Sign in to use this feature.

Years

Between: -

Subjects

remove_circle_outline
remove_circle_outline
remove_circle_outline
remove_circle_outline
remove_circle_outline
remove_circle_outline
remove_circle_outline
remove_circle_outline
remove_circle_outline

Journals

remove_circle_outline
remove_circle_outline
remove_circle_outline
remove_circle_outline
remove_circle_outline
remove_circle_outline
remove_circle_outline
remove_circle_outline
remove_circle_outline
remove_circle_outline
remove_circle_outline
remove_circle_outline
remove_circle_outline
remove_circle_outline
remove_circle_outline
remove_circle_outline

Article Types

Countries / Regions

remove_circle_outline
remove_circle_outline
remove_circle_outline
remove_circle_outline
remove_circle_outline
remove_circle_outline

Search Results (1,538)

Search Parameters:
Keywords = multivariate survival data

Order results
Result details
Results per page
Select all
Export citation of selected articles as:
17 pages, 1736 KB  
Article
Tyrosine Kinase Inhibitor Therapy in Metastatic Medullary Thyroid Carcinoma: Real-World Data from Turkish Oncology Group
by Sedat Yıldız, Hacer Demir, Talha Özüdoğru, Damla Günenç, Zeynep Sıla Gökdere, Hayati Arvas, Zuhat Urakçı, Seda Jeral Evinç, Özkan Alan, Rumeysa Çolak, Mesut Yılmaz, Esra Aşık, Atila Yıldırım, Ali Kaan Güren, Osman Köstek, Berkan Karabuğa, Öztürk Ateş, Canberk Şencan, Tuğba Yavuzşen, Şuheda Ataş İpek, İsmail Oğuz Kara, Teoman Şakalar, Ahmet Cebeli Gökay, Havva Yeşil Çınkır, Ahmet Kürşad Dişli, Mevlüde İnanç, Olçun Ümit Ünal, Emre Yılmaz, İlhan Hacıbekiroğlu, Sait Kitaplı, Özgür Tanrıverdi, Elif Şahin, Muhammed Fatih Sağıroğlu, Pembegül Yumuştutan, Seray Saray, Selahattin Çelik, Hayriye Şahinli, Azer Gökmen, Gizem Bakır Kahveci, Didem Divriklioğlu and Saadettin Kılıçkapadd Show full author list remove Hide full author list
J. Clin. Med. 2026, 15(6), 2353; https://doi.org/10.3390/jcm15062353 (registering DOI) - 19 Mar 2026
Abstract
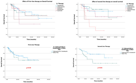
Background: Vandetanib and cabozantinib are the approved first-line antiangiogenic multikinase inhibitors (aaMKIs) for metastatic medullary thyroid carcinoma (MTC); however, real-world data on their comparative efficacy, optimal sequencing, and outcomes beyond the first-line setting remain limited. We report multicenter real-world outcomes from a large [...] Read more.
Background: Vandetanib and cabozantinib are the approved first-line antiangiogenic multikinase inhibitors (aaMKIs) for metastatic medullary thyroid carcinoma (MTC); however, real-world data on their comparative efficacy, optimal sequencing, and outcomes beyond the first-line setting remain limited. We report multicenter real-world outcomes from a large Turkish cohort. Methods: In this retrospective multicenter cohort study, we analyzed data from 24 oncology referral centers across Türkiye. Patients with histologically confirmed metastatic MTC who received systemic therapy between December 2011 and December 2024 were included. The primary endpoint was progression-free survival (PFS), assessed separately for first-line (PFS1) and second-line (PFS2) therapy. Overall survival (OS) and prognostic factors were evaluated using Kaplan–Meier and Cox proportional hazards analyses. Results: A total of 115 patients were included (median age 47.4 years; 63.5% male). In the first-line setting, vandetanib (47.8%) and cabozantinib (30.4%) were the most frequently used agents. Median PFS1 was 40.8 months with vandetanib and was not reached with cabozantinib; both were significantly superior to chemotherapy (median PFS1 4.9 months; log-rank p < 0.001). In the second-line setting, median PFS2 was not reached with cabozantinib and was 32.5 months with vandetanib. Sequential use of cabozantinib and vandetanib across the first two lines was associated with a median time to second progression of 114 months, compared with 39 months in patients receiving any other TKI combination (p = 0.003). Second-line use of cabozantinib or vandetanib was independently associated with improved OS (HR 0.40, 95% CI 0.16–0.98; p = 0.046). On multivariate analysis, younger age (HR 0.16, 95% CI 0.03–0.72; p = 0.017) and bone metastasis (HR 0.29, 95% CI 0.11–0.73; p = 0.009) were independent prognostic factors for OS. Conclusions: In this real-world cohort of patients with metastatic MTC, cabozantinib and vandetanib demonstrated durable efficacy across treatment lines, substantially outperforming alternative TKIs and chemotherapy. Sequential use of both approved aaMKIs was associated with prolonged disease control. These findings suggest a potential association between access to both agents and improved outcomes. They are consistent with their central role in treatment sequencing, particularly in settings with limited access to selective RET inhibitors. Given the retrospective design and small subgroup sizes, these results should be interpreted as exploratory and hypothesis-generating. Full article
(This article belongs to the Section Oncology)
Show Figures

Figure 1

13 pages, 504 KB  
Article
Independent Risk Factors and a New Nomogram for Predicting Breast Cancer Risk for Bone Metastasis in Chinese Women: A Retrospective Study with External Validation
by Yunfei Huang, Tianjiao Ge, Heng Song, Wenjia Zhang, Meiqi Wang and Zhenchuan Song
J. Clin. Med. 2026, 15(6), 2324; https://doi.org/10.3390/jcm15062324 - 18 Mar 2026
Abstract
Background/Objectives: Bone is the most common organ affected by distant metastasis in advanced breast cancer, and the development of skeletal-related events (SREs) often leads to significant deterioration in patients’ quality of life and survival outcomes. In this study, we aimed to explore the [...] Read more.
Background/Objectives: Bone is the most common organ affected by distant metastasis in advanced breast cancer, and the development of skeletal-related events (SREs) often leads to significant deterioration in patients’ quality of life and survival outcomes. In this study, we aimed to explore the risk factors associated with bone metastasis in breast cancer and to develop a predictive nomogram for identifying high-risk patients, which may facilitate timely preventive interventions and improve clinical prognosis. Methods: A retrospective analysis was conducted on 672 patients with breast cancer who underwent surgery at the Fourth Hospital of Hebei Medical University (Shijiazhuang, China) between 2013 and 2023; this cohort served as the training set. Clinical and pathological characteristics potentially influencing bone metastasis—including age, menopausal status, histological grade, affected side, maximum tumor diameter, lymph node staging, TNM staging, ER status, PR status, HER-2 status, Ki-67, molecular subtypes, vascular tumor thrombus, nerve infiltration and visceral metastasis—were collected. The median follow-up time was 42 months. Patients were stratified into two cohorts based on whether postoperative bone metastasis occurred, with groups matched according to Tumor–Node–Metastasis (TNM) stage. Univariate and multivariate logistic regression models were applied to identify independent factors associated with breast cancer bone metastasis, and a nomogram prediction model was constructed using the variables retained in the final analysis. For external validation, data from 2814 patients with breast cancer who underwent surgery between 2013 and 2021 were extracted from the U.S. Surveillance, Epidemiology, and End Results database. Results: The multivariate logistic regression analysis revealed that histological grade (p = 0.002), progesterone receptor (PR) negativity (p = 0.001), human epidermal growth factor receptor 2 (HER-2) negativity (p = 0.002) and visceral metastasis (p < 0.001) were identified as independent predictors of bone metastasis in breast cancer. A nomogram predictive model was established using these four factors. The area under the receiver operating characteristic curve was 0.720 (95% confidence interval (CI): 0.6797–0.7607) for the training cohort and 0.701 (95% CI: 0.6813–0.7205) for the external validation cohort. Decision curve analysis further confirmed the clinical applicability of the model. Conclusions: The present study confirms that histological grade, PR status, HER-2 status and visceral metastasis are independent factors associated with bone metastasis in breast cancer. The constructed nomogram may effectively predict breast cancer-related bone metastasis and could serve as a practical tool for clinical decision-making. Full article
(This article belongs to the Special Issue Breast Cancer: Advances in Clinical and Personalized Practices)
Show Figures

Figure 1

16 pages, 988 KB  
Article
Comparative Clinicopathological Features and p16 Expression in Squamous Cell Carcinoma and Adenocarcinoma of the Cervix: A Single-Center Retrospective Cohort Study in Saudi Arabia (2020–2024)
by Emad Alqassim, Mashael J. Abu Alola, Ahmad Y. Alqassim, Asma Tulbah, Sarah Alawami, Abdulrahman Samman, Zainab Y. Azzouni, Amnah A. Shubayli, Arwa A. Al-Qahtani, Abdulrahman A. Alahmari, Fatimah Alhamlan and Ahmed A. Al-Qahtani
Biomedicines 2026, 14(3), 686; https://doi.org/10.3390/biomedicines14030686 - 17 Mar 2026
Abstract
Background: Cervical cancer remains a major global health burden, with squamous cell carcinoma (SCC) and adenocarcinoma (ADC) representing the two predominant histological subtypes. Comparative clinicopathological patterns between SCC and ADC in contemporary cohorts remain of interest, but inference is often limited by [...] Read more.
Background: Cervical cancer remains a major global health burden, with squamous cell carcinoma (SCC) and adenocarcinoma (ADC) representing the two predominant histological subtypes. Comparative clinicopathological patterns between SCC and ADC in contemporary cohorts remain of interest, but inference is often limited by small single-center datasets. Methods: We conducted a retrospective single-center cohort analysis of cervical cancer patients treated between 2020 and 2024. Demographic, clinical, and pathological variables, including p16 immunohistochemistry, histological subtype, differentiation grade, FIGO stage, and survival status, were analyzed. Comparative analyses were performed using appropriate exact tests, and survival was assessed using Kaplan–Meier methods. Results: The cohort included 85 patients: 69 with squamous cell carcinoma and 16 with adenocarcinoma. Both subtypes demonstrated similarly high p16 positive rates (89.9% vs. 93.8%, p = 1.00). Menopausal status emerged as a distinguishing factor (p = 0.0047), with SCC patients more likely to be postmenopausal. SCC patients were older on average (52.16 vs. 48.2 years: p = 0.0131). Analyses involving p16 status were interpreted descriptively due to the very small number of p16-negative cases. Kaplan–Meier analysis revealed significant survival differences by clinical stage (log-rank p = 0.03), with high-stage patients showing progressive decline from 95% to 73% survival over five years, while low-stage patients maintained 100% survival. Conclusions: In this retrospective single-center cohort, SCC and ADC showed similar p16 positivity rates and clinical stage remained the most informative prognostic variable. Apparent subtype-related demographic differences and multivariable associations should be considered hypothesis-generating rather than definitive. Larger multicenter studies with standardized pathology and p16 assessment, direct HPV testing/genotyping, and more complete clinical and prevention-related data are needed before prognostic or clinical conclusions are drawn. Full article
(This article belongs to the Special Issue Advances in Infectious and Inflammatory Diseases)
Show Figures

Figure 1

18 pages, 2976 KB  
Article
Etiology and Risk Factors for Shunt Revision in Adult Hydrocephalus: A Single-Center Retrospective Cohort Study
by Christodoulos Komiotis, Anastasia Tasiou, Alexandros G. Brotis and Kostas N. Fountas
Brain Sci. 2026, 16(3), 318; https://doi.org/10.3390/brainsci16030318 - 17 Mar 2026
Abstract
Background/Objectives: Hydrocephalus is defined as the symptomatic accumulation of excessive cerebrospinal fluid (CSF) within the ventricular system. It has an estimated incidence of 85 cases per 100,000 population annually in adults, making it one of the most common conditions managed by neurosurgeons [...] Read more.
Background/Objectives: Hydrocephalus is defined as the symptomatic accumulation of excessive cerebrospinal fluid (CSF) within the ventricular system. It has an estimated incidence of 85 cases per 100,000 population annually in adults, making it one of the most common conditions managed by neurosurgeons globally. Many conditions may lead to ventricular dilation and hydrocephalus, such as hemorrhage, tumors, infection, trauma, and idiopathic normal-pressure hydrocephalus (iNPH). Regardless of the cause, the gold-standard treatment for hydrocephalus is CSF diversion, usually via a ventriculoperitoneal (VP) shunt. The goal of the present study is to present our experience regarding the etiology of hydrocephalus, management, and shunt failure characteristics over the last 11 years. Methods: A single-center retrospective cohort study was performed. Our cohort consisted of adult patients who were shunted or required revision surgery in our department over the last 11 years. Data regarding the etiology of hydrocephalus, management, shunt characteristics, revision status, and etiology of revision were collected and retrospectively analyzed. Univariable and multivariable logistic regression models were established in order to explore potential associations between the etiology of hydrocephalus and patient characteristics and risk of shunt revision. Revision-free survival probabilities were estimated using the Kaplan–Meier method, while shunt failure rates were also calculated. Results: Our cohort consisted of 114 patients, the median age was 59 (IQR = 26.5) years, and the male-to-female ratio was 1.04:1. The most common cause of hydrocephalus was iNPH (30.7%), followed by post-hemorrhagic (23.7%) and tumor-related hydrocephalus (21.1%). The 12-month revision rate was 13.6%, with overall revision-free survival of 86.4% at one year. Infection (43.2%) was the most common cause of shunt revision, followed by obstruction (16.2%), and mechanical disconnection and migration (18.9%). Younger age was associated with higher risk of revision, while etiology of hydrocephalus and patient sex were not. Conclusions: Our study adds to the pertinent literature data regarding hydrocephalus etiology, management strategies, and shunt failure rates across different hydrocephalus etiologies. Additionally, it serves as a foundation for future studies that could identify predictors of shunt failure, apart from the etiology of hydrocephalus, such as patient characteristics, surgical factors, or shunt types. Finally, we highlight the importance of comprehensive national and potentially continental registries, which will facilitate large-scale analyses. Full article
(This article belongs to the Section Systems Neuroscience)
Show Figures

Figure 1

15 pages, 2723 KB  
Article
Response-Adapted Benefit of Postoperative Adjuvant Therapy Following Neoadjuvant Treatment in Resectable NSCLC: A Single-Center Retrospective Cohort Study           
by Yanbo Wang, Weiran Zhang, Xin Wang, Han Zhang, Qiuqiao Mu, Jianyu Wang, Qingsheng Liu, Guotai Wang, Xin Li and Daqiang Sun
Cancers 2026, 18(6), 955; https://doi.org/10.3390/cancers18060955 - 15 Mar 2026
Abstract
Background: Neoadjuvant immunochemotherapy improves pathological response in resectable non-small cell lung cancer (NSCLC), but the need and intensity of postoperative adjuvant therapy across different pathological response rate (PRR) strata remain uncertain. Methods: In this single-center retrospective cohort, 105 patients with resectable [...] Read more.
Background: Neoadjuvant immunochemotherapy improves pathological response in resectable non-small cell lung cancer (NSCLC), but the need and intensity of postoperative adjuvant therapy across different pathological response rate (PRR) strata remain uncertain. Methods: In this single-center retrospective cohort, 105 patients with resectable NSCLC received neoadjuvant platinum-based chemotherapy with or without PD-1/PD-L1 inhibitors followed by R0 resection. PRR was defined as 1—residual viable tumor fraction and categorized as 0–60%, 60–90%, and ≥90% (major pathological response, MPR). Postoperative strategies included no further therapy, chemotherapy alone, or immunotherapy ± chemotherapy. Event-free survival (EFS) was analyzed using Kaplan–Meier estimates, multivariable Cox models, and restricted cubic spline-based treatment × PRR interaction. Results: Deeper PRR was associated with lower ypT/ypN stage and improved EFS. In the PRR 0–60% subgroup, immunotherapy-containing adjuvant regimens were associated with better EFS, whereas chemotherapy alone did not outperform observation. In the PRR 60–90% and MPR strata, EFS curves for different postoperative strategies largely overlapped, and in MPR patients, hazard ratios were close to 1. Interaction modeling suggested that the absolute 3-year EFS benefit of immunochemotherapy peaked at intermediate PRR (≈60–80%) and diminished as PRR approached ≥90%. Conclusions: The robustness of these findings was further confirmed through a sensitivity analysis focusing on a homogeneous cohort of clinical stage II-III patients receiving adjuvant therapy. Among NSCLC patients treated with neoadjuvant systemic therapy, PRR is a strong prognostic marker and modulates the benefit of postoperative immunotherapy. These data support a response-adapted strategy, with adjuvant immunotherapy intensification in low-PRR patients and potential de-escalation or surveillance alone in MPR patients, warranting validation in prospective PRR-stratified trials. Full article
(This article belongs to the Special Issue Clinical Research on Thoracic Cancer)
Show Figures

Figure 1

28 pages, 1284 KB  
Article
Prognostic Factors of Survival in Patients with Surgically Treated Penile Squamous Cell Carcinoma: A Retrospective Cohort Analysis
by Andrei Andreșanu, Constantin Gîngu, Dragoș Eugen Georgescu, Mihaela Roxana Oliță, Mihai Adrian Dobra, Cristian Mirvald, Bogdan Obrișcă, Mihai-Adrian Eftimie and Ioanel Sinescu
Cancers 2026, 18(6), 952; https://doi.org/10.3390/cancers18060952 - 14 Mar 2026
Abstract
Background/Objectives: Penile squamous cell carcinoma (PSCC) is a rare malignancy with a potential major impact on survival. Prognostic assessment remains challenging, particularly in underrepresented eastern European populations, where region-specific evidence is lacking. This paper aimed to identify independent predictors of overall survival [...] Read more.
Background/Objectives: Penile squamous cell carcinoma (PSCC) is a rare malignancy with a potential major impact on survival. Prognostic assessment remains challenging, particularly in underrepresented eastern European populations, where region-specific evidence is lacking. This paper aimed to identify independent predictors of overall survival in surgically treated patients with PSCC from a Romanian high-volume tertiary center. Methods: This retrospective cohort study analyzed 60 patients who were surgically treated for PSCC between October 2020 and December 2024. Univariate and multivariate Cox proportional hazards regression analyses were performed to identify independent prognostic factors. Results: The mean patient age was 62 ± 12 years. T-stage distribution showed 30% pT1, 35% pT2, 31.67% pT3, and 3.33% pT4, with 55% of patients presenting with nodal metastases. Univariate analyses demonstrated significant associations between lymphovascular invasion (p < 0.001), perineural invasion (p = 0.022), and positive surgical margins (p = 0.030) and risk of death. Multivariate analysis identified three independent prognostic factors: absence of histologically documented urethral invasion (HR 0.32; p = 0.027), T3–T4 disease (HR 8.26; p = 0.005 vs. T1), and N3 stage (HR 3.53; p = 0.030 vs. N0–N1). Patients without urethral invasion demonstrated significantly longer median overall survival (63 months vs. 11 months). The final three-variable prognostic model demonstrated good discrimination (C-index 0.78), providing a potential practical risk stratification tool. Conclusions: Urethral invasion, advanced T-stage, and N3 disease independently predict poor survival in surgically treated PSCC. The identification of urethral invasion as an independent prognostic factor warrants consideration in clinical practice. This is the first study of a Romanian cohort to provide critical data for risk-adapted treatment strategies in underrepresented eastern European populations. Full article
Show Figures

Figure 1

14 pages, 1590 KB  
Article
Association of Triglyceride-to-HDL-C Ratio, Triglyceride–Glucose Index, and Inflammatory Biomarkers with Mortality in Intensive Care Unit Patients with Sepsis
by Nilgün Şahin, Semih Aydemir, Nazan Has Selmi, İbrahim Ertaş, Yavuz Kutay Gökçe, Cihan Döğer, Gökçen Terzi and Mesher Ensarioğlu
Diagnostics 2026, 16(6), 844; https://doi.org/10.3390/diagnostics16060844 - 12 Mar 2026
Viewed by 117
Abstract
Background/Objectives: This study aimed to investigate the prognostic significance of the triglyceride–glucose index (TGI), triglyceride-to-high-density lipoprotein cholesterol (TG/HDL-C) ratio, and inflammatory biomarkers in predicting short-term mortality among intensive care unit (ICU) patients with sepsis. Additionally, this study evaluated whether combining these indices [...] Read more.
Background/Objectives: This study aimed to investigate the prognostic significance of the triglyceride–glucose index (TGI), triglyceride-to-high-density lipoprotein cholesterol (TG/HDL-C) ratio, and inflammatory biomarkers in predicting short-term mortality among intensive care unit (ICU) patients with sepsis. Additionally, this study evaluated whether combining these indices with conventional clinical scores improves prognostic accuracy. Methods: This retrospective cohort study included 600 adult ICU patients diagnosed with sepsis according to Sepsis-3 criteria between January 2020 and April 2025. Clinical, biochemical, and hematological data were collected within the first 24 h of ICU admission. Metabolic indices (TGI, TG/HDL-C) and inflammatory markers (neutrophil-to-lymphocyte ratio [NLR], systemic immune-inflammation index [SII], and pan-immune-inflammation value [PIV]) were analyzed. The primary outcome was 28-day mortality. Receiver operating characteristic (ROC) analyses, Kaplan–Meier survival curves, and a multivariable logistic regression model were applied to determine prognostic performance. Results: Non-survivors exhibited significantly higher levels of TGI, TG/HDL-C, NLR, SII, and PIV compared to survivors (all p < 0.001). In ROC analysis, TGI (AUC = 0.75, 95% CI: 0.71–0.79), TG/HDL-C (AUC = 0.72, 95% CI: 0.68–0.76), and PIV (AUC = 0.78, 95% CI: 0.74–0.82) demonstrated good discriminative power for predicting 28-day mortality. Multivariate logistic regression identified TGI > 8.95 (OR = 1.44, 95% CI: 1.19–1.74, p < 0.001), TG/HDL-C > 3.95 (OR = 1.31, 95% CI: 1.08–1.59, p = 0.005), and PIV > 260 (OR = 1.49, 95% CI: 1.22–1.82, p < 0.001) as independent predictors of mortality. Integrating TGI and PIV with the SOFA score improved prognostic performance (ΔAUC = +0.04). Conclusions: Both TGI and TG/HDL-C are independent predictors of short-term mortality in septic ICU patients, reflecting the contribution of metabolic dysregulation to disease severity. The PIV demonstrated comparable predictive ability to conventional severity scores. Combining metabolic and inflammatory biomarkers with established clinical indices may enhance early risk stratification and guide personalized management strategies in sepsis. Full article
(This article belongs to the Special Issue Diagnosis and Prognosis of Sepsis)
Show Figures

Figure 1

15 pages, 2272 KB  
Article
Clinical and Therapeutic Predictors of Keloid Recurrence: Outcomes in a European Cohort of 206 Patients
by Vera Vorstandlechner, Katharina Neid and Alexandra Fochtmann-Frana
J. Clin. Med. 2026, 15(6), 2150; https://doi.org/10.3390/jcm15062150 - 11 Mar 2026
Viewed by 168
Abstract
Background/Objectives: Keloids are fibroproliferative scars with high postsurgical recurrence rates and limited high-quality data from European populations. Current treatment guidelines recommend multimodal management; however, real-world practice often varies, and therapeutic efficacy in Western cohorts remains insufficiently characterized. This study aimed to analyze determinants [...] Read more.
Background/Objectives: Keloids are fibroproliferative scars with high postsurgical recurrence rates and limited high-quality data from European populations. Current treatment guidelines recommend multimodal management; however, real-world practice often varies, and therapeutic efficacy in Western cohorts remains insufficiently characterized. This study aimed to analyze determinants of keloid recurrence and evaluate the impact of postoperative treatments within one of the largest Middle-European keloid cohorts to date. Methods: In this retrospective single-center study, 206 patients treated for at least one keloid between 2010 and 2024 were analyzed. Patients received either conservative therapy or surgical excision with or without postoperative treatments, including intralesional triamcinolone (TAC), irradiation, silicone, compression, and laser therapy. Recurrence-free survival was assessed using Kaplan–Meier estimation, univariate analysis and multivariate Cox proportional hazards modeling. Results: Male sex, specific anatomical sites (ear and thorax), and ethnicity (Black/African, Asian, and Middle Eastern/Arab patients) showed significant associations with more recurrences. Univariate analyses indicated higher recurrence rates in patients treated with TAC or laser therapy, whereas irradiation, compression, and silicone showed no significant effect. Multi-component analysis revealed distinct patient clusters differing in recurrence burden and treatment patterns, and multivariate analysis showed that laser therapy remained associated with increased recurrence risk, whereas TAC, irradiation, silicone, and compression demonstrated modest protective trends. Combined use of the four latter modalities was associated with a non-significant trend to lower recurrence hazard (HR 0.75). Conclusions: This large European cohort highlights substantial demographic variability and heterogeneity in postoperative treatment strategies. Multimodal adjuvant therapy—particularly combinations of TAC, irradiation, silicone, and compression—may reduce recurrence risk, whereas laser-treated cases likely reflect confounding by indication. Full article
Show Figures

Figure 1

16 pages, 1600 KB  
Article
Prognostic Value of a Composite Inflammation–Renal Function Score in Type A Aortic Dissection
by Rui-Qin Zhou, Yin-Ding Peng, Hao Cai, Cheng Zhang and Qing-Chen Wu
J. Cardiovasc. Dev. Dis. 2026, 13(3), 133; https://doi.org/10.3390/jcdd13030133 - 11 Mar 2026
Viewed by 141
Abstract
Background and Objectives: Systemic inflammation and renal dysfunction play a central role in the progression and prognosis of type A aortic dissection (TAAD). This study evaluated the SCr score, a composite index combining the systemic inflammation response index (SIRI) and serum creatinine, to [...] Read more.
Background and Objectives: Systemic inflammation and renal dysfunction play a central role in the progression and prognosis of type A aortic dissection (TAAD). This study evaluated the SCr score, a composite index combining the systemic inflammation response index (SIRI) and serum creatinine, to assess its prognostic value postoperatively. Materials and Methods: Clinical data from 299 surgically treated TAAD patients were retrospectively analyzed. SCr scores were stratified into three levels using optimal cutoffs. Survival differences were examined using Kaplan–Meier curves. Independent predictors of overall survival (OS) and in-hospital mortality (IHM) were identified through multivariable Cox and logistic regression, respectively. A prognostic nomogram integrating SCr and significant clinical variables was developed, and model performance was evaluated and compared with previously published models. Results: Higher SCr scores were associated with a progressively increased mortality risk. In multivariable Cox analysis, both SCr scores of 1 and 2 emerged as independent predictors of worse long-term survival, with SCr = 2 demonstrating a particularly strong association (hazard ratio (HR) = 4.408, 95% confidence interval (CI): 1.786–10.881; p = 0.001). In logistic regression analysis, SCr scores remained an independent predictor of IHM (SCr = 1: odds ratio (OR) = 3.066, 95% CI: 1.032–9.102; SCr = 2: OR = 4.811, 95% CI: 1.081–21.409; p < 0.05 for both). A prognostic nomogram based on the SCr score and other clinical variables achieved strong discrimination for OS (area under the curve [AUC]: 0.845) and IHM (AUC: 0.821). Conclusions: The SCr score was independently associated with preoperative risk in patients with TAAD. An SCr-incorporating nomogram demonstrated favorable discriminative performance for predicting overall survival and in-hospital mortality. These findings suggest that SCr-based assessment may provide complementary information and assist in the identification of high-risk patients within established clinical assessment frameworks. Full article
(This article belongs to the Special Issue Aortic Surgery—Back to the Roots and Looking to the Future)
Show Figures

Figure 1

13 pages, 234 KB  
Article
Impact of Medicaid Enrollment Timing on Tumor Stage at Diagnosis and Survival in Breast, Colorectal, and Lung Cancer
by Gabriel A. Benavidez, Stella Self, Anthony J. Alberg, Janice Probst and Jan M. Eberth
Healthcare 2026, 14(6), 713; https://doi.org/10.3390/healthcare14060713 - 11 Mar 2026
Viewed by 109
Abstract
Background: Medicaid-insured patients experience higher rates of late-stage cancer diagnosis and worse survival than non-Medicaid patients. The impact of Medicaid enrollment timing on cancer outcomes is less clear. This study examines the association between Medicaid enrollment and timing with tumor stage and cancer-specific [...] Read more.
Background: Medicaid-insured patients experience higher rates of late-stage cancer diagnosis and worse survival than non-Medicaid patients. The impact of Medicaid enrollment timing on cancer outcomes is less clear. This study examines the association between Medicaid enrollment and timing with tumor stage and cancer-specific survival for breast, colorectal, and lung cancers. Methods: We analyzed SEER-Medicaid linked data for 276,755 breast, 104,784 colorectal, and 101,058 lung cancer patients < 65 years of age. Patients were categorized as non-Medicaid enrollees, pre-diagnosis enrollees (≥12 months before), or post-diagnosis enrollees (≤12 months after). Multivariable logistic regression estimated odds ratios of late-stage diagnosis, and cause-specific Cox proportional hazards models were used to assess cancer-specific survival, adjusting for demographic and socioeconomic factors. Results: Compared to non-Medicaid enrollees, post-diagnosis enrollees had the highest odds of late-stage diagnosis (breast cancer: OR: 3.41; colorectal cancer: OR: 3.78; lung cancer: OR: 1.87). Pre-diagnosis enrollees also had increased odds, but the association was weaker than post-diagnosis enrollees. Cancer-specific mortality was higher for both pre- and post-diagnosis enrollees compared to non-Medicaid enrollees for each cancer examined across tumor stage at diagnosis. Among Medicaid enrollees, those enrolled post-diagnosis had higher cancer-specific mortality than those enrolled pre-diagnosis for localized-stage colorectal (HR: 1.82) and lung cancer (HR: 1.30). In contrast, those enrolled post-diagnosis had lower mortality than those enrolled pre diagnosis for distant-stage breast cancer (HR: 0.91). Conclusions: Compared with cancer patients not insured by Medicaid, post-diagnosis Medicaid enrollment was associated with a greater likelihood of late-stage cancer and worse cancer-specific survival across each cancer type examined. Future research is warranted to examine the role of Medicaid enrollment timing in cancer care to better understand its impact on cancer outcomes. Full article
(This article belongs to the Section Public Health and Preventive Medicine)
19 pages, 404 KB  
Article
Risk Stratification and Mortality in Clostridioides difficile Infection: Clinical Determinants and Prognostic Assessment
by Luís Furtado
Acta Microbiol. Hell. 2026, 71(1), 7; https://doi.org/10.3390/amh71010007 - 10 Mar 2026
Viewed by 105
Abstract
Clostridioides difficile infection (CDI) remains a major cause of healthcare-associated morbidity and mortality, particularly among older adults and patients with recent healthcare exposure, underscoring the need for early risk stratification and accurate prognostic assessment. This retrospective observational study evaluated clinical, laboratory, and therapeutic [...] Read more.
Clostridioides difficile infection (CDI) remains a major cause of healthcare-associated morbidity and mortality, particularly among older adults and patients with recent healthcare exposure, underscoring the need for early risk stratification and accurate prognostic assessment. This retrospective observational study evaluated clinical, laboratory, and therapeutic factors associated with disease severity and in-hospital mortality, and assessed the predictive performance of the ATLAS score and the Charlson comorbidity index. A total of 101 adult inpatients with laboratory-confirmed CDI admitted to a Portuguese tertiary care hospital were included. Data were extracted from clinical records and analysed using comparative statistics, multivariable logistic regression, and Kaplan–Meier survival analysis. Advanced age, elevated white blood cell count, renal dysfunction, and prior exposure to multiple antibiotic classes were independently associated with increased disease severity and mortality. The ATLAS score demonstrated good discriminative ability, particularly for short-term mortality, and showed higher sensitivity compared with the Charlson comorbidity index. These findings provide additional evidence on clinical and laboratory factors associated with severe CDI and in-hospital mortality, while supporting the utility of the ATLAS score as a practical tool for early risk stratification in hospitalised patients. Full article
Show Figures

Figure 1

16 pages, 1410 KB  
Article
Five-Year Drug Survival and Discontinuation Reasons for Eight Biological Disease-Modifying Antirheumatic Drugs for Rheumatoid Arthritis: A Retrospective Analysis of 1182 Patients from the Niigata Orthopedic Surgery Rheumatoid Arthritis Database (NOSRAD)
by Nariaki Hao, Naoki Kondo, Katsumitsu Arai, Naoko Kudo, Takehiro Murai, Junichi Fujisawa, Yasufumi Kijima, Rika Kakutani and Hiroyuki Kawashima
J. Clin. Med. 2026, 15(5), 2075; https://doi.org/10.3390/jcm15052075 - 9 Mar 2026
Viewed by 151
Abstract
Background: Continuity of care for rheumatoid arthritis patients within regional networks enables stable long-term clinical data collection, despite chronic rheumatologist shortages in Japan. We determined 5-year drug survival and discontinuation reasons for eight biological disease-modifying antirheumatic drugs (bDMARDs) using a regional multicenter [...] Read more.
Background: Continuity of care for rheumatoid arthritis patients within regional networks enables stable long-term clinical data collection, despite chronic rheumatologist shortages in Japan. We determined 5-year drug survival and discontinuation reasons for eight biological disease-modifying antirheumatic drugs (bDMARDs) using a regional multicenter registry. Methods: We retrospectively analyzed 1182 patients initiating their first (naïve, n = 784) or subsequent (switch, n = 398) bDMARD between May 2001 and August 2022 across five institutions. The primary endpoint (5-year drug survival) and secondary endpoints (discontinuation risk factors and cumulative incidence of reasons) were evaluated using Kaplan–Meier curves, Cox proportional hazards, and Fine & Gray models. Results: Baseline characteristics varied significantly among bDMARDs. Five-year drug survival in the naïve cohort ranged from tocilizumab (50.8%) to golimumab (22.6%); in the switch cohort, from abatacept (42.6%) to infliximab (10.0%). In multivariable Cox analysis of naïve patients, male sex (hazard ratio [HR] = 1.49, 95% confidence interval [CI] = 1.09–2.02), lower baseline 28-joint Disease Activity Score with erythrocyte sedimentation rate (DAS28-ESR) (HR = 0.90, 95% CI = 0.82–0.99), and absence of methotrexate co-therapy (HR = 0.73, 95% CI = 0.55–0.97) predicted discontinuation. The lower baseline DAS28-ESR association potentially reflects successful courses toward intentional cessation following remission. Discontinuations were attributed to inadequate response (27.1%), non-adverse events (25.3%), and adverse events (17.3%). Conclusions: Tocilizumab and abatacept demonstrated the highest retention rates in biologic-naïve and switch cohorts, respectively. Early, individualized drug selection and dose optimization are crucial to maximizing long-term bDMARD effectiveness before switching. Full article
Show Figures

Figure 1

23 pages, 1189 KB  
Article
Atherogenic Lipid Indices in Colorectal Cancer: Metabolic Associations and Survival Outcomes
by Răzvan Alexandru Marinescu, Daniela Marinescu, Lidia Boldeanu, Ana-Maria Ciurea, Marius Bică, Ștefan Pătrașcu, Victor Dan Eugen Strâmbu, Petru Adrian Radu, Petrica Popa, Mohamed-Zakaria Assani, Mihail Virgil Boldeanu and Valeriu Șurlin
Diagnostics 2026, 16(5), 810; https://doi.org/10.3390/diagnostics16050810 - 9 Mar 2026
Viewed by 189
Abstract
Background/Objectives: Type 2 diabetes mellitus (T2DM) and atherogenic dyslipidemia have been implicated in colorectal cancer (CRC) development, but their prognostic relevance after cancer diagnosis remains unclear. This study aimed to evaluate the association between T2DM, lipid-derived atherogenic indices, and survival outcomes in patients [...] Read more.
Background/Objectives: Type 2 diabetes mellitus (T2DM) and atherogenic dyslipidemia have been implicated in colorectal cancer (CRC) development, but their prognostic relevance after cancer diagnosis remains unclear. This study aimed to evaluate the association between T2DM, lipid-derived atherogenic indices, and survival outcomes in patients with CRC. Methods: We conducted a retrospective cohort study including 240 CRC patients, of whom 60 had coexisting T2DM. Overall survival (OS) and disease-free survival (DFS) were analyzed using the Kaplan–Meier (KM) method and log-rank tests. In the absence of recurrence-specific data, DFS was defined as time to death or last follow-up. Lipid-related indices, including the atherogenic index of plasma (AIP), atherogenic coefficient (AC), remnant cholesterol (RC), non-high-density lipoprotein cholesterol (non-HDL-C), triglyceride–glucose (TyG) index, and triglyceride-to-HDL cholesterol ratio (TG/HDL-C), were evaluated by tertiles in KM analyses. Multivariable Cox proportional hazards models were constructed to assess the independent prognostic value of AIP, AC, and RC (entered separately as a continuous variable standardized to 1 standard deviation), adjusted for age, sex, adjuvant chemotherapy, radiotherapy, and T2DM status. Sensitivity analyses were performed in stage III–IV patients. Results: During follow-up, 28 deaths occurred. OS did not differ significantly between CRC patients and those with CRC coexisting with T2DM (log-rank p-values = 0.220). DFS analyses showed no significant differences across tertiles of any lipid-related index (all log-rank p-values > 0.05), with overlapping survival curves and no consistent dose–response patterns. In adjusted Cox models, AIP (hazard ratio [HR] per 1 SD = 0.71, 95% CI 0.48–1.06), AC (HR = 0.72, 95% CI 0.44–1.20), and RC (HR = 0.66, 95% CI 0.39–1.12) were not independently associated with DFS. Results were consistent in advanced-stage disease (stage III–IV). Conclusions: In this cohort of patients with CRC, neither T2DM nor lipid-derived indices reflecting atherogenic dyslipidemia and insulin resistance were independently associated with OS or DFS. These findings help refine the clinical interpretation of lipid-derived biomarkers in CRC, suggesting limited prognostic utility beyond established oncologic factors. Full article
(This article belongs to the Special Issue Diagnosis and Management of Colorectal Diseases, 2nd Edition)
Show Figures

Figure 1

16 pages, 607 KB  
Article
Comparable Access, Different Outcomes: Breast Cancer Survival Among Syrian Refugees and Turkish Patients in Türkiye
by Ilker Nihat Ökten, Tuba Baydaş, Canan Karan, Oğuzhan Kesen, İbrahim Çil and Fatih Teker
Curr. Oncol. 2026, 33(3), 155; https://doi.org/10.3390/curroncol33030155 - 8 Mar 2026
Viewed by 158
Abstract
Background: Breast cancer outcomes are influenced by tumor biology, stage at diagnosis, and access to timely care. Refugee populations may experience disparities in cancer outcomes despite formal access to healthcare services. Türkiye hosts the largest population of Syrian refugees globally and provides universal [...] Read more.
Background: Breast cancer outcomes are influenced by tumor biology, stage at diagnosis, and access to timely care. Refugee populations may experience disparities in cancer outcomes despite formal access to healthcare services. Türkiye hosts the largest population of Syrian refugees globally and provides universal access to oncology care, offering a unique context to examine equity in breast cancer outcomes. Methods: We performed a retrospective cohort study of female patients diagnosed with invasive breast cancer between 2013 and 2022 at two tertiary oncology centers in Gaziantep, Türkiye. Patients were grouped as Syrian refugees or Turkish citizens based on recorded nationality. Baseline clinicopathologic features and stage at diagnosis were compared between groups. Overall survival (OS) was estimated by the Kaplan–Meier method and compared using log-rank tests. Survival analyses were performed overall and stratified by stage category (I–III vs. IV). Cox proportional hazards regression was used to evaluate the association between ethnicity and OS with adjustment for stage and molecular subtype (and other prespecified covariates as appropriate). Treatment delivery patterns (systemic therapy and radiotherapy) were descriptively compared to evaluate access after entry into care. Results: Among 499 patients (150 Syrian refugees; 349 Turkish citizens), Syrian patients were younger at diagnosis and more frequently presented with de novo metastatic disease. In the overall cohort with survival data (n = 430), unadjusted OS differed by ethnicity; however, survival differences were attenuated after stratification by stage. In stage I–III disease, OS did not significantly differ between groups, and in stage IV disease, median OS was comparable between ethnicities. In multivariable analysis adjusting for stage and molecular subtype, ethnicity was not independently associated with OS, whereas stage and molecular subtype remained prognostic. Treatment delivery patterns in both the non-metastatic and metastatic settings were broadly similar between groups. Conclusions: Within a universal healthcare system, the dominant disparity between Syrian refugees and Turkish citizens was more advanced stage at presentation. After accounting for stage and tumor biology, ethnicity itself was not independently associated with overall survival, suggesting that efforts to reduce outcome gaps should prioritize earlier diagnosis and linkage to care. Full article
(This article belongs to the Section Breast Cancer)
Show Figures

Figure 1

14 pages, 749 KB  
Article
Association of a Comprehensive Healthy Lifestyle Score with Risk of All-Cause, Cancer, and Cardiovascular Mortality: Evidence from an 18-Year Cohort Study
by Dongmin Kim, Daeyun Kim, Hyunju Kim and Jihye Kim
Nutrients 2026, 18(5), 856; https://doi.org/10.3390/nu18050856 - 6 Mar 2026
Viewed by 281
Abstract
Background/Objectives: Comprehensive management of lifestyle factors is important for long-term survival. This study aims to examine whether a comprehensive healthy lifestyle score (HLS) incorporating overall diet assessment predicts all-cause, cancer, and cardiovascular mortality in Korean population. Methods: This prospective cohort study was conducted [...] Read more.
Background/Objectives: Comprehensive management of lifestyle factors is important for long-term survival. This study aims to examine whether a comprehensive healthy lifestyle score (HLS) incorporating overall diet assessment predicts all-cause, cancer, and cardiovascular mortality in Korean population. Methods: This prospective cohort study was conducted among men and women (n = 111,633, 64.6% women) aged 40 to 85 years who participated in the Korean Genome and Epidemiology Study_Health Examinees (Mean age = 55.2, SD = 8.8). Participants completed a baseline questionnaire between 2004 and 2013 and were followed until December 2023. The HLS consisted of five components classified as healthy behaviors: never or former smoking; engaging in ≥30 min/day of moderate-to-vigorous physical activity on ≥5 days/week; alcohol intake ≤40 g/day for men and ≤20 g/day for women; a BMI of 18.5–24.9 kg/m2; and an unhealthful plant-based diet index (uPDI) in the bottom 40th percentile, which reflects overall diet quality and aligns with the traditional plant-rich dietary pattern of Koreans. Diet was assessed using data from baseline and the first follow-up, while the remaining components were measured at baseline only. Cox proportional hazards models were applied to evaluate multivariable-adjusted associations between the HLS and all-cause, cancer, and cardiovascular mortality. Results: During 1,538,490 person-years of follow-up, 5246 all-cause deaths, 2362 cancer deaths, and 815 cardiovascular deaths were documented. Compared with the lowest HLS category, men with the highest HLS had lower risks of all-cause (HR: 0.65, 95% CI: 0.53–0.80), cancer (HR: 0.62, 95% CI: 0.46–0.85), and cardiovascular mortality (HR: 0.34, 95% CI: 0.17–0.66). Among women, the corresponding HRs were 0.38 (95% CI: 0.26–0.55), 0.52 (95% CI: 0.29–0.90), and 0.30 (95% CI: 0.11–0.84), respectively. The inverse association was stronger in older adults (≥55 years) than in younger adults. All five individual lifestyle components, including diet (quintile 5 vs. quintile 1 of uPDI: HR 0.74, 95% CI: 0.66–0.83 in men; HR 0.67, 95% CI: 0.58–0.76 in women), were significantly associated with a lower risk of all-cause mortality. However, when smoking was excluded from the HLS, the inverse association was attenuated, particularly among men. Conclusions: Greater adherence to a healthy lifestyle score was strongly associated with reduced risks of all-cause, cancer, and cardiovascular mortality. These findings underscore the importance of promoting integrated, multi-behavior lifestyle interventions, especially smoking cessation, to reduce premature mortality. Full article
(This article belongs to the Section Nutritional Epidemiology)
Show Figures

Figure 1

Back to TopTop