Sign in to use this feature.

Years

Between: -

Subjects

remove_circle_outline
remove_circle_outline
remove_circle_outline

Journals

Article Types

Countries / Regions

Search Results (4)

Search Parameters:
Keywords = online generalized multiscale finite element method

Order results
Result details
Results per page
Select all
Export citation of selected articles as:
23 pages, 1158 KB  
Article
A Hybrid Model Reduction Method for Dual-Continuum Model with Random Inputs
by Lingling Ma
Computation 2026, 14(3), 69; https://doi.org/10.3390/computation14030069 - 13 Mar 2026
Viewed by 242
Abstract
In this paper, a hybrid model reduction method for solving flows in fractured media is proposed. The approach integrates the Generalized Multiscale Finite Element Method (GMsFEM) with a novel variable-separation (VS) technique. Compared with many widely used variable-separation methods, the proposed model reduction [...] Read more.
In this paper, a hybrid model reduction method for solving flows in fractured media is proposed. The approach integrates the Generalized Multiscale Finite Element Method (GMsFEM) with a novel variable-separation (VS) technique. Compared with many widely used variable-separation methods, the proposed model reduction method shares their merits but has lower computation complexity and higher efficiency. Within this framework, we can get the low-rank variable-separation expansion of dual-continuum model solutions in a systematic enrichment manner. No iteration is performed at each enrichment step. The expansion is constructed using two sets of basis functions: stochastic basis functions and deterministic physical basis functions, both derived from offline, model-oriented computations. To efficiently construct the stochastic basis functions, the original model is used to learn stochastic information. Meanwhile, the deterministic physical basis functions are trained using solutions obtained by applying an uncoupled GMsFEM to the dual-continuum system at a select number of optimal samples. Once these bases are established, the online evaluation for each new random sample becomes highly efficient, allowing for the computation of a large number of stochastic realizations at minimal cost. To demonstrate the performance of the proposed method, two numerical examples for dual-continuum models with random inputs are presented. The results confirm that the hybrid model reduction method is both efficient and achieves high approximation accuracy. Full article
(This article belongs to the Special Issue Advances in Computational Methods for Fluid Flow)
Show Figures

Figure 1

23 pages, 8445 KB  
Article
Online Multiscale Finite Element Simulation of Thermo-Mechanical Model with Phase Change
by Dmitry Ammosov and Maria Vasilyeva
Computation 2023, 11(4), 71; https://doi.org/10.3390/computation11040071 - 29 Mar 2023
Cited by 4 | Viewed by 2900
Abstract
This paper presents a thermo-mechanical model with phase transition considering changes in the mechanical properties of the medium. The proposed thermo-mechanical model is described by a system of partial differential equations for temperature and displacements. In the model, soil deformations occur due to [...] Read more.
This paper presents a thermo-mechanical model with phase transition considering changes in the mechanical properties of the medium. The proposed thermo-mechanical model is described by a system of partial differential equations for temperature and displacements. In the model, soil deformations occur due to porosity growth caused by ice and water density differences. A finite-element approximation of this model on a fine grid is presented. The linearization from the previous time step is used to handle the nonlinearity of the problem. For reducing the size of the discrete problem, offline and online multiscale approaches based on the Generalized Multiscale Finite Element Method (GMsFEM) are proposed. A two-dimensional model problem simulating the heaving process of heterogeneous soil with a stiff inclusion was considered for testing the mathematical model and the multiscale approaches. Numerical solutions depict the process of soil heaving caused by changes in porosity due to the phase transition. The movement of the phase transition interface was observed. The change of medium properties, including the elastic modulus, was traced and corresponds to the phase transition interface. The proposed multiscale approaches significantly reduce the size of the discrete problem while maintaining reasonable accuracy. However, the online multiscale approach achieves better accuracy than the offline approach with fewer degrees of freedom. Full article
(This article belongs to the Special Issue Application of Finite Element Methods)
Show Figures

Figure 1

21 pages, 3210 KB  
Article
Online Coupled Generalized Multiscale Finite Element Method for the Poroelasticity Problem in Fractured and Heterogeneous Media
by Aleksei Tyrylgin, Maria Vasilyeva, Dmitry Ammosov, Eric T. Chung and Yalchin Efendiev
Fluids 2021, 6(8), 298; https://doi.org/10.3390/fluids6080298 - 23 Aug 2021
Cited by 6 | Viewed by 3134
Abstract
In this paper, we consider the poroelasticity problem in fractured and heterogeneous media. The mathematical model contains a coupled system of equations for fluid pressures and displacements in heterogeneous media. Due to scale disparity, many approaches have been developed for solving detailed fine-grid [...] Read more.
In this paper, we consider the poroelasticity problem in fractured and heterogeneous media. The mathematical model contains a coupled system of equations for fluid pressures and displacements in heterogeneous media. Due to scale disparity, many approaches have been developed for solving detailed fine-grid problems on a coarse grid. However, some approaches can lack good accuracy on a coarse grid and some corrections for coarse-grid solutions are needed. In this paper, we present a coarse-grid approximation based on the generalized multiscale finite element method (GMsFEM). We present the construction of the offline and online multiscale basis functions. The offline multiscale basis functions are precomputed for the given heterogeneity and fracture network geometry, where for the construction, we solve a local spectral problem and use the dominant eigenvectors (appropriately defined) to construct multiscale basis functions. To construct the online basis functions, we use current information about the local residual and solve coupled poroelasticity problems in local domains. The online basis functions are used to enrich the offline multiscale space and rapidly reduce the error using residual information. Only with appropriate offline coarse-grid spaces can one guarantee a fast convergence of online methods. We present numerical results for poroelasticity problems in fractured and heterogeneous media. We investigate the influence of the number of offline and online basis functions on the relative errors between the multiscale solution and the reference (fine-scale) solution. Full article
(This article belongs to the Special Issue Reduced Order Models for Computational Fluid Dynamics)
Show Figures

Figure 1

14 pages, 6177 KB  
Article
An Online Generalized Multiscale Finite Element Method for Unsaturated Filtration Problem in Fractured Media
by Denis Spiridonov, Maria Vasilyeva, Aleksei Tyrylgin and Eric T. Chung
Mathematics 2021, 9(12), 1382; https://doi.org/10.3390/math9121382 - 15 Jun 2021
Cited by 15 | Viewed by 2384
Abstract
In this paper, we present a multiscale model reduction technique for unsaturated filtration problem in fractured porous media using an Online Generalized Multiscale finite element method. The flow problem in unsaturated soils is described by the Richards equation. To approximate fractures we use [...] Read more.
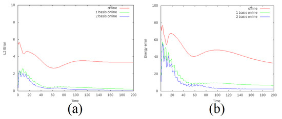
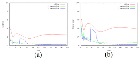
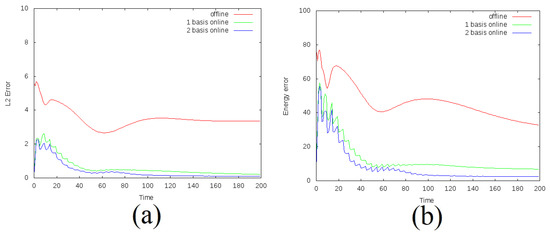
In this paper, we present a multiscale model reduction technique for unsaturated filtration problem in fractured porous media using an Online Generalized Multiscale finite element method. The flow problem in unsaturated soils is described by the Richards equation. To approximate fractures we use the Discrete Fracture Model (DFM). Complex geometric features of the computational domain requires the construction of a fine grid that explicitly resolves the heterogeneities such as fractures. This approach leads to systems with a large number of unknowns, which require large computational costs. In order to develop a more efficient numerical scheme, we propose a model reduction procedure based on the Generalized Multiscale Finite element method (GMsFEM). The GMsFEM allows solving such problems on a very coarse grid using basis functions that can capture heterogeneities. In the GMsFEM, there are offline and online stages. In the offline stage, we construct snapshot spaces and solve local spectral problems to obtain multiscale basis functions. These spectral problems are defined in the snapshot space in each local domain. To improve the accuracy of the method, we add online basis functions in the online stage. The construction of the online basis functions is based on the local residuals. The use of online bases will allow us to get a significant improvement in the accuracy of the method. We present results with different number of offline and online multisacle basis functions. We compare all results with reference solution. Our results show that the proposed method is able to achieve high accuracy with a small computational cost. Full article
(This article belongs to the Section E1: Mathematics and Computer Science)
Show Figures

Figure 1

Back to TopTop