Sign in to use this feature.

Years

Between: -

Subjects

remove_circle_outline
remove_circle_outline
remove_circle_outline
remove_circle_outline
remove_circle_outline
remove_circle_outline
remove_circle_outline
remove_circle_outline
remove_circle_outline

Journals

remove_circle_outline
remove_circle_outline
remove_circle_outline
remove_circle_outline
remove_circle_outline
remove_circle_outline
remove_circle_outline
remove_circle_outline
remove_circle_outline
remove_circle_outline
remove_circle_outline
remove_circle_outline
remove_circle_outline
remove_circle_outline

Article Types

Countries / Regions

remove_circle_outline
remove_circle_outline
remove_circle_outline
remove_circle_outline
remove_circle_outline

Search Results (2,060)

Search Parameters:
Keywords = noise mitigation

Order results
Result details
Results per page
Select all
Export citation of selected articles as:
22 pages, 14714 KB  
Article
TGL-YOLO: A Multi-Scale Feature Enhancement Method for Plant Disease Detection Based on Improved YOLO11
by Qi Wang and Zhiyu Wang
Agriculture 2026, 16(9), 947; https://doi.org/10.3390/agriculture16090947 (registering DOI) - 25 Apr 2026
Abstract
Plant disease detection in natural environments is significantly challenged by variations in lesion scales and interference from complicated background clutter. Nevertheless, current models often remain limited in effectively capturing multi-scale features and mitigating background interference simultaneously. To tackle these challenges, we present TGL-YOLO, [...] Read more.
Plant disease detection in natural environments is significantly challenged by variations in lesion scales and interference from complicated background clutter. Nevertheless, current models often remain limited in effectively capturing multi-scale features and mitigating background interference simultaneously. To tackle these challenges, we present TGL-YOLO, an improved detection network built on the YOLO11 framework. Methodologically, we introduce the Tri-Scale Dynamic Block (TSDBlock) to adaptively extract fine-grained features across highly variable lesion sizes. Furthermore, a Gated Pyramid Spatial Transformer (GPST) is designed to fuse cross-scale features and suppress background interference, while a Large Separable Pyramid Attention (LSPA) module expands the spatial receptive field to capture global context. Experimental results on two public datasets show that TGL-YOLO demonstrates improved performance over the YOLO11s baseline. On the PlantDoc dataset, it improves mAP50 and mAP50:95 by 4.7% and 3.7%, reaching 0.591 and 0.449, respectively. On the FieldPlant dataset, it reaches 0.793 and 0.608, yielding improvements of 2.3% and 1.9%. The proposed method demonstrates the capability to reduce missed detections and false positives caused by multi-scale lesions and environmental noise, providing a competitive and computationally viable solution for agricultural disease monitoring in natural environments. Full article
Show Figures

Figure 1

37 pages, 11359 KB  
Article
Privacy-Enhanced Stable Federated Learning for Statistically Heterogeneous Geospatial Data
by Yiqi Sun, Keer Zhang, Chenxu Liu, Hezheng Lan and Hong Lei
Information 2026, 17(5), 404; https://doi.org/10.3390/info17050404 - 24 Apr 2026
Abstract
To address statistical heterogeneity and update-level privacy risks in federated learning for geospatial data, this paper proposes a hierarchically decoupled collaborative framework that integrates client-side privacy perturbation with server-side consistency-aware aggregation, while incorporating governance as a system-level support module. Under strong non-IID conditions, [...] Read more.
To address statistical heterogeneity and update-level privacy risks in federated learning for geospatial data, this paper proposes a hierarchically decoupled collaborative framework that integrates client-side privacy perturbation with server-side consistency-aware aggregation, while incorporating governance as a system-level support module. Under strong non-IID conditions, the proposed soft-weight aggregation strategy mitigates update mismatch and improves convergence stability without hard filtering legitimate but distributionally shifted client contributions. Meanwhile, the risk-aware perturbation mechanism adaptively adjusts clipping and noise strength across clients to better balance privacy protection and model utility. An on-chain governance and off-chain training coordination mechanism is further introduced to support auditable and traceable collaboration without interfering with the main optimization process. Experimental results on EuroSAT_RGB with ResNet-18 show that the proposed design achieves more stable training and better overall performance than the compared baselines, especially under severe heterogeneity. These findings highlight the value of jointly considering privacy-aware perturbation and consistency-aware aggregation for improving training stability and preserving utility in geospatial federated learning under statistically heterogeneous settings. Full article
(This article belongs to the Special Issue Privacy-Preserving Data Analytics and Secure Computation)
17 pages, 4066 KB  
Article
An Impact Load History Reconstruction Method for Composite Structures Based on FBG Sensing Data and the GCV Principle
by Jie Zeng, Jihong Xu, Yuntao Xu, Xin Zhao, Shiao Wang, Yanwei Zhou and Yuxun Wang
Sensors 2026, 26(9), 2601; https://doi.org/10.3390/s26092601 - 23 Apr 2026
Abstract
Accurately and promptly acquiring the load history characteristics of impact events on composite aircraft structures is crucial for identifying impact-induced damage and developing high-fidelity digital twin models. To address this need, we propose a method for reconstructing the impact load history on composite [...] Read more.
Accurately and promptly acquiring the load history characteristics of impact events on composite aircraft structures is crucial for identifying impact-induced damage and developing high-fidelity digital twin models. To address this need, we propose a method for reconstructing the impact load history on composite structures, leveraging Generalized Cross-Validation (GCV) and a Fiber Bragg Grating (FBG) pattern. An equivalent expansion technique based on discretized time-domain sparse strain sampling is developed to mitigate the local distortion of impact response signals, a common issue arising from the low sampling rates of quasi-distributed FBG. By incorporating Tikhonov regularization, the ill-posed nature of the impact frequency response matrix is effectively managed. Furthermore, an adaptive optimization method based on the GCV criterion is introduced to overcome the limitations of manually selecting regularization parameters and the associated constraints on noise suppression. The results show that the proposed GCV-based reconstruction method achieves an average peak relative error of 11.4% and an average root mean square error of 0.36 N for the reconstructed impact load, demonstrating that the proposed method synergistically enhances both the reconstruction of the overall impact load waveform profile and the precise characterization of transient details, even with low-rate sampling. This provides robust technical support for health monitoring and condition-based maintenance of composite structures. Full article
(This article belongs to the Section Optical Sensors)
Show Figures

Figure 1

15 pages, 1316 KB  
Article
Study of Graphene-Based Strain Sensing Output Signals Under External Electromagnetic Interference Conditions
by Furong Kang, Shuqi Han, Kaixi Bi, Jian He and Xiujian Chou
Nanomaterials 2026, 16(9), 509; https://doi.org/10.3390/nano16090509 (registering DOI) - 23 Apr 2026
Abstract
Graphene possesses exceptional mechanical strength, high electrical conductivity, and a stable lattice structure, making it an ideal material for sensors in advanced manufacturing. However, these sensors face stability challenges due to complex electromagnetic interference (EMI) environments generated by electrical equipment. Therefore, investigating the [...] Read more.
Graphene possesses exceptional mechanical strength, high electrical conductivity, and a stable lattice structure, making it an ideal material for sensors in advanced manufacturing. However, these sensors face stability challenges due to complex electromagnetic interference (EMI) environments generated by electrical equipment. Therefore, investigating the influence of EMI on sensor performance is of significant importance. In this study, simulations were performed to analyze electrical parameter perturbations of intrinsic graphene films under EMI conditions. The Magnetic Fields, Solid Mechanics, and Electrostatics modules in COMSOL Multiphysics were employed to construct a coupled model of a three-phase power transformer and a graphene-based pressure sensor. The results indicate that EMI can induce baseline drift on the order of ~5% full scale (FS) in the graphene current density, accompanied by degradation in signal-to-noise ratio (SNR) exceeding ~15 dB under typical simulation conditions. Graphene in direct contact with metal electrodes shows enhanced sensitivity to EMI, with more pronounced noise amplification due to interfacial coupling effects. In contrast, cavity-suspended graphene configurations exhibit relatively improved robustness, suggesting that suspended membrane architectures can mitigate EMI by reducing parasitic coupling and enhancing mechanical isolation. Compared with previous studies, this work highlights the role of multiphysics coupling and membrane suspension in influencing EMI-induced perturbations, providing theoretical guidance for the design of graphene-based sensors in power system and industrial Internet of Things (IoT) applications. Full article
(This article belongs to the Section Nanoelectronics, Nanosensors and Devices)
23 pages, 1699 KB  
Article
LLM-Enhanced Modeling of Social Desirability-Aware Forced-Choice Personality Assessment
by Yukun Tu, Haoran Shi and Chanjin Zheng
Electronics 2026, 15(9), 1792; https://doi.org/10.3390/electronics15091792 - 23 Apr 2026
Abstract
Personality assessment serves as a key building block in intelligent information systems that enable human-centered modeling. Unlike cognitive tests, personality assessments rely primarily on self-reports and are therefore susceptible to faking. Forced-choice (FC) formats partially mitigate this problem, yet socially desirable responding remains [...] Read more.
Personality assessment serves as a key building block in intelligent information systems that enable human-centered modeling. Unlike cognitive tests, personality assessments rely primarily on self-reports and are therefore susceptible to faking. Forced-choice (FC) formats partially mitigate this problem, yet socially desirable responding remains a systematic source of bias. Traditional approaches rely on expert-annotated social desirability (SD) ratings to construct FC item blocks and infer respondents’ personality traits from block-level rankings. This rating procedure is labor-intensive and coarse-grained. Furthermore, existing methods neglect the non-linear SD interactions between respondents and items, which act as structured adversarial noise that hinders the recovery of true latent traits. To address these challenges, we propose the Social Desirability-aware Forced-Choice Diagnosis (SDFCD) approach. Our approach adopts a knowledge-guided learning paradigm by leveraging large language models (LLMs) to distill fine-grained, continuous SD ratings, thereby replacing sparse expert ratings. We then introduce a decoupled neural interaction module that jointly represents latent personality traits and SD tendencies, enabling the modeling of respondent–item SD interactions. Experiments on real assessment data demonstrate that our method significantly outperforms baseline FC models in personality trait diagnostic performance and model interpretability. This study highlights the potential of LLMs for automated, fine-grained SD quantification and offers a scalable path toward more trustworthy personality assessment. Full article
22 pages, 3855 KB  
Article
Application of Improved Genetic Algorithm Based on Voronoi Partitioning in Pseudolite Deployment for Tunnel Positioning Systems
by Kun Xie, Chenglin Cai, Zhouwang Yang and Jundao Pan
Sensors 2026, 26(9), 2596; https://doi.org/10.3390/s26092596 - 23 Apr 2026
Viewed by 141
Abstract
Reliable high-precision positioning in railway tunnels is essential for intelligent train operation and safety monitoring, yet GNSS signals are severely degraded by blockage and multipath. This paper proposes a deployment-oriented numerical framework to optimize pseudolite layouts in tunnels by explicitly modeling visibility obstruction [...] Read more.
Reliable high-precision positioning in railway tunnels is essential for intelligent train operation and safety monitoring, yet GNSS signals are severely degraded by blockage and multipath. This paper proposes a deployment-oriented numerical framework to optimize pseudolite layouts in tunnels by explicitly modeling visibility obstruction and controlling worst-case geometry along the train trajectory. A high-fidelity 3D tunnel–train model is established, in which line-of-sight (LoS) availability is screened under vehicle occlusion and trajectory-level geometric quality is evaluated accordingly. Instead of optimizing only the average PDOP, the proposed framework minimizes the trajectory 90th-percentile PDOP (qPDOP) to suppress tail-risk geometric degradation, while interpreting PDOP as an error amplification factor that directly affects positioning reliability under measurement noise and local multipath. The core contribution is a Voronoi-partition-constrained improved genetic algorithm (IGA) for tunnel pseudolite deployment. Voronoi partitioning enforces segment-wise coverage by requiring at least one pseudolite in each partition cell and avoids clustering-induced blind zones. Meanwhile, the IGA incorporates improved search and constraint-handling mechanisms to satisfy practical engineering requirements, including feasible installation regions, minimum spacing, mounting-face balance (ceiling/side walls), communication range, and continuous satellite visibility. Comparative simulations and ablation studies demonstrate that the proposed method achieves more uniform coverage and significantly improves full-trajectory geometric stability, reducing high-quantile PDOP and mitigating local spikes in occlusion-sensitive sections under cost-constrained sparse deployments. The proposed framework provides a practical and flexible toolchain for designing positioning-oriented pseudolite infrastructures in underground transportation environments. Full article
(This article belongs to the Section Navigation and Positioning)
Show Figures

Figure 1

25 pages, 6168 KB  
Article
PerDCGAN: A Perceptual Generative Framework for High-Fidelity Bearing Fault Diagnosis
by Yuantao Li, Ao Li, Xiaoli Wang and Jiancheng Yin
Appl. Sci. 2026, 16(8), 4054; https://doi.org/10.3390/app16084054 - 21 Apr 2026
Viewed by 241
Abstract
Data imbalance significantly hinders the performance of deep learning models in rolling bearing fault diagnosis. While Generative Adversarial Networks (GANs) are widely used for data augmentation, traditional architectures employing pixel-level loss functions often fail to capture complex time-frequency textures, resulting in blurred spectrograms [...] Read more.
Data imbalance significantly hinders the performance of deep learning models in rolling bearing fault diagnosis. While Generative Adversarial Networks (GANs) are widely used for data augmentation, traditional architectures employing pixel-level loss functions often fail to capture complex time-frequency textures, resulting in blurred spectrograms and the loss of transient fault characteristics. To address this, we propose a data augmentation framework based on a Perceptually Optimized Deep Convolutional GAN (PerDCGAN). By integrating a perceptual loss function derived from a pre-trained VGG-16 network, the generator is constrained at the feature level rather than the pixel level, explicitly enforcing the preservation of structural details and high-frequency impact patterns. Extensive experiments on the Case Western Reserve University (CWRU) and Paderborn University (PU) datasets demonstrate that the proposed method effectively mitigates spectral blurring. Ablation studies confirm the synergistic effect of the joint loss function. Furthermore, under extreme 0 dB noise conditions, the classifier augmented by PerDCGAN maintains a robust diagnostic accuracy of 89.65% on the PU dataset, significantly outperforming standard DCGAN and demonstrating strong potential for complex industrial applications. Full article
(This article belongs to the Special Issue Mechanical Fault Diagnosis and Signal Processing)
Show Figures

Figure 1

22 pages, 2789 KB  
Article
Faulty Line Selection Method Based on Differentiation of Zero-Sequence Current Characteristics for Flexible Grounding Systems
by Yafeng Huang, Junhang Ye and Jiaqing Sun
Electronics 2026, 15(8), 1754; https://doi.org/10.3390/electronics15081754 - 21 Apr 2026
Viewed by 145
Abstract
To effectively address the challenge of faulty line selection during high-impedance grounding faults in distribution networks with a flexible grounding system, a novel fault line selection method that integrates both the amplitude and phase characteristics of zero-sequence currents is proposed. The characteristics of [...] Read more.
To effectively address the challenge of faulty line selection during high-impedance grounding faults in distribution networks with a flexible grounding system, a novel fault line selection method that integrates both the amplitude and phase characteristics of zero-sequence currents is proposed. The characteristics of zero-sequence currents under single-phase grounding faults in a flexible grounding system are thoroughly investigated, with a particular focus on analyzing the phase relationship and amplitude differences between the zero-sequence currents of each feeder and that of the neutral point. Upon the switching of the parallel low-resistance device, the zero-sequence current of the faulty line is approximately equal in amplitude but opposite in phase to that of the neutral point. In contrast, the zero-sequence current amplitude of a healthy line is significantly smaller than that of the neutral point, and its phase is nearly orthogonal to the neutral point zero-sequence current. To capture these characteristic differences, the projection of each line’s zero-sequence current onto the neutral point zero-sequence current is employed. A projection coefficient criterion is subsequently constructed to enhance the reliability of line selection. Furthermore, by utilizing the neutral point zero-sequence current, the method can effectively extract the weak zero-sequence current of healthy lines, thereby mitigating the risk of misjudgment by the fault line selection device caused by the inability of zero-sequence current transformers (CT) to accurately acquire such faint signals. Simulation results obtained via PSCAD validate that the proposed method remains effective for single-phase grounding faults with transition resistances up to 3000 Ω, even under extreme operating conditions such as reverse polarity of zero-sequence CT or the presence of strong noise interference. Full article
Show Figures

Figure 1

27 pages, 2500 KB  
Article
Injury Severity Prediction for Older Driver Accidents via Denoised Cascade Framework and Probability Calibration
by Yiyong Pan, Xilai Jia, Jieru Huang, Gen Li and Pengyu Xu
World Electr. Veh. J. 2026, 17(4), 219; https://doi.org/10.3390/wevj17040219 - 20 Apr 2026
Viewed by 196
Abstract
Accurately estimating the severity of crash injuries among older drivers is paramount for enhancing traffic safety, a task challenged by class imbalance and label noise. Traditional predictive paradigms often struggle to identify rare severe cases, as they tend to prioritize global accuracy, thereby [...] Read more.
Accurately estimating the severity of crash injuries among older drivers is paramount for enhancing traffic safety, a task challenged by class imbalance and label noise. Traditional predictive paradigms often struggle to identify rare severe cases, as they tend to prioritize global accuracy, thereby compromising sensitivity to high-risk outcomes. To overcome these limitations, this study develops a Log-Loss Cleaned and Probability-Calibrated Cascade (L-CSC) framework by strategically integrating existing advanced algorithmic components for robust and reliable severity prediction. Initially, a Log-Loss-based noise filtering mechanism is implemented to purge outliers and ambiguous samples from the training data, thereby enabling higher-quality representation learning. Subsequently, a two-stage cascade architecture is designed to decouple the classification task. Stage I employs a Preliminary Screening Model, optimized via Bayesian optimization for F2-score, to specifically maximize the recall for severe and fatal cases. In Stage II, a Stacking ensemble classifier is deployed to achieve a fine-grained classification of injury levels among the cases identified in the initial screening. Finally, Isotonic Regression is employed to calibrate the output probabilities from both stages, ensuring that the resulting risk estimations are statistically sound and reliable. Empirical evaluations demonstrate that the L-CSC framework effectively balances overall performance with critical risk detection, achieving a robust Macro-F1 of 0.7296. Specifically, compared to the best-performing baseline, the recall and F1-score for the critical severe and fatal category showed relative improvements of over 82% and 62%, respectively. Ablation analyses further substantiate the vital contributions of both the data cleaning and calibration modules. This research demonstrates that the cascaded framework effectively mitigates the biases inherent in imbalanced datasets, providing a robust algorithmic foundation to potentially support future traffic safety interventions. Full article
(This article belongs to the Section Marketing, Promotion and Socio Economics)
Show Figures

Figure 1

33 pages, 3687 KB  
Article
MulPViT-SimAM: An Electronic Substrate Defect Detection Framework for Addressing Class Imbalance Problems
by Yuting Wang, Liming Sun, Bang An and Ruiyun Yu
Machines 2026, 14(4), 456; https://doi.org/10.3390/machines14040456 - 20 Apr 2026
Viewed by 158
Abstract
As the cornerstone of contemporary electronics, the quality of electronic substrates—including Printed Circuit Boards (PCBs) and Ceramic Package Substrates (CPSs)—is intrinsic to product reliability. However, automated inspection is currently impeded by two persistent obstacles: the drastic multi-scale variation in defects and the acute [...] Read more.
As the cornerstone of contemporary electronics, the quality of electronic substrates—including Printed Circuit Boards (PCBs) and Ceramic Package Substrates (CPSs)—is intrinsic to product reliability. However, automated inspection is currently impeded by two persistent obstacles: the drastic multi-scale variation in defects and the acute class imbalance within defect datasets. Conventional deep learning approaches often fail to reconcile these challenges simultaneously, leading to suboptimal recognition of rare defect categories. To bridge this gap, we propose Multi-scale Partial Vision Transformer—Simple, Parameter-free Attention Module (MulPViT-SimAM), a robust framework designed for class-imbalanced electronic substrate defect detection. Our method features a novel multi-scale backbone (MulPViT) that synergizes partial convolutions with hierarchical attention mechanisms, facilitating the efficient extraction of both fine-grained local textures and global contextual dependencies. Additionally, we embed the Simple, Parameter-free Attention Module (SimAM) into the feature fusion stage to adaptively highlight defect-specific features while dampening background noise. To further mitigate data imbalance, we utilize the Equalized Focal Loss (EFL) function, which employs a category-specific modulating factor to dynamically equilibrate the learning focus across different classes. Comprehensive benchmarking reveals state-of-the-art performance, achieving mAP@0.5 scores of 95.7% on the standard PKU-MARKET-PCB dataset and 54.2% on the highly challenging CPS2D-AD dataset. Significantly, our approach effectively mitigates class imbalance, narrowing the performance deviation of rare categories to just 4.3% on the PKU-Market-PCB dataset and 1.4% on the CPS2D-AD dataset, compared to 11.8% and 7.5% in baseline models. These findings position MulPViT-SimAM as a viable and efficient solution for industrial quality control. Full article
18 pages, 22316 KB  
Article
Optimization of Multi-Scale Feature Extraction and Loss Functions in YOLOv8 for Insulator Defect Detection
by Meng Su, Shuailun Geng, Hong Yu, Shuai Zhou, Lihua Zhou and Jiao Luo
Mathematics 2026, 14(8), 1376; https://doi.org/10.3390/math14081376 - 19 Apr 2026
Viewed by 243
Abstract
To address the challenges of high miss detection rates and accuracy degradation in UAV-based insulator defect detection—primarily stemming from complex background interference and the loss of fine-grained features—this paper presents an optimized lightweight detection framework based on an improved YOLOv8 model. The integration [...] Read more.
To address the challenges of high miss detection rates and accuracy degradation in UAV-based insulator defect detection—primarily stemming from complex background interference and the loss of fine-grained features—this paper presents an optimized lightweight detection framework based on an improved YOLOv8 model. The integration of a Spatial-to-Depth Convolution (SPDConv) module strengthens the extraction of fine-grained features for microscopic defects, while the incorporation of an SCConv module suppresses computational redundancy, leading to a 2.80% accuracy improvement. This architecture is further enhanced by a Channel and Spatial Reconstruction Attention Module (CSRAM), which dynamically prioritizes target-related regions and mitigates noise from vegetation and infrastructure. To improve regression robustness against low-quality annotations and blurred boundaries, a Focal-WIoU loss function utilizing a dynamic non-monotonic focusing mechanism is introduced. Experimental results on complex insulator datasets demonstrate that the proposed model achieves an mAP@0.5 of 91.75% and an mAP@0.5:0.95 of 59.86%, representing a 4.40% and 5.04% increase over the YOLOv8 baseline, respectively. Notably, while maintaining a lightweight profile with only 11.14 M parameters and 28.66 G FLOPs, the model achieves a high inference speed of 376.56 FPS, effectively enabling precise multi-scale defect recognition under extreme operational conditions. Full article
(This article belongs to the Special Issue Optimization Models and Algorithms in Data Science, 2nd Edition)
Show Figures

Figure 1

24 pages, 1982 KB  
Article
Joint Beamforming Design for Active Intelligent Reflecting Surface-Assisted Integrated Sensing and Communications Systems
by Jihong Wang and Yingjie Zhang
Electronics 2026, 15(8), 1702; https://doi.org/10.3390/electronics15081702 - 17 Apr 2026
Viewed by 135
Abstract
To address the issues of information leakage risks faced by the base station (BS) when communicating with multiple users in an integrated sensing and communication (ISAC) system, as well as the blockage of the direct link between the BS and the target to [...] Read more.
To address the issues of information leakage risks faced by the base station (BS) when communicating with multiple users in an integrated sensing and communication (ISAC) system, as well as the blockage of the direct link between the BS and the target to be detected, which limits sensing functionality, this paper introduces the active intelligent reflecting surface (IRS) into the ISAC system. By creating a virtual line-of-sight (LoS) path, signal blockage is effectively mitigated, while the active IRS enhances the incident signal strength and adjusts the reflection phase shifts, thereby improving the reliability and security of communication. This paper proposes a joint optimization scheme for the active IRS-assisted ISAC system, which jointly designs the BS beamforming and the IRS reflection coefficient matrix. A non-convex optimization problem is formulated with the objective of maximizing the radar output signal-to-noise ratio (SNR) subject to communication performance constraints. To solve this problem, this paper employs an iterative algorithm based on alternating optimization (AO), fractional programming (FP), and semidefinite relaxation (SDR). Simulation results demonstrate that the proposed scheme significantly outperforms the benchmark schemes without IRS assistance and with passive IRS assistance in terms of enhancing the sensing performance of the ISAC system. Full article
(This article belongs to the Section Microwave and Wireless Communications)
Show Figures

Figure 1

22 pages, 2903 KB  
Article
Research on Navigation Method for Subsea Drilling Robot Based on Inertial Navigation and Odometry
by Yingjie Liu, Peng Zhou, Feng Xiao, Chenyang Li, Junhui Li, Jiawang Chen and Ziqiang Ren
Sensors 2026, 26(8), 2457; https://doi.org/10.3390/s26082457 - 16 Apr 2026
Viewed by 187
Abstract
This paper proposes a robust navigation method based on a robust square-root cubature Kalman filter (RSRCKF) to address the accuracy divergence of integrated navigation systems caused by drilling-induced slippage and the mismatch between the tail-cable encoder and the robot motion during operations of [...] Read more.
This paper proposes a robust navigation method based on a robust square-root cubature Kalman filter (RSRCKF) to address the accuracy divergence of integrated navigation systems caused by drilling-induced slippage and the mismatch between the tail-cable encoder and the robot motion during operations of a seafloor drilling robot in deep-sea soft sedimentary layers. Considering the large-deformation mechanical characteristics of the seabed under drilling conditions, a unified state-space model incorporating a time-varying odometer scale-factor error is first established. To alleviate the numerical instability of the nonlinear system in the presence of non-Gaussian noise, a square-root cubature Kalman filter (SRCKF) framework is employed, in which the positive definiteness of the error covariance matrix is dynamically preserved via QR decomposition. Subsequently, an online fault detection mechanism based on a modified chi-square test is developed. By introducing a two-segment IGG (a classical robust weighting scheme) weighting function, an adaptive variance inflation factor is constructed to enable real-time identification and down-weighting of abnormal observations induced by slippage. Field experiments, including drilling and turning tests conducted on tidal mudflats off the coast of Zhoushan, demonstrate that the proposed method can effectively mitigate the impact of “false displacement” disturbances caused by typical soft clay slippage conditions through enhanced statistical robustness. Taking the conventional SINS/OD integration scheme as the baseline, the proposed method achieves an approximate 82.4% reduction in positioning error. These results verify the robustness and engineering applicability of the proposed algorithm in complex seabed environments. Full article
(This article belongs to the Section Navigation and Positioning)
Show Figures

Figure 1

26 pages, 8239 KB  
Article
A DACO-XGBoost-Driven Method for Evaluating Braking Performance of High-Speed Elevators
by Yefeng Jiang, Dongxin Li, Wanbin Su, Cancan Yi, Ke Li, Wei Shen and Shulong Xu
Actuators 2026, 15(4), 224; https://doi.org/10.3390/act15040224 - 16 Apr 2026
Viewed by 153
Abstract
To address the high labor intensity of weight handling and the low accuracy of testing outcomes in the 125% rated-load down-running braking test for high-speed elevators, this study proposes a numerical-model-driven evaluation method for elevator braking capability based on Dynamic Ant Colony Optimization–eXtreme [...] Read more.
To address the high labor intensity of weight handling and the low accuracy of testing outcomes in the 125% rated-load down-running braking test for high-speed elevators, this study proposes a numerical-model-driven evaluation method for elevator braking capability based on Dynamic Ant Colony Optimization–eXtreme Gradient Boosting (DACO-XGBoost). Firstly, to overcome the limited prediction accuracy caused by insufficient measured samples during braking analysis, vibration and noise effects are both considered, and thus an equivalent dynamic analysis is conducted for no-load up-running and 125% load down-running conditions. Based on this, a simulation-data generation approach was developed to produce loaded down-running braking samples from the no-load up-running operating condition. Secondly, by combining the simulated samples generated by the above model with a limited set of measured samples, an XGBoost model optimized by a dynamic ant colony algorithm was constructed, improving the model’s ability to fit the complex nonlinear relationships in the elevator braking process. This mitigates the constraints imposed by sample scarcity and enables accurate prediction of key braking-performance parameters. Experimental results demonstrate that the proposed DACO-XGBoost substantially improves prediction accuracy. For braking distance, it decreased from 7.5453 to 0.5661 (RMSE) and from 2.7452 to 0.0370 (MAE). For slip amount, it decreased from 60.0307 to 1.2200 (RMSE) and from 7.7401 to 0.8146 (MAE), respectively. Furthermore, after comparisons with RF, GA-RF, and PSO-RF, the effectiveness of the proposed method for quantitative evaluation of braking performance in high-speed elevators was verified. Full article
(This article belongs to the Special Issue Advanced Perception and Control of Intelligent Equipment)
Show Figures

Figure 1

17 pages, 4943 KB  
Article
A High-Precision Joint Synchronization and Channel Estimation Method for OFDM
by Zhihua Li, Xinpei Xu, Jintao Wang, Mingyang Si and Zhongcheng Wei
Telecom 2026, 7(2), 45; https://doi.org/10.3390/telecom7020045 - 16 Apr 2026
Viewed by 116
Abstract
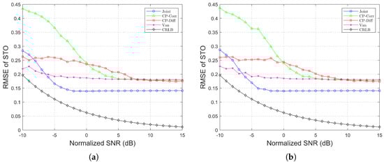
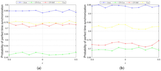
A low-overhead joint synchronization and channel estimation method for conventional CP-OFDM systems is developed to mitigate the error accumulation of stage-wise processing under multipath fading and carrier frequency offset (CFO). The joint estimation of symbol timing offset (STO), CFO, and channel parameters is [...] Read more.
A low-overhead joint synchronization and channel estimation method for conventional CP-OFDM systems is developed to mitigate the error accumulation of stage-wise processing under multipath fading and carrier frequency offset (CFO). The joint estimation of symbol timing offset (STO), CFO, and channel parameters is formulated in a least-squares framework, and the analytical elimination of the channel vector reduces the original three-dimensional optimization to a two-dimensional search. In addition, reusable common terms and a precomputable pseudoinverse-related operator are exploited to reduce redundant online computations. Simulation results show that, under different signal-to-noise ratio (SNR) and normalized CFO conditions, the method achieves higher perfect synchronization probability and lower root-mean-square error (RMSE) for STO, CFO, and channel estimation than conventional CP-based baselines, while providing a favorable trade-off between estimation accuracy and computational complexity. Full article
Show Figures

Figure 1

Back to TopTop