Sign in to use this feature.

Years

Between: -

Subjects

remove_circle_outline
remove_circle_outline
remove_circle_outline
remove_circle_outline
remove_circle_outline

Journals

Article Types

Countries / Regions

Search Results (9)

Search Parameters:
Keywords = new modified couple stress theory

Order results
Result details
Results per page
Select all
Export citation of selected articles as:
27 pages, 1276 KB  
Article
Transient Post-Buckling of Microfluid-Conveying FG-CNTs Cylindrical Microshells Embedded in Kerr Foundation and Exposed to a 2D Magnetic Field
by Mohammed Sobhy
Mathematics 2025, 13(9), 1518; https://doi.org/10.3390/math13091518 - 5 May 2025
Cited by 1 | Viewed by 2093
Abstract
Dynamic post-buckling behavior of microscale cylindrical shells reinforced with functionally graded carbon nanotubes (FG-CNTs) and conveying microfluid is discussed for the first time. The microshell is embedded in a Kerr foundation and subjected to an axial compressive load and a two-dimensional magnetic field [...] Read more.
Dynamic post-buckling behavior of microscale cylindrical shells reinforced with functionally graded carbon nanotubes (FG-CNTs) and conveying microfluid is discussed for the first time. The microshell is embedded in a Kerr foundation and subjected to an axial compressive load and a two-dimensional magnetic field effect. CNTs dispersion across the shell thickness follows a power law, with five distribution types developed. The modified couple stress theory is applied to incorporate the small-size effect using a single material parameter. Furthermore, the Knudsen number is used to address the small-size effect on the microfluid. The external force between the magnetic fluid and microshell is modeled by applying the Navier–Stokes equation depending on the fluid velocity. Nonlinear motion equations of the present model are derived using Hamilton’s principle, containing the Lorentz magnetic force. According to the Galerkin method, the equations of motion are transformed into an algebraic system to be solved, determining the post-buckling paths. Numerical results indicate that the presence of the magnetic field, CNT reinforcement, and fluid flow improves the load-bearing performance of the cylindrical microshells. Also, many new parametric effects on the post-buckling curves of the FG-CNT microshells have been discovered, including the shell geometry, magnetic field direction, length scale parameter, Knudsen number, and CNT distribution types. Full article
Show Figures

Figure 1

16 pages, 7205 KB  
Article
Size and Temperature Effects on Band Gap Analysis of a Defective Phononic Crystal Beam
by Bin Yao, Shaopeng Wang, Jun Hong and Shuitao Gu
Crystals 2024, 14(2), 163; https://doi.org/10.3390/cryst14020163 - 4 Feb 2024
Cited by 8 | Viewed by 1704
Abstract
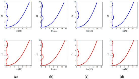
In this paper, a new defective phononic crystal (PC) microbeam model in a thermal environment is developed with the application of modified couple stress theory (MCST). By using Hamilton’s principle, the wave equation and complete boundary conditions of a heated Bernoulli–Euler microbeam are [...] Read more.
In this paper, a new defective phononic crystal (PC) microbeam model in a thermal environment is developed with the application of modified couple stress theory (MCST). By using Hamilton’s principle, the wave equation and complete boundary conditions of a heated Bernoulli–Euler microbeam are obtained. The band structures of the perfect and defective heated PC microbeams are solved by employing the transfer matrix method and supercell technology. The accuracy of the new model is validated using the finite element model, and the parametric analysis is conducted to examine the influences of size and temperature effects, as well as defect segment length, on the band structures of current microbeams. The results indicate that the size effect induces microstructure hardening, while the increase in temperature has a softening impact, decreasing the band gap frequencies. The inclusion of defect cells leads to the localization of elastic waves. These findings have significant implications for the design of microdevices, including applications in micro-energy harvesters, energy absorbers, and micro-electro-mechanical systems (MEMS). Full article
Show Figures

Figure 1

23 pages, 8439 KB  
Article
An Axially Compressed Moving Nanobeam Based on the Nonlocal Couple Stress Theory and the Thermoelastic DPL Model
by Ahmed E. Abouelregal, S. S. Askar and Marin Marin
Mathematics 2023, 11(9), 2155; https://doi.org/10.3390/math11092155 - 4 May 2023
Cited by 13 | Viewed by 1767
Abstract
This article introduces a new model that can be used to describe elastic thermal vibrations caused by changes in temperature in elastic nanobeams in response to transverse external excitations. Using the idea of nonlocal elasticity and the dual-phase lagging thermoelastic model (DPL), the [...] Read more.
This article introduces a new model that can be used to describe elastic thermal vibrations caused by changes in temperature in elastic nanobeams in response to transverse external excitations. Using the idea of nonlocal elasticity and the dual-phase lagging thermoelastic model (DPL), the coupled equations of motion and heat transfer were derived to explain small-scale effects. Additionally, modified couple stress theory (MCST) and Euler–Bernoulli (EB) beam assumptions were considered. The proposed theory was verified by considering the thermodynamic response of nanobeams moving horizontally at a constant speed while one end is subjected to a periodic thermal load. The system of governing equations has been solved numerically with the help of Laplace transforms and one of the tested evolutionary algorithms. The effects of changing the nonlocal modulus, the magnitude of the external force, and the length scale parameter on the system fields were investigated. It is also shown how the behavior of the thermal nanobeam changes depending on the phase delay factors in addition to the horizontal velocity of the beam. To determine this model’s accuracy, its results were compared with the results of the classical continuity model and thermoelastic concepts. The numerical results show that when the nanobeam moves, the length scale can change the studied thermal and mechanical vibration wave patterns and physical fields. Additionally, during thermally stimulated vibrations, thermodynamic effects that have implications for the dynamic design and performance improvement of nanostructures must be considered. Full article
Show Figures

Figure 1

20 pages, 18906 KB  
Article
Inverse Design of Micro Phononic Beams Incorporating Size Effects via Tandem Neural Network
by Jingru Li, Zhongjian Miao, Sheng Li and Qingfen Ma
Materials 2023, 16(4), 1518; https://doi.org/10.3390/ma16041518 - 11 Feb 2023
Cited by 5 | Viewed by 1749
Abstract
Phononic crystals of the smaller scale show a promising future in the field of vibration and sound reduction owing to their capability of accurate manipulation of elastic waves arising from size-dependent band gaps. However, manipulating band gaps is still a major challenge for [...] Read more.
Phononic crystals of the smaller scale show a promising future in the field of vibration and sound reduction owing to their capability of accurate manipulation of elastic waves arising from size-dependent band gaps. However, manipulating band gaps is still a major challenge for existing design approaches. In order to obtain the microcomposites with desired band gaps, a data drive approach is proposed in this study. A tandem neural network is trained to establish the mapping relation between the flexural wave band gaps and the microphononic beams. The dynamic characteristics of wave motion are described using the modified coupled stress theory, and the transfer matrix method is employed to obtain the band gaps within the size effects. The results show that the proposed network enables feasible generated micro phononic beams and works better than the neural network that outputs design parameters without the help of the forward path. Moreover, even size effects are diminished with increasing unit cell length, the trained model can still generate phononic beams with anticipated band gaps. The present work can definitely pave the way to pursue new breakthroughs in micro phononic crystals and metamaterials research. Full article
Show Figures

Figure 1

17 pages, 3263 KB  
Article
New Modified Couple Stress Theory of Thermoelasticity with Hyperbolic Two Temperature
by Iqbal Kaur, Kulvinder Singh and Eduard-Marius Craciun
Mathematics 2023, 11(2), 432; https://doi.org/10.3390/math11020432 - 13 Jan 2023
Cited by 7 | Viewed by 1911
Abstract
This paper deals with the two-dimensional deformation in fibre-reinforced composites with new modified couple stress thermoelastic theory (nMCST) due to concentrated inclined load. Lord Shulman heat conduction equation with hyperbolic two temperature (H2T) has been used to form the mathematical model. Fourier and [...] Read more.
This paper deals with the two-dimensional deformation in fibre-reinforced composites with new modified couple stress thermoelastic theory (nMCST) due to concentrated inclined load. Lord Shulman heat conduction equation with hyperbolic two temperature (H2T) has been used to form the mathematical model. Fourier and Laplace transform are used for obtaining the physical quantities of the mathematical model. The expressions for displacement components, thermodynamic temperature, conductive temperature, axial stress, tangential stress and couple stress are obtained in the transformed domain. A mathematical inversion procedure has been used to obtain the inversion of the integral transforms using MATLAB software. The effects of hyperbolic and classical two temperature are shown realistically on the various physical quantities. Full article
(This article belongs to the Section E: Applied Mathematics)
Show Figures

Figure 1

25 pages, 29894 KB  
Article
A New Mathematical Model of Functionally Graded Porous Euler–Bernoulli Nanoscaled Beams Taking into Account Some Types of Nonlinearities
by A. V. Krysko, I. V. Papkova, A. F. Rezchikov and V. A. Krysko
Materials 2022, 15(20), 7186; https://doi.org/10.3390/ma15207186 - 15 Oct 2022
Cited by 6 | Viewed by 1875
Abstract
A new mathematical model of flexible physically (FN), geometrically (GN), and simultaneously physically and geometrically (PGN) nonlinear porous functionally graded (PFG) Euler–Bernoulli beams was developed using a modified couple stress theory. The ceramic phase of the functionally material was considered as an elastic [...] Read more.
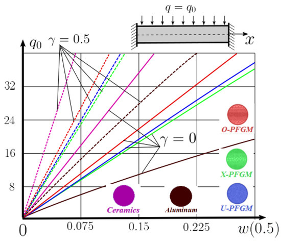
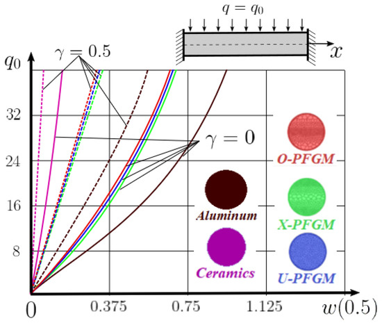
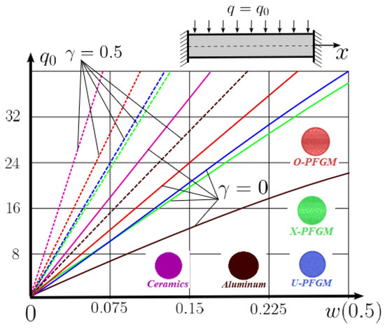
A new mathematical model of flexible physically (FN), geometrically (GN), and simultaneously physically and geometrically (PGN) nonlinear porous functionally graded (PFG) Euler–Bernoulli beams was developed using a modified couple stress theory. The ceramic phase of the functionally material was considered as an elastic material. The metal phase was considered as a physically non-linear material dependent on coordinates, time, and stress–strain state, which gave the opportunity to apply the deformation theory of plasticity. The governing equations of the beam as well as boundary and initial conditions were derived using Hamilton’s principle and the finite difference method (FDM) with a second-order approximation. The Cauchy problem was solved by several methods such as Runge–Kutta from 4-th to 8-th order accuracy and the Newmark method. Static problems, with the help of the establishment method, were solved. At each time step, nested iterative procedures of Birger method of variable elasticity parameters and Newton’s method were built. The Mises criterion was adopted as a criterion for plasticity. Three types of porosity-dependent material properties are incorporated into the mathematical modeling. For metal beams, taking into account the geometric and physical nonlinearity, the phenomenon of changing the boundary conditions, i.e., constructive nonlinearity (CN) was found. Full article
Show Figures

Figure 1

16 pages, 16393 KB  
Article
Bending and Wave Propagation Analysis of Magneto-Electro-Elastic Functionally Graded Porous Microbeams
by Jun Hong, Shaopeng Wang, Xinyuan Qiu and Gongye Zhang
Crystals 2022, 12(5), 732; https://doi.org/10.3390/cryst12050732 - 19 May 2022
Cited by 23 | Viewed by 3036
Abstract
In this paper, a microstructure-dependent magneto-electro-elastic functionally graded porous (MEEFGP) beam model is proposed using a variational approach. To account for the microstructure effect, the extended modified couple stress theory is incorporated in the new model. In addition, the porosity variation of the [...] Read more.
In this paper, a microstructure-dependent magneto-electro-elastic functionally graded porous (MEEFGP) beam model is proposed using a variational approach. To account for the microstructure effect, the extended modified couple stress theory is incorporated in the new model. In addition, the porosity variation of the two-phase beam model through the thickness direction is also considered. The new developed model is verified in terms of its correctness with a FEM model. Based on the equations of motion and boundary conditions derived by Hamilton’s principle, the static bending and wave propagation behaviors of the new model are analytically determined. The results prove the existence of the microstructure effect and the magneto-electro-elastic multi-field coupling effect. There are significant differences between the new model and the classical model at the microscale. Moreover, the porosity also has an important influence on the mechanical properties of the new model. The results predicted by the new model can provide the theoretical basis for the design of microscale acoustic wave devices and micro-electro-mechanical systems. Full article
(This article belongs to the Special Issue Advances in Thin Structures and Materials Modelling)
Show Figures

Figure 1

18 pages, 4315 KB  
Article
On the Bending and Vibration Analysis of Functionally Graded Magneto-Electro-Elastic Timoshenko Microbeams
by Jun Hong, Shaopeng Wang, Gongye Zhang and Changwen Mi
Crystals 2021, 11(10), 1206; https://doi.org/10.3390/cryst11101206 - 7 Oct 2021
Cited by 27 | Viewed by 2515
Abstract
In this paper, a new magneto-electro-elastic functionally graded Timoshenko microbeam model is developed by using the variational formulation. The new model incorporates the extended modified couple stress theory in order to describe the microstructure effect. The power-law variation through the thickness direction of [...] Read more.
In this paper, a new magneto-electro-elastic functionally graded Timoshenko microbeam model is developed by using the variational formulation. The new model incorporates the extended modified couple stress theory in order to describe the microstructure effect. The power-law variation through the thickness direction of the two-phase microbeams is considered. By the direct application of the derived general formulation, the static bending and free vibration behavior of the newly developed functionally graded material microbeams are analytically determined. Parametric studies qualitatively demonstrate the microstructural effect as well as the magneto-electro-elastic multi-field coupling effect. The proposed model and its classic counterpart produce significant differences for thin graded magneto-electro-elastic Timoshenko microbeams. The thinner the microbeam is, the larger the difference becomes. Full article
(This article belongs to the Section Hybrid and Composite Crystalline Materials)
Show Figures

Graphical abstract

11 pages, 1473 KB  
Article
A Non-Linear Flow Model for Porous Media Based on Conformable Derivative Approach
by Gang Lei, Nai Cao, Di Liu and Huijie Wang
Energies 2018, 11(11), 2986; https://doi.org/10.3390/en11112986 - 1 Nov 2018
Cited by 18 | Viewed by 4198
Abstract
Prediction of the non-linear flow in porous media is still a major scientific and engineering challenge, despite major technological advances in both theoretical and computational thermodynamics in the past two decades. Specifically, essential controls on non-linear flow in porous media are not yet [...] Read more.
Prediction of the non-linear flow in porous media is still a major scientific and engineering challenge, despite major technological advances in both theoretical and computational thermodynamics in the past two decades. Specifically, essential controls on non-linear flow in porous media are not yet definitive. The principal aim of this paper is to develop a meaningful and reasonable quantitative model that manifests the most important fundamental controls on low velocity non-linear flow. By coupling a new derivative with fractional order, referred to conformable derivative, Swartzendruber equation and modified Hertzian contact theory as well as fractal geometry theory, a flow velocity model for porous media is proposed to improve the modeling of Non-linear flow in porous media. Predictions using the proposed model agree well with available experimental data. Salient results presented here include (1) the flow velocity decreases as effective stress increases; (2) rock types of “softer” mechanical properties may exhibit lower flow velocity; (3) flow velocity increases with the rougher pore surfaces and rock elastic modulus. In general, the proposed model illustrates mechanisms that affect non-linear flow behavior in porous media. Full article
(This article belongs to the Special Issue Flow and Transport Properties of Unconventional Reservoirs 2018)
Show Figures

Figure 1

Back to TopTop