical composition, data from animal experiments and clinical trials, the use of juice and extracts of Triticum shoots seems [...] Read more.
Wheatgrass is widely used in the alternative medicine, however, there is a lack of clinical evidence to support its efficacy. Although based on its chemical composition, data from animal experiments and clinical trials, the use of juice and extracts of Triticum shoots seems to be safe, clinical reports point out its potential interaction with oral anticoagulants. The aim of our study was to assess the interaction of wheatgrass with warfarin in rats and to assess its flavonoid content. Three groups of animals were treated orally with wheatgrass, warfarin, or the combination of wheatgrass and warfarin for five days. Clotting assays were performed using platelet-poor plasma. Prothrombin time was determined by optical and mechanical coagulometers. Flavonoid content of wheatgrass was measured by HPLC. The effect of wheatgrass on prothrombin time was not confirmed. Co-administration of wheatgrass and warfarin did not result in diminished anticoagulant activity. Low amount of flavonoids was detected in wheatgrass juice, the total flavonoid content was 0.467 mg/100 g lyophilized juice powder. The previously reported rutin, quercetin and apigenin was not detected by us. Our results do not confirm the probability of interaction of wheatgrass with oral anticoagulants. However, the low flavonoid content of wheatgrass does not support its use as an antioxidant. Full article
Show Figures

Figure 1

33 pages, 6246 KB  
Review
Evolving Paradigm of Prothrombin Time Diagnostics with Its Growing Clinical Relevance towards Cardio-Compromised and COVID-19 Affected Population
by Anubhuti Saha, Ashutosh Bajpai, Vinay Krishna and Shantanu Bhattacharya
Sensors 2021, 21(8), 2636; https://doi.org/10.3390/s21082636 - 9 Apr 2021
Cited by 8 | Viewed by 12244
Abstract
Prothrombin time (PT) is a significant coagulation (hemostasis) biomarker used to diagnose several thromboembolic and hemorrhagic complications based on its direct correlation with the physiological blood clotting time. Among the entire set of PT dependents, candidates with cardiovascular ailments are the major set [...] Read more.
Prothrombin time (PT) is a significant coagulation (hemostasis) biomarker used to diagnose several thromboembolic and hemorrhagic complications based on its direct correlation with the physiological blood clotting time. Among the entire set of PT dependents, candidates with cardiovascular ailments are the major set of the population requiring lifelong anticoagulation therapy and supervised PT administration. Additionally, the increasing incidence of COVID affected by complications in coagulation dynamics has been strikingly evident. Prolonged PT along with sepsis-induced coagulopathy (SIC score > 3) has been found to be very common in critical COVID or CAC-affected cases. Considering the growing significance of an efficient point-of-care PT assaying platform to counter the increasing fatalities associated with cardio-compromised and coagulation aberrations propping up from CAC cases, the following review discusses the evolution of lab-based PT to point of care (PoC) PT assays. Recent advances in the field of PoC PT devices utilizing optics, acoustics, and mechanical and electrochemical methods in microsensors to detect blood coagulation are further elaborated. Thus, the following review holistically aims to motivate the future PT assay designers/researchers by detailing the relevance of PT and associated protocols for cardio compromised and COVID affected along with the intricacies of previously engineered PoC PT diagnostics. Full article
(This article belongs to the Section Biomedical Sensors)
Show Figures

Figure 1

11 pages, 3343 KB  
Article
Influence of the Electrolyte Concentration on the Smooth TiO2 Anodic Coatings on Ti-6Al-4V
by María Laura Vera, Ángeles Colaccio, Mario Roberto Rosenberger, Carlos Enrique Schvezov and Alicia Esther Ares
Coatings 2017, 7(3), 39; https://doi.org/10.3390/coatings7030039 - 3 Mar 2017
Cited by 12 | Viewed by 6469
Abstract
To obtain smooth TiO2 coatings for building a new design of Ti-6Al-4V heart valve, the anodic oxidation technique in pre-spark conditions was evaluated. TiO2 coating is necessary for its recognized biocompatibility and corrosion resistance. A required feature on surfaces in contact [...] Read more.
To obtain smooth TiO2 coatings for building a new design of Ti-6Al-4V heart valve, the anodic oxidation technique in pre-spark conditions was evaluated. TiO2 coating is necessary for its recognized biocompatibility and corrosion resistance. A required feature on surfaces in contact with blood is a low level of roughness (Ra ≤ 50 nm) that does not favor the formation of blood clots. The present paper compares the coatings obtained by anodic oxidation of the Ti-6Al-4V alloy using H2SO4 at different concentrations (0.1–4 M) as electrolyte and applying different voltages (from 20 to 70 V). Color and morphological analysis of coatings are performed using optical and scanning microscopy. The crystalline phases were analyzed by glancing X-ray diffraction. By varying the applied voltage, different interference colors coatings were obtained. The differences in morphologies of the coatings caused by changes in acid concentration are more evident at high voltages, limiting the oxidation conditions for the desired application. Anatase phase was detected from 70 V for 1 M H2SO4. An increase in the concentration of H2SO4 decreases the voltage at which the transformation of amorphous to crystalline coatings occurs; i.e., with 4 M H2SO4, the anatase phase appears at 60 V. Full article
Show Figures

Figure 1

Back to TopTop