Sign in to use this feature.

Years

Between: -

Subjects

remove_circle_outline
remove_circle_outline
remove_circle_outline
remove_circle_outline
remove_circle_outline
remove_circle_outline
remove_circle_outline

Journals

Article Types

Countries / Regions

Search Results (27)

Search Parameters:
Keywords = non-contact infrared thermometers

Order results
Result details
Results per page
Select all
Export citation of selected articles as:
15 pages, 2499 KB  
Article
InAsSb Photodiode-Based Infrared Radiation Thermometer for the Investigation of Droplet Surface Temperature Dynamics Within an Enclosed Combustion Chamber
by Louis Karapateas, Emilios Leonidas, Xiangfei Meng, Yufeng Lai, Yang Zhang, Jon R. Willmott and Matthew J. Hobbs
Sensors 2025, 25(18), 5780; https://doi.org/10.3390/s25185780 - 16 Sep 2025
Viewed by 1267
Abstract
This study presents a novel approach to analysing the early stages of the combustion process by measuring the surface temperature of a kerosene droplet from its point of ignition through to its evaporation. An indium arsenide antimonide (InAsSb) photodiode-based infrared radiation thermometer (IRT), [...] Read more.
This study presents a novel approach to analysing the early stages of the combustion process by measuring the surface temperature of a kerosene droplet from its point of ignition through to its evaporation. An indium arsenide antimonide (InAsSb) photodiode-based infrared radiation thermometer (IRT), operating between 3 μm and 11 μm in wavelength, was designed to enable non-contact, low-temperature sensing with an acquisition time of 500 μs. Integrated with a data acquisition unit (DAQ), the instrument captures the transient combustion stages occurring below the droplet’s boiling point of 300 °C. The instrument was assessed against industry standards and demonstrated a measurement uncertainty of ±2 °C, confirming suitability within the performance bounds of commercial instrumentation. The IRT was deployed to measure the temperature of a kerosene droplet within an enclosed combustion chamber upon ignition, in direct comparison with a contact thermocouple. The instrument demonstrated its capability to measure the droplet’s surface temperature changes throughout its early-stage combustion. Furthermore, the wavelength specificity of the IRT eliminates thermal interference from the subsequent flame, a capability which contact thermocouples lack, thereby enabling measurement of the droplet’s temperature in isolation. This study focuses on single-droplet Jet A kerosene combustion under controlled conditions, using a transferable methodology adaptable to other fuels and environments. It supports the use of IRT for non-contact temperature measurement of fuel droplets and early-stage combustion, aiding fuel characterisation and the development of future fuels such as SAF. Full article
(This article belongs to the Special Issue Optical Sensors for Industrial Applications)
Show Figures

Figure 1

8 pages, 940 KB  
Article
Comparison of Digital Rectal Thermometry and a Non-Contact Veterinary Infrared Thermometer in Cats: Identifying Alternative Sites to Rectal Measurement
by Carlotta Tombolani, Daniela Alberghina, Mauro Gioè and Fausto Quintavalla
Vet. Sci. 2025, 12(7), 618; https://doi.org/10.3390/vetsci12070618 - 25 Jun 2025
Viewed by 2547
Abstract
Background: Rectal temperature measurement in cats, while crucial, can cause discomfort and stress. This study evaluated non-contact infrared thermometry as a less invasive alternative. Methods: A total of 95 cats were enrolled in this study. The cats were categorized into three age groups: [...] Read more.
Background: Rectal temperature measurement in cats, while crucial, can cause discomfort and stress. This study evaluated non-contact infrared thermometry as a less invasive alternative. Methods: A total of 95 cats were enrolled in this study. The cats were categorized into three age groups: Group I (n = 20 kittens, 2–6 months), Group II (n = 34 young cats, 7–24 months), and Group III (n = 41 adult cats, >24 months). Results: The mean rectal temperature in cats was approximately 38 °C, which was significantly higher than both ocular temperature (p < 0.0001) and auricular pinna temperature (p < 0001). No statistically significant difference was found between rectal and perineal temperatures, nor in body temperatures between the age groups. Ocular temperature (p < 0.05) and auricular temperature (p < 0.0001) were influenced by ambient temperature. Perineal infrared temperatures showed a strong correlation and low bias compared to rectal temperature and were not affected by ambient temperature. Conclusions: Non-contact infrared thermometry offers advantages for feline temperature monitoring. Perineal infrared temperatures appear to be a useful, non-invasive alternative to rectal measurements in cats. Full article
(This article belongs to the Section Veterinary Biomedical Sciences)
Show Figures

Figure 1

15 pages, 2658 KB  
Article
Si APD-Based High Speed Infrared Radiation Thermometry for Analysing the Temperature Instability of a Combustion Chamber
by Louis Karapateas, Yufeng Lai, Xiangfei Meng, Yang Zhang, Jon R. Willmott and Matthew J. Hobbs
Sensors 2024, 24(23), 7780; https://doi.org/10.3390/s24237780 - 5 Dec 2024
Cited by 3 | Viewed by 1905
Abstract
This study introduces a novel approach to analysing the combustion process using a high-speed, non-contact, optical fibre-coupled Si avalanche photodiode (APD)-based infrared radiation thermometer (IRT). The Si APD-IRT, combined with an optimised field-programmable gate array (FPGA)-based digital design, achieves a response time of [...] Read more.
This study introduces a novel approach to analysing the combustion process using a high-speed, non-contact, optical fibre-coupled Si avalanche photodiode (APD)-based infrared radiation thermometer (IRT). The Si APD-IRT, combined with an optimised field-programmable gate array (FPGA)-based digital design, achieves a response time of 1 µs, faster than commercially available instruments. Our instrument captures the entire ignition and reignition cycle of a Jet A kerosene droplet with high temporal precision within a combustion chamber, a feat impossible with traditional thermocouples. The FPGA module was validated with a 1 µs data acquisition time, using a 40 MHz onboard clock, achieving throughput of 0.64 Gbps with efficiencies of 0.062 Mbps/slice in lookup tables (LUTs), confirming a low-area design compared to conventional FPGAs. The IRT achieves a root mean square (RMS) noise specification of 0.5 °C at a 1 µs acquisition time and a target temperature of approximately 1000 °C. A measurement uncertainty of within ±0.25% °C + 2 °C confirms that it lies within the bounds of commercial instrumentations. Our instrument was demonstrated to capture transient temperature fluctuations during combustion and characterises Jet A kerosene fuel droplets, laying the foundation for understanding sustainable aviation fuels (SAFs) and their role in transitioning from aviation fossil fuels, enabling effective research and development. Full article
(This article belongs to the Special Issue Application and Technology Trends in Optoelectronic Sensors)
Show Figures

Figure 1

9 pages, 963 KB  
Article
Evaluation of Non-Contact Device to Measure Body Temperature in Sheep
by Carla Ibáñez, María Moreno-Manrique, Aránzazu Villagrá, Joel Bueso-Ródenas and Carlos Mínguez
Animals 2024, 14(1), 98; https://doi.org/10.3390/ani14010098 - 27 Dec 2023
Cited by 5 | Viewed by 3977
Abstract
Non-contact devices have been used in the measurement of body temperature in livestock production as a tool for testing disease in different species. However, there are few studies about the variation and correlations in body temperature between rectal temperature (RT) and non-contact devices [...] Read more.
Non-contact devices have been used in the measurement of body temperature in livestock production as a tool for testing disease in different species. However, there are few studies about the variation and correlations in body temperature between rectal temperature (RT) and non-contact devices such as non-contact infrared thermometers (NCIT) and thermal imaging/infrared thermography (IRT). The objective of this work was to evaluate the accuracy of non-contact devices to measure the body temperature in sheep, considering six body regions and the possibility of implementing these systems in herd management. The experiment was carried out at the experimental farm of the Catholic University of Valencia, located in the municipality of Massanassa in July of 2021, with 72 dry manchega ewes, and we compared the rectal temperature with two types of non-contact infrared devices for the assessment of body temperature in healthy sheep. Except for the temperature taken by NCIT at the muzzle, the correlation between RT vs. NCIT or IRT showed a low significance or was difficult to use for practical flock management purposes. In addition, the variability between devices was high, which implies that measurements should be interpreted with caution in warm climates and open pens, such as most sheep farms in the Spanish Mediterranean area. The use of infrared cameras devices to assess body temperature may have a promising future, but in order to be widely applied as a routine management method on farms, the system needs to become cheaper, simpler in terms of measurements and quicker in terms of analyzing results. Full article
Show Figures

Figure 1

14 pages, 3710 KB  
Article
Non-Contact Face Temperature Measurement by Thermopile-Based Data Fusion
by Faraz Bhatti, Grischan Engel, Joachim Hampel, Chaimae Khalil, Andreas Reber, Stefan Kray and Thomas Greiner
Sensors 2023, 23(18), 7680; https://doi.org/10.3390/s23187680 - 6 Sep 2023
Cited by 1 | Viewed by 3353
Abstract
Thermal imaging cameras and infrared (IR) temperature measurement devices act as state-of-the-art techniques for non-contact temperature determination of the skin surface. The former is cost-intensive in many cases for widespread application, and the latter requires manual alignment to the measuring point. Due to [...] Read more.
Thermal imaging cameras and infrared (IR) temperature measurement devices act as state-of-the-art techniques for non-contact temperature determination of the skin surface. The former is cost-intensive in many cases for widespread application, and the latter requires manual alignment to the measuring point. Due to this background, this paper proposes a new method for automated, non-contact, and area-specific temperature measurement of the facial skin surface. It is based on the combined use of a low-cost thermopile sensor matrix and a 2D image sensor. The temperature values as well as the 2D image data are fused using a parametric affine transformation. Based on face recognition, this allows temperature values to be assigned to selected facial regions and used specifically to determine the skin surface temperature. The advantages of the proposed method are described. It is demonstrated by means of a participant study that the temperature absolute values, which are achieved without manual alignment in an automated manner, are comparable to a commercially available IR-based forehead thermometer. Full article
Show Figures

Figure 1

28 pages, 3131 KB  
Systematic Review
Non-Contact Infrared Thermometers and Thermal Scanners for Human Body Temperature Monitoring: A Systematic Review
by Yuanzhe Zhao and Jeroen H. M. Bergmann
Sensors 2023, 23(17), 7439; https://doi.org/10.3390/s23177439 - 26 Aug 2023
Cited by 47 | Viewed by 18935
Abstract
In recent years, non-contact infrared thermometers (NCITs) and infrared thermography (IRT) have gained prominence as convenient, non-invasive tools for human body temperature measurement. Despite their widespread adoption in a range of settings, there remain questions about their accuracy under varying conditions. This systematic [...] Read more.
In recent years, non-contact infrared thermometers (NCITs) and infrared thermography (IRT) have gained prominence as convenient, non-invasive tools for human body temperature measurement. Despite their widespread adoption in a range of settings, there remain questions about their accuracy under varying conditions. This systematic review sought to critically evaluate the performance of NCITs and IRT in body temperature monitoring, synthesizing evidence from a total of 72 unique settings from 32 studies. The studies incorporated in our review ranged from climate-controlled room investigations to clinical applications. Our primary findings showed that NCITs and IRT can provide accurate and reliable body temperature measurements in specific settings and conditions. We revealed that while both NCITs and IRT displayed a consistent positive correlation with conventional, contact-based temperature measurement tools, NCITs demonstrated slightly superior accuracy over IRT. A total of 29 of 50 settings from NCIT studies and 4 of 22 settings from IRT studies achieved accuracy levels within a range of ±0.3 °C. Furthermore, we found that several factors influenced the performance of these devices. These included the measurement location, the type of sensor, the reference and tool, individual physiological attributes, and the surrounding environmental conditions. Our research underscores the critical need for further studies in this area to refine our understanding of these influential factors and to develop standardized guidelines for the use of NCITs and IRT. Full article
(This article belongs to the Special Issue Sensor Technologies for Human Health Monitoring)
Show Figures

Figure 1

19 pages, 1844 KB  
Review
Applications of Infrared Thermography in Ophthalmology
by Rosario Gulias-Cañizo, Maria Elisa Rodríguez-Malagón, Loubette Botello-González, Valeria Belden-Reyes, Francisco Amparo and Manuel Garza-Leon
Life 2023, 13(3), 723; https://doi.org/10.3390/life13030723 - 8 Mar 2023
Cited by 22 | Viewed by 7397
Abstract
Body temperature is one of the key vital signs for determining a disease’s severity, as it reflects the thermal energy generated by an individual’s metabolism. Since the first study on the relationship between body temperature and diseases by Carl Reinhold August Wunderlich at [...] Read more.
Body temperature is one of the key vital signs for determining a disease’s severity, as it reflects the thermal energy generated by an individual’s metabolism. Since the first study on the relationship between body temperature and diseases by Carl Reinhold August Wunderlich at the end of the 19th century, various forms of thermometers have been developed to measure body temperature. Traditionally, methods for measuring temperature can be invasive, semi-invasive, and non-invasive. In recent years, great technological advances have reduced the cost of thermographic cameras, which allowed extending their use. Thermal cameras capture the infrared radiation of the electromagnetic spectrum and process the images to represent the temperature of the object under study through a range of colors, where each color and its hue indicate a previously established temperature. Currently, cameras have a sensitivity that allows them to detect changes in temperature as small as 0.01 °C. Along with its use in other areas of medicine, thermography has been used at the ocular level for more than 50 years. In healthy subjects, the literature reports that the average corneal temperature ranges from 32.9 to 36 °C. One of the possible sources of variability in normal values is age, and other possible sources of variation are gender and external temperature. In addition to the evaluation of healthy subjects, thermography has been used to evaluate its usefulness in various eye diseases, such as Graves’ orbitopathy, and tear duct obstruction for orbital diseases. The ocular surface is the most studied area. Ocular surface temperature is influenced by multiple conditions, one of the most studied being dry eye; other diseases studied include allergic conjunctivitis and pterygium as well as systemic diseases such as carotid artery stenosis. Among the corneal diseases studied are keratoconus, infectious keratitis, corneal graft rejection, the use of scleral or soft contact lenses, and the response to refractive or cataract surgery. Other diseases where thermographic features have been reported are glaucoma, diabetic retinopathy, age-related macular degeneration, retinal vascular occlusions, intraocular tumors as well as scleritis, and other inflammatory eye diseases. Full article
(This article belongs to the Special Issue Eye Diseases: Diagnosis and Treatment)
Show Figures

Figure 1

11 pages, 2919 KB  
Article
Multi-Mode Lanthanide-Doped Ratiometric Luminescent Nanothermometer for Near-Infrared Imaging within Biological Windows
by Hao Li, Esmaeil Heydari, Yinyan Li, Hui Xu, Shiqing Xu, Liang Chen and Gongxun Bai
Nanomaterials 2023, 13(1), 219; https://doi.org/10.3390/nano13010219 - 3 Jan 2023
Cited by 15 | Viewed by 3730
Abstract
Owing to its high reliability and accuracy, the ratiometric luminescent thermometer can provide non-contact and fast temperature measurements. In particular, the nanomaterials doped with lanthanide ions can achieve multi-mode luminescence and temperature measurement by modifying the type of doped ions and excitation light [...] Read more.
Owing to its high reliability and accuracy, the ratiometric luminescent thermometer can provide non-contact and fast temperature measurements. In particular, the nanomaterials doped with lanthanide ions can achieve multi-mode luminescence and temperature measurement by modifying the type of doped ions and excitation light source. The better penetration of the near-infrared (NIR) photons can assist bio-imaging and replace thermal vision cameras for photothermal imaging. In this work, we prepared core–shell cubic phase nanomaterials doped with lanthanide ions, with Ba2LuF7 doped with Er3+/Yb3+/Nd3+ as the core and Ba2LaF7 as the coating shell. The nanoparticles were designed according to the passivation layer to reduce the surface energy loss and enhance the emission intensity. Green upconversion luminescence can be observed under both 980 nm and 808 nm excitation. A single and strong emission band can be obtained under 980 nm excitation, while abundant and weak emission bands appear under 808 nm excitation. Meanwhile, multi-mode ratiometric optical thermometers were achieved by selecting different emission peaks in the NIR window under 808 nm excitation for non-contact temperature measurement at different tissue depths. The results suggest that our core–shell NIR nanoparticles can be used to assist bio-imaging and record temperature for biomedicine. Full article
Show Figures

Figure 1

12 pages, 810 KB  
Article
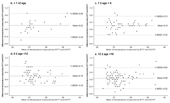
Clinical Accuracy of Non-Contact Forehead Infrared Thermometer Measurement in Children: An Observational Study
by Yeon-Mi Kim, Myung-Roul Jang, Ju-Ryoung Moon, Goeun Park, Ye-Jin An and Jeong-Meen Seo
Children 2022, 9(9), 1389; https://doi.org/10.3390/children9091389 - 14 Sep 2022
Cited by 9 | Viewed by 11615
Abstract
We evaluated the clinical reliability and utility of temperature measurements using no-contact forehead infrared thermometers (NCFITs) by comparing their temperature measurements with those obtained using infrared tympanic thermometers (IRTTs) in children. In this observational, prospective, and cross-sectional study, we enrolled 255 children (aged [...] Read more.
We evaluated the clinical reliability and utility of temperature measurements using no-contact forehead infrared thermometers (NCFITs) by comparing their temperature measurements with those obtained using infrared tympanic thermometers (IRTTs) in children. In this observational, prospective, and cross-sectional study, we enrolled 255 children (aged 1 month to 18 years) from the pediatric surgery ward at a tertiary medical center in Korea. The mean age of the children was 9.05 ± 5.39 years, and 54.9% were boys. The incidence rate of fever, defined as an IRTT reading of ≥38.0 °C, was 15.7%. The ICC coefficient for the assessment of agreement between temperatures recorded by the NCFIT and IRTT was 0.87, and the κ-coefficient was 0.83. The bias and 95% limits of agreement were 0.15 °C (−0.43 to 0.73). For an accurate diagnosis of fever (≥38 °C), the false-negative rate was much lower, but the false-positive rate was higher, especially in 6-year-old children. Therefore, NCFITs can be used to screen children for fever. However, a secondary check is required using another thermometer when the child’s temperature is >38 °C. NCFITs are proposed for screening but not for measuring the temperature. For the latter, an accurate and reliable thermometer shall be used. Full article
Show Figures

Figure 1

19 pages, 6680 KB  
Article
Feasibility of Obtaining Surface Layer Moisture Flux Using an IR Thermometer
by Steven Fiorino, Lance Todorowski, Jaclyn Schmidt, Yogendra Raut, Kevin Keefer and Jacob Margraf
Appl. Sci. 2022, 12(10), 5225; https://doi.org/10.3390/app12105225 - 21 May 2022
Cited by 4 | Viewed by 3407
Abstract
This paper evaluates the feasibility of a method using a single hand-held infrared (IR) thermometer and a mini tower of wet and dry paper towels to psychometrically obtain surface layer temperature and moisture gradients and fluxes. Sling Psychrometers have long been standard measuring [...] Read more.
This paper evaluates the feasibility of a method using a single hand-held infrared (IR) thermometer and a mini tower of wet and dry paper towels to psychometrically obtain surface layer temperature and moisture gradients and fluxes. Sling Psychrometers have long been standard measuring devices for quantifying the thermodynamics of near-surface atmospheric gas–vapor mixtures, specifically moisture parameters. However, these devices are generally only used to measure temperature and humidity at one near-surface level. Multiple self-aspirating psychrometers can be used in a vertical configuration to measure temperature and moisture gradients and fluxes in the first 1–2 m of the surface layer. This study explores a way to make multiple vertical psychrometric measurements with a single non-contact IR temperature sensor rather than using two in situ thermometers at each level. The surface layer dry- and wet-bulb temperatures obtained using an IR Thermometer are compared to Kestrel 4000 Weather Meter and Bacharach Sling Psychrometer measurements under various atmospheric conditions and surface types to test the viability of the method. To evaluate the results obtained using this new approach, standard meteorological surface data are collected during each experiment, and moisture parameters are derived via psychrometric equations. The results indicate that, not only is the method possible and practical, but they suggest that the IR Thermometer method may provide more surface layer temperature and moisture gradient and flux sensitivity than other single instrument methods. Full article
(This article belongs to the Section Environmental Sciences)
Show Figures

Figure 1

12 pages, 1364 KB  
Article
Short Communication: Use of Infrared Thermometers for Cutaneous Temperature Recording: Agreement with the Rectal Temperature in Felis catus
by Claudia Giannetto, Giuseppe Acri, Melissa Pennisi, Giuseppe Piccione, Francesca Arfuso, Annastella Falcone, Elisabetta Giudice and Simona Di Pietro
Animals 2022, 12(10), 1275; https://doi.org/10.3390/ani12101275 - 16 May 2022
Cited by 7 | Viewed by 5823
Abstract
In veterinary medicine, the gold standard for assessing body temperature is rectal temperature assessment. Considering that this procedure is stressful for many species, in particular for cats, it could be clinically important to consider an alternative approach for the monitoring of core body [...] Read more.
In veterinary medicine, the gold standard for assessing body temperature is rectal temperature assessment. Considering that this procedure is stressful for many species, in particular for cats, it could be clinically important to consider an alternative approach for the monitoring of core body temperature. The aim of this study was to test if cutaneous temperature measurements by means of different infrared thermometers are in agreement with the most commonly used method for body temperature measurement in cats. The cutaneous temperature was recorded in the jugular, shoulder, rib, flank, and inner thigh, using three different non-contact infrared thermometers (IR1, IR2, and IR3) in 20 cats. The cutaneous temperature was then compared to the rectal temperature, recorded by means of a digital thermometer. The obtained data indicated that the cutaneous temperature recorded by the infrared thermometers was not in agreement with the data recorded by the digital thermometer in the rectum. In cats, the use of non-contact infrared thermometers gave no reproducible or constant data to justify their application for the recording of body temperature instead of rectal temperature recording. In addition, the infrared temperature measurement devices generated results that were not in good agreement among themselves, providing a novel result of clinical importance. Full article
(This article belongs to the Section Veterinary Clinical Studies)
Show Figures

Figure 1

12 pages, 2550 KB  
Article
Comparative Analysis of Human Body Temperatures Measured with Noncontact and Contact Thermometers
by Patrycja Dolibog, Barbara Pietrzyk, Klaudia Kierszniok and Krzysztof Pawlicki
Healthcare 2022, 10(2), 331; https://doi.org/10.3390/healthcare10020331 - 9 Feb 2022
Cited by 17 | Viewed by 7935
Abstract
Body temperature measurement is one of the basic methods in clinical diagnosis. The problems of thermometry—interpretation of the accuracy and repeatability of various types of thermometers—are still being discussed, especially during the current pandemic in connection with the SARS-CoV-2 virus responsible for causing [...] Read more.
Body temperature measurement is one of the basic methods in clinical diagnosis. The problems of thermometry—interpretation of the accuracy and repeatability of various types of thermometers—are still being discussed, especially during the current pandemic in connection with the SARS-CoV-2 virus responsible for causing the COVID-19 disease. The aim of the study was to compare surface temperatures of the human body measured by various techniques, in particular a noncontact thermometer (infrared) and contact thermometers (mercury, mercury-free, electronic). The study included 102 randomly selected healthy women and men (age 18–79 years). The Bland–Altman method was used to estimate the 95% reproducibility coefficient, i.e., to assess the degree of conformity between different attempts. Temperatures measured with contact thermometers in the armpit are higher than temperatures measured without contact at the frontal area of the head. The methods used to measure with contact thermometers and a noncontact infrared thermometer statistically showed high measurement reliability. In order to correctly interpret the result of measuring human body temperature, it is necessary to indicate the place of measurement and the type of thermometer used. Full article
Show Figures

Figure 1

12 pages, 941 KB  
Article
Are Non-Contact Thermometers an Option in Anaesthesia? A Narrative Review on Thermometry for Perioperative Medicine
by Andre van Zundert, Tonchanok Intaprasert, Floris Wiepking and Victoria Eley
Healthcare 2022, 10(2), 219; https://doi.org/10.3390/healthcare10020219 - 24 Jan 2022
Cited by 2 | Viewed by 4511
Abstract
Measurement of core body temperature—clinical thermometry—provides critical information to anaesthetists during perioperative care. The value of this information is determined by the accuracy of the measurement device used. This accuracy must be maintained despite external influences such as the operating room temperature and [...] Read more.
Measurement of core body temperature—clinical thermometry—provides critical information to anaesthetists during perioperative care. The value of this information is determined by the accuracy of the measurement device used. This accuracy must be maintained despite external influences such as the operating room temperature and the patient’s thermoregulatory defence. Presently, perioperative thermometers utilise invasive measurement sites. The public health challenge of the COVID-19 pandemic, however, has highlighted the use of non-invasive, non-contact infrared thermometers. The aim of this article is to review common existing thermometers used in perioperative care, their mechanisms of action, accuracy, and practicality in comparison to infrared non-contact thermometry used for population screening during a pandemic. Evidence currently shows that contact thermometry varies in accuracy and practicality depending on the site of measurements and the method of sterilisation or disposal between uses. Despite the benefits of being a non-invasive and non-contact device, infrared thermometry used for population temperature screening lacks the accuracy required in perioperative medicine. Inaccuracy may be a consequence of uncontrolled external temperatures, the patient’s actions prior to measurement, distance between the patient and the thermometer, and the different sites of measurement. A re-evaluation of non-contact thermometry is recommended, requiring new studies in more controlled environments. Full article
Show Figures

Figure 1

25 pages, 7020 KB  
Article
Infrared Thermography for Measuring Elevated Body Temperature: Clinical Accuracy, Calibration, and Evaluation
by Quanzeng Wang, Yangling Zhou, Pejman Ghassemi, David McBride, Jon P. Casamento and T. Joshua Pfefer
Sensors 2022, 22(1), 215; https://doi.org/10.3390/s22010215 - 29 Dec 2021
Cited by 33 | Viewed by 12157
Abstract
Infrared thermographs (IRTs) implemented according to standardized best practices have shown strong potential for detecting elevated body temperatures (EBT), which may be useful in clinical settings and during infectious disease epidemics. However, optimal IRT calibration methods have not been established and the clinical [...] Read more.
Infrared thermographs (IRTs) implemented according to standardized best practices have shown strong potential for detecting elevated body temperatures (EBT), which may be useful in clinical settings and during infectious disease epidemics. However, optimal IRT calibration methods have not been established and the clinical performance of these devices relative to the more common non-contact infrared thermometers (NCITs) remains unclear. In addition to confirming the findings of our preliminary analysis of clinical study results, the primary intent of this study was to compare methods for IRT calibration and identify best practices for assessing the performance of IRTs intended to detect EBT. A key secondary aim was to compare IRT clinical accuracy to that of NCITs. We performed a clinical thermographic imaging study of more than 1000 subjects, acquiring temperature data from several facial locations that, along with reference oral temperatures, were used to calibrate two IRT systems based on seven different regression methods. Oral temperatures imputed from facial data were used to evaluate IRT clinical accuracy based on metrics such as clinical bias (Δcb), repeatability, root-mean-square difference, and sensitivity/specificity. We proposed several calibration approaches designed to account for the non-uniform data density across the temperature range and a constant offset approach tended to show better ability to detect EBT. As in our prior study, inner canthi or full-face maximum temperatures provided the highest clinical accuracy. With an optimal calibration approach, these methods achieved a Δcb between ±0.03 °C with standard deviation (σΔcb) less than 0.3 °C, and sensitivity/specificity between 84% and 94%. Results of forehead-center measurements with NCITs or IRTs indicated reduced performance. An analysis of the complete clinical data set confirms the essential findings of our preliminary evaluation, with minor differences. Our findings provide novel insights into methods and metrics for the clinical accuracy assessment of IRTs. Furthermore, our results indicate that calibration approaches providing the highest clinical accuracy in the 37–38.5 °C range may be most effective for measuring EBT. While device performance depends on many factors, IRTs can provide superior performance to NCITs. Full article
(This article belongs to the Special Issue Contactless Sensors for Healthcare)
Show Figures

Figure 1

4 pages, 380 KB  
Proceeding Paper
Study on Human Temperature Measurement by Infrared Thermography
by Michal Švantner, Vladislav Lang, Tomáš Kohlschutter, Jiří Skála, Milan Honner, Lukáš Muzika and Eliška Kosová
Eng. Proc. 2021, 8(1), 4; https://doi.org/10.3390/engproc2021008004 - 17 Nov 2021
Cited by 4 | Viewed by 2801
Abstract
Increased temperature in humans is one of symptoms of infectious diseases. Infrared thermography is a popular method for measuring temperature as it offers fast and non-contact temperature measurement. However, and despite many advantages, its real accuracy for human temperature measurement is not sufficient [...] Read more.
Increased temperature in humans is one of symptoms of infectious diseases. Infrared thermography is a popular method for measuring temperature as it offers fast and non-contact temperature measurement. However, and despite many advantages, its real accuracy for human temperature measurement is not sufficient in many cases. This study was focused on a statistical evaluation of human temperature measurement reliability. The goal of the experiment was to find limitations of thermography at near-laboratory conditions. More than 300 measurements were made simultaneously by a thermography and an arm-pit thermometer on a closed group of persons during several months. The results showed that standard deviations of the performed armpit and thermographic temperature measurement were about 0.15 and 0.36 °C, respectively, but that a temperature shift and a dependence on ambient conditions can occur due to the used experimental configuration. Full article
Show Figures

Figure 1

Back to TopTop