Sign in to use this feature.

Years

Between: -

Subjects

remove_circle_outline
remove_circle_outline
remove_circle_outline
remove_circle_outline
remove_circle_outline
remove_circle_outline
remove_circle_outline
remove_circle_outline
remove_circle_outline

Journals

remove_circle_outline
remove_circle_outline
remove_circle_outline
remove_circle_outline
remove_circle_outline
remove_circle_outline
remove_circle_outline
remove_circle_outline
remove_circle_outline
remove_circle_outline
remove_circle_outline
remove_circle_outline
remove_circle_outline
remove_circle_outline
remove_circle_outline
remove_circle_outline
remove_circle_outline
remove_circle_outline
remove_circle_outline
remove_circle_outline

Article Types

Countries / Regions

remove_circle_outline
remove_circle_outline
remove_circle_outline
remove_circle_outline
remove_circle_outline
remove_circle_outline
remove_circle_outline
remove_circle_outline

Search Results (3,160)

Search Parameters:
Keywords = nighttime

Order results
Result details
Results per page
Select all
Export citation of selected articles as:
12 pages, 251 KB  
Article
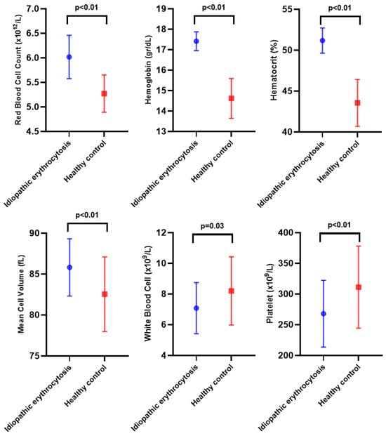
A Prospective Observational Study: Are There Any Relationships Between Erythrocytosis, Renal Tubular–Glomerular Functions, and Systemic Hypertension in Adolescent Male Idiopathic Erythrocytosis Patients?
by Nesrin Tas, Demet Baltu, Emel Ozyurek and Bulent Alioglu
Children 2026, 13(3), 427; https://doi.org/10.3390/children13030427 - 20 Mar 2026
Abstract
Background: Childhood hypertension is an important predictor of adult cardiovascular disease. Idiopathic erythrocytosis in adolescent males is characterized by elevated hemoglobin and hematocrit levels, which may increase blood viscosity and potentially influence blood pressure (BP) regulation. However, the relationships between erythrocytosis, renal [...] Read more.
Background: Childhood hypertension is an important predictor of adult cardiovascular disease. Idiopathic erythrocytosis in adolescent males is characterized by elevated hemoglobin and hematocrit levels, which may increase blood viscosity and potentially influence blood pressure (BP) regulation. However, the relationships between erythrocytosis, renal tubular–glomerular function, and systemic hypertension in adolescents remain unclear. Methods: This prospective observational case–control study was conducted between October of 2023 and April of 2024, including 37 male adolescents with idiopathic erythrocytosis and 24 age-matched healthy male controls. Complete blood count parameters were confirmed using two samples obtained at separate time points. Biochemical, urinalysis, tubular phosphorus reabsorption, and fractional excretion of sodium tests were performed to assess renal tubular and glomerular function, and 24 h ambulatory blood pressure monitoring (ABPM) was performed in all participants and interpreted according to the 2022 American Heart Association recommendations. Results: The mean systolic and diastolic BP values measured via ABPM did not differ significantly between the groups. However, adolescents with idiopathic erythrocytosis demonstrated significantly higher systolic and diastolic BP load values during 24 h, daytime, and nighttime periods when compared with healthy controls (p < 0.05). Renal tubular and glomerular function parameters were similar between groups. Hematocrit levels showed significant correlations with multiple ABPM load parameters. In the multivariable linear regression analysis, hematocrit remained independently associated with 24 h systolic BP load after adjustment for age, BMI, and serum creatinine. Conclusions: Adolescent males with idiopathic erythrocytosis exhibited increased ambulatory BP load despite similar mean BP values to controls. Elevated hematocrit may contribute to early alterations in BP regulation in adolescents with idiopathic erythrocytosis. Full article
(This article belongs to the Section Pediatric Nephrology & Urology)
Show Figures

Figure 1

17 pages, 3846 KB  
Article
Exploratory Analysis of Young Drivers’ Speed and Vehicle Lateral Positioning on Simulated Rural and Highway Roads
by Konstantinos Gkyrtis, George Botzoris and Alexandros Kokkalis
Infrastructures 2026, 11(3), 106; https://doi.org/10.3390/infrastructures11030106 - 20 Mar 2026
Abstract
Young drivers are often involved in speed-related crashes, particularly on rural and highway roads. This is usually due to high speeds, unstable control of vehicle positioning, complex road designs, and limited visibility. This study explores how young drivers select their speed and position [...] Read more.
Young drivers are often involved in speed-related crashes, particularly on rural and highway roads. This is usually due to high speeds, unstable control of vehicle positioning, complex road designs, and limited visibility. This study explores how young drivers select their speed and position their vehicle on different types of roads under daytime and nighttime conditions using a driving simulator. Thirty civil engineering students aged 18 to 24 participated in four simulated scenarios: a rural road during the day, rural road at night, highway during the day, and highway at night. They also completed a structured questionnaire about their driving experience, confidence, and perception of risk. Vehicle speed, lateral position, and acceleration were analyzed using descriptive statistics and linear regression. The results indicate that driving on highways resulted in higher speeds and increased lateral wander. Additionally, driver experience and familiarity with the road affected speed choice and vehicle position. Compliance with speed limits was linked to more consistent lane positioning. These findings give important insights into the behavior of young drivers and may suggest ways to improve infrastructure design, visibility, and speed management strategies, thereby helping to reduce crash risk. Full article
Show Figures

Figure 1

29 pages, 364 KB  
Article
Radical Urbanization and Economic Growth Quality: Evidence from Nighttime Light and FDI Flow Dynamics
by Jin Zhou, Hongguang Sui, Jiabei Liu and Ali Raza
Sustainability 2026, 18(6), 3012; https://doi.org/10.3390/su18063012 - 19 Mar 2026
Abstract
This study systematically examines the impact of radical urbanization on the quality of economic growth using city-level data from 290 major prefecture-level cities in China during 2003–2019. A comprehensive indicator system for economic growth quality is constructed using PCA, capturing multiple dimensions of [...] Read more.
This study systematically examines the impact of radical urbanization on the quality of economic growth using city-level data from 290 major prefecture-level cities in China during 2003–2019. A comprehensive indicator system for economic growth quality is constructed using PCA, capturing multiple dimensions of efficiency, stability, and sustainability. Nighttime light data obtained from the NOAA is extracted and calibrated, and the ratio of urban built-up area to nighttime light intensity is employed to measure the degree of radical urbanization. Empirical results reveal a divergence between economic quantity and quality effects: while radical urbanization promotes economic expansion, it significantly inhibits the quality of economic growth. To address potential endogeneity concerns, the change in FDI relative to changes in built-up area is used to capture FDI flow direction, with its one-period lag serving as an instrumental variable. Mechanism analysis, based on an interaction-based identification framework, shows that radical urbanization suppresses growth quality primarily through two transmission channels: reduced fiscal output efficiency and declining land use efficiency. Further analysis indicates that radical urbanization crowds out science and education expenditures, weakening fiscal effectiveness and reinforcing the identified transmission mechanisms. These findings provide objective evidence for evaluating urbanization strategies and offer policy insights for promoting quality-oriented and sustainable urban development. Full article
(This article belongs to the Special Issue Sustainable Urbanization)
32 pages, 8609 KB  
Article
Exploring Spatial–Temporal Evolution of Vegetation Coverage and Driving Factors in the Beibu Gulf Urban Agglomeration: Insights from Interpretable Machine Learning
by Boyang Wu, Yingjie Gao, Fanghui Li and Juan Zeng
Sustainability 2026, 18(6), 2955; https://doi.org/10.3390/su18062955 - 17 Mar 2026
Viewed by 198
Abstract
Vegetation coverage is a critical indicator for assessing urban ecosystems and is essential for sustainable development. However, the evolution patterns and driving mechanisms of vegetation change at the urban agglomeration scale remain underexplored. This study used the Google Earth Engine (GEE) to compute [...] Read more.
Vegetation coverage is a critical indicator for assessing urban ecosystems and is essential for sustainable development. However, the evolution patterns and driving mechanisms of vegetation change at the urban agglomeration scale remain underexplored. This study used the Google Earth Engine (GEE) to compute the kernel Normalized Difference Vegetation Index (kNDVI) for the Beibu Gulf Urban Agglomeration (BGUA), an important emerging coastal urban cluster in southern China, from 2000 to 2022. Trend analysis was employed to examine spatiotemporal changes in kNDVI, and an interpretable machine learning framework was applied to quantify the nonlinear, spatially heterogeneous effects of environmental and anthropogenic drivers. The results show that (1) kNDVI showed a general increasing trend, with medium-to-high kNDVI predominating. Approximately 91.91% of the region maintained an improving trend, whereas vegetation degradation concentrated in the core urban areas. (2) The Categorical Boosting model demonstrated superior performance in predicting kNDVI compared to other machine learning models. (3) The SHAP analysis identified land cover, elevation, and nighttime lights as the primary determinants of kNDVI change. These factors exhibited significant spatial heterogeneity in their nonlinear effects. These findings provide theoretical insights and practical guidance for ecological planning and environmental management in urban agglomerations. Full article
Show Figures

Figure 1

23 pages, 2962 KB  
Article
Feasibility of Infrared-Based Pedestrian Detectability in Unlit Urban and Rural Road Sections Using Consumer Thermal Cameras
by Yordan Stoyanov, Atanasi Tashev and Penko Mitev
Vehicles 2026, 8(3), 61; https://doi.org/10.3390/vehicles8030061 - 16 Mar 2026
Viewed by 140
Abstract
This study evaluates the feasibility of using two affordable thermal cameras (UNI-T UTi260M and UTi260T), which are not designed as automotive sensors, for observing pedestrians and warm objects during night-time driving under low-illumination conditions. The experimental setup includes mounting the camera on the [...] Read more.
This study evaluates the feasibility of using two affordable thermal cameras (UNI-T UTi260M and UTi260T), which are not designed as automotive sensors, for observing pedestrians and warm objects during night-time driving under low-illumination conditions. The experimental setup includes mounting the camera on the vehicle body (e.g., side mirror area/roof), recording road scenes in urban and rural environments, and selecting representative frames for qualitative and quantitative analysis. The study assesses: (i) observable pedestrian detectability in unlit road sections and under oncoming headlight glare, where visible cameras often lose contrast; (ii) the influence of low ambient temperature and strong cold wind on image appearance (including “whitening”/contrast shifts); and (iii) workflow differences, where UTi260M relies on a smartphone application for streaming/recording, while UTi260T supports PC-based image analysis and temperature-profile visualization. In addition, a calibration-based geometric method is proposed for approximate pedestrian distance estimation from single frames using silhouette pixel height and a regression model based on 1/hpx, valid for a specific mounting configuration and a known subject height. Results indicate that both cameras can highlight warm objects relative to the background and support visual pedestrian identification at low illumination, including in the presence of oncoming headlights, with UTi260M showing more stable behavior in parts of the tests. This work is a feasibility study and does not claim Advanced Driver Assist Systems (ADAS) functionality; it outlines limitations, repeatability considerations, and a minimal set of metrics and procedures for future extension. All quantitative indicators derived from exported frames are explicitly treated as image-level proxy metrics, not as physical sensor characteristics. Full article
(This article belongs to the Special Issue Novel Solutions for Transportation Safety, 2nd Edition)
Show Figures

Figure 1

15 pages, 842 KB  
Article
Nighttime Validation and Local Sensitivity of a Reduced-Order Thermal Balance for Above-Ground Outdoor Pools
by Seweryn Lipiński, Łukasz Dziubiński and Paweł Chwietczuk
AppliedMath 2026, 6(3), 46; https://doi.org/10.3390/appliedmath6030046 - 16 Mar 2026
Viewed by 69
Abstract
The paper presents a mathematical validation and a local sensitivity analysis of a reduced-order thermal balance model designed to predict nighttime heat losses from an above-ground outdoor pool. The model expresses the total heat flux as a linear function of the water–air temperature [...] Read more.
The paper presents a mathematical validation and a local sensitivity analysis of a reduced-order thermal balance model designed to predict nighttime heat losses from an above-ground outdoor pool. The model expresses the total heat flux as a linear function of the water–air temperature difference through an effective overall heat-transfer coefficient aggregating convective, evaporative, and radiative mechanisms, as well as cover-related effects. The analysis is explicitly restricted to quasi-steady nighttime conditions. Field data were segmented into 13 independent nighttime realizations (T ≈ 5.5–26.9 °C, wind ≈ 0.00–1.32 m∙s−1). Across the entire dataset, the model achieved a mean relative error of 0.39% and a maximum absolute deviation of 3.72%, with no monotonic error growth versus T or wind speed. Normalized local sensitivities reveal that the convective (hc) and evaporative (he) components dominate the response, whereas the radiative contribution is smaller under typical nighttime boundaries; the cover-permeability factor gains influence as wind speed increases. The additive structure limits independent identifiability of individual mechanisms, supporting an interpretation in terms of effective parameters. The results delineate the domain where the reduced-order formulation is predictive without refitting and provide a compact, interpretable reference for analyzing energy-balance models of open-water systems under nighttime operation. Full article
Show Figures

Figure 1

25 pages, 9898 KB  
Article
A PFM/SHM-Aware Spatiotemporal Contextual Fire Detection and Adaptive Thresholding Framework for VIIRS 375 m Data
by Huijuan Gao, Lin Sun and Ruijia Miao
Remote Sens. 2026, 18(6), 904; https://doi.org/10.3390/rs18060904 - 16 Mar 2026
Viewed by 152
Abstract
Thermal contextual algorithms for 375 m VIIRS active fire detection can produce substantial commission errors over persistent non-wildfire heat sources (e.g., refineries, gas flares, and volcanoes), and globally fixed thresholds may be suboptimal under heterogeneous thermal backgrounds. We present a lightweight spatiotemporal prior [...] Read more.
Thermal contextual algorithms for 375 m VIIRS active fire detection can produce substantial commission errors over persistent non-wildfire heat sources (e.g., refineries, gas flares, and volcanoes), and globally fixed thresholds may be suboptimal under heterogeneous thermal backgrounds. We present a lightweight spatiotemporal prior layer that augments by applying prior-guided, pixel-level parameter switching during the discrimination stage. The layer combines: (i) a persistent non-wildfire thermal anomaly mask (PFM) derived from multi-year VNP14IMG recurrence and seasonality statistics on a 0.004° grid, and (ii) a short-term heat-source mask (SHM) based on nighttime VIIRS I4/I5 brightness temperature stability to capture newly emerged or rapidly intensifying static sources. Pixels flagged by either prior are processed with a stricter parameter set, while other pixels follow the baseline setting. We evaluate the method using a stratified validation dataset (N = 3435) spanning industrial/urban clusters, volcanic regions, forest/grassland wildfires, and fragmented crop residue burning, with validation supported by independent high-resolution imagery (Sentinel-2/Landsat) and external POI datasets. The framework markedly reduces false positives in high-interference zones (industrial/urban false positive rate from 88.6% to 22.7%; volcanic from 100.0% to 57.3%) while preserving high performance for forest/grassland wildfires (F1 ≈ 0.999). For fragmented residue burning, omission error decreases from 11.2% to 1.3%, improving detection completeness without an apparent increase in commission errors. Overall, the results suggest that integrating long- and short-term spatiotemporal priors via threshold switching can improve the robustness and interpretability of contextual VIIRS fire detection under complex thermal backgrounds in the evaluated scenarios. Full article
(This article belongs to the Section Earth Observation for Emergency Management)
Show Figures

Figure 1

13 pages, 1705 KB  
Article
Evaluation of the Efficacy of a Vibrotactile Device for Positional Therapy of Sleep-Disordered Breathing: A Pilot Study in Healthy Volunteers
by Andrey R. Alexandrov, Anton R. Kiselev, Mikhail V. Agaltsov, Anastasia R. Alexandrova and Ivan A. Kudashov
Clocks & Sleep 2026, 8(1), 14; https://doi.org/10.3390/clockssleep8010014 - 16 Mar 2026
Viewed by 150
Abstract
The role of body position during sleep, particularly the supine position, is now recognized as an important factor in the development of sleep-disordered breathing such as snoring, apnea, and hypopnea. This pilot study aimed to evaluate the efficacy of a new wearable vibrotactile [...] Read more.
The role of body position during sleep, particularly the supine position, is now recognized as an important factor in the development of sleep-disordered breathing such as snoring, apnea, and hypopnea. This pilot study aimed to evaluate the efficacy of a new wearable vibrotactile device (SoftSleep) in reducing sleep time in the supine position without negatively affecting total sleep duration or perceived sleep quality. This pilot study included 20 healthy volunteers. Sleep was monitored over two consecutive nights: the first night without positional therapy (PT) and the second night using a PT device. The primary outcome measures were total sleep time, sleep duration in the supine position, number of position changes, and subjective sleep quality (using the modified Pittsburgh Sleep Quality Index). Use of SoftSleep showed a significant reduction in the mean proportion of sleep in the supine position from 56.01% to 7.84% (p < 0.001). Total sleep time did not change significantly (7:39 ± 1:33 vs. 7:42 ± 1:19; p > 0.05). A moderate increase in the number of position changes was not accompanied by a deterioration in subjective sleep quality: 90% of participants rated their sleep with the device as very good or fairly good. Only three participants reported brief awakenings, which did not affect their overall perception of nighttime rest. These results indicate that the SoftSleep device effectively promotes sleep in a non-supine position without altering sleep quality or subjective perception of sleep. The high tolerability of the device confirms its potential for further clinical evaluation in patients with positional sleep apnea. Full article
(This article belongs to the Section Disorders)
Show Figures

Figure 1

18 pages, 5071 KB  
Article
Mechanisms of Human Socioeconomic Activities’ Impacts on Giant Panda Habitat Fragmentation in the Xiangling Region, China
by Hao Wang, Chenkai Wei and Chao He
Sustainability 2026, 18(6), 2861; https://doi.org/10.3390/su18062861 - 14 Mar 2026
Viewed by 205
Abstract
The giant panda holds a critical position in global biodiversity conservation, yet the ongoing fragmentation of its habitat poses a severe threat to the long-term viability of its survival. This study focused on the giant panda habitat in the Xiangling region and systematically [...] Read more.
The giant panda holds a critical position in global biodiversity conservation, yet the ongoing fragmentation of its habitat poses a severe threat to the long-term viability of its survival. This study focused on the giant panda habitat in the Xiangling region and systematically analyzed the mechanisms through which human socioeconomic activities drive habitat fragmentation. The analysis was based on data from 2000 to 2023, encompassing land use, population density, transportation networks, mining activities, and nighttime light emissions, utilizing a methodology that integrated Principal Component Analysis, the Moving Window method, trend analysis, and the Geodetector model. The findings reveal the following: First, the degree of habitat fragmentation has intensified over time with significant spatial heterogeneity, exhibiting a pattern of “low fragmentation in the core areas and high fragmentation in the periphery,” where areas of very high fragmentation have expanded markedly along the habitat edges. Second, the trend in fragmentation demonstrates an overall improvement in the core zones, particularly within the Giant Panda National Park, where over 70% of the area shows reduced fragmentation; conversely, nearly 30% of the peripheral areas continue to degrade. Third, the driving factors of habitat fragmentation exhibit bi-factor enhancement and nonlinear enhancement effects, with land use identified as the dominant factor. The study recommends enhancing the overall connectivity and ecological functionality of the habitat through measures such as refining land-use planning, constructing ecological corridors, implementing hierarchical management, and promoting community co-management. Full article
Show Figures

Figure 1

24 pages, 2755 KB  
Article
Design and Analysis of Solar Systems for Agricultural Applications and Sustainable Energy Supply of Villages
by Mohammed Gmal Osman, Gheorghe Lazaroiu and Dorel Stoica
Appl. Sci. 2026, 16(6), 2778; https://doi.org/10.3390/app16062778 - 13 Mar 2026
Viewed by 213
Abstract
This paper presents the design and analysis of solar systems for agricultural applications and the sustainable energy supply of villages, based on a case study of a rural settlement comprising 30 households. The village energy demand is quantified through a detailed assessment of [...] Read more.
This paper presents the design and analysis of solar systems for agricultural applications and the sustainable energy supply of villages, based on a case study of a rural settlement comprising 30 households. The village energy demand is quantified through a detailed assessment of hourly load profiles for daytime and nighttime operation, identifying peak loads and total daily energy consumption. Energy usage patterns are established for residential buildings, agricultural water pumping, public lighting, healthcare facilities, and commercial services. To meet these energy requirements sustainably, a 60 kW photovoltaic (PV) system is proposed in combination with a solar thermal water heating system designed to supply domestic and agricultural hot water. This study details the design methodology and simulation of the solar thermal system, including heat transfer modeling and system dimensioning. MATLAB (V.22b) simulations are conducted to evaluate system performance, covering PV energy generation, battery charge–discharge cycles, and thermal behavior over a 24 h period. Comparative analyses of standalone PV, hybrid PV/T, and combined PV and solar thermal configurations demonstrate that separate PV and thermal systems provide superior cost-effectiveness, operational reliability, and reduced maintenance requirements. The results confirm the technical feasibility, economic viability, and environmental benefits of solar-based solutions for rural electrification and agricultural applications. The results indicate that the analyzed rural settlement has an estimated daily electricity demand of approximately 590 kWh. Based on this demand, a 60 kW photovoltaic system was selected to ensure sufficient daytime electricity production while also allowing battery charging for nighttime consumption. In addition, the solar thermal system can increase the water temperature from approximately 10 °C to 55–80 °C, depending on solar irradiance conditions. The combined PV and solar thermal configuration demonstrates the potential to provide a reliable and sustainable energy solution for rural off-grid communities. Full article
Show Figures

Figure 1

19 pages, 14904 KB  
Article
National-Scale Conservation Gaps and Priority Areas for Invasive Plant Control in China: An Integrated MaxEnt-InVEST Framework
by Bao Liu, Mao Lin, Siyu Liu, Xingzhuang Ye and Shipin Chen
Plants 2026, 15(6), 898; https://doi.org/10.3390/plants15060898 - 13 Mar 2026
Viewed by 271
Abstract
Invasive alien plants (IAPs) pose a severe and escalating threat to biodiversity and ecosystem services in China. However, a systematic nationwide assessment that identifies invasion hotspots, quantifies their overlap with protected area networks, and pinpoints critical conservation gaps is still lacking. This hinders [...] Read more.
Invasive alien plants (IAPs) pose a severe and escalating threat to biodiversity and ecosystem services in China. However, a systematic nationwide assessment that identifies invasion hotspots, quantifies their overlap with protected area networks, and pinpoints critical conservation gaps is still lacking. This hinders the development of spatially targeted management strategies. To address this, we developed an integrated analytical framework coupling the Maximum Entropy (MaxEnt) model with the InVEST habitat quality model. Using a high-resolution, county-level distribution database of 293 IAPs, we mapped potential species richness and habitat degradation across China. The geo-detector model was further employed to identify the primary environmental factors and their interactions. Spatial overlay analysis was conducted to delineate core invasion habitats (areas of high invasion suitability and high degradation) and assess their coverage within China’s national nature reserves. Nighttime light intensity (DMSP, 34.39%), annual precipitation (Bio12, 14.16%), and mean diurnal range (Bio2, 11.82%) were the factors with the highest contribution in the model, highlighting the statistical interaction between anthropogenic pressure and climatic conditions. The core invasion habitat spanned 20.10 × 104 km2, predominantly (66.04%) concentrated in high-intensity human disturbance zones. Notably, only 11.18% of this core habitat falls within existing national nature reserves, revealing a vast conservation gap of 17.85 × 104 km2. Our results indicate a profound spatial mismatch between invasion hotspots and the current protected area network in China. We prioritize southeastern coastal urban agglomerations-characterized by high anthropogenic pressure (DMSP), high precipitation (Bio12), and low diurnal temperature range (Bio2)-for immediate monitoring and intervention. This integrated assessment provides a national-scale, spatially explicit prediction of invasion risk for 293 plant species in China, and offers an evidence-based decision-support tool for optimizing invasive species management and biodiversity conservation. Full article
(This article belongs to the Section Plant Modeling)
Show Figures

Figure 1

24 pages, 5018 KB  
Article
Numerical Modelling of Urban Air Pollution from Residential Heating: A Case Study of Skopje
by Dame Dimitrovski, Zoran Markov, Monika Uler-Zefikj, Marija Lazarevikj and Andrej Stojkovski
Atmosphere 2026, 17(3), 291; https://doi.org/10.3390/atmos17030291 - 13 Mar 2026
Viewed by 215
Abstract
Urban air pollution during winter is a major challenge in many cities, where emissions from residential heating lead to elevated particulate matter levels. Atmospheric dispersion modelling supports the understanding of spatial and temporal pollution behavior and enables the assessment of source contributions relevant [...] Read more.
Urban air pollution during winter is a major challenge in many cities, where emissions from residential heating lead to elevated particulate matter levels. Atmospheric dispersion modelling supports the understanding of spatial and temporal pollution behavior and enables the assessment of source contributions relevant for targeted mitigation. In this study, the ADMS-Urban dispersion model was applied to simulate hourly PM2.5 and PM10 concentrations across the city of Skopje, North Macedonia. Residential heating was the focus of the analysis, while emissions from road traffic and industrial activities were also included to ensure a realistic representation of the urban emission environment. A representative winter day was analyzed to examine the influence of wind patterns and diurnal boundary-layer height variability on particulate matter dispersion. Modelled concentrations were evaluated against measurements from urban air quality monitoring stations and showed good agreement in reproducing both night-time accumulation and daytime dispersion. The results indicate that household heating using biomass is the dominant contributor to wintertime particulate matter emissions, with PM10 prevailing over PM2.5. These findings underline the need for targeted emission reduction measures in the residential heating sector and demonstrate the usefulness of short-term dispersion modelling for supporting air quality management strategies in Skopje. Full article
(This article belongs to the Section Air Quality)
Show Figures

Figure 1

14 pages, 2525 KB  
Article
The Clinical Research of the Chronic Cough After COVID-19 Infection
by Juan Wang, Lingling Liu, Ning Zhou, Yankun Zhang, Huimin Liu, Chong Xu, Yueqing Wu and Jing Zhang
J. Clin. Med. 2026, 15(6), 2174; https://doi.org/10.3390/jcm15062174 - 12 Mar 2026
Viewed by 341
Abstract
Objective: To investigate the epidemiology, clinical characteristics, and potential risk factors of chronic cough following SARS-CoV-2 infection. Methods: A total of 1434 patients with post-COVID-19 cough were categorized into acute, subacute, and chronic subgroups by cough duration, with clinical data analyzed [...] Read more.
Objective: To investigate the epidemiology, clinical characteristics, and potential risk factors of chronic cough following SARS-CoV-2 infection. Methods: A total of 1434 patients with post-COVID-19 cough were categorized into acute, subacute, and chronic subgroups by cough duration, with clinical data analyzed across subgroups. Questionnaire surveys were conducted in chronic cough patients, followed by an 18–21-month follow-up. Results: 1. Significant intergroup differences were observed among the three groups in: the number of patients with rhinitis and/or pharyngitis history, cough with chest tightness, cough with pharyngeal symptoms, and sensitivity to irritating odors and cold air. 2. The chronic group had a significantly lower platelet count but higher eosinophil and basophil percentages than the acute group. 3. The chronic group showed significantly lower values than the subacute group in multiple pulmonary function indices: FVC, FEV1, FEV1/FVC, PEF, MEF25, MEF75, MEF50, MMEF75/25, MEF75%, MEF50%, MEF25%, MMEF75/25%, DLCO, and DLCO%. 4. Chest CT findings: the chronic group had significantly lower rates of infected lesions, cord-like opacities, and ground-glass shadows than the acute group, but a higher rate of micro-nodules than the subacute group. 5. At follow-up, the cough and non-cough groups differed significantly in nighttime cough scores and the proportion of cough with chest tightness, as well as in pulmonary function parameters: FVC, FEV1, PEF, PEF%, MEF75, DLCO, RV% and TLC. 6. Binary logistic regression analysis identified the nocturnal cough symptom score and cough accompanied by chest tightness as independent factors influencing persistent cough 18–21 months after SARS-CoV-2 infection. Conclusions: Patients with pre-existing upper airway inflammation, laryngeal symptoms, chemical hypersensitivity, elevated eosinophil/basophil percentages, and pulmonary micro-nodules are more likely to develop chronic post-COVID cough, presenting with partial ventilatory impairment and diffusing capacity impairments. Full article
(This article belongs to the Section Respiratory Medicine)
Show Figures

Figure 1

29 pages, 8488 KB  
Article
Significant Increases in Extreme Heat and Precipitation over the Past 62 Years in the Tarim River Basin and Their Large-Scale Climatic Drivers
by Yunyun Xi, Yongwei Su, Haohong Yang, Zhenyu Luo, Guangrui Pan, Liping Xu and Zhijun Li
Sustainability 2026, 18(6), 2787; https://doi.org/10.3390/su18062787 - 12 Mar 2026
Viewed by 163
Abstract
Situated at the core of the Asian arid zone, the Tarim River Basin (TRB) serves as a critical indicator of regional hydroclimatic responses to global warming. Utilizing 27 extreme climate indices recommended by the Expert Team on Climate Change Detection and Indices, this [...] Read more.
Situated at the core of the Asian arid zone, the Tarim River Basin (TRB) serves as a critical indicator of regional hydroclimatic responses to global warming. Utilizing 27 extreme climate indices recommended by the Expert Team on Climate Change Detection and Indices, this study analyzes the spatiotemporal evolution of climate extremes in the TRB from 1960 to 2022 and explores their correlations with primary large-scale atmospheric circulation factors. The results indicate that, at the temporal scale, extreme warm indices (TX90P, TN90P, SU25, TR20) and most extreme precipitation indices (except for CDD) exhibited increasing trends, accompanied by pronounced abrupt changes and periodic characteristics. The changes were characterized by stronger warming at low temperatures than at high temperatures, greater nighttime warming than daytime warming, and larger increases in warm days than cold days. Extreme temperature and precipitation indices underwent abrupt changes in the mid-to-late 1990s and 1980s, respectively. The former exhibits pronounced “cold-warm” oscillations at 10–15-year and 25–35-year scales, while the latter displays distinct “wet-dry” cyclic alternations at 8–9-year and 30–32-year scales. Spatially, extreme temperature indices showed consistent warming across most stations. In contrast, the change trends of extreme precipitation indices displayed obvious spatial heterogeneity, with growth rates generally decreasing from west to east. Further analyses demonstrate that most extreme climate indices exhibit significant linear correlations with the AMO, PDO, NAO, and NOI. Notably, the AMO emerges as the dominant driver of variations in both extreme temperature and precipitation. In the context of accelerated global warming, these insights are pivotal for enhancing regional climate risk management and water resource adaptability. Full article
Show Figures

Figure 1

21 pages, 1048 KB  
Article
Revising Parental Burnout Theory: Toward a Differentiation of Sleep-Related Burnout Subtypes
by Royce Anders, Agnès Breton, Florian Lecuelle, Mélanie Havy, Lisa Brunel, Marie-Paule Gustin, Patricia Franco and Benjamin Putois
Children 2026, 13(3), 394; https://doi.org/10.3390/children13030394 - 12 Mar 2026
Viewed by 219
Abstract
Background: Contemporary models of parental burnout conceptualize it as an interplay between parental demands and insufficient resources. However, research and current models remain sparse in their understanding of these demands and dynamics within the context of managing a child’s sleep wellness and related [...] Read more.
Background: Contemporary models of parental burnout conceptualize it as an interplay between parental demands and insufficient resources. However, research and current models remain sparse in their understanding of these demands and dynamics within the context of managing a child’s sleep wellness and related problems, which constitute a fundamental aspect in early parenting. The present work addresses this gap by examining this issue comprehensively. Methods: 2291 mother–child dyads were recruited from two sources: a random population sample (n = 1409) and a clinical sample (n = 882) of mothers seeking consultation for their child’s sleep issues (0–5 years old). Mothers completed an extensive panel of validated instruments and survey questions covering burnout and psychopathologies, sleep parameters, psychosocial, organizational, and demographic variables. Inferential analyses, regression modeling, cluster analysis, and mediation models were applied. Results: Two distinct profiles of parental burnout emerged: one associated with child sleep disturbances and the other with general parenting stress. The strongest-weighted risk factors pertained to maladaptive beliefs and perceptions (e.g., shame, “I am a bad parent”, “My child cries because I do not meet his needs”), as well as additive stressors such as interparental tension and daytime child behavioral problems. The strongest protective factors involved resources that reduced parental demands or facilitated recovery, including couple satisfaction, a consistent bedtime routine, greater capacity to take breaks (e.g., additional caregivers, father nighttime involvement, parental cohabitation, and child screen time). Conclusion: The identification of two distinct burnout profiles highlights the importance of incorporating, or placing more centrally, the management of young children’s insomnia in contemporary theoretical models of parental burnout. This research highlights the need for interventions on healthy self-beliefs and perceptions, effective daytime parenting strategies, positive couple dynamics, consistency in bedtime routines, and equitable distribution of caregiving responsibilities between parents to reduce the risk of parental burnout. Full article
(This article belongs to the Section Pediatric Mental Health)
Show Figures

Figure 1

Back to TopTop