Next Article in Journal
Drug Repurposing in Cancer Therapy: Influence of Patient’s Genetic Background in Breast Cancer Treatment
Previous Article in Journal
Role of Branched-Chain Amino Acid Metabolism in Type 2 Diabetes, Obesity, Cardiovascular Disease and Non-Alcoholic Fatty Liver Disease
 
 
Font Type:
Arial Georgia Verdana
Font Size:
Aa Aa Aa
Line Spacing:
Column Width:
Background:
Article

Atlantic Salmon Mucins Inhibit LuxS-Dependent A. Salmonicida AI-2 Quorum Sensing in an N-Acetylneuraminic Acid-Dependent Manner

by
János Tamás Padra
1,†,
Stefany Ojaimi Loibman
1,†,
Kaisa Thorell
1,‡,
Henrik Sundh
2,
Kristina Sundell
2 and
Sara K. Lindén
1,*
1
Department of Medical Chemistry and Cell Biology, University of Gothenburg, 405 30 Gothenburg, Sweden
2
Department of Biological and Environmental Sciences, University of Gothenburg, 405 30 Gothenburg, Sweden
*
Author to whom correspondence should be addressed.
These authors contributed equally to this work.
Current address: Department of Infectious Diseases, Institute of Biomedicine, Sahlgrenska Academy, University of Gothenburg, 405 30 Gothenburg, Sweden.
Int. J. Mol. Sci. 2022, 23(8), 4326; https://doi.org/10.3390/ijms23084326
Submission received: 22 March 2022 / Revised: 11 April 2022 / Accepted: 12 April 2022 / Published: 13 April 2022
(This article belongs to the Section Biochemistry)

Abstract

One of the most important bacterial diseases in salmonid aquaculture is furunculosis, caused by Aeromonas salmonicida. Bacterial communication through secreted autoinducer signals, quorum sensing, takes part in the regulation of gene expression in bacteria, influencing growth and virulence. The skin and mucosal surfaces, covered by a mucus layer, are the first point of contact between fish and bacteria. Mucins are highly glycosylated and are the main components of mucus. Here, we validate the Vibrio harveyi BB170 bioreporter assay for quantifying A. salmonicida quorum sensing and study the effects of Atlantic salmon mucins as well as mono- and disaccharides on the AI-2 levels of A. salmonicida. Atlantic salmon mucins from skin, pyloric ceca, proximal and distal intestine reduced A. salmonicida AI-2 levels. Among the saccharides abundant on mucins, fucose, N-acetylneuraminic acid and GlcNAcβ1-3Gal inhibited AI-2 A. salmonicida secretion. Removal of N-acetylneuraminic acid, which is the most abundant terminal residue on mucin glycans on Atlantic salmon mucins, attenuated the inhibitory effects on AI-2 levels of A. salmonicida. Deletion of A. salmonicida luxS abolished AI-2 production. In conclusion, Atlantic salmon mucins regulate A. salmonicida quorum sensing in a luxS and N-acetylneuraminic acid-dependent manner.

1. Introduction

Atlantic salmon (Salmo salar L.) aquaculture is a large and growing food industry. In aquaculture worldwide, disease outbreaks are a limiting factor for ethical and economically sustainable production. One of the most severe diseases in fish farming is furunculosis, caused by Aeromonas salmonicida ssp. salmonicida, which primarily affects the members of the salmonidae family [1,2]. A thorough understanding of host–pathogen interactions can enable novel ways of treating infections.
Fish are covered by a continuously secreted mucus layer, which is the first barrier that pathogens encounter [3]. The main components of this mucus layer are secreted mucins. We have shown that Atlantic salmon mucins carry over a hundred different carbohydrate structures, and thus provide a vast array of potential binding sites for microbes [4,5] The mucins therefore constitute an important part of the mucosal defense against infections [6,7]. The interaction between Atlantic salmon mucins and A. salmonicida, i.e., adhesion and growth of pathogens in response to mucins, differs depending on which organ of the fish the mucins were isolated from, is governed by the mucin glycans, and is influenced by environmental factors [5,8].
Bacteria form dynamic communities with distinct social behaviors. Communication between microbes occurs by means of small extracellular molecules, also called autoinducers, and is referred to as quorum sensing (QS) [9]. A. salmonicida produces N-acylhomoserine lactone (AHL) molecules [10], which are characteristic of numerous Gram-negative bacteria. AHL molecules are termed autoinducer-1 molecules (AI-1). Another major signaling molecule utilized by A. salmonicida is the autoinducer-2 molecule (AI-2) [11,12] which is the derivative of the 4,5-dihydroxy-2,3-pentanedione (DPD) molecule [13]. The latter system can be found in members of both Gram-negative and Gram-positive bacteria and is the “common language” of interspecies communication [14]. In A. salmonicida, S-ribosylhomocysteine lyase encoded by the luxS gene synthesize AI-2 [15]. The luxS mutant A. salmonicida was shown to overexpress two virulence factors: plc (phospholipase C) and ahe2 (serine protease) but underexpressed vapA, that codes for the A-layer protein and is a determining factor in cell morphology. Moreover, luxS mutant A. salmonicida shows lower levels of autoaggregation and triggers a more rapid immune response in Atlantic salmon compared to the wild-type strain [12]. A. salmonicida and its close relative A. hydrophila possess a range of virulence factors, including α-hemolysin [16], glycero-phospholipid-cholesterol acyltransferase [17,18], lipase [19] and serine protease [10,20]. The expression of several of these exoproducts is associated with high cell densities in the late exponential/stationary phase [10,16,17,18,19,20]. A. salmonicida QS is likely to take an important part in the regulation of bacterial-cell density and virulence during the pathomechanism of infection. AI-2 signaling is less explored compared to the AI-1 system, and its role needs to be studied further in A. salmonicida.
A widely used reporter organism for QS is V. harveyi. The cell density and luminescence of V. harveyi is controlled by various QS signals. V. harveyi BB170 sensor I¯ reporter strain (hereafter called V. harveyi BB170) lacks the luxN sensor domain [21] and therefore lacks the phosphatase activity that can remove phosphate from LuxO to induce bioluminescence expression [22] upon contact with AI-1 signals. Thus, V. harveyi BB170 does not respond to AI-1 signals, making it suitable for the specific detection of AI-2 signals.
The main objectives of the project were to validate the V. harveyi BB170 bioreporter assay in A. salmonicida QS and to study the effects of Atlantic salmon mucins on the AI-2 levels of A. salmonicida. By creating a luxS mutant and using mono- and disaccharides present terminally on the mucin glycans, we further elucidated the mechanisms behind the inhibitory effects of mucins on AI-2 signaling.

2. Results

2.1. V. Harveyi BB170 Autoinducer-2 Reporter Assay Is Suitable for AI-2 Quantification in Narrow Concentration Ranges Defined by the Selected Culture Medium

We first tested the linear range of the AI-2 reporter assay by using the supernatant of V. harveyi BB170 (Figure 1A). The detection was linear between the undiluted supernatant and the four-fold dilution, but not with further dilutions. Using a dilution series of 4,5-dihydroxy-2,3-pentanedione (DPD) ranging from 100 µM to 1 nM, we found that the detection range in M9 minimal medium supplied with casamino acids (CM9 medium) was 10–100 nM, whereas in defined medium (DM) the range was 100–1000 nM (Figure 1B). The relationship between DPD concentration and relative luminescence was linear, reflecting a good fit in the aforementioned ranges (CM9 r2 = 0.98 and DM r2 = 0.98). Below and above these ranges, the assay did not allow quantification of AI-2 signals due to lack of linearity in the relationship between V. harveyi BB170 luminescence and DPD concentration (Figure 1B). Two reasons that might explain the differences in detection range between these media are differences in opacity that affect the luminescence signal, and also differences in nutrient compositions that affect the behavior of V. harveyi in the reporter assay.

2.2. A. Salmonicida Autoinducer-2 Production Starts before the Log Phase of Growth and Its Kinetics Differs Depending on Culture Media

The timecourse of extracellular AI-2 level changes differed depending on if A. salmonicida was cultured in CM9 (Figure 2A) or DM (Figure 2B). The common trait was that the majority of the signals were produced before the log phase started. The AI-2 increase in CM9 was slow, reaching maximum levels after 9 h (Figure 2A) compared to 2 h in DM medium (Figure 2B). In CM9, the largest increase occurred before the log phase and the increase continued at a slower rate (Figure 2A). In DM, the level of AI-2 reached a plateau in the lag phase and their level remained similar throughout the time course (Figure 2B).

2.3. Exogenous DPD Enhances A. Salmonicida Growth

A. salmonicida responded to DPD treatment with increased growth in both media (Figure 3A,B). In CM9, OD560 of the cultures increased linearly with increasing DPD concentration (ΔOD560 in log phase vs. DPD conc.: r2 = 0.91; p = 0.0002; n = 4, Figure 3A). In DM, the increase in OD560 in response to DPD treatment was less pronounced (ΔOD560 in log phase vs. DPD conc.: r2 = 0.66; p = 0.0078, Figure 3B; n = 4). CFU/mL vs. DPD growth curves of A. salmonicida calculated using CFU/mL-OD560 standard curves in the logarithmic range of growth (Figure 3C,D) indicate a stronger effect of DPD on growth in CM9 compared to DM. A. salmonicida doubling times calculated from the logarithmic growth phase inversely correlated with DPD concentrations in both media (r2 = 0.82; p = 0.002, n = 4 in CM9, Figure 3E and r2 = 0.58; p = 0.0172, n = 4 in DM, Figure 3F).

2.4. Atlantic Salmon Mucins Reduce A. Salmonicida AI-2 Secretion

Atlantic salmon mucins from skin, pyloric ceca, proximal and distal intestine reduced AI-2 signals from A. salmonicida cultures (p = 0.0001, p = 0.0049, p = 0.0001 and p = 0.0008, respectively, n = 5, Figure 4A). Skin mucins reduced AI-2 secretion by 81%, proximal intestinal mucins by 72%, distal intestinal mucins by 56% and pyloric cecal mucins by 48%. The effect of mucins on the AI-2 production and A. salmonicida growth did not correlate (r2 = 0.05, p = n.s., n = 19; Figure 4B), which together with the results in Figure 2 suggest that mucin effects on A. salmonicida growth are not the main cause for the effects on A. salmonicida AI-2 production.

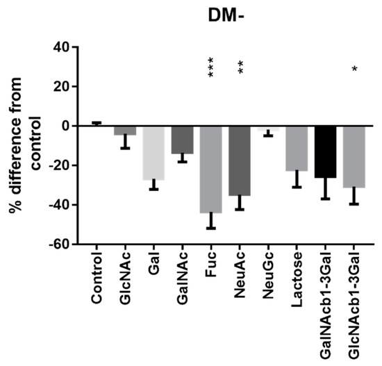
2.5. Among the Saccharides Abundant on Mucins, Fucose, N-Acetylneuraminic Acid and GlcNAcβ1-3Gal Inhibit AI-2 Secretion of A. Salmonicida

The disaccharide GlcNAcβ1-3Gal, which is a common epitope on Atlantic salmon mucins, reduced the AI-2 levels in the A. salmonicida supernatant by 31% (n = 6; p = 0.0297; Figure 5). Fucose decreased AI-2 levels by 44% (n = 6; p = 0.0008; Figure 5) while NeuAc decreased them by 35% (n = 6; p = 0.0101; Figure 5). Galactose, GalNAc and the galactose-containing saccharides lactose and GalNAcβ1-3Gal also had a tendency to reduce AI-2 production in A. salmonicida cultures in DM (n = 6; p = n.s.; Figure 5), whereas no such tendency was present for N-glycolylneuraminic acid and N-acetylglucosamine.

2.6. Removal of N-Acetylneuraminic Acid from Atlantic Salmon Mucins Attenuates the AI-2 Reducing Effects of Mucins on A. Salmonicida

Among the terminal monosaccharides located on salmon mucins that reduced A. salmonicida AI-2 production (Figure 5), N-acetylneuraminic acid is the most prevalent [8]. Enzymatic removal of N-acetylneuraminic acid from salmon mucins increased the AI-2 production of A. salmonicida (skin, pyloric ceca, proximal intestine, and distal intestine p = 0.0041, p = 0.0021, p = 0416 and p = 0.0035, respectively, Figure 6). N-acetylneuraminic acid removal from both skin and pyloric cecal mucins increased the AI-2 levels by 32% compared to mock-treated mucins (Figure 6A,B), whereas removal from proximal and distal intestinal mucins increased AI-2 levels by 22% and 25%, respectively (Figure 6C,D).

2.7. Identification of the luxS Gene in the Genome of A. Salmonicida Ssp. Salmonicida Strain VI-88/09/03175

The genome sequence of the A. salmonicida ssp. salmonicida strain VI-88/09/03175 was determined, resulting in a draft genome of 4,738,132 bp over 123 contigs, with an average coverage of 52-fold coverage. From the annotation, a luxS homolog was identified. The luxS gene sequence of A salmonicida ssp. salmonicida strain VI-88/09/03175 (510 bp) showed a 100% homology with its homolog in the A. salmonicida subsp. salmonicida A449 reference genome (accession number CP000644.1). The draft genome was submitted to GenBank under BioProject number PRJNA698804.

2.8. Construction of ΔluxS Gene-Deletion Mutant Strain

To investigate the relationship between luxS gene and AI-2 activity in A. salmonicida we first deleted the luxS gene, creating a mutant strain by homologous recombination. As shown in Figure 7, the deletion was then verified by PCR using genomic DNA (gDNA) as a template with two approaches: (1) Amplification of the flanking regions of luxS gene with luxS-up-F and luxS-down-R primers produced bands with 980 bp for the wild type (WT) while the ΔluxS mutant clones produced 470 bp bands, in accordance with the theoretical size (Figure 7B); (2) Amplification mapping inside the luxS gene with LuxS-F and LuxS-R primers produced a product only in the WT strain (Figure 7C).

2.9. Growth Characteristics of A. Salmonicida WT and ΔluxS

To investigate the influence of luxS on A. salmonicida growth, growth rates from the ΔluxS mutant and WT were compared (Figure 8). The growth for the first few hours after starting a liquid culture in fresh DM was similar for the WT and ΔluxS mutant. At later time points, the ΔluxS mutant growth lagged behind that of the WT, and by 8 h the ΔluxS mutant growth was approximately 2-fold less than that of the WT (Figure 8).

2.10. Deletion of LuxS Abolished A. Salmonicida AI-2 Production Both in the Absence and Presence of Skin Mucins

After 8 h of culture in DM with a starting OD600 of 0.1, the AI-2 production of the ΔluxS mutant was significantly decreased compared to that of WT A. salmonicida, as measured using the V. harveyi BB170 strain bioluminescence assay (Figure 9A). To further investigate the effect of Atlantic salmon skin mucins on AI-2 secretion, A. salmonicida WT and ΔluxS mutant strains were cultured in DM with and without Atlantic salmon skin mucins. In order to investigate if the difference in cell density caused by differences in growth rate between the ΔluxS and WT A. salmonicida interfered with the assay, we measured AI-2 activity after 6 and 8 h and included cultures with a starting OD600 of 0.4 starting for the ΔluxS in addition to the standard starting OD600 of 0.1 (Figure 9B). Skin mucins notably decreased the levels of secreted AI-2 molecules from the A. salmonicida WT strain after both 6 h and 8 h (Figure 9C). The levels of secreted AI-2 molecules from A. salmonicida ΔluxS were also statistically significantly decreased in the majority of cultures with skin mucins compared to those without skin mucins (Figure 9C). However, the amplitudes of both the AI-2 activity in A. salmonicida ΔluxS cultures without mucins and the level of inhibition in the ΔluxS cultures with skin mucins were very low (Figure 9C) and are thus less likely to have a biological impact than in the WT strain.

3. Discussion

In this study, we demonstrated that AI-2 production of A. salmonicida could be quantified with the V. harveyi BB170 bioluminescent-reporter system. The assay differed in sensitivity and linear range for the two A. salmonicida culture media used, demonstrating the necessity to investigate the linear range for different media before performing such assays. Exogenous DPD increased the growth of A. salmonicida, and an isogenic luxS deletion strain grew slower than the WT strain. Deletion of luxS abolished the vast majority of the A. salmonicida AI-2 secretion. Furthermore, Atlantic salmon mucins from the skin, pyloric ceca, proximal intestine and distal intestine all reduced the A. salmonicida AI-2 secretion. Out of the monosaccharides and disaccharides that we previously identified among the Atlantic salmon mucin glycan structures [4], fucose, NeuAc and GlcNAcβ1-3Gal reduced the AI-2 secretion of A. salmonicida. After the enzymatic removal of NeuAc, which is the most abundant terminal monosaccharide on mucins, from mucins the AI-2 secretion increased, suggesting an important role for NeuAc in the inhibition of A. salmonicida AI-2 signaling.
Concerns have previously been raised about the precision and applicability of the V. harveyi BB170 bioluminescent-reporter system in detecting AI-2 signals [23,24] claiming, for example, that the luminescence response, working as an ON and OFF switch, is only suitable for qualitative assessments, i.e., to confirm the presence or absence of AI-2. It is indeed important for assays such as the V. harveyi reporter assay, where the detection occurs by a living organism, to be approached with caution. During the optimization of the reporter assay, we used the reporter strain’s own cell-free culture supernatant and also A. salmonicida cell-free culture supernatant in a serial dilution to examine the relationship between the dilution and relative luminescence of the reporter. In both cases, the relationship was linear but in a limited window. In the detection of the commercially available AI-2 molecule, DPD, by the reporter assay, we found differences between the two media we used. It has been shown previously that nutrients in the culture medium, such as Fe (III) and borate, affect the luminescent signals of the autoinducer assay [24], which explains the difference we have seen. Vilchez et al. did not find a linear relationship between DPD concentration and luminescence [24], but their study did not include the range where we found the assay to be linear. Wang et al. found the linear range for DPD detection in aqueous solution with V. harveyi BB170 to be between 80 nM and 1 µM, which is similar to what we found in the DM medium [25]. Similarly, V. harveyi MM77 AI-1−, AI-2− had a linear response to DPD between 0.0002 and 200 nM [26]. These results suggest that the V. harveyi BB170 reporter system can be used for comparing AI-2 levels between treatments of bacteria cultured in the same medium. Using DPD for standard curves when comparing treatments of bacteria cultured in different media also appears to be a valid approach as long as potential differences in detectability are considered.
We found that addition of exogenous DPD in high concentrations increased A. salmonicida growth. The concentrations that increased growth in the present paper exceed concentrations we measured in A. salmonicida cultures up to ca. 200-fold, yet they can be relevant in the microenvironment of bacteria, especially in a biofilm and/or in presence of other bacteria that secrete more AI-2. Furthermore, the A. salmonicida VI-88/09/03175ΔluxS mutant that we made consistently grew slower than its WT parent strain, both in the absence and presence of mucins. The luxS gene is highly conserved among many different bacterial species [27,28]. In several bacterial species, including Edwardsiella piscicida, Streptococcus pyogenes, and Bacillus anthracis, deletion of luxS lead to decreased growth [29,30,31]. Nevertheless, no clear effect on growth was detected neither in an A. salmonicida luxS mutant (C4) nor in an Aeromonas hydrophila luxS mutant [12,32,33]. When growth effects were detected in luxS deletion mutants, they were not very prominent, and LuxS-related growth deficiencies may also be dependent on the media used in the study [30]. Taken together, these results indicate that AI-2 synthesis is not essential for growth, but luxS can be involved in different metabolic pathways [34]. It has been shown recently that LuxS in A. salmonicida has a role in regulating vapA expression [12]. The luxS mutant A. salmonicida has decreased expression of VapA, and consequently the cells show reduced autoaggregation [12]. Exogenous AI-2 signals may thus increase aggregation and support the growth of A. salmonicida, as we have seen in our experiments, and this likely happens along with increased VapA production. Increased aggregation can lead to larger errors in optical-density measurements of bacteria [35]. Therefore, we confirmed both the growth-promoting effect of DPD with alamarBlue reduction measurements (data not shown). We also confirmed the differences in growth between our luxS deletion mutant and its parent strain with the alamarBlue assay (Figure 7), but the outcome of OD and alamarBlue measurements were similar. Further, in response to bacteria or aerolysin-induced tight-junction disruption, molecules resembling AI-2 can be secreted by host epithelia. This phenomenon has been reported in the mammalian gut, which produced molecules mimicking AI-2 upon contact with bacteria, which led to subsequent bacterial gene expression changes [36]. The authors argued for a role of the AI-2 mimic in the symbiotic relationship with gut commensals that participate in the healing process of the epithelia. No similar phenomenon has been described in Atlantic salmon to date. However, in an Atlantic salmon-disease challenge experiment the expression levels of immune factors were more pronounced against the luxS deletion mutant than against wild-type A. salmonicida [12] suggesting a role of AI-2 for A. salmonicida survival in the host. It is likely that even though the intrinsic A. salmonicida AI-2 secretion is low, signal hijacking, i.e., sensing the common AI-2 signals produced by other bacteria, in the host can contribute to increased growth and survival of A. salmonicida.
In our study, the AI-2 activity in spent media from the ΔluxS mutant strain was significantly decreased compared to its parent A. salmonicida wt, suggesting that the luxS gene is closely related to AI-2 production. However, a small residual AI-2 activity still remained. The signal was close to the detection level of the assay, but it can not be excluded that other genes can produce molecules that elicit a low level of AI-2 response
In the present study we characterized, for the first time, the effect of Atlantic salmon mucins on the AI-2 secretion of A. salmonicida. Addition of purified mucins from skin, pyloric ceca, proximal intestine and distal intestine decreased the levels of secreted AI-2 molecules in the culture supernatant of A. salmonicida. We found no correlation between growth rate and AI-2 levels after culturing A. salmonicida with mucins. This supports the claim that mucins modulate AI-2 signaling in A. salmonicida directly and not only as a side effect of changes in growth. Our results on the AI-2 time course of A. salmonicida also corroborate this statement, as we did not find AI-2 levels to tightly follow that of growth. Mucins and bacterial AI-2 signals encourage a planktonic state of the human gastric pathogen Helicobacter pylori over biofilm formation. This is proposed as a means of dissemination of bacteria after a certain bacterial density is reached [37,38]. This might primarily be beneficial for the bacteria, allowing it to leave a suboptimal environment in search for other targets. LuxS mutant H. pylori without AI-2 secretion formed biofilms two-fold more efficiently than wild-type bacteria [37], supporting the role of AI-2 signaling in biofilm dispersal and virulence towards the host. After coming in contact with mucins, Vibrio cholerae lose flagella and repress quorum sensing through the LuxO regulator, which initiates virulent behavior [39]. A. salmonicida does not normally have flagella [40], but their pili take part in host colonization [41,42,43]. Similarly to V. cholerae losing their flagella while passing through the mucus layer [39] A. salmonicida was found to use pili to initiate contact with the host, after which they were suggested as unnecessary in the invasion process [43]. Due to the regulatory role of QS systems in pili formation and motility [28,44] our results with reduced AI-2 secretion of A. salmonicida upon contact with mucins might indicate a response where the pili formation is impeded. Exogenous AI-2 increased the expression of a hemolysin gene, aerB, in luxS mutant A. salmonicida [12], which suggests a lower aerB expression in the presence of mucins. A. salmonicida is known to operate with a range of AI-1 molecules [10,45] and the AI-2 system. As there is a high level of interaction between these systems in bacteria, it cannot be concluded with certainty that decreased AI-2 production upon contact with salmon mucins alone leads to decreased virulence in A. salmonicida. Despite the knowledge gap in the QS-signaling mechanisms in A. salmonicida, it is certain that this pathogen not only reacts to mucins by attachment [5] and altered growth [8] but also by altering group behaviors. Taken together, this suggests both a dynamic interaction between A. salmonicida and salmon mucins, and that mucins modulate pathogen behavior in several ways.
To pinpoint saccharides in the mucin O-glycans of Atlantic salmon that can contribute to the AI-2 inhibition in A. salmonicida, we cultured A. salmonicida in the presence of mono- and disaccharides. The higher concentration of accessible carbohydrate in the CM9 medium masks the effect of the saccharides, which makes it a suboptimal medium for studying the effect of saccharides on AI-2 secretion in bacteria. Thus, we decided to study the saccharides effect in DM medium only. All studied saccharides except GlcNAc and NeuGc tended to reduce the AI-2 secretion of A. salmonicida, while fucose, N-acetylneuraminic acid and GlcNAcβ1,3GalNAc displayed a significant inhibitory effect. We have previously shown that the disaccharide GlcNAcβ1,3GalNAc increases the growth of A. salmonicida through GlcNAc [8]. As we normalized the AI-2 changes for growth, an alternative explanation for the inhibitory effect of this molecule and GlcNAc could be through a growth-promoting effect without changes in AI-2 levels. Other saccharides that inhibited AI-2 secretion in A. salmonicida in DM medium were fucose and NeuAc, which had no effect on the growth of A. salmonicida [8]. These two monosaccharides are present on mucins as terminal structures, i.e., structures that first come into contact with bacteria. Fucose is scarce as a terminal monosaccharide, while NeuAc is the dominant terminal monosaccharide on mucins from all investigated Atlantic salmon epithelial sites [4,8]. Interestingly, the structurally closely related NeuGc, present on skin mucins but almost entirely absent in the gastrointestinal tract, had no effect on QS. To provide further support for NeuAc as a central player in A. salmonicida AI-2 signaling, we treated Atlantic salmon mucins with the sialidase A enzyme that cleaves most NeuAc from the terminal positions of the O-glycans, as previously validated [5]. Sialidase treatment of mucins from all four epithelial sites increased AI-2 levels in A. salmonicida culture supernatant compared to their mock-treated counterparts. Elimination of NeuAc exposes cryptic structures, i.e., mainly Gal, GlcNAc and GalNAc, which did not significantly inhibit the A. salmonicida AI-2 secretion. This evidence supports the view that NeuAc is sensed by bacteria and reduces the synthesis of AI-2 signals. Furthermore, we have shown earlier that NeuAc is the terminal residue that primarily binds A. salmonicida [5], and terminal NeuAc shields the growth-promoting GlcNAc from A. salmonicida access [8]. Together, these results suggest a prominent role for NeuAc in A. salmonicida growth, behavior, and interactions with its host. In addition to being abundant on Atlantic salmon mucins, NeuAc is also abundant on mucin glycans from arctic charr [46].
We found the central player on mucins in reducing AI-2 secretion in A. salmonicida to be NeuAc. Mucins from all organ groups have NeuAc present terminally on O-glycans in high abundance and they reduce AI-2 secretion of A. salmonicida to a similar extent. Thus, the response of A. salmonicida to Atlantic salmon mucins does not seem to be organ-specific but rather a general response regardless of where on the body the first contact is made with the host. This can possibly reduce the resistance of the bacteria towards the immune system of the fish and reduce aerB virulence factor expression [12]. During infection, this effect of the mucins might help the host to prolong the invasion process and eliminate the bacteria by trapping them and flushing them out of the body or shedding them from the body surface [47] before the pathogen reaches the epithelial cells. It is likely that AI-2 inhibition by salmon mucins further supports the strong contact with A. salmonicida, as other bacterial species have been shown to have stronger effacing behavior with higher AI-2 signals [37,38,48]. When colonization occurs, this effect on AI-2 signals in A. salmonicida is accompanied by a variety of environmental factors, e.g., salinity, pH, and autoinducer molecules from other colonizing bacteria and the A. salmonicida-s AI-1 system further complicating the AI-2 machinery in an in vivo infection.
In conclusion, we showed that the bioluminescent-reporter assay with V. harveyi BB170 can be used to quantify AI-2 production with precautions against media components and that exogenous AI-2 signals increase the growth of A. salmonicida. Since AI-2 is a common bacterial language, this suggests that A. salmonicida might benefit from hijacking these signals from surrounding bacteria in competitive environments. We showed that Atlantic salmon mucins from the skin, pyloric ceca, proximal intestine and distal intestine reduce the AI-2 secretion of A. salmonicida in a NeuAc and luxS dependent manner. Together with previously published results [5,8], this suggests a prominent role for NeuAc in Atlantic salmon defense, regulating A. salmonicida growth, behavior and interactions with its host.

4. Materials and Methods

4.1. Bacterial Strains and Culture Conditions

A. salmonicida ssp. salmonicida strain VI-88/09/03175 (culture collection, Central Veterinary Laboratory, Oslo, Norway) was cultured in Brain Heart Infusion broth (BHI) at 19 °C and stocks were stored in BHI/glycerol 1:1 at −80 °C. S17-1 E. coli (listed in Table 1) was cultured in LB medium at 37 °C broth with vigorous agitation (250 rpm); when required, ampicillin or chloramphenicol was added to the medium to achieve a final concentration of 100 μg mL−1. V. harveyi strain BB170 was cultured overnight in Bioluminescence Autoinducer medium (ATCC medium: 2746) at 30 °C with continuous shaking at 100 rpm. Bacterial concentration was measured as OD600 nm using the spectrophotometer Genesys 30 (Thermo Scientific).

4.2. Culture Media

The DM medium contained 0.1 g/L Ca(NO3)2·4H2O, 0.4 g/L KCl, 0.1 g/L MgSO4·7H2O, 6 g/L NaCl, 0.8 g/L Na2HPO4, 2 g/L NaHCO3, 2 mg/L FeSO4, 5 g/L BSA, 50 mg/L adenine, 3 mg/L lipoic acid. For amino acids, DM medium contained 44.5 mg/L alanine, 632 mg/L arginine, 75 mg/L asparagine, 66.5 mg/L aspartic acid, 120 mg/L cysteine, 73.5 mg/L glutamic acid, 300 mg/L glutamine, 37.5 mg/L glycine, 110 mg/L histidine, 262.5 mg/L isoleucine, 262 mg/L leucine, 362.5 mg/L lysine, 75.5 mg/L methionine, 165 mg/L phenylalanine, 57.5 mg/L proline, 52.5 mg/L serine, 238 mg/L threonine, 51 mg/L tryptophan, 180 mg/L tyrosine, 234 mg/L valine. The vitamin content of DM medium was as follows: 0.2 mg/L D-biotin, 3 mg/L choline chloride, 1 mg/L folic acid, 35 mg/L myo-inositol, 1 mg/L niacinamide, 1 mg/L p-aminobenzoicacid, 1.25 mg/L D-pantothenicacid, 1 mg/L pyridoxinehydrochloride, 0.2 mg/L riboflavin, 1 mg/L thiamine hydrochloride, 5 µg/L vitamin B12 (cyanocobalamin). The CM9 medium contained 3 g/L KH2PO4, 12.8 g/L Na2HPO4, 0.5 g/L NaCl, 1.0 g/L NH4Cl, 0.24 g/L MgSO4, 11.1 mg/L CaCl2 and 40 g/L BactoTM Casamino acids (BD sciences). See Table 2 for a side by side comparison of the media. The BactoTM Casamino acids derive from hydrolysis of casein further supplemented with an undisclosed amount of growth factors, cystine, maltose, iron and inorganic salts, therefore making CM9 medium a nondefined medium. In addition, due to the high amount of carbohydrates, CM9 medium was not suitable for our assay to investigate the effect of mucins and saccharides on A. salmonicida extracellular AI-2 levels.

4.3. DNA Manipulation

Bacterial DNA-extraction manipulations were performed routinely, as described by Sambrook et al. [32]. All restriction enzymes were used according to the manufacturers’ instructions (New England Biolabs, Ipswich, MA, USA). PCR were carried out in an Applied Biosystems 2720 Thermal Cycler (Thermo Scientific) using Platinum™ II Hot-Start Green PCR Master Mix (2x) (Invitrogen). The reaction mixture (50 μL) contained 22 μL ddH2O, 25.0 μL Platinum™ II Hot-Start Green PCR Master Mix, 1.0 μL PCR forward primer (10 mM), 1.0 μL PCR reverse primer (10 mM), 1.0 μL DNA sample, using the following PCR program: initial denaturation for 2 min at 94 °C; 30 cycles each for denaturation for 15 s at 94 °C, annealing for 15 s at 60 °C; and extension for 1.5 min at 68 °C. DNA fragments for cloning purposes were extracted and purified from agarose gel using Qiagen Gel Extraction kit (Qiagen, Inc., Hilden, Germany). The homologous A and B fragments and pRE112 plasmid were connected by using Gibson Assembly® Master Mix-Assembly (NEB Inc., Ipswich, MA, USA). A. salmonicida ssp. Salmonicida strain VI-88/09/03175 whole-genome sequencing was performed using the Illumina MiSeq platform v3 chemistry, 2 × 300 bp read length. Data QC, de novo assembly and annotation were performed using the BACTpipe pipeline [50]. From the annotated coding sequences, a S-ribosylhomocysteine lyase (luxS) homolog was identified, which was compared to its A. salmonicida ssp. salmonicida A449 reference strain equivalent using psi-BLAST (National Center for Biotechnology Information, NCBI).

4.4. Construction of ΔluxS Mutant

The luxS gene was knocked out with the suicide vector pRE112 (Table 3) by homologous recombination, according to the method described by Meng et al. [12]. Flanking regions of the luxS gene (A- upstream and B- downstream) were amplified from the A. salmonicida ssp. salmonicida strain VI-88/09/03175 gDNA template, using A-F/R and B-F/R primers and the plasmid pRE112 was digested by KpnI enzyme (NEB Inc., Ipswich, MA, USA) These two fragments were connected to the plasmid by using Gibson Assembly® Master Mix-Assembly (NEB Inc., Ipswich, MA, USA). Subsequently, the plasmid ΔluxS_pRE112 was chemically transformed into E. coli S17-1 competent cells, containing pir and sacB gene, and chloramphenicol selection was performed for further bacterial conjugation with A. salmonicida. A sucrose selection (15%) for pRE112 absence was performed and confirmation of the ΔluxS genotype was made by PCR (Figure 7).
All the primers used in this study are shown in Table 3.

4.5. Quorum-Sensing Assay

For harvesting culture supernatant for AI-2 detection, A. salmonicida was cultured with 100 µg/mL mucin samples or with the same concentration of mono- and disaccharides, as described previously [8], in the denoted medium until cultures reached the stationary phase of growth. This is a time point where AI-2 production of A. salmonicida had reached maximum levels (Figure 2). Cultures were collected from wells and replicates were pooled and centrifuged at 4000× g for 5 min at RT. Supernatants were sterile-filtered (0.22 µm pore size, cellulose acetate filter, VWR), pipetted into white opaque 96-well plates and stored frozen at −20 °C ready for analysis. Freeze–thaw cycles and storage above −20 °C were avoided. Fresh, filtered A. salmonicida culture media (CM9 or DM) were used as negative controls in the bioreporter assay. To verify that the higher nutrient content in the negative control had no effect on the assay, we made a serial dilution from the negative control and subjected it to the bioreporter assay. No effect on nutrient dilution was detected in the DM media. Although a small effect could be detected in the CM9 media, the effect was less than 1% of the signal of the assays and therefore was considered negligible.
The measurement of autoinducer production was carried out with a quorum-sensing reporter bacterium: Vibrio harveyi transposon insertion mutant with the LuxN- phenotype (strain BB170 (ATCC® BAA-1117™), courtesy of Bassler BL). V. harveyi strain BB170 was cultured overnight in Bioluminescence Autoinducer medium (ATCC medium: 2746) at 30 °C with continuous shaking at 100 rpm. The culture of the reporter strain having OD600 = 1.0 was diluted 1:5000 in fresh BA medium. 50 µL from the diluted V. harveyi BB170 suspension was added to 50 µL sterile-filtered A. salmonicida supernatant in each well of a white opaque 96-well cell-culture plate (Corning Inc., Corning, NY, USA). The mono- and disaccharides used in the study were tested separately and found to not interfere with the detection of AI-2 signals of the A. salmonicida supernatants. The plate was incubated at 30 °C with continuous shaking at 100 rpm and light production was measured in 10 min intervals for 12 h in a Clariostar plate reader. To evaluate the quantity of quorum-sensing signal molecules, one timepoint (corresponding to the induction phase) was used, where the decrease in light production turned into an increase. This corresponds to the lowest luminescence value of the “U”-shaped luminescence curve (Figure 10). The higher the concentration of AI-2 added, the lower the reduction in luminescence before the luminescence-autoinduction phase of V. harveyi BB170 began.

4.6. Assay Sensitivity Testing

The sensitivity of the V. harveyi BB170 bioluminescent assay was tested with 4,5-dihydroxy-2,3-pentanedione (DPD, Sigma Aldrich). The sensitivity testing was carried out as described above, except that instead of A. salmonicida supernatants, DPD diluted to the desired concentration in 50 µL DM and CM9 media was used.

4.7. Growth Assay

A. salmonicida cells, at a concentration equivalent to an optical density at 600 nm (OD600) of 0.1, were cultured in DM and CM9 media to test the linear range of detection of AI-2 signals and to analyze the effect of DPD on A. salmonicida. DM medium was used to test the effect of Atlantic salmon mucins and mucin saccharides on AI-2 production of A. salmonicida.

4.8. Growth Assay with DPD

DPD was diluted in 20 µL PBS and added to 80 µL A. salmonicida culture in 4–8 replicates of a Nunc-Delta surface flat-bottom plate (Nunc A/S, Roskilde, Denmark) to reach the specified final concentrations. 20 µL PBS added to 80 µL culture was used as a negative control. The assay was carried out at 23 °C and 120 rpm and monitored both by OD560 readings and fluorescent detection of AlamarBlue (Invitrogen) reduction. Changes in growth were calculated in the logarithmic phase of growth and were expressed relative to the negative control.

4.9. Growth Assay with Mucins and Saccharides

Purified mucin samples in 4 M GuHCl were dialyzed eight times against PBS and diluted in sterile PBS to a concentration of 100 µg/mL. The saccharides were used in the same concentration. The GuHCl-containing isolation buffer was dialyzed and diluted in parallel and used as a reference of normal growth (dialysis control [DC]). PBS was used as a reference for growth in the presence of monosaccharides and oligosaccharides. Monosaccharides were purchased from Sigma-Aldrich. GD1a-oligosaccharide, GlcNAcβ1,3Gal, and GalNacβ1,3Gal were purchased from Elicityl, France. Core 1 glycan (Galβ1,3GalNAc) was purchased from Dextra Laboratories, UK. Bacteria were cultured in 96-well Nunc-Delta surface flat-bottom plates (Nunc A/S, Roskilde, Denmark) in 4 to 8 replicates at 23 °C and 120 rpm in the presence of alamarBlue (Invitrogen) to monitor reduction of the dye. AlamarBlue reduction corresponds to the metabolism of the culture and correlates well with CFU/mL [8].

4.10. Fish and Sampling Procedure

Atlantic salmon parr (Långhult lax, Långhult, Sweden) were transported to the Department of Biology and Environmental Science and kept in 500 L tanks. The fish were held in recirculating 10 °C fresh water (FW), supplemented with 10% salt water (SW) (yielding a salinity of 2–3 ‰), at a flow rate of 8.5 l/min. The fish were exposed to a simulated natural photoperiod and hand-fed ad libitum once daily with a commercial dry pellet (Nutra Olympic 3 mm; Skretting Averøy, Ldt., Stavanger, Norway).
Five fish (31.06 ± 0.49 cm bl and 280.70 ± 12.78 g bw; mean ± Standard Error of the Mean) were randomly netted, anesthetized in metomidate (12.5 mg/L) and killed with a sharp blow to the head. Mucus from the skin was sampled by gently scraping the skin off, including mainly the epidermis and secreted mucus of the entire fish, using two microscopy glass slides. The fish was then opened longitudinally and the intestine, from the last pyloric ceca to the anus, was quickly dissected out. The intestine was cut open along the mesenteric border and the proximal region was separated from the distal at the ileorectal valve and the mucus and mucosa was scraped off using microscopy slides. The pyloric ceca were dissected out using small scissors and were pulverized in liquid nitrogen. All samples were placed in 10 mM sodium di-hydrogen phosphate containing 0.1 mM phenylmethanesulphonyl fluoride (PMSF), pH 6.5 (sampling buffer), to inhibit proteolytic cleavage. The experiment on fish in the present study was approved by the Ethical Committee for Animal Experiments in Gothenburg, Sweden under licence #46/2009. All methods involving fish were performed in accordance with the relevant guidelines and regulations.

4.11. Isolation and Purification of Mucins

The scrapings and pulverized tissues in sampling buffer were placed into five sample volumes of extraction buffer (6 M GuHCl, 5 mM EDTA, 10 mM sodium phosphate buffer, pH 6.5, containing 0.1 M PMSF), dispersed with Dounce homogenizer (four strokes with a loose pestle) and stirred slowly at 4 °C, overnight. The insoluble material was removed by centrifugation at 23,000× g for 50 min at 4 °C (Beckman JA-30 rotor) and the pellet was re-extracted twice with 10 mL extraction buffer. The supernatants from these three extractions were pooled and contained the GuHCl soluble mucins, hereafter used in our assays. The samples were filled up to 26 mL with extraction buffer. CsCl was added to the samples by gentle stirring and the samples were transferred to Quick Seal ultracentrifuge tubes (Beckman Coulter). The tubes were filled with 10 mM NaH2PO4 to give a starting density of 1.35 g/mL and samples were subjected to density-gradient centrifugation at 40,000× g for 90 h at 15 °C. The fractions were collected from the bottom of the tubes with a fraction collector equipped with a drop counter. Density-gradient fractions of purified mucin samples were analyzed for carbohydrates as periodate-oxidizable structures in a microtiter-based assay: Fractions diluted 1:100, 1:500 and 1:1000 in 4 M GuHCl were coated into 96-well plates (PolySorpTM, NUNC A/S, Roskilde, Denmark) and incubated overnight at 4 °C. The rest of the assay was carried out at 23–24 °C. After washing three times with washing solution (5 mM Tris-HCl, 0.15 M NaCl, 0.05% Tween 20, 0.02% NaN3, pH 7.75), the carbohydrates were oxidized by adding 25 mM sodium metaperiodate in 0.1 M sodium acetate buffer, pH 5.5 for 20 min. The plates were washed again and the wells were blocked with DELFIA blocking solution (50 mM Tris-HCl, 0.15 M NaCl, 90 mM CaCl2, 4 mM EDTA, 0.02% NaN3, 0.1% BSA, pH 7.75) for 1 h. After further washing steps, the samples were incubated for 1 h with 2.5 mM biotin hydrazide in 0.1 M sodium acetate buffer, pH 5.5, followed by another washing step. Europium-labeled streptavidin was diluted 1:1000 in Delfia assay buffer (50 mM Tris-HCl, 0.15 M NaCl, 20 mM DTPA, 0.01% Tween 20, 0.02% NaN3, 1.5% BSA, pH 7.75) and was added to the wells. After 1 h incubation, the plates were washed six times and then incubated with Delfia enhancement solution (0.05 M NaOH, 0.1 M ftalat, 0.1% Triton X-100, 50 mM TOPO, 15 mM b-NTA) for 5 min on an orbital shaker. Fluorescence (λexcitation = 340 and λemission = 615) was measured using a Wallac 1420 VICTOR2 plate reader with the Europium label protocol (PerkinElmer, Waltham, MA, USA). Density measurements were performed using a Carlsberg pipette as a pycnometer: 300 µL of sample was aspirated into the pipette and weighed, and density was calculated as g/mL. DNA content was measured by UV light absorbance at 260 nm.

4.12. Preparation of Mucin Samples

Gradient fractions containing mucins were pooled together to obtain one sample for each gradient. Mucin concentrations in pooled samples were determined by serial dilution of the samples, as well as a standard curve of a fusion protein of the mucin MUC1, 16TR and IgG2a Fc starting at a concentration of 20 mg/mL and using seven 1:2 serial dilutions and detection of carbohydrate as periodate-oxidizable structures in a microtiter-based assay, as described above. The mucin concentrations were calculated from the standard curve. This method of concentration determination was chosen as not all mucins come into solution after freeze drying, and determining concentration by freeze drying can therefore contain large errors or remove mucin species selectively. Although this is not an exact measure of concentration, it can be used to ensure that the mucins are at the same concentration for comparative assays, and since bacteria–mucin interactions largely occur via the mucin glycans [6], setting the concentration based on the glycan content appears most appropriate.

4.13. Statistical Analyses

Statistical analyses were performed using the GraphPad Prism 7.0 software package (GraphPad Software Inc., London, UK). Student t-tests and one-way analysis of variance (ANOVA) followed by Dunnett’s post hoc test were used to compare groups and treatments, as indicated in the figure legends. The relationship between DPD and A. salmonicida growth was tested with two-tailed Pearson correlation test. The level of significance was set at p ≤ 0.05.

Author Contributions

Funding was obtained by S.K.L., K.S. and J.T.P.; J.T.P. and S.K.L. were responsible for study design; fish were maintained and provided by H.S. and K.S.; experiments, data analysis and preparation of figures were performed by J.T.P., S.O.L. and K.T.; the initial manuscript was prepared by J.T.P. and S.K.L. and critically reviewed by S.O.L., K.T., H.S. and K.S. All authors have read and agreed to the published version of the manuscript.

Funding

The work was supported by the Swedish Research Council (2016-05154), the Swedish Research Council Formas (2018-01419), Engkvists Foundation (2015/108) and Wilhelm and Martina Lundgren Foundation (2015-0699). The funders had no role in study design, data collection and analysis, decision to publish, or preparation of the manuscript.

Institutional Review Board Statement

The experiment on fish in the present study was approved by the Ethical Committee for Animal Experiments in Gothenburg, Sweden under licence #46/2009. All methods involving fish were performed in accordance with the relevant guidelines and regulations.

Informed Consent Statement

Not applicable.

Data Availability Statement

The draft genome of A salmonicida ssp. salmonicida strain VI-88/09/03175 was submitted to GenBank under BioProject number PRJNA698804.

Conflicts of Interest

The authors declare no conflict of interest.

References

  1. Austin, B.; Austin, D.A. Bacterial Fish Pathogens: Disease of Farmed and Wild Fish, 4th ed.; Springer: Dordrecht, The Netherlands, 2007; Volume xxvi, p. 552. [Google Scholar]
  2. Jutfelt, F.; Sundh, H.; Glette, J.; Mellander, L.; Thrandur Bjornsson, B.; Sundell, K. The involvement of Aeromonas salmonicida virulence factors in bacterial translocation across the rainbow trout, Oncorhynchus mykiss (Walbaum), intestine. J. Fish Dis. 2008, 31, 141–151. [Google Scholar] [CrossRef] [PubMed]
  3. Sharba, S.; Sundh, H.; Sundell, K.; Benktander, J.; Santos, L.; Birchenough, G.; Lindén, S.K. Rainbow trout gastrointestinal mucus, mucin production, mucin glycosylation and response to lipopolysaccharide. Fish Shellfish Immunol. 2022, 122, 181–190. [Google Scholar] [CrossRef] [PubMed]
  4. Jin, C.; Padra, J.T.; Sundell, K.; Sundh, H.; Karlsson, N.G.; Linden, S.K. Atlantic salmon carries a range of novel o-glycan structures differentially localized on skin and intestinal mucins. J. Proteome Res. 2015, 14, 3239–3251. [Google Scholar] [CrossRef] [PubMed]
  5. Padra, J.T.; Sundh, H.; Jin, C.; Karlsson, N.G.; Sundell, K.; Linden, S.K. Aeromonas salmonicida binds differentially to mucins isolated from skin and intestinal regions of Atlantic salmon in an N-acetylneuraminic acid-dependent manner. Infect. Immun. 2014, 82, 5235–5245. [Google Scholar] [CrossRef]
  6. Linden, S.K.; Sutton, P.; Karlsson, N.G.; Korolik, V.; McGuckin, M.A. Mucins in the mucosal barrier to infection. Mucosal. Immunol. 2008, 1, 183–197. [Google Scholar] [CrossRef]
  7. Quintana-Hayashi, M.P.; Padra, M.; Padra, J.T.; Benktander, J.; Linden, S.K. Mucus-Pathogen Interactions in the Gastrointestinal Tract of Farmed Animals. Microorganisms 2018, 6, 55. [Google Scholar] [CrossRef]
  8. Padra, J.T.; Sundh, H.; Sundell, K.; Venkatakrishnan, V.; Jin, C.; Samuelsson, T.; Karlsson, N.G.; Linden, S.K. Aeromonas salmonicida Growth in Response to Atlantic Salmon Mucins Differs between Epithelial Sites, Is Governed by Sialylated and N-Acetylhexosamine-Containing O-Glycans, and Is Affected by Ca2+. Infect. Immun. 2017, 85, e00189-17. [Google Scholar] [CrossRef]
  9. Henke, J.M.; Bassler, B.L. Bacterial social engagements. Trends Cell Biol. 2004, 14, 648–656. [Google Scholar] [CrossRef]
  10. Swift, S.; Karlyshev, A.V.; Fish, L.; Durant, E.L.; Winson, M.K.; Chhabra, S.R.; Williams, P.; MacIntyre, S.; Stewart, G.S.A.B. Quorum sensing in Aeromonas hydrophila and Aeromonas salmonicida: Identification of the LuxRI homologs AhyRI and AsaRI and their cognate N-acylhomoserine lactone signal molecules. J. Bacteriol. 1997, 179, 5271–5281. [Google Scholar] [CrossRef]
  11. Reith, M.E.; Singh, R.K.; Curtis, B.; Boyd, J.M.; Bouevitch, A.; Kimball, J.; Munholland, J.; Murphy, C.; Sarty, D.; Williams, J.; et al. The genome of Aeromonas salmonicida subsp. salmonicida A449: Insights into the evolution of a fish pathogen. BMC Genom. 2008, 9, 427. [Google Scholar] [CrossRef]
  12. Meng, L.; Du, Y.; Liu, P.; Li, X.; Liu, Y. Involvement of LuxS in Aeromonas salmonicida metabolism, virulence and infection in Atlantic salmon (Salmo salar L.). Fish Shellfish Immunol. 2017, 64, 260–269. [Google Scholar] [CrossRef] [PubMed]
  13. Miller, S.T.; Xavier, K.B.; Campagna, S.R.; Taga, M.E.; Semmelhack, M.F.; Bassler, B.L.; Hughson, F.M. Salmonella typhimurium recognizes a chemically distinct form of the bacterial quorum-sensing signal AI-2. Mol. Cell 2004, 15, 677–687. [Google Scholar] [CrossRef] [PubMed]
  14. Greenberg, E.P.; Hastings, J.W.; Ulitzur, S. Induction of luciferase synthesis in Beneckea harveyi by other marine bacteria. Arch. Microbiol. 1979, 120, 87–91. [Google Scholar] [CrossRef]
  15. Xavier, K.B.; Bassler, B.L. LuxS quorum sensing: More than just a numbers game. Curr. Opin. Microbiol. 2003, 6, 191–197. [Google Scholar] [CrossRef]
  16. Ljungh, Å.; Wretlind, B.; Möllby, R. Separation and characterization of enterotoxin and two haemolysins from aeromonas hydrophila. Acta Pathol. Microbiol. Scand. Sect. B Microbiol. 1981, 89B, 387–397. [Google Scholar] [CrossRef] [PubMed]
  17. Macintyre, S.; Buckley, J.T. Presence of glycerophospholipid-cholesterol acyltransferase and phospholipase in culture supernatant of aeromonas-hydrophila. J. Bacteriol. 1978, 135, 402–407. [Google Scholar] [CrossRef] [PubMed]
  18. Macintyre, S.; Trust, T.J.; Buckley, J.T. Distribution of glycerophospholipid-cholesterol acyltransferase in selected bacterial species. J. Bacteriol. 1979, 139, 132–136. [Google Scholar] [CrossRef]
  19. Anguita, J.; Aparicio, L.B.R.; Naharro, G. Purification, Gene Cloning, Amino-Acid-Sequence Analysis, and Expression of an Extracellular Lipase from an Aeromonas-Hydrophila Human Isolate. Appl. Environ. Microb. 1993, 59, 2411–2417. [Google Scholar] [CrossRef]
  20. Whitby, P.W.; Landon, M.; Coleman, G. The Cloning and Nucleotide-Sequence of the Serine Protease Gene (Aspa) of Aeromonas-Salmonicida Ssp Salmonicida. FEMS Microbiol. Lett. 1992, 99, 65–72. [Google Scholar] [CrossRef][Green Version]
  21. Bassler, B.L.; Wright, M.; Silverman, M.R. Multiple signalling systems controlling expression of luminescence in Vibrio harveyi: Sequence and function of genes encoding a second sensory pathway. Mol. Microbiol. 1994, 13, 273–286. [Google Scholar] [CrossRef]
  22. Timmen, M.; Bassler, B.L.; Jung, K. AI-1 influences the kinase activity but not the phosphatase activity of LuxN of Vibrio harveyi. J. Biol. Chem. 2006, 281, 24398–24404. [Google Scholar] [CrossRef] [PubMed]
  23. Turovskiy, Y.; Chikindas, M.L. Autoinducer-2 bioassay is a qualitative, not quantitative method influenced by glucose. J. Microbiol. Methods 2006, 66, 497–503. [Google Scholar] [CrossRef] [PubMed]
  24. Vilchez, R.; Lemme, A.; Thiel, V.; Schulz, S.; Sztajer, H.; Wagner-Dobler, I. Analysing traces of autoinducer-2 requires standardization of the Vibrio harveyi bioassay. Anal. Bioanal. Chem. 2007, 387, 489–496. [Google Scholar] [CrossRef] [PubMed]
  25. Wang, T.N.; Kaksonen, A.H.; Hong, P.Y. Evaluation of two autoinducer-2 quantification methods for application in marine environments. J. Appl. Microbiol. 2018, 124, 1469–1479. [Google Scholar] [CrossRef]
  26. Aharoni, R.; Bronstheyn, M.; Jabbour, A.; Zaks, B.; Srebnik, M.; Steinberg, D. Oxazaborolidine derivatives inducing autoinducer-2 signal transduction in Vibrio harveyi. Bioorg. Med. Chem. 2008, 16, 1596–1604. [Google Scholar] [CrossRef]
  27. De Keersmaecker, S.C.; Sonck, K.; Vanderleyden, J. Let LuxS speak up in AI-2 signaling. Trends Microbiol. 2006, 14, 114–119. [Google Scholar] [CrossRef]
  28. Moreira, C.G.; Palmer, K.; Whiteley, M.; Sircili, M.P.; Trabulsi, L.R.; Castro, A.F.; Sperandio, V. Bundle-forming pili and EspA are involved in biofilm formation by enteropathogenic Escherichia coli. J. Bacteriol. 2006, 188, 3952–3961. [Google Scholar] [CrossRef]
  29. Sun, Y.; Li, Y.; Luo, Q.; Huang, J.; Chen, J.; Zhang, R.; Wang, X. LuxS/AI-2 Quorum Sensing System in Edwardsiella piscicida Promotes Biofilm Formation and Pathogenicity. Infect. Immun. 2020, 88, e00907-19. [Google Scholar] [CrossRef]
  30. Lyon, W.R.; Madden, J.C.; Levin, J.C.; Stein, J.L.; Caparon, M.G. Mutation of luxS affects growth and virulence factor expression in Streptococcus pyogenes. Mol. Microbiol. 2001, 42, 145–157. [Google Scholar] [CrossRef]
  31. Jones, M.B.; Blaser, M.J. Detection of a luxS-signaling molecule in Bacillus anthracis. Infect. Immun. 2003, 71, 3914–3919. [Google Scholar] [CrossRef]
  32. Sambrook, J.; Fritsch, E.F.; Maniatis, T. Molecular Cloning: A Laboratory Manual; Cold Spring Harbor Laboratory: Cold Spring Harbor, NY, USA, 1989. [Google Scholar]
  33. Kozlova, E.V.; Popov, V.L.; Sha, J.; Foltz, S.M.; Erova, T.E.; Agar, S.L.; Horneman, A.J.; Chopra, A.K. Mutation in the S-ribosylhomocysteinase (luxS) gene involved in quorum sensing affects biofilm formation and virulence in a clinical isolate of Aeromonas hydrophila. Microb. Pathog. 2008, 45, 343–354. [Google Scholar] [CrossRef] [PubMed]
  34. Vendeville, A.; Winzer, K.; Heurlier, K.; Tang, C.M.; Hardie, K.R. Making ‘sense’ of metabolism: Autoinducer-2, LuxS and pathogenic bacteria. Nat. Rev. Microbiol. 2005, 3, 383–396. [Google Scholar] [CrossRef] [PubMed]
  35. Skoog, E.C.; Padra, M.; Aberg, A.; Gideonsson, P.; Obi, I.; Quintana-Hayashi, M.P.; Arnqvist, A.; Linden, S.K. BabA dependent binding of Helicobacter pylori to human gastric mucins cause aggregation that inhibits proliferation and is regulated via ArsS. Sci. Rep. 2017, 7, 40656. [Google Scholar] [CrossRef] [PubMed]
  36. Ismail, A.S.; Valastyan, J.S.; Bassler, B.L. A Host-Produced Autoinducer-2 Mimic Activates Bacterial Quorum Sensing. Cell Host Microbe 2016, 19, 470–480. [Google Scholar] [CrossRef]
  37. Cole, S.P.; Harwood, J.; Lee, R.; She, R.; Guiney, D.G. Characterization of monospecies biofilm formation by Helicobacter pylori. J. Bacteriol. 2004, 186, 3124–3132. [Google Scholar] [CrossRef]
  38. Anderson, J.K.; Huang, J.Y.; Wreden, C.; Sweeney, E.G.; Goers, J.; Remington, S.J.; Guillemin, K. Chemorepulsion from the Quorum Signal Autoinducer-2 Promotes Helicobacter pylori Biofilm Dispersal. mBio 2015, 6, e00379. [Google Scholar] [CrossRef]
  39. Liu, Z.; Miyashiro, T.; Tsou, A.; Hsiao, A.; Goulian, M.; Zhu, J. Mucosal penetration primes Vibrio cholerae for host colonization by repressing quorum sensing. Proc. Natl. Acad. Sci. USA 2008, 105, 9769–9774. [Google Scholar] [CrossRef]
  40. Umelo, E.; Trust, T.J. Identification and molecular characterization of two tandemly located flagellin genes from Aeromonas salmonicida A449. J. Bacteriol. 1997, 179, 5292–5299. [Google Scholar] [CrossRef]
  41. Masada, C.L.; LaPatra, S.E.; Morton, A.W.; Strom, M.S. An Aeromonas salmonicida type IV pilin is required for virulence in rainbow trout Oncorhynchus mykiss. Dis. Aquat. Org. 2002, 51, 13–25. [Google Scholar] [CrossRef]
  42. Boyd, J.M.; Dacanay, A.; Knickle, L.C.; Touhami, A.; Brown, L.L.; Jericho, M.H.; Johnson, S.C.; Reith, M. Contribution of type IV pili to the virulence of Aeromonas salmonicida subsp. salmonicida in Atlantic salmon (Salmo salar L.). Infect. Immun. 2008, 76, 1445–1455. [Google Scholar] [CrossRef]
  43. Dacanay, A.; Boyd, J.M.; Fast, M.D.; Knickle, L.C.; Reith, M.E. Aeromonas salmonicida Type I pilus system contributes to host colonization but not invasion. Dis. Aquat. Org. 2010, 88, 199–206. [Google Scholar] [CrossRef] [PubMed]
  44. Glessner, A.; Smith, R.S.; Iglewski, B.H.; Robinson, J.B. Roles of Pseudomonas aeruginosa las and rhl quorum-sensing systems in control of twitching motility. J. Bacteriol. 1999, 181, 1623–1629. [Google Scholar] [CrossRef] [PubMed]
  45. Bruhn, J.B.; Dalsgaard, I.; Nielsen, K.F.; Buchholtz, C.; Larsen, J.L.; Gram, L. Quorum sensing signal molecules (acylated homoserine lactones) in gram-negative fish pathogenic bacteria. Dis. Aquat. Org. 2005, 65, 43–52. [Google Scholar] [CrossRef]
  46. Venkatakrishnan, V.; Padra, J.T.; Sundh, H.; Sundell, K.; Jin, C.; Langeland, M.; Carlberg, H.; Vidakovic, A.; Lundh, T.; Karlsson, N.G.; et al. Exploring the Arctic Charr Intestinal Glycome: Evidence of Increased N-Glycolylneuraminic Acid Levels and Changed Host-Pathogen Interactions in Response to Inflammation. J. Proteome Res. 2019, 18, 1760–1773. [Google Scholar] [CrossRef] [PubMed]
  47. Linden, S.K.; Sheng, Y.H.; Every, A.L.; Miles, K.M.; Skoog, E.C.; Florin, T.H.; Sutton, P.; McGuckin, M.A. MUC1 limits Helicobacter pylori infection both by steric hindrance and by acting as a releasable decoy. PLoS Pathog. 2009, 5, e1000617. [Google Scholar] [CrossRef] [PubMed]
  48. Phippen, B.L.; Oliver, J.D. Clinical and environmental genotypes of Vibrio vulnificus display distinct, quorum-sensing-mediated, chitin detachment dynamics. Pathog. Dis. 2015, 73, ftv072. [Google Scholar] [CrossRef]
  49. Simon, R.; Priefer, U.; Pühler, A. A Broad Host Range Mobilization System for In Vivo Genetic Engineering: Transposon Mutagenesis in Gram Negative Bacteria. Bio Technol. 1983, 1, 784–791. [Google Scholar] [CrossRef]
  50. Thorell, K.; Sharma, A.; Rudbeck, E.; Kirangwa, J.; Alvarez-Carretero, S.; Boulund, F. BACTpipe: Bacterial Whole Genome Sequence Assembly and Annotation Pipeline. Available online: https://github.com/ctmrbio/BACTpipe (accessed on 13 February 2021).
Figure 1. Media-dependent sensitivity of the V. harveyi BB170 autoinducer-2 assay. V. harveyi BB170 luminescence was measured in the QS reporter assay in response to addition of A. salmonicida cell-free culture supernatant (A) or DPD in DM or CM9 media (B). (A) Up to four-fold dilution of Vibrio harveyi BB170 cell-free culture supernatant has a linear relationship with relative luminescence of the AI assay (r2 = 0.699). (B) In CM9 medium, quantification is reliable in the range of 10 nM to 100 nM DPD molecules (r2 = 0.98), while in DM medium the range is between 100 nM and 1 µM (r2 = 0.98). Relative luminescence values were calculated by normalizing absolute luminescence with the negative control. Data points are expressed as Mean ± Standard Error of the Mean (n = 4). The results were reproduced three times and a representative experiment is shown here. Abbreviations: DPD = 4,5-dihydroxy-2,3-pentanedione.
Figure 1. Media-dependent sensitivity of the V. harveyi BB170 autoinducer-2 assay. V. harveyi BB170 luminescence was measured in the QS reporter assay in response to addition of A. salmonicida cell-free culture supernatant (A) or DPD in DM or CM9 media (B). (A) Up to four-fold dilution of Vibrio harveyi BB170 cell-free culture supernatant has a linear relationship with relative luminescence of the AI assay (r2 = 0.699). (B) In CM9 medium, quantification is reliable in the range of 10 nM to 100 nM DPD molecules (r2 = 0.98), while in DM medium the range is between 100 nM and 1 µM (r2 = 0.98). Relative luminescence values were calculated by normalizing absolute luminescence with the negative control. Data points are expressed as Mean ± Standard Error of the Mean (n = 4). The results were reproduced three times and a representative experiment is shown here. Abbreviations: DPD = 4,5-dihydroxy-2,3-pentanedione.
Ijms 23 04326 g001
Figure 2. Autoinducer-2 production in A. salmonicida cultures. Time course of AI-2 production by A. salmonicida cultured in CM9 (A) and DM (B).
Figure 2. Autoinducer-2 production in A. salmonicida cultures. Time course of AI-2 production by A. salmonicida cultured in CM9 (A) and DM (B).
Ijms 23 04326 g002
Figure 3. Effect of exogenous DPD on A. salmonicida growth. The effect of DPD on A. salmonicida growth was monitored over time (A,B) and correlated against A. salmonicida doubling time (E) ( p = 0.0002; r2 = 0.82 in CM9 and (F); p = 0.017; r2 = 0.58 in in DM). A. salmonicida growth curves in the log phase of growth expressed as CFU/ml in CM9 (C) and DM (D) media. The horizontal dotted lines in panels (E,F) denote the doubling time of the negative control (no added DPD). Data points are expressed as Mean ± Standard Error of the Mean (n = 4). Statistical test: Pearson correlation test. Abbreviations: DPD = (S)-4,5-Dihydroxy-2,3-pentandione. The results are based on three independent experiments.
Figure 3. Effect of exogenous DPD on A. salmonicida growth. The effect of DPD on A. salmonicida growth was monitored over time (A,B) and correlated against A. salmonicida doubling time (E) ( p = 0.0002; r2 = 0.82 in CM9 and (F); p = 0.017; r2 = 0.58 in in DM). A. salmonicida growth curves in the log phase of growth expressed as CFU/ml in CM9 (C) and DM (D) media. The horizontal dotted lines in panels (E,F) denote the doubling time of the negative control (no added DPD). Data points are expressed as Mean ± Standard Error of the Mean (n = 4). Statistical test: Pearson correlation test. Abbreviations: DPD = (S)-4,5-Dihydroxy-2,3-pentandione. The results are based on three independent experiments.
Ijms 23 04326 g003
Figure 4. Effect of salmon mucins on A. salmonicida AI-2 levels in the culture medium. Extracellular AI-2 levels were measured after culturing A. salmonicida to the late log phase in the presence of 100 µg/mL Atlantic salmon mucins. These experiments were performed in DM medium to avoid interference of saccharides present in the CM9 medium. Mucins from all organ sites decreased the AI-2 levels in the A. salmonicida supernatant (skin, pyloric ceca, proximal intestine and distal intestine p = 0.0001, p = 0.0049, p = 0.0001 and p = 0.0008, respectively; (A). Data points correspond to biological replicates of individual fish and are expressed as Mean ± Standard Error of the Mean (n = 5). Statistical test: One-way ANOVA with Dunnett’s post hoc test. ** = p ≤ 0.01; *** = p ≤ 0.001; **** = p ≤ 0.0001. AI-2 production and growth-modulating effect of mucins did not correlate (r2 = 0.05, n = 19, p = n.s.); (B). Statistical test: two-tailed Pearson correlation test. Abbreviations: Pyloric = Pyloric ceca; Proximal = proximal intestine and Distal = distal intestine. The results were reproduced three times with similar results and the assay was performed within its linear range.
Figure 4. Effect of salmon mucins on A. salmonicida AI-2 levels in the culture medium. Extracellular AI-2 levels were measured after culturing A. salmonicida to the late log phase in the presence of 100 µg/mL Atlantic salmon mucins. These experiments were performed in DM medium to avoid interference of saccharides present in the CM9 medium. Mucins from all organ sites decreased the AI-2 levels in the A. salmonicida supernatant (skin, pyloric ceca, proximal intestine and distal intestine p = 0.0001, p = 0.0049, p = 0.0001 and p = 0.0008, respectively; (A). Data points correspond to biological replicates of individual fish and are expressed as Mean ± Standard Error of the Mean (n = 5). Statistical test: One-way ANOVA with Dunnett’s post hoc test. ** = p ≤ 0.01; *** = p ≤ 0.001; **** = p ≤ 0.0001. AI-2 production and growth-modulating effect of mucins did not correlate (r2 = 0.05, n = 19, p = n.s.); (B). Statistical test: two-tailed Pearson correlation test. Abbreviations: Pyloric = Pyloric ceca; Proximal = proximal intestine and Distal = distal intestine. The results were reproduced three times with similar results and the assay was performed within its linear range.
Ijms 23 04326 g004
Figure 5. Effect of saccharides on A. salmonicida AI-2 levels. Mono- and disaccharides in 100 µg/mL concentration were added to A. salmonicida cultures in DM medium, after which extracellular AI-2 levels were measured from the late log phase. Fucose, NeuAc and GlcNAcβ1,3Gal decreased the AI-2 secretion of A. salmonicida in DM medium (p = 0.0008; p = 0.0101 and p = 0.0297, respectively). Data points are expressed as Mean ± Standard Error of the Mean (n = 6) Statistical test: One-way ANOVA with Dunnett´s post hoc test. * = p ≤ 0.05, ** = p ≤ 0.01, *** = p ≤ 0.001. The results are based on two independent experiments and the graph includes all data points from the two experiments. The data points are normalized for A. salmonicida growth, and the assay was performed within its linear range. Abbreviations: Glc = glucose; GlcNAc = N-acetylglucosamine; Gal = galactose; GalNAc = N-acetylgalactosamine; Fuc = fucose; NeuAc = N-acetylneuraminic acid; NeuGc = N-glycolylneuraminic acid.
Figure 5. Effect of saccharides on A. salmonicida AI-2 levels. Mono- and disaccharides in 100 µg/mL concentration were added to A. salmonicida cultures in DM medium, after which extracellular AI-2 levels were measured from the late log phase. Fucose, NeuAc and GlcNAcβ1,3Gal decreased the AI-2 secretion of A. salmonicida in DM medium (p = 0.0008; p = 0.0101 and p = 0.0297, respectively). Data points are expressed as Mean ± Standard Error of the Mean (n = 6) Statistical test: One-way ANOVA with Dunnett´s post hoc test. * = p ≤ 0.05, ** = p ≤ 0.01, *** = p ≤ 0.001. The results are based on two independent experiments and the graph includes all data points from the two experiments. The data points are normalized for A. salmonicida growth, and the assay was performed within its linear range. Abbreviations: Glc = glucose; GlcNAc = N-acetylglucosamine; Gal = galactose; GalNAc = N-acetylgalactosamine; Fuc = fucose; NeuAc = N-acetylneuraminic acid; NeuGc = N-glycolylneuraminic acid.
Ijms 23 04326 g005
Figure 6. Effect of sialidase treatment on the effect of mucins on A. salmonicida AI-2 secretion. Extracellular AI-2 was measured after A. salmonicida culture with Atlantic salmon mucins treated with Sialidase A or with the same treatment in the absence of the enzyme (mock). All modified mucins from the four groups increased the AI-2 quantity relative to their mock-treated counterparts (A: skin, B: pyloric ceca, C: proximal intestine and D: distal intestine p = 0.0041, p = 0.0021, p = 0416 and p = 0.0035, respectively; n = 6). Statistical test: Student´s t-test. * = p ≤ 0.05, ** = p ≤ 0.01. The data points are normalized for A. salmonicida growth. Abbreviations: Mock = enzyme buffer-treated negative-control mucins; Sial A = sialidase A-treated mucins; pyloric = pyloric cecal mucins.
Figure 6. Effect of sialidase treatment on the effect of mucins on A. salmonicida AI-2 secretion. Extracellular AI-2 was measured after A. salmonicida culture with Atlantic salmon mucins treated with Sialidase A or with the same treatment in the absence of the enzyme (mock). All modified mucins from the four groups increased the AI-2 quantity relative to their mock-treated counterparts (A: skin, B: pyloric ceca, C: proximal intestine and D: distal intestine p = 0.0041, p = 0.0021, p = 0416 and p = 0.0035, respectively; n = 6). Statistical test: Student´s t-test. * = p ≤ 0.05, ** = p ≤ 0.01. The data points are normalized for A. salmonicida growth. Abbreviations: Mock = enzyme buffer-treated negative-control mucins; Sial A = sialidase A-treated mucins; pyloric = pyloric cecal mucins.
Ijms 23 04326 g006
Figure 7. Construction of A. salmonicida ssp. salmonicida strain VI-88/09/03175 ΔluxS mutant. (A) Deletion of the luxS gene by overlapping PCR using Gibson Assembly (NEB Inc., Ipswich, MA, the USA). (B,C) The deletion was verified by PCR using genomic DNA as template with two approaches: (B). Gel electrophoresis for PCR with primers amplifying flanking regions of luxS gene; the WT shows a band with 980 bp while the ΔluxS mutant clones (2,3,4) show bands with a size of 470 bp, in accordance with the theoretical size. (C). Gel electrophoresis confirming deletion of the gene using primers mapping inside the luxS gene; the WT shows a band with 106 bp while the ΔluxS mutant clones (2,3,4) shows no band, indicating deletion of the gene. A 1 kb plus DNA ladder (Thermo Scientific, Whaltham, MA, USA) was used as molecular-weight marker.
Figure 7. Construction of A. salmonicida ssp. salmonicida strain VI-88/09/03175 ΔluxS mutant. (A) Deletion of the luxS gene by overlapping PCR using Gibson Assembly (NEB Inc., Ipswich, MA, the USA). (B,C) The deletion was verified by PCR using genomic DNA as template with two approaches: (B). Gel electrophoresis for PCR with primers amplifying flanking regions of luxS gene; the WT shows a band with 980 bp while the ΔluxS mutant clones (2,3,4) show bands with a size of 470 bp, in accordance with the theoretical size. (C). Gel electrophoresis confirming deletion of the gene using primers mapping inside the luxS gene; the WT shows a band with 106 bp while the ΔluxS mutant clones (2,3,4) shows no band, indicating deletion of the gene. A 1 kb plus DNA ladder (Thermo Scientific, Whaltham, MA, USA) was used as molecular-weight marker.
Ijms 23 04326 g007
Figure 8. Growth comparison of the A. salmonicida ssp. salmonicida strain VI-88/09/03175 WT strain and its ΔluxS mutant. A. salmonicida WT and ΔluxS were cultured in DM with a starting optical density at 600 nm of 0.1. The assay was carried out at 20 °C and 120 rpm and monitored both by fluorescent detection of AlamarBlue reduction (A: n = 6) and OD560 (B: n = 4) readings every hour. Data points are expressed as Mean ± Standard Error of the Mean.
Figure 8. Growth comparison of the A. salmonicida ssp. salmonicida strain VI-88/09/03175 WT strain and its ΔluxS mutant. A. salmonicida WT and ΔluxS were cultured in DM with a starting optical density at 600 nm of 0.1. The assay was carried out at 20 °C and 120 rpm and monitored both by fluorescent detection of AlamarBlue reduction (A: n = 6) and OD560 (B: n = 4) readings every hour. Data points are expressed as Mean ± Standard Error of the Mean.
Ijms 23 04326 g008
Figure 9. AI-2 production in A. salmonicida ssp. salmonicida strain VI-88/09/03175 WT and VI-88/09/03175ΔluxS in the presence and absence of Atlantic salmon skin mucins. (A) AI-2 activity in cell-free media from A. salmonicida WT and the ΔluxS mutant after 8 h of culture in DM with a start OD600 of 0.1. Data points are expressed as Mean ± Standard Error of the Mean (n = 3). (B) A. salmonicida wt and ΔluxS were cultured in DM and growth measured at OD560. Data points are expressed as Mean ± Standard Error of the Mean (n = 5). (C) AI-2 activity in cell-free media from A. salmonicida WT and the ΔluxS mutant in the presence and absence of Atlantic salmon skin mucins. In the dialysis control sample, mucin extraction buffer dialyzed against PBS in parallel to the mucin samples was added instead of mucins in PBS to the DM prior to addition of the A. salmonicida. That the AI-2 levels are similar in these cultures as in the samples where PBS was added suggest that no chemicals that affect the AI-2 activity remain from the mucin-isolation process. In order to investigate if the difference in cell density caused by differences in growth rate between the ΔluxS and WT A. salmonicida interfered with the assay, we also measured AI-2 activity after 6 and 8 h and included cultures with a starting OD600 of 0.4 starting for the ΔluxS in addition to the standard starting OD600 of 0.1, and the level of AI-2 activity in these samples were relatively similar to those with the same treatment at 8 h. Statistics: ANOVA with Dunnet´s post hoc test, n = 3, *** = p ≤ 0.001.
Figure 9. AI-2 production in A. salmonicida ssp. salmonicida strain VI-88/09/03175 WT and VI-88/09/03175ΔluxS in the presence and absence of Atlantic salmon skin mucins. (A) AI-2 activity in cell-free media from A. salmonicida WT and the ΔluxS mutant after 8 h of culture in DM with a start OD600 of 0.1. Data points are expressed as Mean ± Standard Error of the Mean (n = 3). (B) A. salmonicida wt and ΔluxS were cultured in DM and growth measured at OD560. Data points are expressed as Mean ± Standard Error of the Mean (n = 5). (C) AI-2 activity in cell-free media from A. salmonicida WT and the ΔluxS mutant in the presence and absence of Atlantic salmon skin mucins. In the dialysis control sample, mucin extraction buffer dialyzed against PBS in parallel to the mucin samples was added instead of mucins in PBS to the DM prior to addition of the A. salmonicida. That the AI-2 levels are similar in these cultures as in the samples where PBS was added suggest that no chemicals that affect the AI-2 activity remain from the mucin-isolation process. In order to investigate if the difference in cell density caused by differences in growth rate between the ΔluxS and WT A. salmonicida interfered with the assay, we also measured AI-2 activity after 6 and 8 h and included cultures with a starting OD600 of 0.4 starting for the ΔluxS in addition to the standard starting OD600 of 0.1, and the level of AI-2 activity in these samples were relatively similar to those with the same treatment at 8 h. Statistics: ANOVA with Dunnet´s post hoc test, n = 3, *** = p ≤ 0.001.
Ijms 23 04326 g009
Figure 10. Light-production time course of V. harveyi BB170 reporter. This graph is an example showing the timepoint selection for evaluation of luminescent signals for standard curves and subsequent calculation of DPD equivalent AI-2 values. V. harveyi BB170 luminescence was measured in the QS-reporter assay in response to CM9 medium (negative control), DPD dissolved in CM9 medium and V. harveyi own supernatant (positive control). The dashed vertical line shows the time point corresponding to the start of autoinduction in V. harveyi coinciding with the lowest luminescence count of the negative control. Data points in the intersection of curves and the dashed line were used to plot “DPD concentration-relative luminescence” standard curves. Data points are expressed as Means (n = 3). Abbreviations: DPD = 4,5-dihydroxy-2,3-pentanedione.
Figure 10. Light-production time course of V. harveyi BB170 reporter. This graph is an example showing the timepoint selection for evaluation of luminescent signals for standard curves and subsequent calculation of DPD equivalent AI-2 values. V. harveyi BB170 luminescence was measured in the QS-reporter assay in response to CM9 medium (negative control), DPD dissolved in CM9 medium and V. harveyi own supernatant (positive control). The dashed vertical line shows the time point corresponding to the start of autoinduction in V. harveyi coinciding with the lowest luminescence count of the negative control. Data points in the intersection of curves and the dashed line were used to plot “DPD concentration-relative luminescence” standard curves. Data points are expressed as Means (n = 3). Abbreviations: DPD = 4,5-dihydroxy-2,3-pentanedione.
Ijms 23 04326 g010
Table 1. Strains and plasmids in this study.
Table 1. Strains and plasmids in this study.
Strain or PlasmidDescriptionSource/Reference
A. salmonicida ssp. salmonicida strain VI-88/09/03175-Norwegian Veterinary Institute, Norway
A. salmonicida ssp. salmonicida strain VI-88/09/03175 ΔluxSluxS deficientThis study
E. coli S17-1Mobilizing donor for conjugation RP4-2(Km::Tn7,Tc::Mu-1), pro-82, LAMpir, recA1, endA1, thiE1, hsdR17, creC510[49]
V. harvey BB170Reporter for AI-2 bioassayATCC BAA-1117
pRE112 plasmidSuicide vector; R6K ori sacB CmRAddgene
ΔluxS_pRE112 plasmidCmr; pRE112 bearing homologous arms of luxSThis study.
Table 2. Comparison of the two media side-by-side.
Table 2. Comparison of the two media side-by-side.
ComponentDM MediumCM9 Medium
Ca(NO3)2·4H2O0.1 g/L
KCl0.4 g/L
MgSO4·7H2O0.1 g/L
NaCl6 g/L0.5 g/L
Na2HPO40.8 g/L12.8 g/L
NaHCO32 g/L
FeSO42 mg/L
BSA5 g/L
adenine50 mg/L
lipoic acid3 mg/L
alanine44.5 mg/L
arginine632 mg/L
asparagine75 mg/L
aspartic acid66.5 mg/L
cysteine120 mg/L
glutamic acid73.5 mg/L
glutamine300 mg/L
glycine37.5 mg/L
histidine110 mg/L
isoleucine262.5 mg/L
leucine262 mg/L
lysine362.5 mg/L
methionine75.5 mg/L
phenylalanine165 mg/L
proline57.5 mg/L
serine52.5 mg/L
threonine238 mg/L
tryptophan51 mg/L
tyrosine180 mg/L
valine234 mg/L
D-biotin0.2 mg/L
choline chloride3 mg/L
folic acid1 mg/L
myo-inositol35 mg/L
niacinamide1 mg/L
p-aminobenzoicacid1 mg/L
D-pantothenicacid1.25 mg/L
pyridoxinehydrochloride1 mg/L
riboflavin0.2 mg/L
thiamine hydrochloride1 mg/L
vitamin B12 (cyanocobalamin)5 µg/L
KH2PO4 3 g/L
NH4Cl 1.0 g/L
MgSO4 0.24 g/L
CaCl2 11.1 mg/L
BactoTM Casamino acids 40 g/L
Table 3. Primers used in this study.
Table 3. Primers used in this study.
PrimerSequence (5′−3′)
A-FctcgatatcgcatgcggtaccGAAGCCATAATCAAACCGTT
A-RcatgcacaacTTCTGACTCCTGATTTGGTTAC
B-FggagtcagaaGTTGTGCATGGCAAAAATGA
B-RcaagcttcttctagaggtaccGGATAACTATACCCTTTGGTATAAC
luxS-up-FCTGAACGGCAATGGTGTGGAGA
luxS-down-RGCACGGTCAACACATCGCTCAT
LuxS-FATGAGCGATGTGTTGACCGT
LuxS-RCGATCTCATGGGCTTCCTCC
Publisher’s Note: MDPI stays neutral with regard to jurisdictional claims in published maps and institutional affiliations.

Share and Cite

MDPI and ACS Style

Padra, J.T.; Loibman, S.O.; Thorell, K.; Sundh, H.; Sundell, K.; Lindén, S.K. Atlantic Salmon Mucins Inhibit LuxS-Dependent A. Salmonicida AI-2 Quorum Sensing in an N-Acetylneuraminic Acid-Dependent Manner. Int. J. Mol. Sci. 2022, 23, 4326. https://doi.org/10.3390/ijms23084326

AMA Style

Padra JT, Loibman SO, Thorell K, Sundh H, Sundell K, Lindén SK. Atlantic Salmon Mucins Inhibit LuxS-Dependent A. Salmonicida AI-2 Quorum Sensing in an N-Acetylneuraminic Acid-Dependent Manner. International Journal of Molecular Sciences. 2022; 23(8):4326. https://doi.org/10.3390/ijms23084326

Chicago/Turabian Style

Padra, János Tamás, Stefany Ojaimi Loibman, Kaisa Thorell, Henrik Sundh, Kristina Sundell, and Sara K. Lindén. 2022. "Atlantic Salmon Mucins Inhibit LuxS-Dependent A. Salmonicida AI-2 Quorum Sensing in an N-Acetylneuraminic Acid-Dependent Manner" International Journal of Molecular Sciences 23, no. 8: 4326. https://doi.org/10.3390/ijms23084326

APA Style

Padra, J. T., Loibman, S. O., Thorell, K., Sundh, H., Sundell, K., & Lindén, S. K. (2022). Atlantic Salmon Mucins Inhibit LuxS-Dependent A. Salmonicida AI-2 Quorum Sensing in an N-Acetylneuraminic Acid-Dependent Manner. International Journal of Molecular Sciences, 23(8), 4326. https://doi.org/10.3390/ijms23084326

Note that from the first issue of 2016, this journal uses article numbers instead of page numbers. See further details here.

Article Metrics

Back to TopTop