Geographical Variation in SARS-CoV-2 Transmission Potential in Massachusetts
Abstract
1. Introduction
2. Materials and Methods
2.1. Data Acquisition
2.2. Statistical Analysis
2.2.1. Unit of Analysis
2.2.2. Data Cleaning, Deconvolution and Multiplier
2.2.3. Rt Estimation
2.2.4. Statistical Language
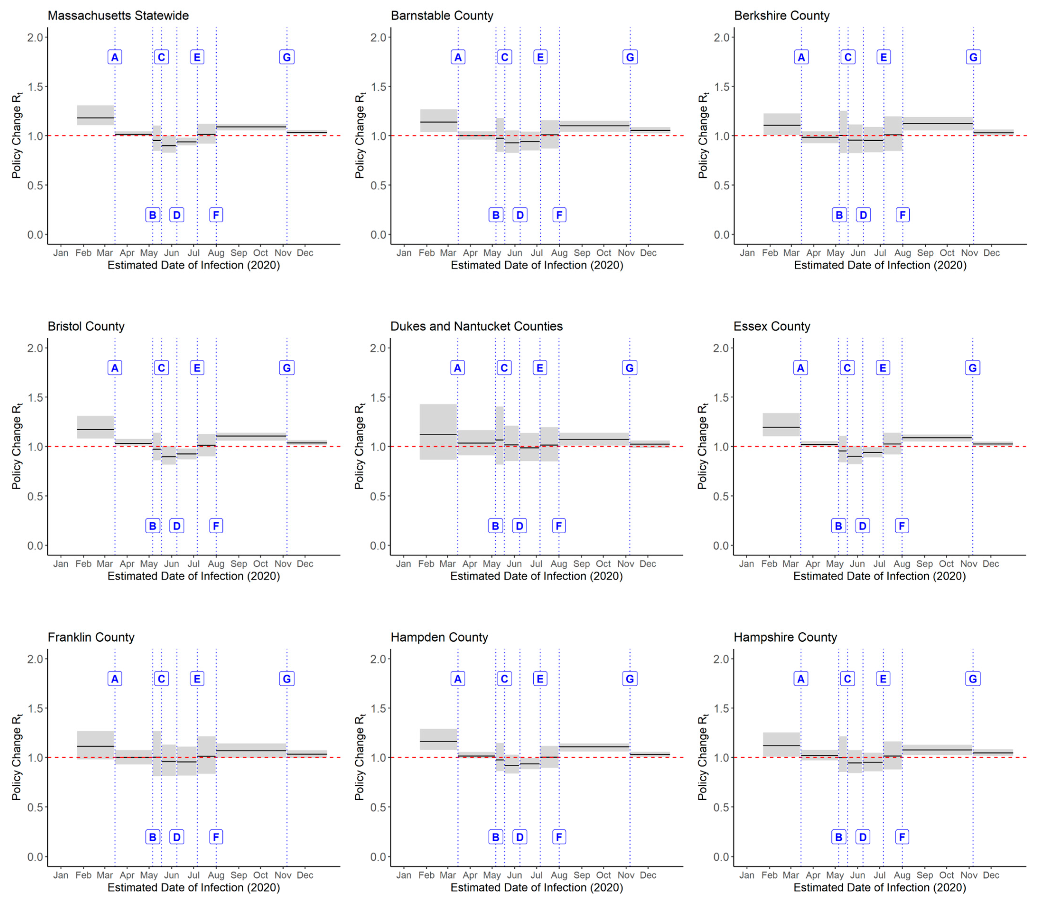
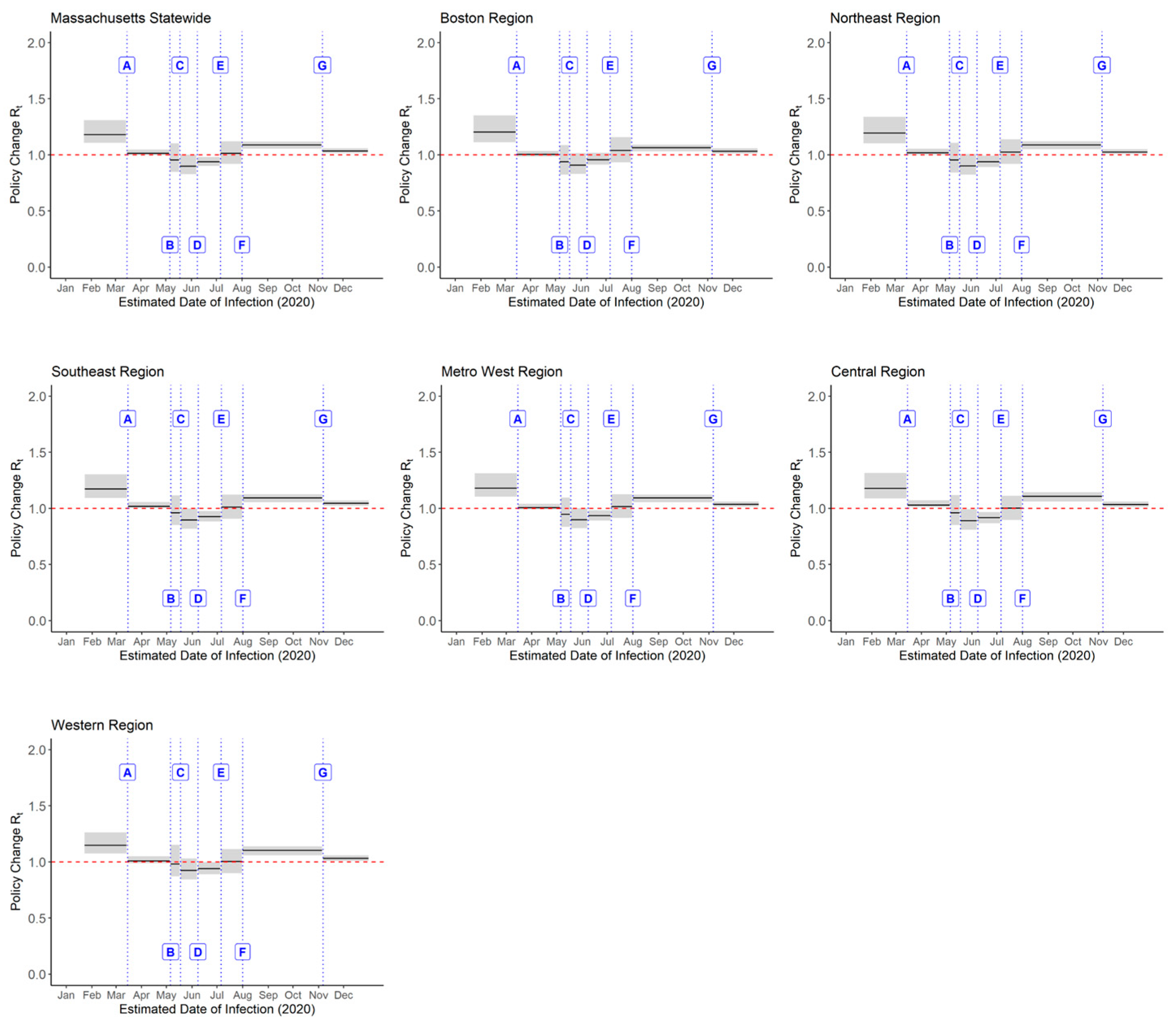
3. Results
3.1. 7-Day Sliding Window Rt
3.2. Policy Change Rt
4. Discussion
Limitations
5. Conclusions
Supplementary Materials
Author Contributions
Funding
Institutional Review Board Statement
Informed Consent Statement
Data Availability Statement
Conflicts of Interest
Abbreviations
| CORI | Criminal Offender Record Information |
| COVID-19 | Coronavirus disease 2019 |
| CrI | Credible intervals |
| CSSE | Center for Systems Science and Engineering |
| DPH | Department of Public Health |
| NPI | Nonpharmaceutical interventions |
| RMV | Registry of Motor Vehicles |
| Rt | Time-varying reproduction number |
| SARS-CoV-2 | Severe acute respiratory syndrome coronavirus 2 |
Appendix A
| Issued Date | Type of Order | Order | Rescinded |
|---|---|---|---|
| 11 March 2020 | Health Care Workforce | Board of Registration in Nursing Policy expedited the processing of reciprocal license applications for nurses licensed in another jurisdiction to allow one business day processing [47]. | |
| 12 March 2020 | Congregate Care | Massachusetts Department of Public Health (DPH) Order restricting visitors to nursing and rest homes [48]. | |
| 12 March 2020 | Miscellaneous/Other | Governor’s COVID-19 Order no. 1 suspended certain provisions of the Open Meeting Law [49]. | Rescinded 15 June, per Order no. 69 |
| 13 March 2020 | Limits on Gatherings | Governor’s COVID-19 Order no. 2 prohibited gatherings of more than 250 people [50]. | Rescinded by Order no. 5 |
| 15 March 2020 | K-12 Schools | Governor’s COVID-19 Order no. 3 temporarily closed K-12 schools until 6 April [22]. | |
| 15 March 2020 | Health Insurance | Governor’s COVID-19 Order no. 4 required insurers to cover all medically necessary telehealth services, reimbursed at the same rate as in-person services, without cost-sharing [51]. | Rescinded by Order no. 61, Rescinded by Order no. 69 |
| 15 March 2020 | Limits on Gatherings | Governor’s COVID-19 Order no. 5 prohibited gatherings of more than 25 people [23]. | Rescinded by Order no. 13 |
| 15 March 2020 | Registry of Motor Vehicles | Governor’s COVID-19 Order no. 6 authorized the Registry of Motor Vehicles (RMV) to temporarily extend licenses, permits, and other ID cards [52]. | Rescinded by Order no. 11 |
| 15 March 2020 | Health Care Delivery | DPH Order regarding non-essential, elective invasive procedures in hospitals and ambulatory surgical centers [53]. | |
| 15 March 2020 | Labs and Hospitals | DPH Order regarding hospital visitor restrictions [54]. | |
| 15 March 2020 | Congregate Care | DPH Order restricting visitors at assisted living facilities [55]. | |
| 17 March 2020 | Health Care Workforce | Governor’s COVID-19 Order no. 7 expanded access to physician services [56]. | Rescinded by Order no. 69 |
| 17 March 2020 | Health Care Workforce | Governor’s COVID-19 Order no. 8 extended registration of certain licensed healthcare professionals [57]. | Rescinded by Order no. 69 |
| 17 March 2020 | Health Care Workforce | DPH Order implementing emergency credentialing and licensed staff transfer procedures for medical facilities in the Commonwealth [58]. | |
| 17 March 2020 | Health Care Delivery | DPH Order regarding Emergency Medical Services care [59]. | |
| 18 March 2020 | State Permits, Licenses and Inspections | Governor’s COVID-19 Order no. 9 extended the registrations of certain licensed professionals [60]. | Rescinded by Order no. 41 |
| 18 March 2020 | Early Education and Child Care | Governor’s COVID-19 Order no. 10 closed child care programs and authorized the temporary creation of emergency child care programs [61]. | |
| 18 March 2020 | Health Care Workforce | DPH Order regarding the sharing of critical information with first responders [62]. | |
| 18 March 2020 | Health Care Workforce | DPH Order regarding the flexible reassignment of Physician Assistants [63]. | |
| 18 March 2020 | Pharmacy and Grocery Operations | DPH Order regarding the administration of certain medications for the treatment of opioid misuse disorder [64]. | |
| 20 March 2020 | Registry of Motor Vehicles | Governor’s COVID-19 Order no. 11 first authorized actions to limit in-person transactions at the RMV [65]. | Rescinded by Order no. 69 |
| 20 March 2020 | State Permits, Licenses and Inspections | Governor’s COVID-19 Order no. 12 permitted the temporary conditional deferral of certain inspections of residential real estate [66]. | Rescinded by Order no. 41 |
| 23 March 2020 | Limits on Gatherings | Governor’s COVID-19 Order no. 13 prohibited gatherings of more than 10 people until 7 April [24]. | Rescinded by Order no. 37 |
| 23 March 2020 | Essential Services | Governor’s COVID-19 Order no. 13 assured the continued operation of essential services and closed certain workplaces [24]. | Rescinded by Order no. 37 |
| 23 March 2020 | Governor’s Council | Governor’s COVID-19 Order no. 14 allowed for remote participation for the Governor’s Council [67]. | Rescinded by Order no. 29 |
| 24 March 2020 | Health Care Delivery | DPH Order exempting certain activities necessary to address COVID-19 from determination of need approval [68]. | |
| 24 March 2020 | Pharmacy and Grocery Operations | DPH Order regarding modifications to pharmacy practice [69]. | |
| 25 March 2020 | Early Education and Child Care | Governor’s COVID-19 Order no. 15 extended the closure of non-emergency child care programs [70]. | |
| 25 March 2020 | K-12 Schools | Governor’s COVID-19 Order no. 16 extended the closure of K-12 schools until 4 May [71]. | |
| 26 March 2020 | State Permits, Licenses and Inspections | Governor’s COVID-19 Order no. 17 suspended state permitting deadlines and extended the validity of state permits [72]. | Rescinded by Order no. 42 |
| 26 March 2020 | State Permits, Licenses and Inspections | Governor’s COVID-19 Order no. 18 extended certain professional licenses, permits, and regulations issued by Commonwealth agencies [73]. | Rescinded by Order no. 41 |
| 26 March 2020 | Health Care Workforce | DPH Order addressing independent prescriptive practice for advanced practice registered nurses [74]. | |
| 29 March 2020 | Health Care Workforce | DPH Order authorizing DPH’s Office of Preparedness and Emergency Management to conduct Criminal Offender Record Information (CORI) checks on volunteers without a notarized CORI Acknowledgement Form in response to the COVID-19 emergency [75]. | |
| 29 March 2020 | Congregate Care | DPH Order regarding long-term care facility resident transfers and discharges [76]. | |
| 30 March 2020 | Miscellaneous/Other | Governor’s COVID-19 Order no. 19 regarding the conduct of stakeholder meetings by public companies [77]. | Rescinded by Order no. 41 |
| 30 March 2020 | Miscellaneous/Other | Governor’s COVID-19 Order no. 20 authorized EOHSS to adjust essential provider rates [78]. | Rescinded by Order no. 41 |
| 31 March 2020 | Limits on Gatherings | Governor’s COVID-19 Order no. 21 extended the prohibition on gatherings of more than 10 people until 4 May [79]. | Rescinded by Order no. 30 |
| 31 March 2020 | Essential Services | Governor’s COVID-19 Order no. 21 extended the closure of certain workplaces until 4 May [79]. | Rescinded by Order no. 30 |
| 1 April 2020 | Congregate Care | DPH Order regarding administration of certain medications in Community Programs [80]. | |
| 2 April 2020 | Recreation and Beaches | Governor’s COVID-19 Order no. 22 limited access to and use of state beaches [81]. | Rescinded by Order no. 34 |
| 2 April 2020 | Congregate Care | DPH Order regarding the provision of skilled nursing care in Assisted Living Residences [82]. | |
| 3 April 2020 | Health Care Workforce | DPH Order regarding expanded practice by advanced practice registered nurses at Department of Mental Health facilities [83]. | |
| 3 April 2020 | Health Care Workforce | DPH Order expanding the availability of certain healthcare providers, replacing the previous 29 March Order [84]. | |
| 3 April 2020 | Pharmacy and Grocery Operations | DPH Order permitted licensed pharmacies to create and sell hand sanitizer over the counter, replacing a previous 15 March Order [85]. | |
| 4 April 2020 | Pharmacy and Grocery Operations | DPH Order regarding the COVID Pharmacy Assistance Team [86]. | |
| 6 April 2020 | Health Care Delivery | DPH Order regarding submission of written follow-up procedures for oral prescriptions [87]. | |
| 7 April 2020 | Pharmacy and Grocery Operations | DPH Order addressed the operation of grocery stores and pharmacies [88]. | Rescinded by DPH Order of 10 July |
| 8 April 2020 | Labs and Hospitals | DPH Order regarding collection of complete demographic information on patients with confirmed or suspected COVID-19 [89]. | |
| 9 April 2020 | Health Care Workforce | Governor’s COVID-19 Order no. 23 provided accelerated licensing of physicians educated in foreign medical schools [90]. | Rescinded by COVID-19 Order no. 41, but licenses issued remain valid for 2 years from the date of issuance. |
| 9 April 2020 | Health Care Workforce | Governor’s COVID-19 Order no. 24 authorized nursing practice by nursing school graduates and students in their final semester of nursing education programs [91]. | Rescinded by Order no. 69 |
| 9 April 2020 | Health Insurance | Governor’s COVID-19 Order no. 25 mandated that insurers cover all medically required emergency and inpatient services for COVID-19 treatment without any cost-sharing [92]. | Rescinded by Order no. 61, Rescinded by Order no. 69 |
| 16 April 2020 | Early Education and Child Care | Governor’s COVID-19 Order no. 26 authorized the creation and operation of emergency residential programs and emergency placement agencies for children [93]. | Rescinded by Order no. 69 |
| 20 April 2020 | Health Care Delivery | DPH Order regarding crisis standards of care [94]. | Rescinded by DPH Order issued 19 June 2020 |
| 21 April 2020 | Early Education and Child Care | Governor’s COVID-19 Order no. 27 extended the closure of non-emergency child care programs [95]. | |
| 21 April 2020 | K-12 Schools | Governor’s COVID-19 Order no. 28 extended the closure of K-12 schools until 29 June [96]. | |
| 28 April 2020 | Governor’s Council | Governor’s COVID-19 Order no. 29 revised the order allowing for remote participation for the Governor’s Council [97]. | Rescinded by Order no. 69 |
| 28 April 2020 | Limits on Gatherings | Governor’s COVID-19 Order no. 30 extended the prohibition on gatherings of more than 10 people until 18 May [98]. | Rescinded by Order no. 38 |
| 28 April 2020 | Essential Services | Governor’s COVID-19 Order no. 30 further extended the closure of certain workplaces until 18 May [98]. | Rescinded by Order no. 32 |
| 28 April 2020 | Health Care Workforce | DPH Order regarding staffing ratios in out-of-hospital dialysis units [99]. | |
| 28 April 2020 | Labs and Hospitals | DPH Order allowing certain referrals to clinical laboratories for COVID-19 testing [100]. | |
| 28 April 2020 | Miscellaneous/Other | DPH Guidance related to the operation of nurseries, greenhouses, garden centers, and agricultural supply stores, replacing previous 4 April Guidance [101]. | |
| 28 April 2020 | Miscellaneous/Other | DPH Guidance regarding hotels and motels [102]. | |
| 1 May 2020 | Masks and Face-Coverings | Governor’s COVID-19 Order no. 31 required face-coverings in public places where social distancing was not possible and at all times on public transit and in retail settings [25]. | Rescinded by Order no. 55 effective 6 November 2020 |
| 15 May 2020 | Essential Services | Governor’s COVID-19 Order no. 32 temporarily extended COVID-19 Order no. 13 for 24 additional hours ahead of the release of the reopening plan [103]. | Rescinded by Order no. 33 |
| 18 May 2020 | Reopening Protocols and Business Restrictions | Governor’s COVID-19 Order no. 33 implemented phased reopening of workplaces, imposed workplace safety measures to address COVID-19, and authorized reopening of Phase I enterprises [26]. | Rescinded by Order no. 69 |
| 18 May 2020 | Recreation and Beaches | Governor’s COVID-19 Order no. 34 expanded access to and use of state beaches and addressed other outdoor recreational activities [104]. | Rescinded by Order no. 69 |
| 18 May 2020 | Health Care Workforce | DPH Order exempting certain hospitals from nurse staffing requirements of M.G.L. c. 111, § 231 [105]. | Rescinded 1 March 2021 |
| 1 June 2020 | Reopening Protocols and Business Restrictions | Governor’s COVID-19 Order no. 35 clarified the progression of the Commonwealth’s phased reopening plan and authorized certain reopening preparations at Phase II workplaces [106]. | Rescinded by Order no. 69 |
| 1 June 2020 | Early Education and Child Care | Governor’s COVID-19 Order no. 36 authorized preparations for the reopening of child care programs, and for the issuance of minimum health and safety standards for child care [107]. | Rescinded 15 June, per Order no. 69 |
| 6 June 2020 | Reopening Protocols and Business Restrictions | Governor’s COVID-19 Order no. 37 authorized reopening of Phase II enterprises (Step 1) [27]. | Rescinded by Order no. 69 |
| 6 June 2020 | Limits on Gatherings | Governor’s COVID-19 Order no. 38 extended the prohibition on gatherings of more than 10 people and clarified its application [108]. | Rescinded by Order no. 44 |
| 12 June 2020 | Registry of Motor Vehicles | Governor’s COVID-19 Order no. 39 s authorized actions to limit in-person transactions at the RMV [109]. | Rescinded by Order no. 47 |
| 19 June 2020 | Reopening Protocols and Business Restrictions | Governor’s COVID-19 Order no. 40 authorized reopening of Phase II enterprises (Step 2) [110]. | Rescinded by Order no. 69 |
| 26 June 2020 | Early Education and Child Care | Governor’s COVID-19 Order no. 41 authorized the reopening of child care programs and rescinded the authorization for emergency child care programs and 8 other orders [111]. | Rescinded by Order no. 69 |
| 2 July 2020 | State Permits, Licenses and Inspections | Governor’s COVID-19 Order no. 42 resumed state permitting deadlines and continued to extend the validity of certain state permits [112]. | Rescinded 15 June, per Order no. 69 |
| 2 July 2020 | Reopening Protocols and Business Restrictions | Governor’s COVID-19 Order no. 43 authorized reopening of Phase III enterprises (Step 1) [28]. | Rescinded by Order no. 69 |
| 2 July 2020 | Limits on Gatherings | Governor’s COVID-19 Order no. 44 raised the gathering limit to 25 persons indoors and 100 persons outdoors [113]. | Rescinded by Order no. 46 |
| 2 July 2020 | Congregate Care | DPH Order regarding provision of day program services provided in group settings, replacing previous 24 March Order [114]. | |
| 22 July 2020 | Health Insurance | DPH Order prohibited billing uninsured individuals for COVID-19 testing [115]. | |
| 24 July 2020 | Travel Restrictions | Governor’s COVID-19 Order no. 45 instituted a mandatory 14-day quarantine requirement for travelers arriving in Massachusetts [29]. | Rescinded by COVID-19 Order no. 66 effective 22 March 2021 |
| 7 August 2020 | Limits on Gatherings | Governor’s COVID-19 Order no. 46 revised gathering limits: reduced outdoor gatherings from 100 to 50, maintained indoor gathering limits at 25 [116]. | Rescinded by Order no. 52 |
| 11 August 2020 | Registry of Motor Vehicles | Governor’s COVID-19 Order no. 47 extended the second order authorizing actions to limit in-person transactions at the RMV [117]. | Rescinded by Order no. 69 |
| 18 August 2020 | Miscellaneous/Other | Governor’s COVID-19 Order no. 48 amended the administration of penalties issued pursuant to certain COVID-19 Orders [118]. | Rescinded by Order no. 69 |
| 28 August 2020 | Early Education and Child Care | Governor’s COVID-19 Order no. 49 authorized arrangements for child care and supervision during the school day to accommodate remote learning [119]. | Rescinded 15 June, per Order no. 69 |
| 8 September 2020 | Miscellaneous/Other | DPH Order related to the operation of farmers markets, farm stands, and CSAs, replacing previous 27 April Order [120]. | Rescinded by DPH Order on 27 April 2021 |
| 10 September 2020 | Reopening Protocols and Business Restrictions | Governor’s COVID-19 Order no. 50 made certain Phase III adjustments, including the extension of outdoor dining provisions and the opening of indoor and outdoor gaming arcades [121]. | Section 1 rescinded 15 June, per Order no. 69 |
| 29 September 2020 | Reopening Protocols and Business Restrictions | Governor’s COVID-19 Order no. 51 authorized reopening of Phase III enterprises (Step 2) in municipalities with reduced incidence of COVID-19 infection [122]. | Superseded and rescinded by Order no. 56, then rescinded again by Order no. 69 |
| 29 September 2020 | Limits on Gatherings | Governor’s COVID-19 Order no. 52 adjusted gathering limits: indoor gatherings at all venues limited to 25, outdoor gatherings at private residences limited to 50, and up to 100 people for outdoor gatherings in lower-risk communities [123]. | Rescinded by Order no. 54 |
| 6 October 2020 | Health Care Workforce | DPH Order regarding influenza vaccination for healthcare personnel at assisted living facilities [124]. | |
| 22 October 2020 | Recreation and Beaches | DPH Order regarding the operation of indoor ice rinks and indoor ice skating and hockey facilities [125]. | |
| 2 November 2020 | Reopening Protocols and Business Restrictions | Governor’s COVID-19 Order no. 53 required early closure of certain businesses and activities each night at 9:30 p.m. Special allowance for renewal of licenses for on-premises alcohol consumption remained in place [30]. | Rescinded by Order no. 69 |
| 2 November 2020 | Limits on Gatherings | Governor’s COVID-19 Order no. 54 reduced gathering size limits at private residences: 10 people indoors, 25 people outdoors. Also required all gatherings to end by 9:30 p.m and imposed a $500 fine for each person over the limit [31]. | Superseded by Order no. 57 (13 December 2020) |
| 2 November 2020 | Masks and Face-Coverings | Governor’s COVID-19 Order no. 55 revised order requiring all persons to wear face-coverings in all public places, even where they are able to maintain 6 feet of distance. Allowed exceptions for residents with medical or disabling conditions, but employers and schools could require proof of such conditions [32]. | Rescinded by Order no. 67 effective 30 April 2021 |
| 5 November 2020 | Congregate Care | DPH Order regarding control of COVID-19 in long-term care facilities [126]. | |
| 6 November 2020 | Reopening Protocols and Business Restrictions | Governor’s COVID-19 Order no. 56 revised provisions for Phase III reopening in municipalities with reduced incidence of COVID-19 infection [127]. | Superseded and rescinded by Order no. 58, then rescinded by Order no. 69 |
| 7 December 2020 | Health Care Delivery | DPH Order related to elective procedures [128]. | Rescinded by DPH Order issued 1 March 2021 |
| 7 December 2020 | Congregate Care | DPH Order related to COVID-19 testing in congregate care sites [129]. | |
| 8 December 2020 | Limits on Gatherings | Governor’s COVID-19 Order no. 57 reduced the outdoor gathering limit statewide from 100 to 50 persons [130]. | Sustained other limits from Order no. 54. (Adjusted by Order no. 59, and further adjustments made by Order no. 62, which rescinded Section 4.) |
| 8 December 2020 | Reopening Protocols and Business Restrictions | Governor’s COVID-19 Order no. 58 required return to Phase III, Step 1 reopening for all Massachusetts communities and made adjustments to Phase III, Step 1 protocols [131]. | Rescinded and superseded by Order no. 65, then rescinded by Order no. 69 |
| 22 December 2020 | Health Care Workforce | DPH Order regarding healthcare personnel influenza vaccination in long-term care facilities, adult day health programs, and out-of-hospital dialysis units, replacing the previous October 6 Order [132]. | |
| 22 December 2020 | Limits on Gatherings | Governor’s COVID-19 Order no. 59 applied a limit of 10 persons for indoor gatherings, 25 persons for outdoor gatherings in private homes, event venues, and public spaces [133]. | |
| 22 December 2020 | Reopening Protocols and Business Restrictions | Governor’s COVID-19 Order no. 59 applied a 25% capacity limit to businesses and activities across most sectors [133]. | Rescinded by Order no. 69 |
| 23 December 2020 | Health Care Workforce | DPH Order regarding healthcare personnel influenza vaccination in certain state-operated facilities [134]. |
| Region | School Closure and Gathering Restrictions (%) | Mask Mandate (%) | Re-Opening (Phase 1) (%) | Re-Opening (Phase 2) (%) | Re-Opening (Phase 3) (%) | Travel and Quarantine Requirements (%) | Curfew and Gathering Restrictions (%) |
|---|---|---|---|---|---|---|---|
| Massachusetts statewide | −14.7 (−23.6, −5.6) | −5.0 (−16.7, 10.1) | −5.3 (−19.4, 14.0) | 2.9 (−9.8, 16.0) | 8.9 (−6.2, 22.6) | 7.4 (−4.0, 19.9) | −5.3 (−8.9, 0.4) |
| Boston | −16.9 (−26.9, −7.5) | −6.2 (−18.2, 9.5) | −2.8 (−17.8, 17.6) | 4.8 (−8.5, 19.0) | 8.9 (−7.9, 24.2) | 2.3 (−9.2, 15.3) | −3.2 (−6.9, 2.2) |
| Northeast | −15.2 (−24.9, −5.1) | −5.8 (−17.9, 10.0) | −5.1 (−19.9, 14.9) | 3.6 (−10.1, 17.5) | 9.7 (−6.8, 24.5) | 6.3 (−5.8, 19.8) | −6.0 (−9.7, −0.4) |
| Southeast | −13.7 (−22.9, −4.0) | −5.1 (−17.1, 10.9) | −6.3 (−20.9, 13.5) | 2.7 (−11.1, 16.3) | 9.8 (−6.3, 24.1) | 8.2 (−4.2, 21.8) | −4.7 (−8.6, 1.3) |
| Metro West | −15.2 (−24.4, −6.1) | −5.4 (−17.3, 10.0) | −4.7 (−19.2, 15.1) | 3.2 (−10.3, 16.8) | 9.3 (−6.6, 23.5) | 7.6 (−4.5, 20.8) | −5.5 (−9.2, 0.4) |
| Central | −13.1 (−22.6, −2.5) | −6.0 (−18.3, 9.9) | −7.1 (−21.8, 12.6) | 2.5 (−11.8, 16.5) | 9.9 (−6.2, 24.0) | 10.7 (−2.4, 25.1) | −6.8 (−10.8, −0.5) |
| Western | −12.5 (−21.3, −3.2) | −2.4 (−14.2, 15.7) | −5.9 (−21.3, 15.0) | 1.3 (−12.4, 14.5) | 7.4 (−8.8, 21.6) | 10.0 (−3.0, 24.0) | −6.6 (−10.7, −0.3) |
| Region | Total Population | Population Density (People/mi2) |
|---|---|---|
| Boston | 801,162 | 13,742.06 |
| Northeast | 787,038 | 1598.05 |
| Southeast | 1,324,045 | 754.36 |
| Metro West | 2,309,639 | 1902.50 |
| Central | 826,655 | 547.20 |
| Western | 824,464 | 297.61 |
| Non-Pharmaceutical Interventions | Slope (95% Crl) | R2 |
|---|---|---|
| School Closure and Gathering Restrictions | −2.7 (−3.6, −1.8) | 0.93 |
| Mask Mandate | −1.5 (−3.6, 0.6) | 0.40 |
| Re-opening (Phase 1) | 2.3 (1.1, 3.6) | 0.82 |
| Re-opening (Phase 2) | 1.9 (1.3, 2.6) | 0.93 |
| Re-opening (Phase 3) | 0.3 (−1.5, 2.2) | 0.04 |
| Travel and Quarantine Requirements | −4.9 (−6.8, −3.0) | 0.90 |
| Curfew and Gathering Restrictions | 1.9 (0.5, 3.4) | 0.70 |








References
- Sharecare; Boston University School of Public Health. Sharecare Community Well-Being Index: 2022 State Rankings Report. Available online: https://wellbeingindex.sharecare.com/wp-content/uploads/2023/09/CWBI-State-Rankings-Report20230828.pdf (accessed on 30 November 2024).
- Lemieux, J.E.; Siddle, K.J.; Shaw, B.M.; Loreth, C.; Schaffner, S.F.; Gladden-Young, A.; Adams, G.; Fink, T.; Tomkins-Tinch, C.H.; Krasilnikova, L.A.; et al. Phylogenetic analysis of SARS-CoV-2 in Boston highlights the impact of superspreading events. Science 2021, 371, eabe3261. [Google Scholar] [CrossRef]
- Cori, A.; Ferguson, N.M.; Fraser, C.; Cauchemez, S. A new framework and software to estimate time-varying reproduction numbers during epidemics. Am. J. Epidemiol. 2013, 178, 1505–1512. [Google Scholar] [CrossRef]
- Lee, I.S.-T.; Ofori, S.K.; Babatunde, D.A.; Akowuah, E.A.; Kwok, K.O.; Chowell, G.; Fung, I.C.-H. COVID-19 Transmission Potential and Non-Pharmaceutical Interventions in Maine During the COVID-19 Pandemic. Pathogens 2025, 14, 893. [Google Scholar] [CrossRef] [PubMed]
- Buesseler, A.A.; Hua, X.; Adom, D.A.; Das, S.; Kutten, W.S.; Olatunde, O.; Sheppard, O.A.; Soo, J.-C.; Kersey, J.; Kwok, K.O.; et al. Geographical Variation in COVID-19 Transmission Potential and Case Burden, West Virginia, 2020–2023. Disaster Med. Public Health Prep. 2025, 19, e75. [Google Scholar] [CrossRef] [PubMed]
- Ogwara, C.A.; Ronberg, J.W.; Cox, S.M.; Wagner, B.M.; Stotts, J.W.; Chowell, G.; Spaulding, A.C.; Fung, I.C.H. Impact of public health policy and mobility change on transmission potential of severe acute respiratory syndrome coronavirus 2 in Rhode Island, March 2020–November 2021. Pathog. Glob. Health 2024, 118, 65–79. [Google Scholar] [CrossRef]
- Davies, M.R.; Hua, X.; Jacobs, T.D.; Wiggill, G.I.; Lai, P.Y.; Du, Z.; DebRoy, S.; Robb, S.W.; Chowell, G.; Fung, I.C.H. SARS-CoV-2 transmission potential and policy changes in South Carolina, February 2020–January 2021. Disaster Med. Public Health Prep. 2023, 17, e276. [Google Scholar] [CrossRef]
- Hua, X.; Kehoe, A.R.D.; Tome, J.; Motaghi, M.; Ofori, S.K.; Lai, P.Y.; Ali, S.T.; Chowell, G.; Spaulding, A.C.; Fung, I.C.H. Late surges in COVID-19 cases and varying transmission potential partially due to public health policy changes in 5 western states, March 10, 2020–January 10, 2021. Disaster Med. Public Health Prep. 2023, 17, e277. [Google Scholar] [CrossRef] [PubMed]
- Ofori, S.K.; Ogwara, C.A.; Kwon, S.; Hua, X.; Martin, K.M.; Mallhi, A.K.; Twum, F.; Chowell, G.; Fung, I.C.H. SARS-CoV-2 transmission potential and rural-urban disease burden disparities across Alabama, Louisiana, and Mississippi, March 2020–May 2021. Ann. Epidemiol. 2022, 71, 1–8. [Google Scholar] [CrossRef]
- Politis, M.D.; Hua, X.; Ogwara, C.A.; Davies, M.R.; Adebile, T.M.; Sherman, M.P.; Zhou, X.; Chowell, G.; Spaulding, A.C.; Fung, I.C.H. Spatially refined time-varying reproduction numbers of SARS-CoV-2 in Arkansas and Kentucky and their relationship to population size and public health policy, March–November 2020. Ann. Epidemiol. 2022, 68, 37–44. [Google Scholar] [CrossRef]
- Ogwara, C.A.; Mallhi, A.K.; Hua, X.; Muniz-Rodriguez, K.; Schwind, J.S.; Zhou, X.; Jones, J.A.; Chopak-Foss, J.; Chowell, G.; Fung, I.C.H. Spatially refined time-varying reproduction numbers of COVID-19 by health district in Georgia, USA, March–December 2020. Epidemiologia 2021, 2, 179–197. [Google Scholar] [CrossRef]
- Muniz-Rodriguez, K.; Chowell, G.; Schwind, J.S.; Ford, R.; Ofori, S.K.; Ogwara, C.A.; Davies, M.R.; Jacobs, T.; Cheung, C.-H.; Cowan, L.T.; et al. Time-varying Reproduction Numbers of COVID-19 in Georgia, USA, March 2, 2020 to November 20, 2020. Perm. J. 2021, 25, 20.232. [Google Scholar] [CrossRef] [PubMed]
- Center for Systems Science and Engineering, Johns Hopkins University. COVID-19 Unified Dataset. Available online: https://github.com/CSSEGISandData/COVID-19_Unified-Dataset/blob/master/COVID-19.rds (accessed on 1 July 2024).
- Badr, H.S.; Zaitchik, B.F.; Kerr, G.H.; Nguyen, N.L.H.; Chen, Y.T.; Hinson, P.; Colston, J.M.; Kosek, M.N.; Dong, E.; Du, H.; et al. Unified real-time environmental-epidemiological data for multiscale modeling of the COVID-19 pandemic. Sci. Data 2023, 10, 367. [Google Scholar] [CrossRef]
- American Community Survey, U.S. Census Bureau. 2020 Massachusetts Demographic and Housing Estimates. Available online: https://data.census.gov/table/ACSDP5Y2020.DP05 (accessed on 15 October 2024).
- American Community Survey, U.S. Census Bureau. 2022 Massachusetts Demographic and Housing Estimates. Available online: https://data.census.gov/table/ACSDP5Y2022.DP05 (accessed on 15 October 2024).
- Miller, A.; Hannah, L.; Foti, N.; Futoma, J. Package ‘Incidental’: Implements Empirical Bayes Incidence Curves. Available online: https://cran.r-project.org/web/packages/incidental/incidental.pdf (accessed on 30 November 2024).
- Division of Viral Diseases, National Center for Immunization and Respiratory Diseases. Estimated COVID-19 Burden. Available online: https://stacks.cdc.gov/view/cdc/117147 (accessed on 30 November 2024).
- U.S. Centers for Disease Control and Prevention. Estimated COVID-19 Burden. Available online: https://archive.cdc.gov/#/details?url=https://www.cdc.gov/coronavirus/2019-ncov/cases-updates/burden.html (accessed on 10 August 2025).
- Park, S.W.; Sun, K.; Abbott, S.; Sender, R.; Bar-on, Y.M.; Weitz, J.S.; Funk, S.; Grenfell, B.T.; Backer, J.A.; Wallinga, J.; et al. Inferring the differences in incubation-period and generation-interval distributions of the Delta and Omicron variants of SARS-CoV-2. Proc. Natl. Acad. Sci. USA 2023, 120, e2221887120. [Google Scholar] [CrossRef]
- You, C.; Deng, Y.; Hu, W.; Sun, J.; Lin, Q.; Zhou, F.; Pang, C.H.; Zhang, Y.; Chen, Z.; Zhou, X.H. Estimation of the time-varying reproduction number of COVID-19 outbreak in China. Int. J. Hyg. Environ. Health 2020, 228, 113555. [Google Scholar] [CrossRef]
- Massachusetts Department of Public Health. Order Temporarily Closing All Public and Private Elementary and Secondary Schools (COVID-19 Order No. 3). Available online: https://www.mass.gov/doc/march-15-2020-school-closure-order/download (accessed on 1 August 2024).
- Massachusetts Department of Public Health. Order Prohibiting Gatherings of More Than 25 People and on-Premises Consumption of Food or Drink (COVID-19 Order No. 5). Available online: https://www.mass.gov/doc/march-15-2020-large-gatherings-25-and-restaurants-order/download (accessed on 1 August 2024).
- Massachusetts Department of Public Health. Order Assuring Continued Operation of Essential Services in the Commonwealth, Closing Certain Workplaces, and Prohibiting Gatherings of More than 10 People (COVID-19 Order No. 13). Available online: https://www.mass.gov/doc/march-23-2020-essential-services-and-revised-gatherings-order/download (accessed on 1 August 2024).
- Massachusetts Department of Public Health. Order Requiring Face Coverings in Public Places Where Social Distancing Is Not Possible (COVID-19 Order No. 31). Available online: https://www.mass.gov/doc/may-1-2020-masks-and-face-coverings/download (accessed on 1 August 2024).
- Massachusetts Department of Public Health. Order Implementing a Phased Reopening of Workplaces and Imposing Workplace Safety Measures to Address COVID-19 (COVID-19 Order No. 33). Available online: https://www.mass.gov/doc/may-18-2020-re-opening-massachusetts-order/download (accessed on 1 August 2024).
- Massachusetts Department of Public Health. Order Authorizing the Reopening of Phase II Enterprises (COVID-19 Order No. 37). Available online: https://www.mass.gov/doc/june-6-2020-phase-ii-reopening/download (accessed on 1 August 2024).
- Massachusetts Department of Public Health. Order Authorizing the Reopening of Phase III Enterprises (COVID-19 Order No. 43). Available online: https://www.mass.gov/doc/phase-3-order-july-2-2020/download (accessed on 1 August 2024).
- Massachusetts Department of Public Health. Order Instituting a Mandatory 14-Day Quarantine Requirement for Travelers Arriving in Massachusetts (COVID-19 Order No. 45). Available online: https://www.mass.gov/doc/july-24-2020-travel-order-pdf/download (accessed on 1 August 2024).
- Massachusetts Department of Public Health. Order Requiring Early Closing for Certain Businesses and Activities, Limiting Hours for Alcohol and Adult Use Cannabis Sales, and Modifying Chapter 138 License Renewal Requirements (COVID-19 Order No. 53). Available online: https://www.mass.gov/doc/covid-19-order-53-0/download (accessed on 1 August 2024).
- Massachusetts Department of Public Health. Revised Order Further Regulating Gatherings in the Commonwealth (COVID-19 Order No. 54). Available online: https://www.mass.gov/doc/covid-19-order-54/download (accessed on 1 August 2024).
- Massachusetts Department of Public Health. Revised Order Requiring Face Coverings in Public Places (COVID-19 Order No. 55). Available online: https://www.mass.gov/doc/covid-19-order-55/download (accessed on 1 August 2024).
- Li, Y.; Campbell, H.; Kulkarni, D.; Harpur, A.; Nundy, M.; Wang, X.; Nair, H. The temporal association of introducing and lifting non-pharmaceutical interventions with the time-varying reproduction number (R) of SARS-CoV-2: A modelling study across 131 countries. Lancet Infect. Dis. 2021, 21, 193–202. [Google Scholar] [CrossRef] [PubMed]
- Kehoe, A.D.; Mallhi, A.K.; Barton, C.R.; Martin, H.M.; Turner, C.M.; Hua, X.; Kwok, K.O.; Chowell, G.; Fung, I.C. SARS-CoV-2 transmission in Alberta, British Columbia, and Ontario, Canada, January 2020–January 2022. Emerg. Infect. Dis. 2024, 30, 956–967. [Google Scholar] [CrossRef] [PubMed]
- Bin Nafisah, S.; Alamery, A.H.; Al Nafesa, A.; Aleid, B.; Brazanji, N.A. School closure during novel influenza: A systematic review. J. Infect. Public Health 2018, 11, 657–661. [Google Scholar] [CrossRef]
- Lee, B.Y.; Brown, S.T.; Cooley, P.; Potter, M.A.; Wheaton, W.D.; Voorhees, R.E.; Stebbins, S.; Grefenstette, J.J.; Zimmer, S.M.; Zimmerman, R.K.; et al. Simulating school closure strategies to mitigate an influenza epidemic. J. Public Health Manag. Pract. 2010, 16, 252–261. [Google Scholar] [CrossRef]
- Auger, K.A.; Shah, S.S.; Richardson, T.; Hartley, D.; Hall, M.; Warniment, A.; Timmons, K.; Bosse, D.; Ferris, S.A.; Brady, P.W.; et al. Association between statewide school closure and COVID-19 incidence and mortality in the US. JAMA 2020, 324, 859–870. [Google Scholar] [CrossRef]
- Dong, Y.; Mo, X.; Hu, Y.; Qi, X.; Jiang, F.; Jiang, Z.; Tong, S. Epidemiology of COVID-19 among children in China. Pediatrics 2020, 145, e20200702. [Google Scholar] [CrossRef]
- Ortega Pacheco, Y.J.; Barrero Toncel, V.I. The impact of school closure on children’s well-being during the COVID-19 pandemic. Asian J. Psychiatr. 2022, 67, 102957. [Google Scholar] [CrossRef] [PubMed]
- Mazrekaj, D.; De Witte, K. The impact of school closures on learning and mental health of children: Lessons from the COVID-19 pandemic. Perspect. Psychol. Sci. 2024, 19, 686–693. [Google Scholar] [CrossRef]
- Imtiaz, S.; Nafeh, F.; Russell, C.; Ali, F.; Elton-Marshall, T.; Rehm, J. The impact of the novel coronavirus disease (COVID-19) pandemic on drug overdose-related deaths in the United States and Canada: A systematic review of observational studies and analysis of public health surveillance data. Subst. Abus. Treat. Prev. Policy 2021, 16, 87. [Google Scholar] [CrossRef]
- Simha, S.; Ahmed, Y.; Brummett, C.M.; Waljee, J.F.; Englesbe, M.J.; Bicket, M.C. Impact of the COVID-19 pandemic on opioid overdose and other adverse events in the USA and Canada: A systematic review. Reg. Anesth. Pain. Med. 2023, 48, 37–43. [Google Scholar] [CrossRef]
- Fischer, C.B.; Adrien, N.; Silguero, J.J.; Hopper, J.J.; Chowdhury, A.I.; Werler, M.M. Mask adherence and rate of COVID-19 across the United States. PLoS ONE 2021, 16, e0249891. [Google Scholar] [CrossRef]
- Talic, S.; Shah, S.; Wild, H.; Gasevic, D.; Maharaj, A.; Ademi, Z.; Li, X.; Xu, W.; Mesa-Eguiagaray, I.; Rostron, J.; et al. Effectiveness of public health measures in reducing the incidence of COVID-19, SARS-CoV-2 transmission, and COVID-19 mortality: Systematic review and meta-analysis. BMJ 2021, 375, e068302. [Google Scholar] [CrossRef] [PubMed]
- Roundtable on Population Health Improvement; Board on Population Health and Public Health Practice; Institute of Medicine. Effective Messaging Strategies: A Review of the Evidence. In Communicating to Advance the Public’s Health: Workshop Summary; National Academies Press: Washington DC, USA, 2015; Chapter 5.
- Ali, S.T.; Wang, L.; Lau, E.H.Y.; Xu, X.K.; Du, Z.; Wu, Y.; Leung, G.M.; Cowling, B.J. Serial interval of SARS-CoV-2 was shortened over time by nonpharmaceutical interventions. Science 2020, 369, 1106–1109. [Google Scholar] [CrossRef] [PubMed]
- Massachusetts Department of Public Health. Expedited Processing of Reciprocal License Applications in Response to Disease Outbreak or Other Critical Public Health Concern. Available online: https://www.mass.gov/doc/expedited-processing-of-reciprocal-license-applications-in-the-event-of-a-declared-public/download (accessed on 1 August 2024).
- Massachusetts Department of Public Health. Order of the Commissioner of Public Health Regarding Implementing Policies and Procedures for Restricting Resident Visitors in Nursing Homes and Rest Homes and Personal Protective Equipment Recommendation Updates During the COVID-19 Outbreak. Available online: https://www.mass.gov/doc/order-of-the-commissioner-of-public-health-implementing-policies-and-procedures-for-restricting/download (accessed on 1 August 2024).
- Massachusetts Department of Public Health. Order Suspending Certain Provisions of the Open Meeting Law (G.L. c. 30A, § 20) (COVID-19 Order No. 1). Available online: https://www.mass.gov/doc/open-meeting-law-order-march-12-2020/download (accessed on 1 August 2024).
- Massachusetts Department of Public Health. Order Prohibiting Gatherings of More than 250 People (COVID-19 Order No. 2). Available online: https://www.mass.gov/doc/order-prohibiting-gatherings-of-more-than-250-people/download (accessed on 1 August 2024).
- Massachusetts Department of Public Health. Order Expanding Access to Telehealth Services and to Protect Health Care Providers (COVID-19 Order No. 4). Available online: https://www.mass.gov/doc/march-15-2020-telehealth-order/download (accessed on 1 August 2024).
- Massachusetts Department of Public Health. Order Authorizing the Registrar of Motor Vehicles to Temporarily Extend Licenses, Permits, and Other Identification Cards (COVID-19 Order No. 6). Available online: https://www.mass.gov/doc/march-15-2020-rmv-license-extensions/download (accessed on 1 August 2024).
- Massachusetts Department of Public Health. Nonessential, Elective Invasive Procedures in Hospitals and Ambulatory Surgical Centers during the COVID-19 Outbreak. Available online: https://www.mass.gov/doc/dph-order-regarding-nonessential-elective-invasive-procedures-in-hospitals-and-ambulatory-surgical-centers-issued-3-15-2020/download (accessed on 1 August 2024).
- Massachusetts Department of Public Health. Order of the Commissioner of Public Health Regarding Hospital Visitor Restrictions. Available online: https://www.mass.gov/doc/march-15-2020-hospital-visitor-restrictions-order/download (accessed on 1 August 2024).
- Massachusetts Department of Public Health. Order of the Commissioner of Public Health Regarding Assisted Living Visitor Restrictions. Available online: https://www.mass.gov/doc/march-15-2020-assisted-living-visitor-restrictions-order/download (accessed on 1 August 2024).
- Massachusetts Department of Public Health. Order Expanding Access to Physician Services (COVID-19 Order No. 7). Available online: https://www.mass.gov/doc/march-17-2020-expand-access-to-physician-services-order/download (accessed on 1 August 2024).
- Massachusetts Department of Public Health. Order Extending the Registrations of Certain Licensed Health Care Professionals (COVID-19 Order No. 8). Available online: https://www.mass.gov/doc/march-17-2020-registration-of-health-care-professionals-order/download (accessed on 1 August 2024).
- Massachusetts Department of Public Health. Order of the Commissioner of Public Health Implementing Emergency Credentialing and Licensed Staff Transfer Procedures for Medical Facilities in the Commonwealth. Available online: https://www.mass.gov/doc/order-maximizing-available-healthcare-providers-march-2020/download (accessed on 1 August 2024).
- Massachusetts Department of Public Health. Order of the Commissioner of Public Health Regarding Providing for Continuity of Emergency Medical Services Care. Available online: https://www.mass.gov/doc/march-17-2020-ems-care-order/download (accessed on 1 August 2024).
- Massachusetts Department of Public Health. Order Extending the Registrations of Certain Licensed Professionals (COVID-19 Order No. 9). Available online: https://www.mass.gov/doc/march-18-2020-professional-licensure-order/download (accessed on 1 August 2024).
- Massachusetts Department of Public Health. Order Temporarily Closing All Child Care Programs and Authorizing the Temporary Creation and Operation of Emergency Child Care Programs (COVID-19 Order No. 10). Available online: https://www.mass.gov/doc/march-18-2020-early-education-and-care-order/download (accessed on 1 August 2024).
- Massachusetts Department of Public Health. Order of the Commissioner of Public Health Regarding the Sharing of Critical Information with First Responders. Available online: https://www.mass.gov/doc/order-of-the-commissioner-of-public-health-regarding-the-sharing-of-critical-information-with/download (accessed on 1 August 2024).
- Massachusetts Department of Public Health. Order of the Commissioner of Public Health Regarding the Flexible Reassignment of Physician Assistants. Available online: https://www.mass.gov/doc/march-18-2020-physician-assistant-order/download (accessed on 1 August 2024).
- Massachusetts Department of Public Health. Order of the Commissioner of Public Health Regarding the Administration of Certain Medications for the Treatment of Opioid Use Disorder. Available online: https://www.mass.gov/doc/march-18-2020-pharmacist-opioid-misuse-disorder-medication/download (accessed on 1 August 2024).
- Massachusetts Department of Public Health. Order Authorizing Actions to Reduce in-Person Transactions Associated with the Licensing, Registration, and Inspection of Motor Vehicles (COVID-19 Order No. 11). Available online: https://www.mass.gov/doc/march-20-2020-rmv-order/download (accessed on 1 August 2024).
- Massachusetts Department of Public Health. Order Permitting the Temporary Conditional Deferral of Certain Inspections of Residential Real Estate (COVID-19 Order No. 12). Available online: https://www.mass.gov/doc/march-20-2020-smoke-alarm-inspections-order/download (accessed on 1 August 2024).
- Massachusetts Department of Public Health. Order Allowing for Remote Participation for the Governor’s Council (COVID-19 order No. 14). Available online: https://www.mass.gov/doc/covid-19-order-14/download (accessed on 1 August 2024).
- Massachusetts Department of Public Health. Order of the Commissioner of Public Health Regarding Determination of Need Approvals Related to COVID-19. Available online: https://www.mass.gov/doc/don-order/download (accessed on 1 August 2024).
- Massachusetts Department of Public Health. Order of the Commissioner of Public Health Related to Pharmacy Practice. Available online: https://www.mass.gov/doc/pharmacy-practice-order/download (accessed on 1 August 2024).
- Massachusetts Department of Public Health. Order Extending the Temporary Closing of All Non-Emergency Child Care Programs (COVID-19 Order No. 15). Available online: https://www.mass.gov/doc/march-25-2020-eec-closure-extension-order/download (accessed on 1 August 2024).
- Massachusetts Department of Public Health. Order Extending the Temporary Closure of All Public and Private Elementary and Secondary Schools (COVID-19 order No. 16). Available online: https://www.mass.gov/doc/march-25-school-closure-extension-order/download (accessed on 1 August 2024).
- Massachusetts Department of Public Health. Order Suspending State Permitting Deadlines and Extending the Validity of State Permits (COVID-19 Order No. 17). Available online: https://www.mass.gov/doc/march-26-2020-permit-extension-order/download (accessed on 1 August 2024).
- Massachusetts Department of Public Health. Order Extending Certain Professional Licenses, Permits, and Registrations Issued by Commonwealth Agencies (COVID-19 Order No. 18). Available online: https://www.mass.gov/doc/march-26-2020-business-licensure-extension-order/download (accessed on 1 August 2024).
- Massachusetts Department of Public Health. Order of the Commissioner of Public Health Authorizing Independent Practice of Advanced Practice Registered Nurses. Available online: https://www.mass.gov/doc/march-26-2020-advanced-practice-registered-nurses-order/download (accessed on 1 August 2024).
- Massachusetts Department of Public Health. Order of the Commissioner of Public Health Regarding CORI Notary. Available online: https://www.mass.gov/doc/cori-notary-order/download (accessed on 1 August 2024).
- Massachusetts Department of Public Health. Order of the Commissioner of Public Health Regarding MassHealth Moving Residents. Available online: https://www.mass.gov/doc/masshealth-moving-residents-order/download (accessed on 1 August 2024).
- Massachusetts Department of Public Health. Order Regarding the Conduct of Shareholder Meetings by Public Companies (COVID-19 Order No. 19). Available online: https://www.mass.gov/doc/virtual-shareholder-meeting-order/download (accessed on 1 August 2024).
- Massachusetts Department of Public Health. Order Authorizing the Executive Office of Health and Human Services to Adjust Essential Provider Rates during the COVID-19 Public Health Emergency (COVID-19 Order No. 20). Available online: https://www.mass.gov/doc/eohhs-provider-rates-order/download (accessed on 1 August 2024).
- Massachusetts Department of Public Health. Order Extending the Closing of Certain Workplaces and the Prohibition on Gatherings of More than 10 People (COVID-19 Order No. 21). Available online: https://www.mass.gov/doc/march-31-2020-essential-services-extension-order/download (accessed on 1 August 2024).
- Massachusetts Department of Public Health. Order of the Commissioner of Public Health Regarding Rescue Inhalers, Epinephrine Auto-Injectors, and Oxygen in Community Programs. Available online: https://www.mass.gov/doc/map-inhaler-epinephrine-oxygen-access-order/download (accessed on 1 August 2024).
- Massachusetts Department of Public Health. Order Limiting Access to and Use of State Beaches (COVID-19 Order No. 22). Available online: https://www.mass.gov/doc/april-2-2020-beaches-order/download (accessed on 1 August 2024).
- Massachusetts Department of Public Health. Order of the Commissioner of Public Health Regarding Assisted Living Residences. Available online: https://www.mass.gov/doc/order-re-alr-waivers/download (accessed on 1 August 2024).
- Massachusetts Department of Public Health. Order of the Commissioner of Public Health Authorizing Expanded Practice by Advanced Practice Registered Nurses at DMH Facilities. Available online: https://www.mass.gov/doc/order-re-aprn-mental-health/download (accessed on 1 August 2024).
- Massachusetts Department of Public Health. Order Rescinding and Replacing the March 29, 2020, Order of the Commissioner of Public Health Maximizing Health Care Provider Availability. Available online: https://www.mass.gov/doc/order-maximizing-available-healthcare-providers/download (accessed on 1 August 2024).
- Massachusetts Department of Public Health. Compounding Over-the-Counter Hand Sanitizer. Available online: https://www.mass.gov/doc/hand-sanitizer-compounding-revised-4-3-2020/download (accessed on 1 August 2024).
- Massachusetts Department of Public Health. Order of the Commissioner of Public Health Regarding Authority for COVID Pharmacy Assistance Team. Available online: https://www.mass.gov/doc/dph-ehs-order-authority-for-covid-pharmacy-assistance-team/download (accessed on 1 August 2024).
- Massachusetts Department of Public Health. Order of the Commissioner of Public Health (Follow-Up Procedures for Oral Prescriptions). Available online: https://www.mass.gov/doc/follow-up-for-oral-prescriptions-order/download (accessed on 1 August 2024).
- Massachusetts Department of Public Health. Guidance for Grocery Stores and Local Boards of Health on the March 25, 2020 Order of the Commissioner Regarding Grocery Stores. Available online: https://www.mass.gov/doc/order-grocery-stores-40-percent/download (accessed on 1 August 2024).
- Massachusetts Department of Public Health. Order of the Commissioner of Public Health Regarding COVID Data Reporting. Available online: https://www.mass.gov/doc/covid-data-reporting-order/download (accessed on 1 August 2024).
- Massachusetts Department of Public Health. Order Providing Accelerated Licensing of Physicians Educated in Foreign Medical Schools (COVID-19 Order No. 23). Available online: https://www.mass.gov/doc/april-9-2020-foreign-medical-doctors/download (accessed on 1 August 2024).
- Massachusetts Department of Public Health. Order Authorizing Nursing Practice by Graduates and Senior Students of Nursing Education Programs (COVID-19 Order No. 24). Available online: https://www.mass.gov/doc/april-9-2020-nursing-school-students/download (accessed on 1 August 2024).
- Massachusetts Department of Public Health. Order Expanding Access to Inpatient Services (COVID-19 Order No. 25). Available online: https://www.mass.gov/doc/april-9-2020-inpatient-services-and-billing/download (accessed on 1 August 2024).
- Massachusetts Department of Public Health. Order Authorizing the Creation and Operation of Emergency Residential Programs and Emergency Placement Agencies for Children (COVID-19 Order No. 26). Available online: https://www.mass.gov/doc/april-16-2020-eec-order/download (accessed on 1 August 2024).
- Massachusetts Department of Public Health. Order of the Commissioner of Public Health Regarding CSC Data Reporting. Available online: https://www.mass.gov/doc/csc-data-reporting-order/download (accessed on 1 August 2024).
- Massachusetts Department of Public Health. Order Extending the Temporary Closing of All Non-Emergency Child Care Programs (COVID-19 Order No. 27). Available online: https://www.mass.gov/doc/april-21-2020-childcare-programs-closure-extension/download (accessed on 1 August 2024).
- Massachusetts Department of Public Health. Order Extending the Temporary Closure of All Public and Private Elementary and Secondary Schools (COVID-19 Order No. 28). Available online: https://www.mass.gov/doc/april-21-2020-school-closure-extension-order/download (accessed on 1 August 2024).
- Massachusetts Department of Public Health. Revised Order Allowing for Remote Participation for the Governor’s Council (COVID-19 Order No. 29). Available online: https://www.mass.gov/doc/signed-governors-council-extension-order/download (accessed on 1 August 2024).
- Massachusetts Department of Public Health. Order Further Extending the Closing of Certain Workplaces and the Prohibition on Gatherings of More than 10 People (COVID-19 Order No. 30). Available online: https://www.mass.gov/doc/signed-second-extension-of-essential-services-order/download (accessed on 1 August 2024).
- Massachusetts Department of Public Health. Order of the Commissioner of Public Health to Waive Staffing Ratios in Out-of-Hospital Dialysis Units. Available online: https://www.mass.gov/doc/order-dialysis-unit-staffing-ratio/download (accessed on 1 August 2024).
- Massachusetts Department of Public Health. Order of the Commissioner of Public Health to Allow Certain Referrals to Clinical Laboratories for COVID-19 Testing. Available online: https://www.mass.gov/doc/order-re-clinical-lab-referrals/download (accessed on 1 August 2024).
- Massachusetts Department of Public Health. Guidance of the Commissioner of Public Health Regarding Operation of Nurseries, Greenhouses, Garden Centers, and Agricultural Supply Stores under the Essential Services Order. Available online: https://www.mass.gov/doc/april-28-dph-nurseries-guidance/download (accessed on 1 August 2024).
- Massachusetts Department of Public Health. Guidance Implementing the Order by the Governor Extending the Closing of Certain Workplaces and the Prohibition on Gatherings of More than 10 People. Available online: https://www.mass.gov/doc/april-28-2020-hotel-motel-guidance/download (accessed on 1 August 2024).
- Massachusetts Department of Public Health. Order Temporarily Extending COVID-19 Order No. 13 (COVID-19 order No. 32). Available online: https://www.mass.gov/doc/may-15-2020-24-hour-extension-order/download (accessed on 1 August 2024).
- Massachusetts Department of Public Health. Order Expanding Access to and Use of State Beaches and Addressing Other Outdoor Recreational Activities (COVID-19 order No. 34). Available online: https://www.mass.gov/doc/may-18-2020-expanded-beach-access/download (accessed on 1 August 2024).
- Massachusetts Department of Public Health. Order of the Commissioner of Public Health Exempting Hospitals from the Requirements of M.G.L. c.111, §231. Available online: https://www.mass.gov/doc/dph-order-nurse-staffing-updated-may-18/download (accessed on 1 August 2024).
- Massachusetts Department of Public Health. Order Clarifying the Progression of the Commonwealth’s Phased Workplace Reopening Plan and Authorizing Certain Reopening Preparations at Phase II Workplaces (COVID-19 Order No. 35). Available online: https://www.mass.gov/doc/order-preparing-for-phase-ii-reopening/download (accessed on 1 August 2024).
- Massachusetts Department of Public Health. Order Authorizing Reopening Preparations for Child Care Programs (COVID-19 order No. 36). Available online: https://www.mass.gov/doc/childcare-provider-reopening-preparedness-order/download (accessed on 1 August 2024).
- Massachusetts Department of Public Health. Revised Order Regulating Gatherings Throughout the Commonwealth (COVID-19 order No. 38). Available online: https://www.mass.gov/doc/june-6-2020-regulating-gatherings-throughout-the-commonwealth/download (accessed on 1 August 2024).
- Massachusetts Department of Public Health. Second Order Authorizing Actions to Limit in-Person Transactions at the Registry of Motor Vehicles (COVID-19 Order No. 39). Available online: https://www.mass.gov/doc/rmv-order-june-12-2020/download (accessed on 1 August 2024).
- Massachusetts Department of Public Health. Order Further Advancing the Reopening of Phase II Enterprises (COVID-19 Order No. 40). Available online: https://www.mass.gov/doc/reopening-phase-2-step-2-order/download (accessed on 1 August 2024).
- Massachusetts Department of Public Health. Order Authorizing the Reopening of Child Care Programs and Rescinding Eight COVID-19 Orders (COVID-19 order No. 41). Available online: https://www.mass.gov/doc/signed-rescission-and-childcare-reopen-order-41/download (accessed on 1 August 2024).
- Massachusetts Department of Public Health. Order Resuming State Permitting Deadlines and Continuing to Extend the Validity of Certain State Permits (COVID-19 order No. 42). Available online: https://www.mass.gov/doc/covid-19-order-42/download (accessed on 1 August 2024).
- Massachusetts Department of Public Health. Second Revised Order Regulating Gatherings Throughout the Commonwealth (COVID-19 Order No. 44). Available online: https://www.mass.gov/doc/revised-gatherings-order-july-2-2020/download (accessed on 1 August 2024).
- Massachusetts Department of Public Health. Order Regarding Services Provided in Congregate Settings by EOHHS Day Programs. Available online: https://www.mass.gov/doc/phase-3-eohhs-day-programming-order/download (accessed on 1 August 2024).
- Massachusetts Department of Public Health. Order of the Commissioner of Public Health Prohibiting Billing Uninsured Individuals for COVID-19 Testing. Available online: https://www.mass.gov/doc/signed-order-uninsured-covid-19-testing/download (accessed on 1 August 2024).
- Massachusetts Department of Public Health. Third Revised Order Regulating Gatherings Throughout the Commonwealth (COVID-19 Order No. 46). Available online: https://www.mass.gov/doc/revised-gatherings-order-august-7-2020/download (accessed on 1 August 2024).
- Massachusetts Department of Public Health. Extension of Second Order Authorizing Actions to Limit in-Person Transactions at the Registry of Motor Vehicles (COVID-19 Order No. 47). Available online: https://www.mass.gov/doc/rmv-extension-order/download (accessed on 1 August 2024).
- Massachusetts Department of Public Health. Order Amending the Administration of Penalties Issued Pursuant to Certain COVID-19 Orders (COVID-19 Order No. 48). Available online: https://www.mass.gov/doc/signed-amended-penalty-provision-no-48/download (accessed on 1 August 2024).
- Massachusetts Department of Public Health. Order Authorizing Certain Program Adjustments to Support Families with Students Engaged in Remote Learning (COVID-19 Order No. 49). Available online: https://www.mass.gov/doc/august-28-2020-supporting-parents-with-children-in-remote-learning/download (accessed on 1 August 2024).
- Massachusetts Department of Public Health. Order of the Commissioner of Public Health for Farmers Markets, Farm Stands, and CSAs. Available online: https://www.mass.gov/doc/farmers-market-order-update/download (accessed on 1 August 2024).
- Massachusetts Department of Public Health. Order Making Certain Phase III Adjustments (COVID-19 Order No. 50). Available online: https://www.mass.gov/doc/september-10-2020-order-making-certain-phase-iii-adjustments/download (accessed on 1 August 2024).
- Massachusetts Department of Public Health. Order Further Advancing Phase III Reopenings in Municipalities with Reduced Incidence of COVID-19 Infection (COVID-19 Order No. 51). Available online: https://www.mass.gov/doc/governors-covid-19-order-51/download (accessed on 1 August 2024).
- Massachusetts Department of Public Health. Phase III, Step 2 Order Regulating Gatherings in the Commonwealth (COVID-19 Order No. 52). Available online: https://www.mass.gov/doc/governors-covid-19-order-52/download (accessed on 1 August 2024).
- Massachusetts Department of Public Health. Order of the Commissioner of Public Health Regarding the Requirement for Personnel at Assisted Living Residences to be Vaccinated Against Influenza Virus. Available online: https://www.mass.gov/doc/flu-vaccine-order-alr/download (accessed on 1 August 2024).
- Massachusetts Department of Public Health. Revised Order of the Commissioner of Public Health Regarding Operation of Indoor Ice Rinks and Indoor Ice Skating and Hockey Facilities. Available online: https://www.mass.gov/doc/dph-order-operation-of-indoor-ice-skating-rinks-and-indoor-ice-hockey/download (accessed on 1 August 2024).
- Massachusetts Department of Public Health. Order of the Commissioner of Public Health Regarding Control of COVID-19 in Long-Term Care Facilities. Available online: https://www.mass.gov/doc/control-of-covid-19-in-long-term-care-facilities/download (accessed on 1 August 2024).
- Massachusetts Department of Public Health. Order Revising Provisions for Phase III Reopenings in Municipalities with Reduced Incidence of COVID-19 Infection (COVID-19 Order No. 56). Available online: https://www.mass.gov/doc/covid-19-order-56/download (accessed on 1 August 2024).
- Massachusetts Department of Public Health. Order of the Commissioner of Public Health Regarding Scheduling and Performance of Elective Invasive Procedures. Available online: https://www.mass.gov/doc/dph-elective-surgery-order/download (accessed on 1 August 2024).
- Massachusetts Department of Public Health. Order of the Commissioner of Public Health CLIA-Waived COVID-19 Testing in Congregate Care Sites. Available online: https://www.mass.gov/doc/dph-congregate-care-covid-testing-licensure-order/download (accessed on 1 August 2024).
- Massachusetts Department of Public Health. Further Revised Order Regulating Gatherings in the Commonwealth (COVID-19 Order No. 57). Available online: https://www.mass.gov/doc/covid-19-order-57-rescinded-sections/download (accessed on 1 August 2024).
- Massachusetts Department of Public Health. Order Returning All Municipalities to Phase III, Step 1 COVID-19 Safety Rules (COVID-19 Order No. 58). Available online: https://www.mass.gov/doc/covid-19-order-58/download (accessed on 1 August 2024).
- Massachusetts Department of Public Health. Revised Order of the Commissioner of Public Health Regarding the Requirement for Certain Personnel to be Vaccinated Against Influenza Virus. Available online: https://www.mass.gov/doc/order-requiring-certain-personnel-ltc-adh-dialysis-to-get-flu-vaccine-revised-12222020/download (accessed on 1 August 2024).
- Massachusetts Department of Public Health. Order Temporarily Applying Further Capacity Restrictions to Statewide COVID-19 Safety Rules (COVID-19 Order No. 59). Available online: https://www.mass.gov/doc/covid-19-order-59/download (accessed on 1 August 2024).
- Massachusetts Department of Public Health. Revised Order of the Commissioner of Public Health Regarding the Requirement for Certain Staff to Be Vaccinated Against Influenza Virus. Available online: https://www.mass.gov/doc/flu-vaccine-order-for-personnel-working-at-certain-state-facilities-revised-12-22-2020/download (accessed on 1 August 2024).




| Label | Start Date | Executive Order | Policy Declaration | Details | End Date |
|---|---|---|---|---|---|
| A | 15 March 2020 | Executive Order no. 3 [22], Executive Order no. 5 [23], Executive Order no. 13 [24]. | School closure and gathering restrictions | All public and private schools were closed. Dining at restaurants was prohibited, and gatherings of more than 25 people were banned. A stay-at-home advisory was issued. Nonessential businesses were closed; restaurants were limited to takeout and delivery services; and gatherings of more than 10 people were prohibited. | Executive Order no. 3 remained in effect until 6 April 2020. Executive Order no. 5 was rescinded by Order no. 13 effective 23 March 2020. Executive Order no. 13 was rescinded by Order no. 37 effective 6 June 2020. |
| B | 6 May 2020 | Executive Order no. 31 [25]. | Mask mandate | Face coverings were required in public. | Rescinded by Order no. 55 effective 6 November 2020. |
| C | 18 May 2020 | Executive Order no. 33 [26]. | Re-opening (Phase 1) | A re-opening plan was released, and the stay-at-home advisory was renamed the “Safer at Home” advisory. The plan allowed places of worship, essential businesses, manufacturing facilities, and construction sites to re-open under strict safety guidelines. Hospitals and health centers were also permitted to re-open for urgent preventive care and treatment services for high-risk patients. | Rescinded by Order no. 69 effective 28 May 2021. |
| D | 8 June 2020 | Executive Order no. 37 [27]. | Re-opening (Phase 2) | Massachusetts entered Phase Two of the re-opening plan. | Rescinded by Order no. 69 effective 28 May 2021. |
| E | 6 July 2020 | Executive Order no. 43 [28]. | Re-opening (Phase 3) | Massachusetts entered Phase Three of the re-opening plan. | Rescinded by Order no. 69 effective 28 May 2021. |
| F | 1 August 2020 | Executive Order no. 45 [29]. | Travel and quarantine requirements | New travel and quarantine requirements for visitors and returning residents were announced. Travelers and residents returning from out of state were required to quarantine for 14 days unless arriving from an exempt state or with proof of a negative COVID-19 test within the past 72 h. | Rescinded by COVID-19 Order no. 66 effective 22 March 2021. |
| G | 6 November 2020 | Executive Order no. 53 [30], Executive Order no. 54 [31], Executive Order no. 55 [32]. | Curfew and gathering restrictions | A statewide curfew for businesses, stricter limits on indoor gatherings, and an expanded face mask mandate were introduced. The curfew required businesses such as theaters and casinos to close by 9:30 p.m., and restaurants to stop providing table service at the same time. Indoor gatherings at private homes were limited to 10 people, and outdoor gatherings to 25. All social events, whether indoors or outdoors, were also required to end by 9:30 p.m. Face coverings were required in all public settings for individuals over the age of five, even when social distancing could be maintained. | Executive Order no. 53 was rescinded by Order no. 69 effective 28 May 2021. Executive Order no. 54 was superseded by Order no. 57 effective 13 December 2020. Executive Order no. 55 was rescinded by Order no. 67 effective 30 April 2021. |
Disclaimer/Publisher’s Note: The statements, opinions and data contained in all publications are solely those of the individual author(s) and contributor(s) and not of MDPI and/or the editor(s). MDPI and/or the editor(s) disclaim responsibility for any injury to people or property resulting from any ideas, methods, instructions or products referred to in the content. |
© 2026 by the authors. Licensee MDPI, Basel, Switzerland. This article is an open access article distributed under the terms and conditions of the Creative Commons Attribution (CC BY) license.
Share and Cite
Lee, I.S.-T.; Hua, X.; Kersey, J.X.; Shioda, K.; Chowell, G.; Fung, I.C.-H. Geographical Variation in SARS-CoV-2 Transmission Potential in Massachusetts. Epidemiologia 2026, 7, 15. https://doi.org/10.3390/epidemiologia7010015
Lee IS-T, Hua X, Kersey JX, Shioda K, Chowell G, Fung IC-H. Geographical Variation in SARS-CoV-2 Transmission Potential in Massachusetts. Epidemiologia. 2026; 7(1):15. https://doi.org/10.3390/epidemiologia7010015
Chicago/Turabian StyleLee, Ina Sze-Ting, Xinyi Hua, Jing Xiong Kersey, Kayoko Shioda, Gerardo Chowell, and Isaac Chun-Hai Fung. 2026. "Geographical Variation in SARS-CoV-2 Transmission Potential in Massachusetts" Epidemiologia 7, no. 1: 15. https://doi.org/10.3390/epidemiologia7010015
APA StyleLee, I. S.-T., Hua, X., Kersey, J. X., Shioda, K., Chowell, G., & Fung, I. C.-H. (2026). Geographical Variation in SARS-CoV-2 Transmission Potential in Massachusetts. Epidemiologia, 7(1), 15. https://doi.org/10.3390/epidemiologia7010015

