On the Bending and Vibration Analysis of Functionally Graded Magneto-Electro-Elastic Timoshenko Microbeams
Abstract
:1. Introduction
2. Materials and Methods
3. Analytical Solution
3.1. Static Bending
3.2. Free Vibration
4. Numerical Results
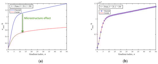
4.1. Static Bending
4.2. Free Vibration
5. Conclusions
Author Contributions
Funding
Conflicts of Interest
Nomenclature
| L, b, h | Length, width and thickness of beam |
| P(z), P1, P2 | Material properties of the current beam, material I and II |
| n | Functionally graded power-law index |
| σij | The components of Cauchy stress tensor |
| mij | The components of the couple stress tensor |
| Di | Electric displacements |
| Bi | Magnetic fluxes |
| Cαβ | The components of elastic stiffness tensor |
| Aαβ | The components of couple stress stiffness tensor |
| eiα | The components of piezoelectric tensor |
| qiα | The components of piezomagnetic tensor |
| sij | The components of dielectric tensor |
| μij | The components of magnetic permeability tensor |
| dij | The components of magneto-dielectric tensor |
| εij | The components of infinitesimal strain tensor |
| χij | The components of the symmetric curvature tensor |
| ui | Displacement components |
| εijk | Levi-Civita symbol |
| Ek, Hk | Electric field intensity and magnetic field intensity |
| Φ, M | Electric potential and magnetic potential |
| u, w | Beam extension and deflection |
| φ | Rotation angle |
| γ, ζ | The electric potential and magnetic potentials |
| γ0, ζ0 | External electric potential, external magnetic potential |
| A | Cross-sectional area |
| ρ | Mass density |
| f, q | The x- and z-components of the body force per unit length |
| ks | Shape correction factor |
| Uk, Φk, Wk, Гk, Zk, Qk | Fourier coefficients |
| ωk | The kth vibration frequency |
| , , , | Fourier coefficients |
References
- Sahmani, S.; Aghdam, M.M. Nonlocal Strain Gradient Shell Model for Axial Buckling and Postbuckling Analysis of Magneto-Electro-Elastic Composite Nanoshells. Compos. Part B Eng. 2018, 132, 258–274. [Google Scholar] [CrossRef]
- Farajpour, M.R.; Shahidi, A.R.; Hadi, A.; Farajpour, A. Influence of Initial Edge Displacement on the Nonlinear Vibration, Electrical and Magnetic Instabilities of Magneto-Electro-Elastic Nanofilms. Mech. Adv. Mater. Struct. 2019, 26, 1469–1481. [Google Scholar] [CrossRef]
- Yakhno, V.G. An Explicit Formula for Modeling Wave Propagation in Magneto-Electro-Elastic Materials. J. Electromagn. Waves Appl. 2018, 32, 899–912. [Google Scholar] [CrossRef]
- Chen, W.; Yan, Z.; Wang, L. On Mechanics of Functionally Graded Hard-Magnetic Soft Beams. Int. J. Eng. Sci. 2020, 157, 103391. [Google Scholar] [CrossRef]
- Taati, E. On Buckling and Post-Buckling Behavior of Functionally Graded Micro-Beams in Thermal Environment. Int. J. Eng. Sci. 2018, 128, 63–78. [Google Scholar] [CrossRef]
- Yang, Z.; Xu, J.; Lu, H.; Lv, J.; Liu, A.; Fu, J. Multiple Equilibria and Buckling of Functionally Graded Graphene Nanoplatelet-Reinforced Composite Arches with Pinned-Fixed End. Crystals 2020, 10, 1003. [Google Scholar] [CrossRef]
- Ghayesh, M.H.; Farokhi, H.; Alici, G. Size-Dependent Performance of Microgyroscopes. Int. J. Eng. Sci. 2016, 100, 99–111. [Google Scholar] [CrossRef]
- Tang, Y.; Ma, Z.S.; Ding, Q.; Wang, T. Dynamic Interaction between Bi-Directional Functionally Graded Materials and Magneto-Electro-Elastic Fields: A Nano-Structure Analysis. Compos. Struct. 2021, 264, 113746. [Google Scholar] [CrossRef]
- Bhangale, R.K.; Ganesan, N. Free Vibration of Simply Supported Functionally Graded and Layered Magneto-Electro-Elastic Plates by Finite Element Method. J. Sound Vib. 2006, 294, 1016–1038. [Google Scholar] [CrossRef]
- Sladek, J.; Sladek, V.; Krahulec, S.; Chen, C.S.; Young, D.L. Analyses of Circular Magnetoelectroelastic Plates with Functionally Graded Material Properties. Mech. Adv. Mater. Struct. 2015, 22, 479–489. [Google Scholar] [CrossRef]
- Vinyas, M.; Harursampath, D.A.; Nguyen-Thoi, T. Influence of Active Constrained Layer Damping on the Coupled Vibration Response of Functionally Graded Magneto-Electro-Elastic Plates with Skewed Edges. Def. Technol. 2020, 16, 1019–1038. [Google Scholar] [CrossRef]
- Mahesh, V.; Harursampath, D. Large Deflection Analysis of Functionally Graded Magneto-Electro-Elastic Porous Flat Panels. Eng. Comput. 2021, 1–20. [Google Scholar] [CrossRef]
- Mahesh, V. Porosity Effect on the Nonlinear Deflection of Functionally Graded Magneto-Electro-Elastic Smart Shells under Combined Loading. Mech. Adv. Mater. Struct. 2021, 1–27. [Google Scholar] [CrossRef]
- Lam, D.C.C.; Yang, F.; Chong, A.C.M.; Wang, J.; Tong, P. Experiments and Theory in Strain Gradient Elasticity. J. Mech. Phys. Solids 2003, 51, 1477–1508. [Google Scholar] [CrossRef]
- McFarland, A.W.; Colton, J.S. Role of Material Microstructure in Plate Stiffness with Relevance to Microcantilever Sensors. J. Micromech. Microeng. 2005, 15, 1060. [Google Scholar] [CrossRef]
- Eringen, A.C. On Differential Equations of Nonlocal Elasticity and Solutions of Screw Dislocation and Surface Waves. J. Appl. Phys. 1983, 54, 4703–4710. [Google Scholar] [CrossRef]
- Toupin, R.A. Elastic Materials with Couple-Stresses. Arch. Ration. Mech. Anal. 1962, 11, 385–414. [Google Scholar] [CrossRef] [Green Version]
- Mindlin, R.D. Influence of Couple-Stresses on Stress Concentrations. Exp. Mech. 1963, 3, 1–7. [Google Scholar] [CrossRef]
- Kolter, W.T. Couple Stresses in the Theory of Elasticity: I and II. Proc. K. Ned. Akad. Wet. B 1964, 67, 17–44. [Google Scholar]
- Mindlin, R.D. Micro-Structure in Linear Elasticity. Arch. Ration. Mech. Anal. 1964, 16, 51–78. [Google Scholar] [CrossRef]
- Mindlin, R.D.; Eshel, N.N. On First Strain-Gradient Theories in Linear Elasticity. Int. J. Solids Struct. 1968, 4, 109–124. [Google Scholar] [CrossRef]
- Polizzotto, C. A Hierarchy of Simplified Constitutive Models within Isotropic Strain Gradient Elasticity. Eur. J. Mech. A Solids 2017, 61, 92–109. [Google Scholar] [CrossRef]
- Altan, B.S.; Aifantis, E.C. On Some Aspects in the Special Theory of Gradient Elasticity. J. Mech. Behav. Mater. 1997, 8, 231–282. [Google Scholar] [CrossRef]
- Yang, F.; Chong, A.C.M.; Lam, D.C.C.; Tong, P. Couple Stress Based Strain Gradient Theory for Elasticity. Int. J. Solids Struct. 2002, 39, 2731–2743. [Google Scholar] [CrossRef]
- Park, S.K.; Gao, X.-L. Variational Formulation of a Modified Couple Stress Theory and Its Application to a Simple Shear Problem. Z. Angew. Math. Phys. 2008, 59, 904–917. [Google Scholar] [CrossRef]
- Zhang, G.Y.; Gao, X.L. A New Bernoulli–Euler Beam Model Based on a Reformulated Strain Gradient Elasticity Theory. Math. Mech. Solids 2020, 25, 630–643. [Google Scholar] [CrossRef]
- Qu, Y.L.; Zhang, G.Y.; Fan, Y.M.; Jin, F. A Non-Classical Theory of Elastic Dielectrics Incorporating Couple Stress and Quadrupole Effects: Part I—Reconsideration of Curvature-Based Flexoelectricity Theory. Math. Mech. Solids 2021. [Google Scholar] [CrossRef]
- Zhang, G.Y.; Gao, X.L.; Zheng, C.Y.; Mi, C.W. A Non-Classical Bernoulli-Euler Beam Model Based on a Simplified Micromorphic Elasticity Theory. Mech. Mater. 2021, 161, 103967. [Google Scholar] [CrossRef]
- Ebrahimi, F.; Barati, M.R. Vibration Analysis of Embedded Biaxially Loaded Magneto-Electrically Actuated Inhomogeneous Nanoscale Plates. J. Vib. Control 2018, 24, 3587–3607. [Google Scholar] [CrossRef]
- Kiani, A.; Sheikhkhoshkar, M.; Jamalpoor, A.; Khanzadi, M. Free Vibration Problem of Embedded Magneto-Electro-Thermo-Elastic Nanoplate Made of Functionally Graded Materials via Nonlocal Third-Order Shear Deformation Theory. J. Intell. Mater. Syst. 2018, 29, 741–763. [Google Scholar] [CrossRef]
- Liu, H.; Lv, Z. Vibration Performance Evaluation of Smart Magneto-Electro-Elastic Nanobeam with Consideration of Nanomaterial Uncertainties. J. Intell. Mater. Syst. Struct. 2019, 30, 2932–2952. [Google Scholar] [CrossRef]
- Xiao, W.S.; Gao, Y.; Zhu, H. Buckling and Post-Buckling of Magneto-Electro-Thermo-Elastic Functionally Graded Porous Nanobeams. Microsyst. Technol. 2019, 25, 2451–2470. [Google Scholar] [CrossRef]
- Lim, C.W.; Zhang, G.; Reddy, J.N. A Higher-Order Nonlocal Elasticity and Strain Gradient Theory and Its Applications in Wave Propagation. J. Mech. Phys. Solids 2015, 78, 298–313. [Google Scholar] [CrossRef]
- Şimşek, M. Nonlinear Free Vibration of a Functionally Graded Nanobeam Using Nonlocal Strain Gradient Theory and a Novel Hamiltonian Approach. Int. J. Eng. Sci. 2016, 105, 12–27. [Google Scholar] [CrossRef]
- Li, X.; Li, L.; Hu, Y.; Ding, Z.; Deng, W. Bending, Buckling and Vibration of Axially Functionally Graded Beams Based on Nonlocal Strain Gradient Theory. Compos. Struct. 2017, 165, 250–265. [Google Scholar] [CrossRef]
- Reddy, J.N. Microstructure-Dependent Couple Stress Theories of Functionally Graded Beams. J. Mech. Phys. Solids 2011, 59, 2382–2399. [Google Scholar] [CrossRef]
- Gao, X.-L.; Zhang, G.Y. A Microstructure-and Surface Energy-Dependent Third-Order Shear Deformation Beam Model. Z. Angew. Math. Phys. 2015, 66, 1871–1894. [Google Scholar] [CrossRef]
- Yu, T.; Hu, H.; Zhang, J.; Bui, T.Q. Isogeometric Analysis of Size-Dependent Effects for Functionally Graded Microbeams by a Non-Classical Quasi-3D Theory. Thin-Walled Struct. 2019, 138, 1–14. [Google Scholar] [CrossRef]
- Zhang, G.Y.; Qu, Y.L.; Gao, X.L.; Jin, F. A Transversely Isotropic Magneto-Electro-Elastic Timoshenko Beam Model Incorporating Microstructure and Foundation Effects. Mech. Mater. 2020, 149, 103412. [Google Scholar] [CrossRef]
- Hong, J.; He, Z.Z.; Zhang, G.Y.; Mi, C.W. Tunable Bandgaps in Phononic Crystal Microbeams Based on Microstructure, Piezo and Temperature Effects. Crystals 2021, 11, 1029. [Google Scholar] [CrossRef]
- Hong, J.; He, Z.Z.; Zhang, G.Y.; Mi, C.W. Size and Temperature Effects on Band Gaps in Periodic Fluid-Filled Micropipes. Appl. Math. Mech. 2021, 42, 1219–1232. [Google Scholar] [CrossRef]
- Qu, Y.L.; Li, P.; Zhang, G.Y.; Jin, F.; Gao, X.L. A Microstructure-Dependent Anisotropic Magneto-Electro-Elastic Mindlin Plate Model Based on an Extended Modified Couple Stress Theory. Acta Mech. 2020, 231, 4323–4350. [Google Scholar] [CrossRef]
- Shen, W.; Zhang, G.; Gu, S.; Cong, Y. A Transversely Isotropic Magneto-electro-elastic Circular Kirchhoff Plate Model Incorporating Microstructure Effect. Acta Mech. Solida Sin. 2021, 1–13. [Google Scholar] [CrossRef]
- Qu, Y.L.; Jin, F.; Yang, J.S. Magnetically induced charge motion in the bending of a beam with flexoelectric semiconductor and piezomagnetic dielectric layers. J. Appl. Phys. 2021, 127, 064503. [Google Scholar] [CrossRef]
- Zhu, F.; Ji, S.; Zhu, J.; Qian, Z.; Yang, J. Study on the Influence of Semiconductive Property for the Improvement of Nanogenerator by Wave Mode Approach. Nano Energy 2018, 52, 474–484. [Google Scholar] [CrossRef]
- Shingare, K.B.; Kundalwal, S.I. Static and Dynamic Response of Graphene Nanocomposite Plates with Flexoelectric Effect. Mech. Mater. 2019, 134, 69–84. [Google Scholar] [CrossRef]
- Wang, L.; Liu, S.; Feng, X.; Zhang, C.; Zhu, L.; Zhai, J.; Qin, Y.; Wang, Z.L. Flexoelectronics of Centrosymmetric Semiconductors. Nat. Nanotechnol. 2020, 15, 661–667. [Google Scholar] [CrossRef]
- Sharma, S.; Kumar, A.; Kumar, R.; Talha, M.; Vaish, R. Geometry Independent Direct and Converse Flexoelectric Effects in Functionally Graded Dielectrics: An Isogeometric Analysis. Mech. Mater. 2020, 148, 103456. [Google Scholar] [CrossRef]
- Zhang, G.Y.; Gao, X.L.; Guo, Z.Y. A Non-Classical Model for an Orthotropic Kirchhoff Plate Embedded in a Viscoelastic Medium. Acta Mech. 2017, 228, 3811–3825. [Google Scholar] [CrossRef]
- Han, X.; Pan, E. Fields Produced by Three-Dimensional Dislocation Loops in Anisotropic Magneto-Electro-Elastic Materials. Mech. Mater. 2013, 59, 110–125. [Google Scholar] [CrossRef]
- Kumar, D.; Sarangi, S.; Saxena, P. Universal Relations in Coupled Electro-Magneto-Elasticity. Mech. Mater. 2020, 143, 103308. [Google Scholar] [CrossRef]
- Wang, Q. On Buckling of Column Structures with a Pair of Piezoelectric Layers. Eng. Struct. 2002, 24, 199–205. [Google Scholar] [CrossRef]
- Ma, H.M.; Gao, X.L.; Reddy, J.N. A Microstructure-Dependent Timoshenko Beam Model Based on a Modified Couple Stress Theory. J. Mech. Phys. Solids 2008, 56, 3379–3391. [Google Scholar] [CrossRef]
- Ansari, R.; Gholami, R.; Rouhi, H. Size-Dependent Nonlinear Forced Vibration Analysis of Magneto-Electro-Thermo-Elastic Timoshenko Nanobeams Based upon the Nonlocal Elasticity Theory. Compos. Struct. 2015, 126, 216–226. [Google Scholar] [CrossRef]
- Hong, J.; Wang, S.P.; Zhang, G.Y.; Mi, C.W. Bending, Buckling and Vibration Analysis of Complete Microstructure-Dependent Functionally Graded Material Microbeams. Int. J. Appl. Mech. 2021, 13, 2150057. [Google Scholar] [CrossRef]
- Reddy, J.N. Energy Principles and Variational Methods in Applied Mechanics, 2nd ed.; Wiley: New York, NY, USA, 2002. [Google Scholar]
- Gao, X.-L.; Mall, S. Variational Solution for a Cracked Mosaic Model of Woven Fabric Composites. Int. J. Solids Struct. 2001, 38, 855–874. [Google Scholar] [CrossRef]
- Yang, J. An Introduction to the Theory of Piezoelectricity; Springer: New York, NY, USA, 2005. [Google Scholar] [CrossRef]
- Yang, J. The Mechanics of Piezoelectric Structures; World Scientific: Singapore, 2006. [Google Scholar] [CrossRef]
- Li, J.Y. Magnetoelectroelastic Multi-Inclusion and Inhomogeneity Problems and Their Applications in Composite Materials. Int. J. Eng. Sci. 2000, 38, 1993–2011. [Google Scholar] [CrossRef]
- Sih, G.C.; Song, Z.F. Magnetic and Electric Poling Effects Associated with Crack Growth in BaTiO3–CoFe2O4 Composite. Theor. Appl. Fract. Mech. 2003, 39, 209–227. [Google Scholar] [CrossRef]
- Wang, Y.; Xu, R.; Ding, H. Axisymmetric Bending of Functionally Graded Circular Magneto-Electro-Elastic Plates. Eur. J. Mech. A Solids 2011, 30, 999–1011. [Google Scholar] [CrossRef]
- Zhang, G.Y.; Gao, X.L. Elastic Wave Propagation in 3-D Periodic Composites: Band Gaps Incorporating Microstructure Effects. Compos. Struct. 2018, 204, 920–932. [Google Scholar] [CrossRef]












| Physical Parameter | Material I | Material II |
|---|---|---|
| C11 (GPa) | 226 | 4.889 |
| C44 (GPa) | 44.15 | 1.241 |
| e15 (C/m2) | 5.8 | 0 |
| e31 (C/m2) | −2.2 | 0 |
| e33 (C/m2) | 9.3 | 0 |
| s11 (10−9C2/(N·m2)) | 5.64 | 0 |
| s33 (10−9C2/(N·m2)) | 6.35 | 0 |
| q15 (N/(A·m)) | 275 | 0 |
| q31 (N/(A·m)) | 290.15 | 0 |
| q33 (N/(A·m)) | 349.85 | 0 |
| d11 (10−12Ns/(V·C)) | 5.38 | 0 |
| d33 (10−12Ns/(V·C)) | 2740 | 0 |
| μ11 (10−6Ns2/C2) | 297.5 | 0 |
| μ33 (10−6Ns2/C2) | 83.5 | 0 |
| A11 (N) | 11.7484 | 1.4014 |
| A12 (N) | 6.4980 | 0.6903 |
| ρ (kg/m3) | 5550 | 1180 |
Publisher’s Note: MDPI stays neutral with regard to jurisdictional claims in published maps and institutional affiliations. |
© 2021 by the authors. Licensee MDPI, Basel, Switzerland. This article is an open access article distributed under the terms and conditions of the Creative Commons Attribution (CC BY) license (https://creativecommons.org/licenses/by/4.0/).
Share and Cite
Hong, J.; Wang, S.; Zhang, G.; Mi, C. On the Bending and Vibration Analysis of Functionally Graded Magneto-Electro-Elastic Timoshenko Microbeams. Crystals 2021, 11, 1206. https://doi.org/10.3390/cryst11101206
Hong J, Wang S, Zhang G, Mi C. On the Bending and Vibration Analysis of Functionally Graded Magneto-Electro-Elastic Timoshenko Microbeams. Crystals. 2021; 11(10):1206. https://doi.org/10.3390/cryst11101206
Chicago/Turabian StyleHong, Jun, Shaopeng Wang, Gongye Zhang, and Changwen Mi. 2021. "On the Bending and Vibration Analysis of Functionally Graded Magneto-Electro-Elastic Timoshenko Microbeams" Crystals 11, no. 10: 1206. https://doi.org/10.3390/cryst11101206
APA StyleHong, J., Wang, S., Zhang, G., & Mi, C. (2021). On the Bending and Vibration Analysis of Functionally Graded Magneto-Electro-Elastic Timoshenko Microbeams. Crystals, 11(10), 1206. https://doi.org/10.3390/cryst11101206

