Sign in to use this feature.

Years

Between: -

Subjects

remove_circle_outline
remove_circle_outline
remove_circle_outline
remove_circle_outline
remove_circle_outline
remove_circle_outline
remove_circle_outline
remove_circle_outline
remove_circle_outline

Journals

Article Types

Countries / Regions

Search Results (23)

Search Parameters:
Keywords = neuroethics

Order results
Result details
Results per page
Select all
Export citation of selected articles as:
13 pages, 411 KB  
Review
Complications and Ethical Challenges in Neurosurgery for Psychiatric Disorders
by Cristina V. Torres Díaz, Joaquín Luis Ayerbe Gracia, Mónica Lara Almunia, Gonzalo Olivares Granados, Marta Navas García, Paloma Pulido Rivas, Marta Del Alamo De Pedro, Rafael García De Sola and Álvaro Moleón-Ruiz
Brain Sci. 2025, 15(12), 1303; https://doi.org/10.3390/brainsci15121303 - 2 Dec 2025
Viewed by 746
Abstract
Functional neurosurgery has emerged as a potential therapeutic option for patients with severe, treatment-resistant psychiatric disorders such as obsessive–compulsive disorder (OCD) and major depressive disorder (MDD). Among the most studied interventions, deep brain stimulation (DBS) has shown promising outcomes in open-label studies, though [...] Read more.
Functional neurosurgery has emerged as a potential therapeutic option for patients with severe, treatment-resistant psychiatric disorders such as obsessive–compulsive disorder (OCD) and major depressive disorder (MDD). Among the most studied interventions, deep brain stimulation (DBS) has shown promising outcomes in open-label studies, though controlled trials have yielded more modest results. This discrepancy, along with concerns about surgical risks, neuropsychiatric side effects, and ethical challenges, has limited the broader implementation of psychiatric neurosurgery. This review explores the clinical complications of DBS—including vascular events, infections, and hardware-related issues—as well as cognitive and behavioral changes such as hypomania, apathy, and impulse control disorders. Ethical concerns are also addressed, including the difficulty of obtaining truly informed consent and the potential impact on personal identity. The article emphasizes the need for multidisciplinary teams, dynamic consent models, standardized protocols, and high-quality clinical trials to ensure safe, ethical, and effective use of neurosurgical interventions in psychiatry. Ultimately, the responsible integration of functional neurosurgery into psychiatric care requires not only technical precision but also ethical rigor and patient-centered collaboration. Full article
(This article belongs to the Section Neurosurgery and Neuroanatomy)
Show Figures

Figure 1

19 pages, 345 KB  
Review
Sex and Gender Identities Are Emergent Properties of Neural Complexity
by Simone Di Plinio and Olatz Etxebarria-Perez-De-Nanclares
Behav. Sci. 2025, 15(12), 1599; https://doi.org/10.3390/bs15121599 - 21 Nov 2025
Viewed by 1448
Abstract
We investigate why the remarkable diversity of human identity, including gender fluidity, non-binary roles, and varied sexual orientations, is fundamentally rooted in the evolutionary and neurocognitive complexity of the human brain. Drawing upon interdisciplinary evidence from comparative biology, neuroimaging, anthropology, and social neuroscience, [...] Read more.
We investigate why the remarkable diversity of human identity, including gender fluidity, non-binary roles, and varied sexual orientations, is fundamentally rooted in the evolutionary and neurocognitive complexity of the human brain. Drawing upon interdisciplinary evidence from comparative biology, neuroimaging, anthropology, and social neuroscience, this paper explores how increased neural complexity across evolutionary trajectories supports behavioral plasticity and identity diversification. The concept of neural degeneracy, wherein different neural structures produce functionally similar outcomes, is central to understanding how individual and cultural diversity naturally emerges from the brain’s highly adaptable networks. By reviewing historical, prehistoric, and cross-species data, the paper demonstrates that identity diversity is neither recent nor culturally limited but has longstanding evolutionary and social foundations. Despite substantial scientific consensus on this inherent complexity, societal resistance persists, often driven by oversimplified and biologically reductionist interpretations of neuroscience. To counter these misunderstandings, the article introduces Complexity Neuroethics, a framework advocating the acknowledgment of diversity of identity expressions as an evolutionarily expected outcome of neurocognitive evolution. Ultimately, the review calls for a transformative dialogue between neuroscience and society, promoting policies, healthcare practices, and educational initiatives aligned with neuroscientific realities to foster more inclusive societies that embrace self-identity as an evolutionary and cognitive achievement. Full article
(This article belongs to the Section Developmental Psychology)
16 pages, 955 KB  
Review
Deep Brain Stimulation: Psychological and Neuroethical Perspectives
by Stella Sremic, Antea Krsek and Lara Baticic
Neurol. Int. 2025, 17(10), 158; https://doi.org/10.3390/neurolint17100158 - 2 Oct 2025
Viewed by 1662
Abstract
Deep brain stimulation (DBS) is an evolving neurosurgical treatment, originally developed for movement disorders such as Parkinson’s disease, essential tremor, and dystonia. In recent years, it has been increasingly applied to psychiatric and cognitive disorders. This review aimed to summarize the psychological and [...] Read more.
Deep brain stimulation (DBS) is an evolving neurosurgical treatment, originally developed for movement disorders such as Parkinson’s disease, essential tremor, and dystonia. In recent years, it has been increasingly applied to psychiatric and cognitive disorders. This review aimed to summarize the psychological and neuroethical dimensions of DBS, with particular attention to cognitive, emotional, and personality-related outcomes. While DBS can significantly enhance quality of life, it may also lead to subtle or overt changes in cognition, affect, and self-perception, especially in patients with neuropsychiatric comorbidities. Comprehensive psychological evaluation, both pre- and post-operatively, is essential. Findings from recent trials highlight a balance of potential risks and benefits that must be communicated transparently to patients. From a neuroethical perspective, DBS raises important questions regarding personal identity and autonomy, concerns that will become increasingly relevant as the technology advances. This paper underscores the need for more systematic research and the development of personalized care protocols that address not only motor outcomes but also psychosocial well-being. Full article
(This article belongs to the Section Movement Disorders and Neurodegenerative Diseases)
Show Figures

Figure 1

15 pages, 877 KB  
Review
A Call for Conceptual Clarity: “Emotion” as an Umbrella Term Did Not Work—Let’s Narrow It Down
by Peter Walla, Angelika Wolman and Georg Northoff
Brain Sci. 2025, 15(9), 929; https://doi.org/10.3390/brainsci15090929 - 27 Aug 2025
Cited by 2 | Viewed by 3135
Abstract
To cut a long story short, the term “emotion” is predominantly employed as a comprehensive designation, encompassing phenomena such as feelings, affective processing, experiences, expressions, and, on occasion, cognitive processes. This has given rise to a plethora of schools of thought that diverge [...] Read more.
To cut a long story short, the term “emotion” is predominantly employed as a comprehensive designation, encompassing phenomena such as feelings, affective processing, experiences, expressions, and, on occasion, cognitive processes. This has given rise to a plethora of schools of thought that diverge in their inclusion of these phenomena, not to mention the discordance regarding what emotions belong to the so-called set of discrete emotions in the first place. This is a problem, because clear and operational definitions are paramount for ensuring the comparability of research findings across studies and also across different disciplines. In response to this disagreement, it is here proposed to simplify the definition of the term “emotion”, instead of using it as an umbrella term overarching an unclear set of multiple phenomena, which is exactly what left all of us uncertain about the question what an emotion actually is. From an etymological perspective, the simplest suggestion is to understand an emotion as behavior (from the Latin verb ‘emovere’, meaning to move out, and thus the noun ‘emotion’ meaning out-movement). This suggests that an emotion should not be understood as something felt, nor as a physiological reaction, or anything including cognition. Instead, emotions should be understood as behavioral outputs (not as information processing), with their connection to feelings being that they convey them. Consider fear, which should not be classified as an emotion, it should be understood as a feeling (fear is felt). The specific body posture, facial expression, and other behavioral manifestations resulting from muscle contractions should be classified as emotions with their purpose being to communicate the felt fear to conspecifics. The underlying causative basis for all that exists is affective processing (i.e., neural activity), and it provides evaluative information to support decision-making. The essence of this model is that if affective processing responds above a certain threshold, chemicals are released, which leads to a feeling (e.g., felt fear) if the respective organism is capable of conscious experience. Finally, the communication of these feelings to conspecifics is happening by emotion-behavior (i.e., emotions). In summary, affective processing guides behavior, and emotions communicate feelings. This perspective significantly simplifies the concept of an emotion and will prevent interchangeable use of emotion-related terms. Last but not least, according to the current model, emotions can also be produced voluntarily in order to feign a certain feeling, which is performed in various social settings. Applications of this model to various fields, including clinical psychology, show how beneficial it is. Full article
(This article belongs to the Special Issue Defining Emotion: A Collection of Current Models)
Show Figures

Figure 1

23 pages, 676 KB  
Review
Current Neuroethical Perspectives on Deep Brain Stimulation and Neuromodulation for Neuropsychiatric Disorders: A Scoping Review of the Past 10 Years
by Jonathan Shaw, Sagar Pyreddy, Colton Rosendahl, Charles Lai, Emily Ton and Rustin Carter
Diseases 2025, 13(8), 262; https://doi.org/10.3390/diseases13080262 - 14 Aug 2025
Cited by 1 | Viewed by 3461
Abstract
Background: The use of neuromodulation for the treatment of psychiatric disorders has become increasingly common, but this emerging treatment modality comes with ethical concerns. This scoping review aims to synthesize the neuroethical discourse from the past 10 years on the use of neurotechnologies [...] Read more.
Background: The use of neuromodulation for the treatment of psychiatric disorders has become increasingly common, but this emerging treatment modality comes with ethical concerns. This scoping review aims to synthesize the neuroethical discourse from the past 10 years on the use of neurotechnologies for psychiatric conditions. Methods: A total of 4496 references were imported from PubMed, Embase, and Scopus. The inclusion criteria required a discussion of the neuroethics of neuromodulation and studies published between 2014 and 2024. Results: Of the 77 references, a majority discussed ethical concerns of patient autonomy and informed consent for neuromodulation, with neurotechnologies being increasingly seen as autonomy enablers. Concepts of changes in patient identity and personality, especially after deep brain stimulation, were also discussed extensively. The risks and benefits of neurotechnologies were also compared, with deep brain stimulation being seen as the riskiest but also possessing the highest efficacy. Concerns about equitable access and justice were raised regarding the rise of private transcranial magnetic stimulation clinics and the current experimental status of deep brain stimulation. Conclusions: Neuroethics discourse, particularly for deep brain stimulation, has continued to focus on how post-intervention changes in personality and behavior influence patient identity. Multiple conceptual frameworks have been proposed, though each faces critiques for addressing only parts of this complex phenomenon, prompting calls for pluralistic models. Emerging technologies, especially those involving artificial intelligence through brain computer interfaces, add new dimensions to this debate by raising concerns about neuroprivacy and legal responsibility for actions, further blurring the lines for defining personal identity. Full article
(This article belongs to the Section Neuro-psychiatric Disorders)
Show Figures

Figure 1

23 pages, 886 KB  
Review
Reciprocal Interactions Between Periodontal Disease and Alzheimer’s Disease: Implications for Mutual Triggering, Exacerbation, and Treatment Interventions—A Comprehensive Review of the Literature
by Shatha Gharaibeh, Alameen Alsabbah, Ahmad Alloubani and Abeer Gharaibeh
Neurol. Int. 2025, 17(6), 81; https://doi.org/10.3390/neurolint17060081 - 24 May 2025
Cited by 2 | Viewed by 4498
Abstract
Periodontal health is connected to many systemic diseases, such as cardiovascular, diabetes mellitus, and neurodegenerative diseases. The oral–brain axis has gained increasing interest in the pathogenesis of diseases. Emerging studies have highlighted the potential role of periodontal disease in the development and progression [...] Read more.
Periodontal health is connected to many systemic diseases, such as cardiovascular, diabetes mellitus, and neurodegenerative diseases. The oral–brain axis has gained increasing interest in the pathogenesis of diseases. Emerging studies have highlighted the potential role of periodontal disease in the development and progression of Alzheimer’s disease. However, Alzheimer’s disease also affects periodontal disease and oral health. In this review, we address the correlation between the two diseases and the mechanisms by which one contributes to the other. Exploring the correlation between Alzheimer’s disease and periodontal disease will assist in better understanding the pathophysiology of diseases and pave the way for the development of therapeutic and preventive strategies. Full article
(This article belongs to the Section Movement Disorders and Neurodegenerative Diseases)
Show Figures

Graphical abstract

15 pages, 762 KB  
Systematic Review
Vaping-Associated Pneumothorax: A Systematic Review of Case Reports and Case Series
by Moneeb Al-Taj, Alameen Alsabbah, Tariq Ma’ali, Mohammad Abu Suilik, Jehad Feras AlSamhori, Ahmad Alloubani, Ali Madha, Anita V. Goyal and Abeer Gharaibeh
Medicina 2025, 61(3), 537; https://doi.org/10.3390/medicina61030537 - 19 Mar 2025
Cited by 1 | Viewed by 6585
Abstract
Background and Objectives: Pneumothorax is a medical condition characterized by the accumulation of air in the pleural cavity, leading to lung collapse. While cigarette smoking is a well-known risk factor, the role of electronic cigarettes is less understood. This systematic review aimed [...] Read more.
Background and Objectives: Pneumothorax is a medical condition characterized by the accumulation of air in the pleural cavity, leading to lung collapse. While cigarette smoking is a well-known risk factor, the role of electronic cigarettes is less understood. This systematic review aimed to evaluate the outcomes of vaping-associated pneumothorax, in addition to its clinical features and management strategies, by compiling published case reports and case series. Materials and Methods: The choice to use case reports and case series was due to the limited availability of other types of studies on this emerging condition, as vaping-associated pneumothorax is relatively rare and primarily reported in isolated cases. Following the Preferred Reporting Items for Systematic Reviews and Meta-Analyses guidelines, we conducted a systematic search of six databases for case reports and case series. Data extraction and quality assessment were performed independently by multiple reviewers. Results: Seven case reports and four case series with a total number of 16 patients were included. Most patients were young, underweight men who presented with chest pain and shortness of breath. Conventional cigarette and cannabis use were commonly reported alongside vaping. The main treatment was the insertion of a chest tube, with surgical interventions reserved for severe cases. Patients who were treated non-surgically exhibited a higher recurrence rate. Additionally, specific symptoms such as chest pain radiating to the ipsilateral shoulder were associated with a higher recurrence rate. Conclusions: Clinicians should be vigilant for pneumothorax in at-risk individuals, consider targeted screening for symptomatic vapers, and prioritize early surgical intervention in recurrent cases to reduce complications. Further research is needed to understand the pathophysiology of vaping-associated spontaneous pneumothorax and optimal management strategies. Full article
(This article belongs to the Section Pulmonology)
Show Figures

Figure 1

13 pages, 546 KB  
Systematic Review
Skin Lesions as Signs of Neuroenhancement in Sport
by Sorana-Cristiana Popescu, Roman Popescu, Vlad Voiculescu and Carolina Negrei
Brain Sci. 2025, 15(3), 315; https://doi.org/10.3390/brainsci15030315 - 17 Mar 2025
Cited by 1 | Viewed by 1595
Abstract
Background: Neuroenhancement in sports, through pharmacological and non-pharmacological methods, is a complex and highly debated topic with no definitive regulatory framework established by the World Anti-Doping Agency (WADA). The hypothesis that dermatological changes could serve as observable biomarkers for neurodoping introduces a novel [...] Read more.
Background: Neuroenhancement in sports, through pharmacological and non-pharmacological methods, is a complex and highly debated topic with no definitive regulatory framework established by the World Anti-Doping Agency (WADA). The hypothesis that dermatological changes could serve as observable biomarkers for neurodoping introduces a novel and promising approach to detecting and understanding the physiological impacts of cognitive enhancers in athletes. As neurodoping methods become increasingly sophisticated, developing objective, reliable, and non-invasive detection strategies is imperative. Utilizing dermatological signs as a diagnostic tool for internal neurophysiological changes could offer critical insights into the safety, fairness, and ethical considerations of cognitive enhancement in competitive sports. A systematic correlation between skin manifestations, the timeline of neurodoping practices, and the intensity of cognitive enhancement methods could provide healthcare professionals valuable tools for monitoring athletes’ health and ensuring strict compliance with anti-doping regulations. Methods: Due to the limited body of research on this topic, a systematic review of the literature was conducted, spanning from 2010 to 31 December 2024, using databases such as PubMed, Science Direct, and Google Scholar. This study followed the 2020 PRISMA guidelines and included English-language articles published within the specified period, focusing on skin lesions as adverse reactions to pharmacological and non-pharmacological neuroenhancement methods. The research employed targeted keywords, including “skin lesions AND rivastigmine”, “skin lesions AND galantamine”, “skin lesions AND donepezil”, “skin lesions AND memantine”, and “skin lesions AND transcranial direct electrical stimulation”. Given the scarcity of studies directly addressing neurodoping in sports, the search criteria were broadened to include skin reactions associated with cognitive enhancers and brain stimulation. Eighteen relevant articles were identified and analyzed. Results: The review identified rivastigmine patches as the most used pharmacological method for neuroenhancement, with pruritic (itchy) skin lesions as a frequent adverse effect. Donepezil was associated with fewer and primarily non-pruritic skin reactions. Among non-pharmacological methods, transcranial direct current stimulation (tDCS) was notably linked to skin burns, primarily due to inadequate electrode–skin contact, prolonged exposure, or excessive current intensity. These findings suggest that specific dermatological manifestations could serve as potential indicators of neurodoping practices in athletes. Conclusions: Although specific neuroenhancement methods demonstrate distinctive dermatological side effects that might signal neurodoping, the current lack of robust clinical data involving athletes limits the ability to draw definitive conclusions. Athletes who engage in neurodoping without medical supervision are at an elevated risk of adverse dermatological and systemic reactions. Skin lesions, therefore, could represent a valuable early diagnostic marker for the inappropriate use or overuse of cognitive-enhancing drugs or neuromodulation therapies. The findings emphasize the need for focused clinical research to establish validated dermatological criteria for detecting neurodoping. This research could contribute significantly to the ongoing neuroethical discourse regarding the legitimacy and safety of cognitive enhancement in sports. Full article
(This article belongs to the Section Behavioral Neuroscience)
Show Figures

Figure 1

9 pages, 337 KB  
Commentary
Stepwise Imperatives for Improving the Protection of Animals in Research and Education in Canada
by Kyrstin Lavelle, Karim Fouad and Judy Illes
Animals 2024, 14(19), 2755; https://doi.org/10.3390/ani14192755 - 24 Sep 2024
Viewed by 2526
Abstract
In this paper, we review the standard-setting tools of different levels of government in Canada for overseeing the care of animals used in science against a landscape of other international efforts. We find regulatory inconsistencies, argue that the related shortcomings are detrimental to [...] Read more.
In this paper, we review the standard-setting tools of different levels of government in Canada for overseeing the care of animals used in science against a landscape of other international efforts. We find regulatory inconsistencies, argue that the related shortcomings are detrimental to the level of care afforded to animals, and offer suggestions for a centralized and proactive approach that could close the existing gaps. Given the resources, cost, and time it would take to transform the current system into a single cohesive one, the proposed approach is a stepwise one, and begins with the addition of two new Rs—Reflection and Responsiveness—to the existing 3Rs framework: Replacement, Refinement, and Reduction. Reflection emphasizes more continuous and specific attention to progress in the research pathway as it applies to animals than is currently required by institutional review and reporting; Responsiveness speaks to the immediate action that researchers can take responsively to that ongoing evaluation. Full article
10 pages, 520 KB  
Review
Video Laryngoscopy vs. Direct Laryngoscopy in Adult Patients with Difficult Airways Who Require Emergency Intubation
by Iktimal Alwan, Maria Alwan, Ibrahim Mahgoub, Ansam Eghzawi, Abeer Gharaibeh and Anita V. Goyal
Emerg. Care Med. 2024, 1(2), 77-86; https://doi.org/10.3390/ecm1020011 - 15 Apr 2024
Cited by 1 | Viewed by 6933
Abstract
This review compares the efficacy of video laryngoscopy (VL) with that of direct laryngoscopy (DL) in adult patients with difficult airways who require emergency intubation. Intubation and laryngoscopy are critical in emergency settings, and VL has emerged as an alternative to DL, particularly [...] Read more.
This review compares the efficacy of video laryngoscopy (VL) with that of direct laryngoscopy (DL) in adult patients with difficult airways who require emergency intubation. Intubation and laryngoscopy are critical in emergency settings, and VL has emerged as an alternative to DL, particularly in difficult airway cases and when performed by non-experienced practitioners. VL demonstrates advantages such as a wider field of view, enhanced glottic visibility, and higher first-pass success rates, particularly in difficult airway scenarios. However, it also presents limitations, including potential view obstruction and technical complexity. While the evidence points to the advantages of VL, particularly in achieving higher first-pass success rates and minimizing adverse events in adult patients with difficult airways, the inconclusive findings from randomized trials emphasize the importance of future research in refining practices and improving patient outcomes. Full article
Show Figures

Figure 1

13 pages, 905 KB  
Review
Mortality Predictors for Adult Patients with Mild-to-Moderate Traumatic Brain Injury: A Literature Review
by Ansam Eghzawi, Alameen Alsabbah, Shatha Gharaibeh, Iktimal Alwan, Abeer Gharaibeh and Anita V. Goyal
Neurol. Int. 2024, 16(2), 406-418; https://doi.org/10.3390/neurolint16020030 - 5 Apr 2024
Cited by 6 | Viewed by 5807
Abstract
Traumatic brain injuries (TBIs) represent a significant public health concern, with mild-to-moderate cases comprising a substantial portion of incidents. Understanding the predictors of mortality among adult patients with mild-to-moderate TBIs is crucial for optimizing clinical management and improving outcomes. This literature review examines [...] Read more.
Traumatic brain injuries (TBIs) represent a significant public health concern, with mild-to-moderate cases comprising a substantial portion of incidents. Understanding the predictors of mortality among adult patients with mild-to-moderate TBIs is crucial for optimizing clinical management and improving outcomes. This literature review examines the existing research to identify and analyze the mortality predictors in this patient population. Through a comprehensive review of peer-reviewed articles and clinical studies, key prognostic factors, such as age, Glasgow Coma Scale (GCS) score, the presence of intracranial hemorrhage, pupillary reactivity, and coexisting medical conditions, are explored. Additionally, this review investigates the role of advanced imaging modalities, biomarkers, and scoring systems in predicting mortality following a mild-to-moderate TBI. By synthesizing the findings from diverse studies, this review aims to provide clinicians and researchers with valuable insights into the factors influencing mortality outcomes in adult patients with a mild-to-moderate TBI, thus facilitating more informed decision making and targeted interventions in clinical practice. Full article
Show Figures

Figure 1

18 pages, 4051 KB  
Opinion
Human Brain Organoids in Migraine Research: Pathogenesis and Drug Development
by Parisa Gazerani
Int. J. Mol. Sci. 2023, 24(4), 3113; https://doi.org/10.3390/ijms24043113 - 4 Feb 2023
Cited by 4 | Viewed by 5457
Abstract
Human organoids are small, self-organized, three-dimensional (3D) tissue cultures that have started to revolutionize medical science in terms of understanding disease, testing pharmacologically active compounds, and offering novel ways to treat disease. Organoids of the liver, kidney, intestine, lung, and brain have been [...] Read more.
Human organoids are small, self-organized, three-dimensional (3D) tissue cultures that have started to revolutionize medical science in terms of understanding disease, testing pharmacologically active compounds, and offering novel ways to treat disease. Organoids of the liver, kidney, intestine, lung, and brain have been developed in recent years. Human brain organoids are used for understanding pathogenesis and investigating therapeutic options for neurodevelopmental, neuropsychiatric, neurodegenerative, and neurological disorders. Theoretically, several brain disorders can be modeled with the aid of human brain organoids, and hence the potential exists for understanding migraine pathogenesis and its treatment with the aid of brain organoids. Migraine is considered a brain disorder with neurological and non-neurological abnormalities and symptoms. Both genetic and environmental factors play essential roles in migraine pathogenesis and its clinical manifestations. Several types of migraines are classified, for example, migraines with and without aura, and human brain organoids can be developed from patients with these types of migraines to study genetic factors (e.g., channelopathy in calcium channels) and environmental stressors (e.g., chemical and mechanical). In these models, drug candidates for therapeutic purposes can also be tested. Here, the potential and limitations of human brain organoids for studying migraine pathogenesis and its treatment are communicated to generate motivation and stimulate curiosity for further research. This must, however, be considered alongside the complexity of the concept of brain organoids and the neuroethical aspects of the topic. Interested researchers are invited to join the network for protocol development and testing the hypothesis presented here. Full article
(This article belongs to the Special Issue Molecular and Cellular Neurobiology of Migraine)
Show Figures

Figure 1

17 pages, 1740 KB  
Article
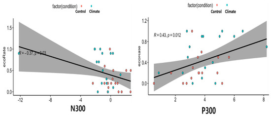
Can Climate Change Awaken Ecological Consciousness? A Neuroethical Approach to Green Consumption
by Meiling Yin, Hanna Choi and Eun-Ju Lee
Sustainability 2022, 14(22), 15007; https://doi.org/10.3390/su142215007 - 13 Nov 2022
Cited by 7 | Viewed by 4854
Abstract
Climate change is a major threat to humanity and endangers our way of life. If a critical mass of consumers can consider the consequences of the daily consumption choices they make, we could hope for a better future. From a neuroethical viewpoint, we [...] Read more.
Climate change is a major threat to humanity and endangers our way of life. If a critical mass of consumers can consider the consequences of the daily consumption choices they make, we could hope for a better future. From a neuroethical viewpoint, we examined how a consumer’s ecological consciousness can be awakened, leading to eco-friendly consumption. This study used the neuroscientific method of event-related potentials (ERP) to explore the neural mechanisms underlying climate change. Both frontal N300 and posterior P300 ERP components occur under climate change conditions which is a neural representation of ecological consciousness. Consumers who exhibited simultaneous frontal N300 and posterior P300 activation were more likely than those who did not to make eco-friendly product choices during the consumption tasks. Using these neurobehavioral findings, marketers can promote eco-friendly consumption based on ecological consciousness. Full article
(This article belongs to the Section Air, Climate Change and Sustainability)
Show Figures

Figure 1

11 pages, 279 KB  
Article
Individual Experiences with Being Pushed to Limits and Variables That Influence the Strength to Which These Are Felt: A Cross-Sectional Survey Study
by Eisuke Nakazawa, Katsumi Mori and Akira Akabayashi
J 2022, 5(3), 358-368; https://doi.org/10.3390/j5030024 - 16 Aug 2022
Viewed by 2778
Abstract
In a 2021 survey, we found that “limit or suppression experiences” were related to a willingness to use enhancement technologies. However, the concept of “limit or suppression experiences” is vague and difficult to interpret in relation to neuroethics/enhancement. Thus, we aimed to better [...] Read more.
In a 2021 survey, we found that “limit or suppression experiences” were related to a willingness to use enhancement technologies. However, the concept of “limit or suppression experiences” is vague and difficult to interpret in relation to neuroethics/enhancement. Thus, we aimed to better understand “limit or suppression experiences” and establish a robust philosophical concept of the topic. To do so, we exploratively investigated the concept to determine individual experiences with the presence or absence of sensing limits, investigate different ways in which limits can be sensed (factors of the sense of limits: “FSLs”), and identify factors that correlate with the strength of FSLs. Data from an Internet survey investigating respondents’ experiences with limits (1258 respondents) were analyzed using exploratory factor analysis and a linear regression model. Five variables were extracted as the FSLs. The highest regression coefficients were found between physical FSL and sports activities and between cognitive FSL and academics. The lowest regression coefficients were found between relational FSL and academics, sports activities, and arts and cultural activities. The results facilitate a detailed discussion of the motivations of enhancement users, and the extraction of the suppression experience opens new enhancement directions. Further normative and empirical studies are required. Full article
19 pages, 2177 KB  
Article
From Shorter to Longer Timescales: Converging Integrated Information Theory (IIT) with the Temporo-Spatial Theory of Consciousness (TTC)
by Georg Northoff and Federico Zilio
Entropy 2022, 24(2), 270; https://doi.org/10.3390/e24020270 - 13 Feb 2022
Cited by 36 | Viewed by 6459
Abstract
Time is a key element of consciousness as it includes multiple timescales from shorter to longer ones. This is reflected in our experience of various short-term phenomenal contents at discrete points in time as part of an ongoing, more continuous, and long-term ‘stream [...] Read more.
Time is a key element of consciousness as it includes multiple timescales from shorter to longer ones. This is reflected in our experience of various short-term phenomenal contents at discrete points in time as part of an ongoing, more continuous, and long-term ‘stream of consciousness’. Can Integrated Information Theory (IIT) account for this multitude of timescales of consciousness? According to the theory, the relevant spatiotemporal scale for consciousness is the one in which the system reaches the maximum cause-effect power; IIT currently predicts that experience occurs on the order of short timescales, namely, between 100 and 300 ms (theta and alpha frequency range). This can well account for the integration of single inputs into a particular phenomenal content. However, such short timescales leave open the temporal relation of specific phenomenal contents to others during the course of the ongoing time, that is, the stream of consciousness. For that purpose, we converge the IIT with the Temporo-spatial Theory of Consciousness (TTC), which, assuming a multitude of different timescales, can take into view the temporal integration of specific phenomenal contents with other phenomenal contents over time. On the neuronal side, this is detailed by considering those neuronal mechanisms driving the non-additive interaction of pre-stimulus activity with the input resulting in stimulus-related activity. Due to their non-additive interaction, the single input is not only integrated with others in the short-term timescales of 100–300 ms (alpha and theta frequencies) (as predicted by IIT) but, at the same time, also virtually expanded in its temporal (and spatial) features; this is related to the longer timescales (delta and slower frequencies) that are carried over from pre-stimulus to stimulus-related activity. Such a non-additive pre-stimulus-input interaction amounts to temporo-spatial expansion as a key mechanism of TTC for the constitution of phenomenal contents including their embedding or nesting within the ongoing temporal dynamic, i.e., the stream of consciousness. In conclusion, we propose converging the short-term integration of inputs postulated in IIT (100–300 ms as in the alpha and theta frequency range) with the longer timescales (in delta and slower frequencies) of temporo-spatial expansion in TTC. Full article
(This article belongs to the Special Issue Integrated Information Theory and Consciousness)
Show Figures

Figure 1

Back to TopTop