Sign in to use this feature.

Years

Between: -

Subjects

remove_circle_outline
remove_circle_outline
remove_circle_outline
remove_circle_outline
remove_circle_outline
remove_circle_outline
remove_circle_outline

Journals

Article Types

Countries / Regions

Search Results (30)

Search Parameters:
Keywords = mucosal sensing

Order results
Result details
Results per page
Select all
Export citation of selected articles as:
28 pages, 1877 KB  
Review
Unconventional Immunotherapies in Cancer: Opportunities and Challenges
by Meshael Alturki, Abdullah A. Alshehri, Ahmad M. Aldossary, Mohannad M. Fallatah, Fahad A. Almughem, Nojoud Al Fayez, Majed A. Majrashi, Ibrahim A. Alradwan, Mohammad Alkhrayef, Mohammad N. Alomary and Essam A. Tawfik
Pharmaceuticals 2025, 18(8), 1154; https://doi.org/10.3390/ph18081154 - 4 Aug 2025
Viewed by 1294
Abstract
Conventional immunotherapy, including immune checkpoint blockade and chimeric antigen receptor (CAR)-T cells, has revolutionized cancer therapy over the past decade. Yet, the efficacy of these therapies is limited by tumor resistance, antigen escape mechanisms, poor persistence, and T-cell exhaustion, particularly in the treatment [...] Read more.
Conventional immunotherapy, including immune checkpoint blockade and chimeric antigen receptor (CAR)-T cells, has revolutionized cancer therapy over the past decade. Yet, the efficacy of these therapies is limited by tumor resistance, antigen escape mechanisms, poor persistence, and T-cell exhaustion, particularly in the treatment of solid tumors. The emergence of unconventional immunotherapies offers novel opportunities by leveraging diverse immune cell subsets and synthetic biologics. This review explores various immunotherapy platforms, including gamma delta T cells, invariant natural killer T cells, mucosal-associated invariant T cells, engineered regulatory T cells, and universal CAR platforms. Additionally, it expands on biologics, including bispecific and multispecific antibodies, cytokine fusions, agonists, and oncolytic viruses, showcasing their potential for modular engineering and off-the-shelf applicability. Distinct features of unconventional platforms include independence from the major histocompatibility complex (MHC), tissue-homing capabilities, stress ligand sensing, and the ability to bridge adaptive and innate immunity. Their compatibility with engineering approaches highlights their potential as scalable, efficient, and cost-effective therapies. To overcome translational challenges such as functional heterogeneity, immune exhaustion, tumor microenvironment-mediated suppression, and limited persistence, novel strategies will be discussed, including metabolic and epigenetic reprogramming, immune cloaking, gene editing, and the utilization of artificial intelligence for patient stratification. Ultimately, unconventional immunotherapies extend the therapeutic horizon of cancer immunotherapy by breaking barriers in solid tumor treatment and increasing accessibility. Continued investments in research for mechanistic insights and scalable manufacturing are key to unlocking their full clinical potential. Full article
(This article belongs to the Section Biopharmaceuticals)
Show Figures

Figure 1

30 pages, 3891 KB  
Review
Physiopathological Roles of White Adiposity and Gut Functions in Neuroinflammation
by Eduardo Spinedi and Guillermo Horacio Docena
Int. J. Mol. Sci. 2024, 25(21), 11741; https://doi.org/10.3390/ijms252111741 - 31 Oct 2024
Cited by 1 | Viewed by 2340
Abstract
White adipose tissue (WAT) and the gut are involved in the development of neuroinflammation when an organism detects any kind of injury, thereby triggering metainflammation. In fact, the autonomous nervous system innervates both tissues, although the complex role played by the integrated sympathetic, [...] Read more.
White adipose tissue (WAT) and the gut are involved in the development of neuroinflammation when an organism detects any kind of injury, thereby triggering metainflammation. In fact, the autonomous nervous system innervates both tissues, although the complex role played by the integrated sympathetic, parasympathetic, and enteric nervous system functions have not been fully elucidated. Our aims were to investigate the participation of inflamed WAT and the gut in neuroinflammation. Firstly, we conducted an analysis into how inflamed peripheral WAT plays a key role in the triggering of metainflammation. Indeed, this included the impact of the development of local insulin resistance and its metabolic consequences, a serious hypothalamic dysfunction that promotes neurodegeneration. Then, we analyzed the gut–brain axis dysfunction involved in neuroinflammation by examining cell interactions, soluble factors, the sensing of microbes, and the role of dysbiosis-related mechanisms (intestinal microbiota and mucosal barriers) affecting brain functions. Finally, we targeted the physiological crosstalk between cells of the brain–WAT–gut axis that restores normal tissue homeostasis after injury. We concluded the following: because any injury can result not only in overall insulin resistance and dysbiosis, which in turn can impact upon the brain, but that a high-risk of the development of neuroinflammation-induced neurodegenerative disorder can also be triggered. Thus, it is imperative to avoid early metainflammation by applying appropriate preventive (e.g., lifestyle and diet) or pharmacological treatments to cope with allostasis and thus promote health homeostasis. Full article
Show Figures

Figure 1

17 pages, 4567 KB  
Article
Intestinal Ketogenesis and Permeability
by Anna Casselbrant, Erik Elias, Peter Hallersund, Erik Elebring, Jakob Cervin, Lars Fändriks and Ville Wallenius
Int. J. Mol. Sci. 2024, 25(12), 6555; https://doi.org/10.3390/ijms25126555 - 14 Jun 2024
Cited by 2 | Viewed by 2598
Abstract
Consumption of a high-fat diet (HFD) has been suggested as a contributing factor behind increased intestinal permeability in obesity, leading to increased plasma levels of microbial endotoxins and, thereby, increased systemic inflammation. We and others have shown that HFD can induce jejunal expression [...] Read more.
Consumption of a high-fat diet (HFD) has been suggested as a contributing factor behind increased intestinal permeability in obesity, leading to increased plasma levels of microbial endotoxins and, thereby, increased systemic inflammation. We and others have shown that HFD can induce jejunal expression of the ketogenic rate-limiting enzyme mitochondrial 3-hydroxy-3-methylglutaryl-CoA synthase (HMGCS). HMGCS is activated via the free fatty acid binding nuclear receptor PPAR-α, and it is a key enzyme in ketone body synthesis that was earlier believed to be expressed exclusively in the liver. The function of intestinal ketogenesis is unknown but has been described in suckling rats and mice pups, possibly in order to allow large molecules, such as immunoglobulins, to pass over the intestinal barrier. Therefore, we hypothesized that ketone bodies could regulate intestinal barrier function, e.g., via regulation of tight junction proteins. The primary aim was to compare the effects of HFD that can induce intestinal ketogenesis to an equicaloric carbohydrate diet on inflammatory responses, nutrition sensing, and intestinal permeability in human jejunal mucosa. Fifteen healthy volunteers receiving a 2-week HFD diet compared to a high-carbohydrate diet were compared. Blood samples and mixed meal tests were performed at the end of each dietary period to examine inflammation markers and postprandial endotoxemia. Jejunal biopsies were assessed for protein expression using Western blotting, immunohistochemistry, and morphometric characteristics of tight junctions by electron microscopy. Functional analyses of permeability and ketogenesis were performed in Caco-2 cells, mice, and human enteroids. Ussing chambers were used to analyze permeability. CRP and ALP values were within normal ranges and postprandial endotoxemia levels were low and did not differ between the two diets. The PPARα receptor was ketone body-dependently reduced after HFD. None of the tight junction proteins studied, nor the basal electrical parameters, were different between the two diets. However, the ketone body inhibitor hymeglusin increased resistance in mucosal biopsies. In addition, the tight junction protein claudin-3 was increased by ketone inhibition in human enteroids. The ketone body β-Hydroxybutyrate (βHB) did not, however, change the mucosal transition of the large-size molecular FD4-probe or LPS in Caco-2 and mouse experiments. We found that PPARα expression was inhibited by the ketone body βHB. As PPARα regulates HMGCS expression, the ketone bodies thus exert negative feedback signaling on their own production. Furthermore, ketone bodies were involved in the regulation of permeability on intestinal mucosal cells in vitro and ex vivo. We were not, however, able to reproduce these effects on intestinal permeability in vivo in humans when comparing two weeks of high-fat with high-carbohydrate diet in healthy volunteers. Further, neither the expression of inflammation markers nor the aggregate tight junction proteins were changed. Thus, it seems that not only HFD but also other factors are needed to permit increased intestinal permeability in vivo. This indicates that the healthy gut can adapt to extremes of macro-nutrients and increased levels of intestinally produced ketone bodies, at least during a shorter dietary challenge. Full article
(This article belongs to the Special Issue The Role of Tight Junction Proteins in Health and Disease)
Show Figures

Figure 1

20 pages, 1774 KB  
Review
Innate Lymphoid Cell Plasticity in Mucosal Infections
by Anna A. Korchagina, Ekaterina Koroleva and Alexei V. Tumanov
Microorganisms 2023, 11(2), 461; https://doi.org/10.3390/microorganisms11020461 - 12 Feb 2023
Cited by 11 | Viewed by 3879
Abstract
Mucosal tissue homeostasis is a dynamic process that involves multiple mechanisms including regulation of innate lymphoid cells (ILCs). ILCs are mostly tissue-resident cells which are critical for tissue homeostasis and immune response against pathogens. ILCs can sense environmental changes and rapidly respond by [...] Read more.
Mucosal tissue homeostasis is a dynamic process that involves multiple mechanisms including regulation of innate lymphoid cells (ILCs). ILCs are mostly tissue-resident cells which are critical for tissue homeostasis and immune response against pathogens. ILCs can sense environmental changes and rapidly respond by producing effector cytokines to limit pathogen spread and initiate tissue recovery. However, dysregulation of ILCs can also lead to immunopathology. Accumulating evidence suggests that ILCs are dynamic population that can change their phenotype and functions under rapidly changing tissue microenvironment. However, the significance of ILC plasticity in response to pathogens remains poorly understood. Therefore, in this review, we discuss recent advances in understanding the mechanisms regulating ILC plasticity in response to intestinal, respiratory and genital tract pathogens. Key transcription factors and lineage-guiding cytokines regulate this plasticity. Additionally, we discuss the emerging data on the role of tissue microenvironment, gut microbiota, and hypoxia in ILC plasticity in response to mucosal pathogens. The identification of new pathways and molecular mechanisms that control functions and plasticity of ILCs could uncover more specific and effective therapeutic targets for infectious and autoimmune diseases where ILCs become dysregulated. Full article
(This article belongs to the Special Issue Innate Immunity against Bacterial Infections)
Show Figures

Figure 1

24 pages, 643 KB  
Review
In Vivo Role of Two-Component Regulatory Systems in Models of Urinary Tract Infections
by Giuseppe Valerio De Gaetano, Germana Lentini, Agata Famà, Francesco Coppolino and Concetta Beninati
Pathogens 2023, 12(1), 119; https://doi.org/10.3390/pathogens12010119 - 10 Jan 2023
Cited by 11 | Viewed by 5834
Abstract
Two-component signaling systems (TCSs) are finely regulated mechanisms by which bacteria adapt to environmental conditions by modifying the expression of target genes. In bacterial pathogenesis, TCSs play important roles in modulating adhesion to mucosal surfaces, resistance to antibiotics, and metabolic adaptation. In the [...] Read more.
Two-component signaling systems (TCSs) are finely regulated mechanisms by which bacteria adapt to environmental conditions by modifying the expression of target genes. In bacterial pathogenesis, TCSs play important roles in modulating adhesion to mucosal surfaces, resistance to antibiotics, and metabolic adaptation. In the context of urinary tract infections (UTI), one of the most common types infections causing significant health problems worldwide, uropathogens use TCSs for adaptation, survival, and establishment of pathogenicity. For example, uropathogens can exploit TCSs to survive inside bladder epithelial cells, sense osmolar variations in urine, promote their ascension along the urinary tract or even produce lytic enzymes resulting in exfoliation of the urothelium. Despite the usefulness of studying the function of TCSs in in vitro experimental models, it is of primary necessity to study bacterial gene regulation also in the context of host niches, each displaying its own biological, chemical, and physical features. In light of this, the aim of this review is to provide a concise description of several bacterial TCSs, whose activity has been described in mouse models of UTI. Full article
(This article belongs to the Special Issue Virulence Mechanisms of Uropathogenic Bacteria)
Show Figures

Figure 1

21 pages, 1667 KB  
Article
Lacticaseibacillus casei Strain Shirota Modulates Macrophage-Intestinal Epithelial Cell Co-Culture Barrier Integrity, Bacterial Sensing and Inflammatory Cytokines
by Andrew Foey, Neama Habil, Alex Strachan and Jane Beal
Microorganisms 2022, 10(10), 2087; https://doi.org/10.3390/microorganisms10102087 - 21 Oct 2022
Cited by 13 | Viewed by 4376
Abstract
Probiotic bacteria modulate macrophage immune inflammatory responses, with functional cytokine responses determined by macrophage subset polarisation, stimulation and probiotic strain. Mucosal macrophages exhibit subset functional heterogeneity but are organised in a 3-dimensional tissue, over-laid by barrier epithelial cells. This study aimed to investigate [...] Read more.
Probiotic bacteria modulate macrophage immune inflammatory responses, with functional cytokine responses determined by macrophage subset polarisation, stimulation and probiotic strain. Mucosal macrophages exhibit subset functional heterogeneity but are organised in a 3-dimensional tissue, over-laid by barrier epithelial cells. This study aimed to investigate the effects of the probiotic Lacticaseibacillus casei strain Shirota (LcS) on macrophage-epithelial cell cytokine responses, pattern recognition receptor (PRR) expression and LPS responses and the impacts on barrier integrity. THP-1-derived M1 and M2 subset macrophages were co-cultured in a transwell system with differentiated Caco-2 epithelial cells in the presence or absence of enteropathogenic LPS. Both Caco-2 cells in monoculture and macrophage co-culture were assayed for cytokines, PRR expression and barrier integrity (TEER and ZO-1) by RT-PCR, ELISA, IHC and electrical resistance. Caco-2 monocultures expressed distinct cytokine profiles (IL-6, IL-8, TNFα, endogenous IL-10), PRRs and barrier integrity, determined by inflammatory context (TNFα or IL-1β). In co-culture, LcS rescued ZO-1 and TEER in M2/Caco-2, but not M1/Caco-2. LcS suppressed TLR2, TLR4, MD2 expression in both co-cultures and differentially regulated NOD2, TLR9, Tollip and cytokine secretion. In conclusion, LcS selectively modulates epithelial barrier integrity, pathogen sensing and inflammatory cytokine profile; determined by macrophage subset and activation status. Full article
Show Figures

Figure 1

22 pages, 6811 KB  
Article
Fabrication and Optimization of Essential-Oil-Loaded Nanoemulsion Using Box–Behnken Design against Staphylococos aureus and Staphylococos epidermidis Isolated from Oral Cavity
by Niamat Ullah, Adnan Amin, Rana A. Alamoudi, Sheikh Abdur Rasheed, Ruaa A. Alamoudi, Asif Nawaz, Muhammad Raza, Touseef Nawaz, Saiqa Ishtiaq and Syed Shakil Abbas
Pharmaceutics 2022, 14(8), 1640; https://doi.org/10.3390/pharmaceutics14081640 - 5 Aug 2022
Cited by 35 | Viewed by 5211
Abstract
Oral bacterial infections are fairly common in patients with diabetes mellitus; however, due to limited treatment options, herbal medicines are considered an alternate solution. This study aimed to formulate a stable essential-oil-loaded nanoemulsion for the treatment of oral bacterial infections. Essential oils from [...] Read more.
Oral bacterial infections are fairly common in patients with diabetes mellitus; however, due to limited treatment options, herbal medicines are considered an alternate solution. This study aimed to formulate a stable essential-oil-loaded nanoemulsion for the treatment of oral bacterial infections. Essential oils from edible sources including coriander, clove, cinnamon and cardamom were extracted by hydrodistillation. The response surface methodology was used to optimize the nanoemulsion formulation by applying the Box–Behnken design. The oil concentration, surfactant concentration and stirring speed were three independent factors, and particle size and polydispersity index were two responses. The particle size, polydispersity index and zeta potential of the optimized formulation were 130 mm, 0.222 and −22.9, respectively. The ATR-FTIR analysis revealed that there was no incompatibility between the active ingredients and the excipients. A significant release profile in active ingredients of nanoemulsion, i.e., 88.75% of the cinnamaldehyde and 89.33% of eugenol, was recorded after 24 h. In the ex vivo goat mucosal permeation study, 71.67% of the cinnamaldehyde permeated and that of the eugenol 70.75% from the nanoemulsion. The optimized formulation of the essential-oil-loaded nanoemulsion showed a 9 mm zone of inhibition against Staphylococcus aureus and Staphylococcus epidermidis, whereas in anti-quorum sensing analysis, the optimized nanoemulsion formulation showed an 18 mm zone of inhibition. It was concluded that formulated essential-oil-loaded nanoemulsion can be used against S. epidermidis and S. aureus infections in oral cavity. Full article
Show Figures

Figure 1

15 pages, 1736 KB  
Article
Short-Chain Fatty Acids Modulate Permeability, Motility and Gene Expression in the Porcine Fetal Jejunum Ex Vivo
by Barbara U. Metzler-Zebeli, Simone Koger, Suchitra Sharma, Arife Sener-Aydemir, Ursula Ruczizka, Heinrich Kreutzmann and Andrea Ladinig
Nutrients 2022, 14(12), 2524; https://doi.org/10.3390/nu14122524 - 17 Jun 2022
Cited by 13 | Viewed by 2981
Abstract
Postnatally, short-chain fatty acids (SCFA) are important energetic and signaling agents, being involved in host nutrition, gut imprinting and immune and barrier function. Whether SCFA exert similar effects during the late fetal phase has been insufficiently elucidated. This study aimed to evaluate whether [...] Read more.
Postnatally, short-chain fatty acids (SCFA) are important energetic and signaling agents, being involved in host nutrition, gut imprinting and immune and barrier function. Whether SCFA exert similar effects during the late fetal phase has been insufficiently elucidated. This study aimed to evaluate whether the fetal jejunum senses SCFA and whether SCFA modify the muscle tension and epithelial permeability and related signaling in jejunal tissue from the porcine fetus in late gestation. Exposure of fetal jejunal tissue to a mix of SCFA (70 µmol/mL) in an organ bath for 20 min lowered the muscle tension. Moreover, SCFA decreased the transepithelial conductance while increasing the short-circuit current in the Ussing chamber, indicating reduced permeability and increased SCFA absorption. Gene expression in the tissues harvested from the Ussing chamber after 30 min indicated downregulation of the expression of receptors (i.e., FFAR2 and TLR2), MCT1 and tight-junction and adherens proteins, which may be a negative feedback response to the applied high SCFA concentration compared with the micromolar concentration detected in fetal gastric fluid. Taken together, our data demonstrate that the fetal jejunum senses SCFA, which trigger electrophysiological, muscle contraction and related gene transcription responses. Hence, SCFA may play a role in prenatal gut nutrition and imprinting. Full article
(This article belongs to the Section Lipids)
Show Figures

Figure 1

20 pages, 1582 KB  
Review
Making Sense of Quorum Sensing at the Intestinal Mucosal Interface
by Friederike Uhlig and Niall P. Hyland
Cells 2022, 11(11), 1734; https://doi.org/10.3390/cells11111734 - 24 May 2022
Cited by 16 | Viewed by 5031
Abstract
The gut microbiome can produce metabolic products that exert diverse activities, including effects on the host. Short chain fatty acids and amino acid derivatives have been the focus of many studies, but given the high microbial density in the gastrointestinal tract, other bacterial [...] Read more.
The gut microbiome can produce metabolic products that exert diverse activities, including effects on the host. Short chain fatty acids and amino acid derivatives have been the focus of many studies, but given the high microbial density in the gastrointestinal tract, other bacterial products such as those released as part of quorum sensing are likely to play an important role for health and disease. In this review, we provide of an overview on quorum sensing (QS) in the gastrointestinal tract and summarise what is known regarding the role of QS molecules such as auto-inducing peptides (AIP) and acyl-homoserine lactones (AHL) from commensal, probiotic, and pathogenic bacteria in intestinal health and disease. QS regulates the expression of numerous genes including biofilm formation, bacteriocin and toxin secretion, and metabolism. QS has also been shown to play an important role in the bacteria–host interaction. We conclude that the mechanisms of action of QS at the intestinal neuro–immune interface need to be further investigated. Full article
(This article belongs to the Special Issue Neuro-Immune Crosstalk at Mucosal Interfaces in Health and Disease)
Show Figures

Figure 1

21 pages, 2968 KB  
Article
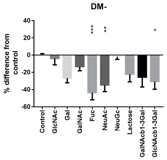
Atlantic Salmon Mucins Inhibit LuxS-Dependent A. Salmonicida AI-2 Quorum Sensing in an N-Acetylneuraminic Acid-Dependent Manner
by János Tamás Padra, Stefany Ojaimi Loibman, Kaisa Thorell, Henrik Sundh, Kristina Sundell and Sara K. Lindén
Int. J. Mol. Sci. 2022, 23(8), 4326; https://doi.org/10.3390/ijms23084326 - 13 Apr 2022
Cited by 12 | Viewed by 3256
Abstract
One of the most important bacterial diseases in salmonid aquaculture is furunculosis, caused by Aeromonas salmonicida. Bacterial communication through secreted autoinducer signals, quorum sensing, takes part in the regulation of gene expression in bacteria, influencing growth and virulence. The skin and mucosal [...] Read more.
One of the most important bacterial diseases in salmonid aquaculture is furunculosis, caused by Aeromonas salmonicida. Bacterial communication through secreted autoinducer signals, quorum sensing, takes part in the regulation of gene expression in bacteria, influencing growth and virulence. The skin and mucosal surfaces, covered by a mucus layer, are the first point of contact between fish and bacteria. Mucins are highly glycosylated and are the main components of mucus. Here, we validate the Vibrio harveyi BB170 bioreporter assay for quantifying A. salmonicida quorum sensing and study the effects of Atlantic salmon mucins as well as mono- and disaccharides on the AI-2 levels of A. salmonicida. Atlantic salmon mucins from skin, pyloric ceca, proximal and distal intestine reduced A. salmonicida AI-2 levels. Among the saccharides abundant on mucins, fucose, N-acetylneuraminic acid and GlcNAcβ1-3Gal inhibited AI-2 A. salmonicida secretion. Removal of N-acetylneuraminic acid, which is the most abundant terminal residue on mucin glycans on Atlantic salmon mucins, attenuated the inhibitory effects on AI-2 levels of A. salmonicida. Deletion of A. salmonicida luxS abolished AI-2 production. In conclusion, Atlantic salmon mucins regulate A. salmonicida quorum sensing in a luxS and N-acetylneuraminic acid-dependent manner. Full article
(This article belongs to the Section Biochemistry)
Show Figures

Figure 1

13 pages, 1682 KB  
Article
Staphylococcus aureus α-Toxin Effect on Acinetobacter baumannii Behavior
by Jennifer S. Fernandez, Marisel R. Tuttobene, Sabrina Montaña, Tomás Subils, Virginia Cantera, Andrés Iriarte, Lorena Tuchscherr and Maria Soledad Ramirez
Biology 2022, 11(4), 570; https://doi.org/10.3390/biology11040570 - 9 Apr 2022
Cited by 13 | Viewed by 3675
Abstract
Polymicrobial infections are more challenging to treat and are recognized as responsible for significant morbidity and mortality. It has been demonstrated that multiple Gram-negative organisms take advantage of the effects of Staphylococcus aureus α-toxin on mucosal host defense, resulting in proliferation and dissemination [...] Read more.
Polymicrobial infections are more challenging to treat and are recognized as responsible for significant morbidity and mortality. It has been demonstrated that multiple Gram-negative organisms take advantage of the effects of Staphylococcus aureus α-toxin on mucosal host defense, resulting in proliferation and dissemination of the co-infecting pathogens. Through phenotypic approaches, we observed a decrease in the motility of A. baumannii A118 after exposure to cell-free conditioned media (CFCM) of S. aureus strains, USA300 and LS1. However, the motility of A. baumannii A118 was increased after exposure to the CFCM of S. aureus strains USA300 Δhla and S. aureus LSI ΔagrA. Hemolytic activity was seen in A118, in the presence of CFCM of S. aureus LS1. Further, A. baumannii A118 showed an increase in biofilm formation and antibiotic resistance to tetracycline, in the presence of CFCM of S. aureus USA300. Transcriptomic analysis of A. baumannii A118, with the addition of CFCM from S. aureus USA300, was carried out to study A. baumannii response to S. aureus’ released molecules. The RNA-seq data analysis showed a total of 463 differentially expressed genes, associated with a wide variety of functions, such as biofilm formation, virulence, and antibiotic susceptibility, among others. The present results showed that A. baumannii can sense and respond to molecules secreted by S. aureus. These findings demonstrate that A. baumannii may perceive and respond to changes in its environment; specifically, when in the presence of CFCM from S. aureus. Full article
Show Figures

Figure 1

14 pages, 844 KB  
Article
Biometal Dyshomeostasis in Olfactory Mucosa of Alzheimer’s Disease Patients
by Riikka Lampinen, Veronika Górová, Simone Avesani, Jeffrey R. Liddell, Elina Penttilä, Táňa Závodná, Zdeněk Krejčík, Juha-Matti Lehtola, Toni Saari, Juho Kalapudas, Sanna Hannonen, Heikki Löppönen, Jan Topinka, Anne M. Koivisto, Anthony R. White, Rosalba Giugno and Katja M. Kanninen
Int. J. Mol. Sci. 2022, 23(8), 4123; https://doi.org/10.3390/ijms23084123 - 8 Apr 2022
Cited by 6 | Viewed by 3955
Abstract
Olfactory function, orchestrated by the cells of the olfactory mucosa at the rooftop of the nasal cavity, is disturbed early in the pathogenesis of Alzheimer’s disease (AD). Biometals including zinc and calcium are known to be important for sense of smell and to [...] Read more.
Olfactory function, orchestrated by the cells of the olfactory mucosa at the rooftop of the nasal cavity, is disturbed early in the pathogenesis of Alzheimer’s disease (AD). Biometals including zinc and calcium are known to be important for sense of smell and to be altered in the brains of AD patients. Little is known about elemental homeostasis in the AD patient olfactory mucosa. Here we aimed to assess whether the disease-related alterations to biometal homeostasis observed in the brain are also reflected in the olfactory mucosa. We applied RNA sequencing to discover gene expression changes related to metals in olfactory mucosal cells of cognitively healthy controls, individuals with mild cognitive impairment and AD patients, and performed analysis of the elemental content to determine metal levels. Results demonstrate that the levels of zinc, calcium and sodium are increased in the AD olfactory mucosa concomitantly with alterations to 17 genes related to metal-ion binding or metal-related function of the protein product. A significant elevation in alpha-2-macroglobulin, a known metal-binding biomarker correlated with brain disease burden, was observed on the gene and protein levels in the olfactory mucosa cells of AD patients. These data demonstrate that the olfactory mucosa cells derived from AD patients recapitulate certain impairments of biometal homeostasis observed in the brains of patients. Full article
Show Figures

Figure 1

20 pages, 82833 KB  
Article
pH-Sensing G Protein-Coupled Receptor OGR1 (GPR68) Expression and Activation Increases in Intestinal Inflammation and Fibrosis
by Cheryl de Vallière, Jesus Cosin-Roger, Katharina Baebler, Anja Schoepflin, Céline Mamie, Michelle Mollet, Cordelia Schuler, Susan Bengs, Silvia Lang, Michael Scharl, Klaus Seuwen, Pedro A. Ruiz, Martin Hausmann and Gerhard Rogler
Int. J. Mol. Sci. 2022, 23(3), 1419; https://doi.org/10.3390/ijms23031419 - 26 Jan 2022
Cited by 18 | Viewed by 6057
Abstract
Local extracellular acidification occurs at sites of inflammation. Proton-sensing ovarian cancer G-protein-coupled receptor 1 (OGR1, also known as GPR68) responds to decreases in extracellular pH. Our previous studies show a role for OGR1 in the pathogenesis of mucosal inflammation, suggesting a link between [...] Read more.
Local extracellular acidification occurs at sites of inflammation. Proton-sensing ovarian cancer G-protein-coupled receptor 1 (OGR1, also known as GPR68) responds to decreases in extracellular pH. Our previous studies show a role for OGR1 in the pathogenesis of mucosal inflammation, suggesting a link between tissue pH and immune responses. Additionally, pH-dependent signalling is associated with the progression of intestinal fibrosis. In this study, we aimed to investigate OGR1 expression and OGR1-mediated signalling in patients with inflammatory bowel disease (IBD). Our results show that OGR1 expression significantly increased in patients with IBD compared to non-IBD patients, as demonstrated by qPCR and immunohistochemistry (IHC). Paired samples from non-inflamed and inflamed intestinal areas of IBD patients showed stronger OGR1 IHC staining in inflamed mucosal segments compared to non-inflamed mucosa. IHC of human surgical samples revealed OGR1 expression in macrophages, granulocytes, endothelial cells, and fibroblasts. OGR1-dependent inositol phosphate (IP) production was significantly increased in CD14+ monocytes from IBD patients compared to healthy subjects. Primary human and murine fibroblasts exhibited OGR1-dependent IP formation, RhoA activation, F-actin, and stress fibre formation upon an acidic pH shift. OGR1 expression and signalling increases with IBD disease activity, suggesting an active role of OGR1 in the pathogenesis of IBD. Full article
(This article belongs to the Special Issue Molecular Mechanism of pH Regulation: From Physiology to Pathology)
Show Figures

Figure 1

22 pages, 2647 KB  
Article
Zinc Exposure Promotes Commensal-to-Pathogen Transition in Pseudomonas aeruginosa Leading to Mucosal Inflammation and Illness in Mice
by Tong Wu, Annie Gagnon, Katherine McGourty, Rebecca DosSantos, Lucia Chanetsa, Boce Zhang, Dhimiter Bello and Shannon L. Kelleher
Int. J. Mol. Sci. 2021, 22(24), 13321; https://doi.org/10.3390/ijms222413321 - 11 Dec 2021
Cited by 12 | Viewed by 3867
Abstract
The opportunistic pathogen Pseudomonas aeruginosa (P. aeruginosa) is associated gastrointestinal (GI) inflammation and illness; however, factors motivating commensal-to-pathogen transition are unclear. Excessive zinc intake from supplements is common in humans. Due to the fact that zinc exposure enhances P. aeruginosa colonization [...] Read more.
The opportunistic pathogen Pseudomonas aeruginosa (P. aeruginosa) is associated gastrointestinal (GI) inflammation and illness; however, factors motivating commensal-to-pathogen transition are unclear. Excessive zinc intake from supplements is common in humans. Due to the fact that zinc exposure enhances P. aeruginosa colonization in vitro, we hypothesized zinc exposure broadly activates virulence mechanisms, leading to inflammation and illness. P. aeruginosa was treated with excess zinc and growth, expression and secretion of key virulence factors, and biofilm production were determined. Effects on invasion, barrier function, and cytotoxicity were evaluated in Caco-2 cells co-cultured with P. aeruginosa pre-treated with zinc. Effects on colonization, mucosal pathology, inflammation, and illness were evaluated in mice infected with P. aeruginosa pre-treated with zinc. We found the expression and secretion of key virulence factors involved in quorum sensing (QS), motility (type IV pili, flagella), biosurfactants (rhamnolipids), toxins (exotoxin A), zinc homeostasis (CzcR), and biofilm production, were all significantly increased. Zinc exposure significantly increased P. aeruginosa invasion, permeability and cytotoxicity in Caco-2 cells, and enhanced colonization, inflammation, mucosal damage, and illness in mice. Excess zinc exposure has broad effects on key virulence mechanisms promoting commensal-to-pathogen transition of P. aeruginosa and illness in mice, suggesting excess zinc intake may have adverse effects on GI health in humans. Full article
(This article belongs to the Special Issue The Role of Trace Elements in Diseases)
Show Figures

Figure 1

19 pages, 5166 KB  
Article
Lactate Suppresses Retroviral Transduction in Cervical Epithelial Cells through DNA-PKcs Modulation
by Waldemar Wagner, Katarzyna Sobierajska, Katarzyna Dominika Kania, Edyta Paradowska and Wojciech Michał Ciszewski
Int. J. Mol. Sci. 2021, 22(24), 13194; https://doi.org/10.3390/ijms222413194 - 7 Dec 2021
Cited by 7 | Viewed by 3619
Abstract
Recently, we have shown the molecular basis for lactate sensing by cervical epithelial cells resulting in enhanced DNA repair processes through DNA-PKcs regulation. Interestingly, DNA-PKcs is indispensable for proper retroviral DNA integration in the cell host genome. According to recent findings, the mucosal [...] Read more.
Recently, we have shown the molecular basis for lactate sensing by cervical epithelial cells resulting in enhanced DNA repair processes through DNA-PKcs regulation. Interestingly, DNA-PKcs is indispensable for proper retroviral DNA integration in the cell host genome. According to recent findings, the mucosal epithelium can be efficiently transduced by retroviruses and play a pivotal role in regulating viral release by cervical epithelial cells. This study examined the effects of lactate on lentiviral transduction in cervical cancer cells (HeLa, CaSki, and C33A) and model glioma cell lines (DNA-PKcs proficient and deficient). Our study showed that L- and D-lactate enhanced DNA-PKcs presence in nuclear compartments by between 38 and 63%, which corresponded with decreased lentiviral transduction rates by between 15 and 36%. Changes in DNA-PKcs expression or its inhibition with NU7441 also greatly affected lentiviral transduction efficacy. The stimulation of cells with either HCA1 agonist 3,5-DHBA or HDAC inhibitor sodium butyrate mimicked, in part, the effects of L-lactate. The inhibition of lactate flux by BAY-8002 enhanced DNA-PKcs nuclear localization which translated into diminished lentiviral transduction efficacy. Our study suggests that L- and D-lactate present in the uterine cervix may play a role in the mitigation of viral integration in cervical epithelium and, thus, restrict the viral oncogenic and/or cytopathic potential. Full article
(This article belongs to the Special Issue DNA Damage, DNA Repair, and Cancer)
Show Figures

Graphical abstract

Back to TopTop