Sign in to use this feature.

Years

Between: -

Subjects

remove_circle_outline
remove_circle_outline
remove_circle_outline
remove_circle_outline
remove_circle_outline

Journals

Article Types

Countries / Regions

Search Results (5)

Search Parameters:
Keywords = muth distribution

Order results
Result details
Results per page
Select all
Export citation of selected articles as:
20 pages, 1604 KB  
Article
A New Discrete Analogue of the Continuous Muth Distribution for Over-Dispersed Data: Properties, Estimation Techniques, and Application
by Howaida Elsayed and Mohamed Hussein
Entropy 2025, 27(4), 409; https://doi.org/10.3390/e27040409 - 10 Apr 2025
Viewed by 477
Abstract
We present a new one-parameter discrete Muth (DsMuth) distribution, a flexible probability mass function designed for modeling count data, particularly over-dispersed data. The proposed distribution is derived through the survival discretization approach. Several of the proposed distribution’s characteristics and reliability measures are investigated, [...] Read more.
We present a new one-parameter discrete Muth (DsMuth) distribution, a flexible probability mass function designed for modeling count data, particularly over-dispersed data. The proposed distribution is derived through the survival discretization approach. Several of the proposed distribution’s characteristics and reliability measures are investigated, including the mean, variance, skewness, kurtosis, probability-generating function, moments, moment-generating function, mean residual life, quantile function, and entropy. Different estimation approaches, including maximum likelihood, moments, and proportion, are explored to identify unknown distribution parameters. The performance of these estimators is assessed through simulations under different parameter settings and sample sizes. Additionally, a real dataset is used to emphasize the significance of the proposed distribution compared to other available discrete probability distributions. Full article
(This article belongs to the Section Information Theory, Probability and Statistics)
Show Figures

Figure 1

18 pages, 479 KB  
Article
Scaled Muth–ARMA Process Applied to Finance Market
by Abraão D. C. Nascimento, Maria C. S. Lima, Hassan Bakouch and Najla Qarmalah
Mathematics 2023, 11(8), 1908; https://doi.org/10.3390/math11081908 - 18 Apr 2023
Cited by 2 | Viewed by 1807
Abstract
The analysis of financial market time series is an important source for understanding the economic reality of a country. We introduce a new autoregressive moving average (ARMA) process, the sMuth–ARMA model, which has the sMuth law as the marginal distribution and has one [...] Read more.
The analysis of financial market time series is an important source for understanding the economic reality of a country. We introduce a new autoregressive moving average (ARMA) process, the sMuth–ARMA model, which has the sMuth law as the marginal distribution and has one of its parameters as a proportion that can control amodal and unimodal behavior. We propose a procedure for obtaining the maximum likelihood estimators for its parameters and evaluate its performance for various link functions through Monte Carlo simulations. This research also addresses the issue of fluctuations in cryptocurrencies, which has played an increasingly important role in the global economy. An application to the range-based volatility of Tether (USDT) stablecoin prices shows the usefulness of the application of the proposed model over the Gaussian and other models reviewed. Full article
Show Figures

Figure 1

27 pages, 613 KB  
Article
A Compound Class of Inverse-Power Muth and Power Series Distributions
by Leonardo Barrios-Blanco, Diego I. Gallardo, Héctor J. Gómez and Marcelo Bourguignon
Axioms 2023, 12(4), 383; https://doi.org/10.3390/axioms12040383 - 16 Apr 2023
Cited by 1 | Viewed by 2143
Abstract
This paper introduces the inverse-power Muth power series model, which is a composition of the inverse-power Muth and the class of power series distributions. The use of the Bell distribution in this context is emphasized for the first time in the literature. Probability [...] Read more.
This paper introduces the inverse-power Muth power series model, which is a composition of the inverse-power Muth and the class of power series distributions. The use of the Bell distribution in this context is emphasized for the first time in the literature. Probability density, survival and hazard functions are studied, as well as their moments. Using the stochastic representation of the model, the maximum-likelihood estimators are implemented by the use of the expectation-maximization algorithm, while standard errors are calculated using Oakes’ method. Monte Carlo simulation studies are conducted to show the performance of the maximum-likelihood estimators in finite samples. Two applications to real datasets are shown, where our proposal is compared with some models based on power series compositions. Full article
(This article belongs to the Special Issue Probability, Statistics and Estimation)
Show Figures

Figure 1

18 pages, 357 KB  
Article
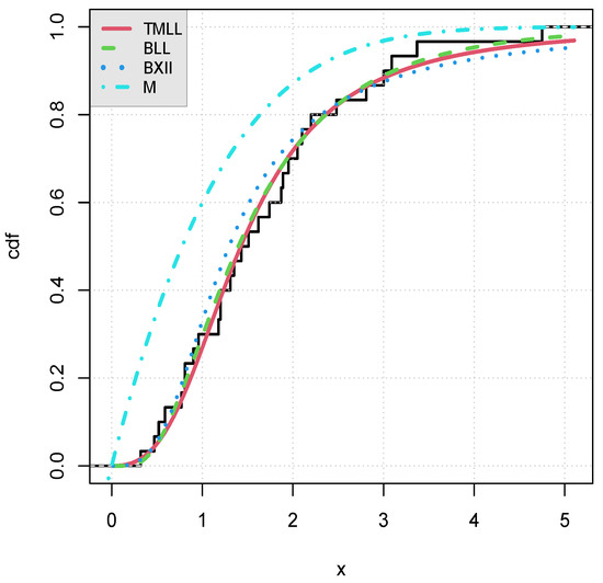
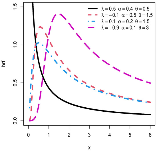
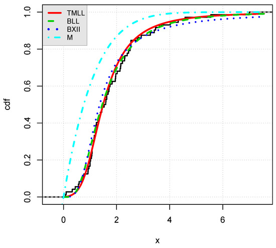
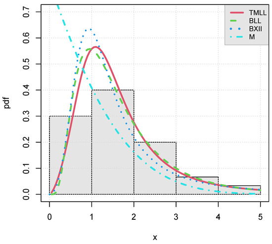
The Transmuted Muth Generated Class of Distributions with Applications
by Abdulhakim A. Al-Babtain, Ibrahim Elbatal, Christophe Chesneau and Farrukh Jamal
Symmetry 2020, 12(10), 1677; https://doi.org/10.3390/sym12101677 - 14 Oct 2020
Cited by 14 | Viewed by 2470
Abstract
Recently, the Muth generated class of distributions has been shown to be useful for diverse statistical purposes. Here, we make some contributions to this class by first discussing new theoretical facts and then introducing a natural extension of it via the transmuted scheme. [...] Read more.
Recently, the Muth generated class of distributions has been shown to be useful for diverse statistical purposes. Here, we make some contributions to this class by first discussing new theoretical facts and then introducing a natural extension of it via the transmuted scheme. The extended class is described in detail, emphasizing the characteristics of its probability and reliability functions, as well as its moments. Among other things, we show that it can extend the possible values of the mean and variance of the parental distribution, while maintaining symmetry or creating various types of asymmetry. The mathematical inference of the parameters is also discussed. Special attention is paid to the distribution of the new class using the log-logistic distribution as a parent. In an applied work, we evaluate the behavior of the corresponding model by using simulated and practical data. In particular, we employ it to fit two real-life data sets, one with environmental data and the other with survival data. Standard statistical criteria validate the importance of the proposed model. Full article
Show Figures

Figure 1

12 pages, 418 KB  
Article
A Reliability Model Based on the Incomplete Generalized Integro-Exponential Function
by Juan M. Astorga, Jimmy Reyes, Karol I. Santoro, Osvaldo Venegas and Héctor W. Gómez
Mathematics 2020, 8(9), 1537; https://doi.org/10.3390/math8091537 - 8 Sep 2020
Cited by 6 | Viewed by 2282
Abstract
This article introduces an extension of the Power Muth (PM) distribution for modeling positive data sets with a high coefficient of kurtosis. The resulting distribution has greater kurtosis than the PM distribution. We show that the density can be represented based on the [...] Read more.
This article introduces an extension of the Power Muth (PM) distribution for modeling positive data sets with a high coefficient of kurtosis. The resulting distribution has greater kurtosis than the PM distribution. We show that the density can be represented based on the incomplete generalized integro-exponential function. We study some of its properties and moments, and its coefficients of asymmetry and kurtosis. We apply estimations using the moments and maximum likelihood methods and present a simulation study to illustrate parameter recovery. The results of application to two real data sets indicate that the new model performs very well in the presence of outliers. Full article
(This article belongs to the Section D1: Probability and Statistics)
Show Figures

Figure 1

Back to TopTop