Sign in to use this feature.

Years

Between: -

Subjects

remove_circle_outline
remove_circle_outline
remove_circle_outline
remove_circle_outline
remove_circle_outline
remove_circle_outline
remove_circle_outline
remove_circle_outline
remove_circle_outline

Journals

Article Types

Countries / Regions

Search Results (90)

Search Parameters:
Keywords = multimodal federated learning

Order results
Result details
Results per page
Select all
Export citation of selected articles as:
29 pages, 8989 KB  
Article
Real-Field-Ready and Digitally Sustainable Plant Disease Recognition via Federated Multimodal Edge Learning and Few-Shot Domain Adaptation
by Muhammad Irfan Sharif, Yong Zhong, Muhammad Zaheer Sajid and Francesco Marinello
Agriculture 2026, 16(9), 918; https://doi.org/10.3390/agriculture16090918 - 22 Apr 2026
Abstract
Plant disease diagnosis in real-world agricultural environments is challenged by data scarcity, domain shift, privacy constraints, and limited edge-device resources. This paper proposes FMEL-FSDA, a Federated Multimodal Edge Learning framework with Few-Shot Domain Adaptation for robust field-based plant disease recognition. The framework [...] Read more.
Plant disease diagnosis in real-world agricultural environments is challenged by data scarcity, domain shift, privacy constraints, and limited edge-device resources. This paper proposes FMEL-FSDA, a Federated Multimodal Edge Learning framework with Few-Shot Domain Adaptation for robust field-based plant disease recognition. The framework integrates attention-based RGB–text feature fusion, privacy-preserving federated learning, rapid few-shot personalization, and uncertainty-aware inference within an edge-efficient architecture. Federated training enables collaborative learning across distributed farms without sharing raw data, while few-shot adaptation allows fast deployment to new regions using only 1–10 labeled samples per class. Experiments on the PlantWild in-the-wild dataset show that FMEL-FSDA outperforms centralized, federated, and few-shot baselines, achieving 93.78% accuracy, 93.33% F1-score, and 0.97 AUC. The model maintains strong performance under privacy mechanisms such as gradient perturbation and secure aggregation, reduces communication overhead by up to , and supports low-latency edge inference. Uncertainty estimation and Grad-CAM-based explainability further enhance reliability by identifying low-confidence cases and highlighting disease-relevant regions. Overall, FMEL-FSDA offers a scalable, privacy-aware, and field-ready solution for intelligent plant disease diagnosis in precision agriculture. Full article
18 pages, 1994 KB  
Review
Artificial Intelligence-Enhanced Multiparametric MRI and VI-RADS in Bladder Cancer: Current Evidence, Clinical Opportunities and Barriers to Translation
by Cristian-Gabriel Popescu, Stefania Chipuc, Daniel Zgura, Bogdan Haineala and Anca Zgura
Cancers 2026, 18(9), 1322; https://doi.org/10.3390/cancers18091322 - 22 Apr 2026
Abstract
Accurate distinction between non-muscle-invasive bladder cancer (NMIBC) and muscle-invasive bladder cancer (MIBC) remains the key local staging problem in bladder cancer because treatment intensity, timing of radical therapy, and suitability for bladder-preserving strategies all depend on it. Multiparametric magnetic resonance imaging (mpMRI) and [...] Read more.
Accurate distinction between non-muscle-invasive bladder cancer (NMIBC) and muscle-invasive bladder cancer (MIBC) remains the key local staging problem in bladder cancer because treatment intensity, timing of radical therapy, and suitability for bladder-preserving strategies all depend on it. Multiparametric magnetic resonance imaging (mpMRI) and the Vesical Imaging-Reporting and Data System (VI-RADS) now provide a standardized imaging framework for local staging and increasingly support MRI-first clinical pathways. Artificial intelligence (AI) has emerged as an additional decision-support layer, but the evidence base remains methodologically uneven. In this structured narrative review, we synthesized peer-reviewed literature from January 2020 to March 2026, while retaining foundational VI-RADS studies from 2018 to 2019, and prioritized guideline documents, meta-analyses, prospective cohorts, multicenter and externally validated AI studies, response-assessment studies, and papers addressing implementation and reporting quality. Current evidence shows that radiomics and deep learning models can achieve high discrimination for MIBC detection on MRI, and that the most plausible incremental value of AI lies in equivocal VI-RADS lesions, reader support outside high-volume expert settings, and multimodal risk stratification. However, most studies remain retrospective, highly selected, segmentation-dependent, and vulnerable to reference-standard bias, domain shift, and poor calibration. This review therefore emphasizes several translational issues that are often underreported: lesion-level versus patient-level inference, the distortive effect of TURBT-based labels, the need to evaluate false-negative consequences in VI-RADS 3 tumors, and the distinction between diagnostic support and broader pathway redesign. We also discuss response assessment, nacVI-RADS, segmentation automation, multicenter and federated infrastructure, workflow ownership, and the limits of imaging-only models in a biologically heterogeneous disease. The most credible near-term role of AI is not autonomous diagnosis, but augmentation of standardized mpMRI and VI-RADS within multidisciplinary care. Future progress will depend on prospective utility studies, site-held-out validation, transparent reporting, and the integration of imaging with molecular and cellular heterogeneity through radiogenomic and multi-omics approaches. Full article
(This article belongs to the Section Methods and Technologies Development)
Show Figures

Figure 1

39 pages, 2583 KB  
Review
Efficient Medical Image Segmentation in Multisensor Imaging: A Survey in the Era of Mamba and Foundation Models
by Xiu Shu, Youqiang Xiong, Zhangli Ma, Xinming Zhang and Di Yuan
Sensors 2026, 26(8), 2558; https://doi.org/10.3390/s26082558 - 21 Apr 2026
Abstract
Deep learning has revolutionized medical image segmentation; however, the clinical deployment of state-of-the-art models is severely impeded by their quadratic computational complexity and substantial resource demands, particularly in multisensor and multimodal imaging scenarios. In response, the field is undergoing a paradigm shift towards [...] Read more.
Deep learning has revolutionized medical image segmentation; however, the clinical deployment of state-of-the-art models is severely impeded by their quadratic computational complexity and substantial resource demands, particularly in multisensor and multimodal imaging scenarios. In response, the field is undergoing a paradigm shift towards efficiency, characterized by the rise of linear-complexity architectures and the optimization of foundation models. This paper presents a comprehensive survey of efficient medical image segmentation methodologies, systematically reviewing the evolution from heavy, accuracy-driven models to lightweight, deployment-ready paradigms. In particular, we highlight the growing importance of efficient segmentation in multisensor medical imaging, where heterogeneous data sources such as CT, MRI, ultrasound, and infrared imaging introduce additional challenges in scalability and computational cost. We propose a novel taxonomy that categorizes these advancements into four distinct streams: (1) Mamba and State Space Models, which leverage selective scanning mechanisms to achieve global receptive fields with linear complexity; (2) Efficient Adaptation of Foundation Models, focusing on parameter-efficient fine-tuning and knowledge distillation to tailor the Segment Anything Model (SAM) for medical domains; (3) Advanced Lightweight Architectures, covering the resurgence of large-kernel CNNs and the emergence of Kolmogorov–Arnold Networks (KANs); and (4) Data-Efficient Strategies, including semi-supervised and federated learning to address annotation scarcity. Furthermore, we conduct a rigorous comparative analysis of representative algorithms on mainstream benchmarks, providing a granular evaluation of the trade-offs between segmentation accuracy and computational overhead. The survey also discusses key challenges in multisensor and multimodal settings, including modality heterogeneity, data fusion complexity, and resource constraints. Finally, we identify critical challenges and outline future research directions, serving as a roadmap for the development of next-generation efficient and scalable medical image analysis systems. Full article
(This article belongs to the Special Issue Multisensor Image and Video Processing: Methods and Applications)
Show Figures

Figure 1

29 pages, 3416 KB  
Article
Enhancing Collaborative AI Learning: A Blockchain-Secured, Edge-Enabled Platform for Multimodal Education in IIoT Environments
by Ahsan Rafiq, Eduard Melnik, Alexey Samoylov, Alexander Kozlovskiy and Irina Safronenkova
Big Data Cogn. Comput. 2026, 10(4), 123; https://doi.org/10.3390/bdcc10040123 - 17 Apr 2026
Viewed by 266
Abstract
As industries deploy more connected devices in factories, warehouses, and smart facilities, the need for artificial intelligence (AI) systems that can operate securely in distributed, data-intensive environments is growing. Traditional centralized learning and online education platforms struggle when students and systems have to [...] Read more.
As industries deploy more connected devices in factories, warehouses, and smart facilities, the need for artificial intelligence (AI) systems that can operate securely in distributed, data-intensive environments is growing. Traditional centralized learning and online education platforms struggle when students and systems have to process real-time streams (sensors, video, text) with strict latency and privacy requirements. To address this challenge, a blockchain-secured, edge-enabled multimodal federated learning framework tailored for Industrial IoT (IIoT) environments is proposed. The model integrates four key layers: (i) a blockchain layer that provides credentialing, transparency, and token-based incentives; (ii) a multimodal community layer that supports group formation, peer consensus, and cross-modal learning across text, images, audio, and sensor data; (iii) an edge computing layer that enables low-latency task offloading and secure training within Intel SGX enclaves; and (iv) a data layer that applies pre-processing, differential privacy, and synthetic augmentation to safeguard sensitive information. Experiments on industrial multimodal datasets demonstrate 42% faster model aggregation, 78.9% multimodal accuracy, and 1.9% accuracy loss under ε = 1.0 differential privacy. This shows a scalable and practical path for decentralized AI training in next-generation IIoT systems, confirming the possibility of technical support for educational processes. However, the conducted research requires a validation of pedagogical effectiveness. Full article
Show Figures

Figure 1

40 pages, 7468 KB  
Review
Traffic Flow Prediction in Intelligent Transportation Systems: A Comprehensive Review of Graph Neural Networks and Hybrid Deep Learning Methods
by Zhenhua Wang, Xinmeng Wang, Lijun Wang, Zheng Wu, Jiangang Hu, Fujiang Yuan and Zhen Tian
Algorithms 2026, 19(4), 310; https://doi.org/10.3390/a19040310 - 16 Apr 2026
Viewed by 354
Abstract
Traffic flow prediction is a key component of Intelligent Transportation Systems (ITS), crucial for alleviating urban congestion, optimizing traffic management, and improving the overall efficiency of road networks. With the rapid growth in vehicle numbers and the increasing complexity of urban traffic patterns, [...] Read more.
Traffic flow prediction is a key component of Intelligent Transportation Systems (ITS), crucial for alleviating urban congestion, optimizing traffic management, and improving the overall efficiency of road networks. With the rapid growth in vehicle numbers and the increasing complexity of urban traffic patterns, accurate short-term traffic flow prediction has become increasingly important. This paper comprehensively reviews the latest advancements in traffic flow prediction methods, focusing on graph neural network (GNN)-based approaches and hybrid deep learning frameworks. First, we introduce the fundamental theoretical foundations, including graph neural networks, deep learning algorithms, heuristic optimization methods, and attention mechanisms. Subsequently, we summarize GNN-based prediction methods into four paradigms: (1) federated learning and privacy-preserving methods, enabling cross-regional collaboration while protecting sensitive data; (2) dynamically adaptive graph structure methods, capturing time-varying spatial dependencies; (3) multi-graph fusion and attention mechanism methods, enhancing feature representations from multiple perspectives; and (4) cross-domain technology integration methods, fusing novel architectures and interdisciplinary technologies. Furthermore, we investigate hybrid methods combining signal decomposition, heuristic optimization, and attention mechanisms with LSTM networks to address challenges related to non-stationarity and model optimization. For each category, we analyzed representative works and summarized their core innovations, strengths, and limitations using a systematic comparative table. Finally, we discussed current challenges, including computational complexity, model interpretability, and generalization ability, and outlined future research directions such as lightweight model design, uncertainty quantification, multimodal data fusion, and integration with traffic control systems. This review provides researchers and practitioners with a systematic understanding of the latest advances in traffic flow prediction and offers guidance for methodological selection and future research. Full article
Show Figures

Figure 1

30 pages, 718 KB  
Article
Artificial Intelligence-Driven Multimodal Sensor Fusion for Complex Market Systems via Federated Transformer-Based Learning
by Lei Shi, Mingran Tian, Yinfei Yi, Xinyi Hu, Xiaoya Wang, Yating Yang and Manzhou Li
Sensors 2026, 26(8), 2418; https://doi.org/10.3390/s26082418 - 15 Apr 2026
Viewed by 163
Abstract
In highly digitalized and networked modern trading systems, large volumes of heterogeneous data are continuously generated from multiple sources during market operations. However, due to the complexity of data structures, significant differences in temporal scales, and constraints imposed by data privacy protection, traditional [...] Read more.
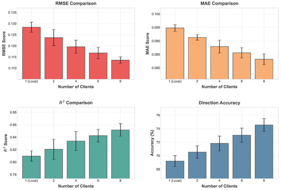
In highly digitalized and networked modern trading systems, large volumes of heterogeneous data are continuously generated from multiple sources during market operations. However, due to the complexity of data structures, significant differences in temporal scales, and constraints imposed by data privacy protection, traditional single-source modeling approaches are unable to fully exploit multisource information. To address this issue, a federated multimodal prediction framework for complex market systems, termed Federated Market-Sensor Transformer (FMST), is proposed. In this framework, data originating from different information sources are uniformly modeled as multimodal time series. A multimodal market-sensor representation module is constructed to perform unified feature encoding, and a cross-modal Transformer fusion architecture is employed to characterize dynamic interaction relationships among different information sources. Meanwhile, a federated collaborative learning mechanism is introduced during the training phase, enabling multiple data nodes to perform collaborative model optimization without sharing raw data. In this manner, data privacy can be preserved while improving the cross-region generalization capability of the model. Systematic experimental evaluation is conducted on the constructed multimodal market-sensor dataset. The experimental results demonstrate that the proposed method consistently outperforms traditional statistical models and deep learning approaches across multiple evaluation metrics. In the main prediction experiment, FMST achieves a root mean square error (RMSE) of 0.1136, a mean absolute error (MAE) of 0.0832, and a coefficient of determination R2 of 0.8517, while the direction prediction accuracy reaches 74.56%, clearly outperforming baseline models including ARIMA, LSTM, Temporal CNN, Transformer, and FedAvg-LSTM. In the cross-region generalization experiment, FMST maintains strong performance, achieving an RMSE of 0.1242, an MAE of 0.0908, an R2 value of 0.8261, and a direction prediction accuracy of 72.48%. The ablation study further indicates that the three core components—multimodal market-sensor representation, cross-modal Transformer fusion, and federated collaborative learning—each make important contributions to the overall model performance. These experimental findings demonstrate that the proposed method can effectively integrate multisource market information and significantly enhance the prediction capability for complex market dynamics, providing a new technical pathway for the application of artificial intelligence-driven multimodal sensing systems in economic data analysis. Full article
(This article belongs to the Special Issue Artificial Intelligence-Driven Sensing)
Show Figures

Figure 1

25 pages, 1183 KB  
Article
A Federated Digital Twin Framework for Consumer Wellbeing Systems
by Matti Rachamim and Jacob Hornik
Systems 2026, 14(4), 417; https://doi.org/10.3390/systems14040417 - 9 Apr 2026
Viewed by 381
Abstract
Consumer wellbeing systems are characterized by conceptual fragmentation, heterogeneous data sources, and multilevel interactions across economic, psychological, social, and environmental domains. Existing monitoring approaches remain largely unidimensional and lack integrative system architectures capable of supporting real-time, adaptive analysis. This paper proposes a Federated [...] Read more.
Consumer wellbeing systems are characterized by conceptual fragmentation, heterogeneous data sources, and multilevel interactions across economic, psychological, social, and environmental domains. Existing monitoring approaches remain largely unidimensional and lack integrative system architectures capable of supporting real-time, adaptive analysis. This paper proposes a Federated Digital Twin (FDT) framework for Consumer Wellbeing Systems, designed to integrate decentralized, multimodal data while preserving autonomy and privacy. The proposed architecture builds on a five-dimensional digital twin model and extends it through federated interoperability, data fusion, adaptive learning, simulation capabilities, and human-in-the-loop mechanisms. The framework enables the synchronization of observed, self-reported, contextual, and synthetic data across distributed environments, supporting system-level modeling, prediction, and optimization. As an illustrative application, the paper examines Shopping Wellbeing and Shopping–Life Balance as sub-systems within broader wellbeing ecosystems, demonstrating how federated digital twins can unify fragmented theoretical constructs into a coherent, dynamic monitoring structure. The study contributes a system-oriented conceptual architecture for modeling complex human-centric wellbeing ecosystems and outlines implications for systems design, governance, and future interdisciplinary research. Full article
(This article belongs to the Section Complex Systems and Cybernetics)
Show Figures

Figure 1

52 pages, 14386 KB  
Review
Trustworthy Intelligence: Split Learning–Embedded Large Language Models for Smart IoT Healthcare Systems
by Mahbuba Ferdowsi, Nour Moustafa, Marwa Keshk and Benjamin Turnbull
Electronics 2026, 15(7), 1519; https://doi.org/10.3390/electronics15071519 - 4 Apr 2026
Viewed by 357
Abstract
The Internet of Things (IoT) plays an increasingly central role in healthcare by enabling continuous patient monitoring, remote diagnosis, and data-driven clinical decision-making through interconnected medical devices and sensing infrastructures. Despite these advances, IoT healthcare systems remain constrained by persistent challenges related to [...] Read more.
The Internet of Things (IoT) plays an increasingly central role in healthcare by enabling continuous patient monitoring, remote diagnosis, and data-driven clinical decision-making through interconnected medical devices and sensing infrastructures. Despite these advances, IoT healthcare systems remain constrained by persistent challenges related to data privacy, computational efficiency, scalability, and regulatory compliance. Federated learning (FL) reduces reliance on centralised data aggregation but remains vulnerable to inference-based privacy risks, while edge-oriented approaches are limited by device heterogeneity and restricted computational and energy resources; the deployment of large language models (LLMs) further exacerbates concerns surrounding privacy exposure, communication overhead, and practical feasibility. This study introduces Trustworthy Intelligence (TI) as a guiding framework for privacy-preserving distributed intelligence in IoT healthcare, explicitly integrating predictive performance, privacy protection, and deployment-oriented system design. Within this framework, split learning (SL) is examined as a core architectural mechanism and extended to support split-aware LLM integration across heterogeneous devices, supported by a structured taxonomy spanning architectural configurations, system adaptation strategies, and evaluation considerations. The study establishes a systematic mapping between SL design choices and representative healthcare scenarios, including wearable monitoring, multi-modal data fusion, clinical text analytics, and cross-institutional collaboration, and analyses key technical challenges such as activation-level privacy leakage, early-round vulnerability, reconstruction risks, and communication–computation trade-offs. An energy- and resource-aware adaptive cut layer selection strategy is outlined to support efficient deployment across devices with varying capabilities. A proof-of-concept experimental evaluation compares the proposed SL–LLM framework with centralised learning (CL), federated learning (FL), and conventional SL in terms of training latency, communication overhead, model accuracy, and privacy exposure under realistic IoT constraints, providing system-level evidence for the applicability of the TI framework in distributed healthcare environments and outlining directions for clinically viable and regulation-aligned IoT healthcare intelligence. Full article
Show Figures

Figure 1

21 pages, 2178 KB  
Review
GeoAI and Multimodal Geospatial Data Fusion for Inclusive Urban Mobility: Methods, Applications, and Future Directions
by Atakilti Kiros, Yuri Ribakov, Israel Klein and Achituv Cohen
Urban Sci. 2026, 10(4), 193; https://doi.org/10.3390/urbansci10040193 - 2 Apr 2026
Viewed by 613
Abstract
Urban mobility is a central challenge for sustainable and inclusive cities, as climate change, congestion, and spatial inequality increasingly reveal mobility patterns as expressions of deeper social and spatial structures. Inclusive urban mobility examines whether transport systems equitably support the everyday movements and [...] Read more.
Urban mobility is a central challenge for sustainable and inclusive cities, as climate change, congestion, and spatial inequality increasingly reveal mobility patterns as expressions of deeper social and spatial structures. Inclusive urban mobility examines whether transport systems equitably support the everyday movements and accessibility needs of historically marginalized and underserved populations. The integration of artificial intelligence with geographic information science, combined with multimodal geospatial data fusion, provides powerful tools to diagnose and address these disparities by integrating heterogeneous data sources such as satellite imagery, GPS trajectories, transit records, volunteered geographic information, and social sensing data into scalable, high-resolution urban mobility analytics. This paper presents a systematic survey of recent GeoAI studies that fuse multiple geospatial data modalities for key urban mobility tasks, including accessibility mapping, demand forecasting, and origin–destination flow prediction, with particular emphasis on inclusive and equity-oriented applications. The review examines 18 multimodal GeoAI studies identified through a PRISMA-ScR screening process from 57 candidate publications between 2019 and 2025. The survey synthesizes methodological trends across data-, feature-, and decision-level fusion strategies, highlights the growing use of deep learning architectures, and examines emerging techniques such as knowledge graphs, federated learning, and explainable AI that support equity-relevant insights across diverse urban contexts. Building on this synthesis, the review identifies persistent gaps in population coverage, multimodal integration, equity optimization, explainability, validation, and governance, which currently constrain the inclusiveness and robustness of GeoAI applications in urban mobility research. To address these challenges, the paper proposes a structured research roadmap linking these gaps to concrete methodological and governance directions including equity-aware loss functions, adaptive multimodal fusion pipelines, participatory and human-in-the-loop workflows, and urban data trusts to better align multimodal GeoAI with the goals of inclusive, just, and sustainable urban mobility systems. Full article
Show Figures

Figure 1

23 pages, 1109 KB  
Review
Strategies for Class-Imbalanced Learning in Multi-Sensor Medical Imaging
by Da Zhou, Song Gao and Xinrui Huang
Sensors 2026, 26(6), 1998; https://doi.org/10.3390/s26061998 - 23 Mar 2026
Viewed by 517
Abstract
This narrative critical review addresses class imbalance in medical imaging, particularly within the context of multi-sensor and multi-modal environments, poses a critical challenge to developing reliable AI diagnostic systems. The integration of heterogeneous data from sources like CT, MRI, and PET presents a [...] Read more.
This narrative critical review addresses class imbalance in medical imaging, particularly within the context of multi-sensor and multi-modal environments, poses a critical challenge to developing reliable AI diagnostic systems. The integration of heterogeneous data from sources like CT, MRI, and PET presents a unique opportunity to address data scarcity for rare conditions through fusion techniques. This review provides a structured analysis of strategies to tackle class imbalance, categorizing them into data-centric (e.g., advanced resampling like SMOTE-ENC for mixed data types, GAN-based synthesis) and model-centric (e.g., loss function engineering, transfer learning, and ensemble methods) approaches. Crucially, we highlight how multi-sensor feature fusion and decision-level fusion paradigms can inherently enrich representations for minority classes, offering a powerful frontier beyond single-modality learning. We evaluate each method’s merits, clinical viability, and compliance considerations (e.g., FDA). Finally, we identify emerging trends where imbalance-aware learning synergizes with multi-sensor fusion frameworks, federated learning, and explainable AI, charting a roadmap toward robust, equitable, and clinically deployable diagnostic tools. Our quantitative synthesis shows that data-centric strategies can improve minority class recall by 12–35% in datasets with imbalance ratios (majority:minority) ≥10:1, while model-centric strategies achieve an average AUC improvement of 0.08–0.21 in multi-sensor medical imaging tasks with sample sizes ranging from 50 to 50,000. Full article
(This article belongs to the Special Issue Multi-sensor Fusion in Medical Imaging, Diagnosis and Therapy)
Show Figures

Figure 1

31 pages, 2057 KB  
Review
Clinical AI in Radiology: Foundations, Trends, Applications, and Emerging Directions
by Iryna Hartsock, Nikolas Koutsoubis, Sabeen Ahmed, Nathan Parker, Matthew B. Schabath, Cyrillo Araujo, Aliya Qayyum, Cesar Lam, Robert A. Gatenby and Ghulam Rasool
Cancers 2026, 18(6), 942; https://doi.org/10.3390/cancers18060942 - 13 Mar 2026
Viewed by 1667
Abstract
Artificial intelligence (AI) is at the vanguard of transforming radiology in several ways, including augmenting diagnoses, improving workflows, and increasing operational efficiency. Several integration challenges, including concerns over privacy, clinical usability, and workflow compatibility, still remain. This review discusses the foundations and current [...] Read more.
Artificial intelligence (AI) is at the vanguard of transforming radiology in several ways, including augmenting diagnoses, improving workflows, and increasing operational efficiency. Several integration challenges, including concerns over privacy, clinical usability, and workflow compatibility, still remain. This review discusses the foundations and current trends of clinical AI in radiology to provide essential context for ongoing developments. To illustrate translational potential, we describe representative applications, including: (1) local deployment of large language models (LLMs) for restructuring and streamlining radiology reports, improving clarity and consistency without relying on external resources; (2) multimodal AI frameworks combining CT images, clinical data, laboratory biomarkers, and LLM-extracted features from clinical notes for early detection of cachexia in pancreatic cancer; (3) privacy-preserving federated learning (FL) infrastructure enabling collaborative AI model development across institutions without sharing raw patient data; and (4) an uncertainty-aware de-identification pipeline for removing Protected Health Information (PHI) from radiology images and clinical reports to support secure data analysis and sharing. We further discuss emerging opportunities for tumor board decision support, clinical trial matching, radiology report quality assurance, and the development of an imaging complexity index. Collectively, these applications highlight the importance of local deployment, multimodal reasoning, privacy preservation, and human-in-the-loop oversight in translating AI models from research to oncology radiology practice. Full article
(This article belongs to the Special Issue Advances in Medical Imaging for Cancer Detection and Diagnosis)
Show Figures

Figure 1

17 pages, 3378 KB  
Article
Securing Virtual Reality: Threat Models, Vulnerabilities, and Defense Strategies
by Andrija Bernik, Igor Tomicic and Petra Grd
Virtual Worlds 2026, 5(1), 13; https://doi.org/10.3390/virtualworlds5010013 - 10 Mar 2026
Viewed by 527
Abstract
As virtual reality technologies evolve toward widespread adoption in education, industry, and social communication, their increasing complexity exposes new and often overlooked security challenges. Immersive environments collect continuous multimodal data, including motion tracking, gaze, voice, and biometric indicators that extend far beyond traditional [...] Read more.
As virtual reality technologies evolve toward widespread adoption in education, industry, and social communication, their increasing complexity exposes new and often overlooked security challenges. Immersive environments collect continuous multimodal data, including motion tracking, gaze, voice, and biometric indicators that extend far beyond traditional computing attack surfaces. This paper synthesizes recent research (2023–2025) on cybersecurity, privacy, and behavioral safety in virtual reality (VR) systems, identifies the main vulnerabilities, and proposes a unified defense architecture: the three-layer VR Security Framework (TVR-Sec). Through comparative review and conceptual integration of 31 peer-reviewed studies, three interdependent protection domains emerged: (1) System Integrity, securing hardware, firmware, and network communications against spoofing and malware; (2) User Privacy, ensuring the ethical management of biometric and behavioral data through federated learning and consent-based control; and (3) Socio-Behavioral Safety, addressing harassment, manipulation, and psychological exploitation in shared virtual spaces. The framework situates VR security as a multidimensional adaptive process that combines technical hardening with human-centered defense and ethical design. By aligning cyber–human protections through an AI-driven monitoring and policy engine, TVR-Sec advances a holistic paradigm for securing future immersive ecosystems. Full article
Show Figures

Figure 1

59 pages, 5629 KB  
Article
Adaptive Neural Network Method for Detecting Crimes in the Digital Environment to Ensure Human Rights and Support Forensic Investigations
by Serhii Vladov, Oksana Mulesa, Petro Horvat, Yevhen Kobko, Victoria Vysotska, Vasyl Kikinchuk, Serhii Khursenko, Kostiantyn Karaman and Oksana Kochan
Data 2026, 11(3), 49; https://doi.org/10.3390/data11030049 - 2 Mar 2026
Viewed by 615
Abstract
This article presents an adaptive neural network method for the automated detection, reconstruction, and prioritisation of multi-stage criminal operations in the digital environment, aiming to protect human rights and ensure the legal security of digital evidence. The developed method combines multimodal temporal encoders, [...] Read more.
This article presents an adaptive neural network method for the automated detection, reconstruction, and prioritisation of multi-stage criminal operations in the digital environment, aiming to protect human rights and ensure the legal security of digital evidence. The developed method combines multimodal temporal encoders, a graph module based on GNN for entity correlation, and a correlation head with a link-prediction mechanism and differentiable path recovery. Sliding time windows, logarithmic transformation of volumetric features, and pseudonymization of identifiers with the ability to utilise privacy-preserving procedures (federated learning, differential privacy) are used for data aggregation and normalisation. Unique features of the developed method include an integrated risk function combining an anomaly component and graph significance, a module for automated forensic packet generation with chain of custody recording, and a mechanism for incremental model updates. Experimental results demonstrate high diagnostic metric values (AUC ≈ 0.97, F1 ≈ 0.99 on the test dataset after balancing), robust recovery of priority paths (“path_probability” > 0.7 for top operations), and pipeline performance in PII leak prioritisation and human trafficking reconstruction scenarios. The study’s contribution lies in a practice-oriented neural network method that integrates detection, correlation, and the collection of legally applicable evidence. Full article
Show Figures

Figure 1

27 pages, 4299 KB  
Review
Deep Learning Applications for Dental-Disease Classification Using Intraoral Photographic Images: Current Status and Future Perspectives
by A. M. Mutawa, Yacoub Yousef Altarakemah and Karthiga Thirupathy
AI 2026, 7(3), 85; https://doi.org/10.3390/ai7030085 - 2 Mar 2026
Viewed by 1127
Abstract
Dental conditions, including caries, periodontal disease, plaque accumulation, malocclusion, and oral mucosal abnormalities, remain highly prevalent worldwide. Early detection is crucial for preventing disease progression, simplifying treatment, and improving patient outcomes. Conventional diagnostic methods rely on subjective visual and tactile examinations, which are [...] Read more.
Dental conditions, including caries, periodontal disease, plaque accumulation, malocclusion, and oral mucosal abnormalities, remain highly prevalent worldwide. Early detection is crucial for preventing disease progression, simplifying treatment, and improving patient outcomes. Conventional diagnostic methods rely on subjective visual and tactile examinations, which are often inconsistent. Recent advances in deep learning (DL), particularly convolutional neural networks and vision transformers, enable automated, accurate detection of dental diseases from intraoral images captured via smartphones or dedicated imaging devices. DL-driven systems facilitate cost-effective virtual consultations, community screenings, and remote oral health monitoring. This narrative review was conducted following a structured search of PubMed, Scopus, Web of Science, Embase, and Google Scholar (October 2020–October 2025), which identified 74 eligible studies on intraoral photographic imaging-based DL systems, encompassing caries, gingival inflammation, plaque, malocclusion, and soft-tissue lesions. Most studies focused on caries, plaque, and periodontal disease using CNN and U-Net-based models, often reporting accuracies above 85% but with substantial performance drops in external validation. Despite promising results, clinical integration remains limited by challenges such as class imbalance, limited external validation, heterogeneous imaging protocols, and insufficient model interpretability. Emerging approaches, including self-supervised and federated learning, explainable artificial intelligence, multimodal data fusion, and smartphone-based diagnostics, offer potential solutions. Standardized imaging workflows, high-quality annotations, and robust clinical trials are essential to translate DL-based dental diagnostic systems into real-world practice. This narrative review aims to guide the development of reliable, equitable, and clinically deployable DL solutions for oral health assessment. Full article
Show Figures

Figure 1

25 pages, 1678 KB  
Review
Artificial Intelligence for Pulmonary Abnormality Detection in Chest X-Ray Imaging: A Detailed Review of Methods, Datasets and Future Directions
by G. Parra-Cabrera, J. J. Jiménez-Delgado and F. D. Pérez-Cano
Technologies 2026, 14(3), 147; https://doi.org/10.3390/technologies14030147 - 28 Feb 2026
Viewed by 828
Abstract
Chest X-ray (CXR) imaging remains the most widely used radiological modality for assessing pulmonary and cardiothoracic disease, yet its interpretation is inherently constrained by tissue superposition, subtle radiographic findings and marked inter-observer variability. Recent advances in artificial intelligence (AI) have driven significant progress [...] Read more.
Chest X-ray (CXR) imaging remains the most widely used radiological modality for assessing pulmonary and cardiothoracic disease, yet its interpretation is inherently constrained by tissue superposition, subtle radiographic findings and marked inter-observer variability. Recent advances in artificial intelligence (AI) have driven significant progress in automated CXR analysis, supported by large public datasets, evolving annotation strategies and increasingly expressive deep learning architectures. This review presents a comprehensive synthesis of approaches for pulmonary abnormality detection, encompassing convolutional neural networks, transformers, multimodal and vision–language models and self-supervised representation learning. We critically discuss their strengths, limitations and vulnerability to label noise, domain shift and shortcut learning. In parallel, we examine dataset properties, annotation practices, robustness challenges, explainability methods and the heterogeneity of evaluation protocols that hinder fair comparison and clinical translation. Building on these observations, the review identifies key future directions, including foundation models, multimodal integration, federated and domain-generalized training, longitudinal modeling, synthetic data generation and standardized clinical evaluation frameworks. By integrating methodological and clinical perspectives, this work offers an up-to-date reference for researchers and clinicians and outlines a roadmap toward reliable, interpretable and clinically deployable AI systems for chest radiography. Full article
(This article belongs to the Section Information and Communication Technologies)
Show Figures

Figure 1

Back to TopTop