Sign in to use this feature.

Years

Between: -

Subjects

remove_circle_outline
remove_circle_outline
remove_circle_outline
remove_circle_outline
remove_circle_outline
remove_circle_outline
remove_circle_outline

Journals

Article Types

Countries / Regions

Search Results (27)

Search Parameters:
Keywords = mortality by socio-economic class

Order results
Result details
Results per page
Select all
Export citation of selected articles as:
19 pages, 1699 KB  
Article
Real-World Patterns and Outcomes of Anticoagulation Therapy in Pulmonary Embolism: An Observational Dual-Centre Registry Analysis
by Ivana Jurin, Josip Pejić, Karlo Gjuras, Fran Šaler, Tea-Terezija Cvetko, Nevenka Piskač Živković, Zdravko Mitrović, Šime Manola, Marin Pavlov, Aleksandar Blivajs, Kristina Marić Bešić, Dalibor Divković and Irzal Hadžibegović
J. Cardiovasc. Dev. Dis. 2025, 12(10), 394; https://doi.org/10.3390/jcdd12100394 - 6 Oct 2025
Viewed by 1653
Abstract
Background: Pulmonary embolism (PE) is a major cause of cardiovascular morbidity and mortality. Guidelines favor direct oral anticoagulants (DOACs) over vitamin K antagonists (VKAs), but real-world Croatian data are scarce. Methods: A prospective dual-center registry included 773 patients discharged with acute PE between [...] Read more.
Background: Pulmonary embolism (PE) is a major cause of cardiovascular morbidity and mortality. Guidelines favor direct oral anticoagulants (DOACs) over vitamin K antagonists (VKAs), but real-world Croatian data are scarce. Methods: A prospective dual-center registry included 773 patients discharged with acute PE between 2013 and 2024. Clinical, laboratory, and socioeconomic data were collected. The primary outcome was all-cause mortality; secondary outcomes were recurrent venous thromboembolism (VTE) and major bleeding. Results: DOAC users were younger, with higher education and income, than VKA or heparin patients. Median follow-up was 1106 days. Mortality reached 60.3% with VKA, 26.0% with DOAC, and 84.1% with heparin (p < 0.001). VTE recurrence did not differ significantly. Major bleeding occurred in 9.3% of VKA versus 2.9% of DOAC patients (p = 0.003). Adjusted analysis showed a lower mortality risk with DOAC versus VKA (HR 0.62, 95% CI 0.48–0.80, p < 0.001), while heparin predicted higher mortality (HR 3.63, 95% CI 2.54–5.21, p < 0.001). Higher PESI class independently increased mortality and recurrence. Conclusion: In the first Croatian PE cohort, DOACs were linked to reduced mortality and bleeding risk compared with VKAs, with similar recurrence. Clinical, socioeconomic, and policy factors strongly influenced prescribing patterns and outcomes. Full article
Show Figures

Graphical abstract

15 pages, 643 KB  
Article
Determinants of Atherogenic Dyslipidemia and Lipid Ratios: Associations with Sociodemographic Profile, Lifestyle, and Social Isolation in Spanish Workers
by Pere Riutord-Sbert, Pedro Juan Tárraga López, Ángel Arturo López-González, Irene Coll Campayo, Carla Busquets-Cortés and José Ignacio Ramírez Manent
J. Clin. Med. 2025, 14(19), 7039; https://doi.org/10.3390/jcm14197039 - 5 Oct 2025
Viewed by 1132
Abstract
Background: Atherogenic dyslipidemia is defined by the coexistence of high triglyceride concentrations, low levels of high-density lipoprotein cholesterol (HDL-C), and an excess of small, dense particles of low-density lipoprotein cholesterol (LDL-C). This lipid profile is strongly associated with an increased burden of cardiovascular [...] Read more.
Background: Atherogenic dyslipidemia is defined by the coexistence of high triglyceride concentrations, low levels of high-density lipoprotein cholesterol (HDL-C), and an excess of small, dense particles of low-density lipoprotein cholesterol (LDL-C). This lipid profile is strongly associated with an increased burden of cardiovascular disease and represents a leading cause of global morbidity and mortality. To better capture this risk, composite lipid ratios—including total cholesterol to HDL-C (TC/HDL-C), LDL-C to HDL-C (LDL-C/HDL-C), triglycerides to HDL-C (TG/HDL-C), and the atherogenic dyslipidemia index (AD)—have emerged as robust markers of cardiometabolic health, frequently demonstrating superior predictive capacity compared with isolated lipid measures. Despite extensive evidence linking these ratios to cardiovascular disease, few large-scale studies have examined their association with sociodemographic characteristics, lifestyle behaviors, and social isolation in working populations. Methods: We conducted a cross-sectional analysis of a large occupational cohort of Spanish workers evaluated between January 2021 and December 2024. Anthropometric, biochemical, and sociodemographic data were collected through standardized clinical protocols. Indices of atherogenic risk—namely the ratios TC/HDL-C, LDL-C/HDL-C, TG/HDL-C, and the atherogenic dyslipidemia index (AD)—were derived from fasting lipid measurements. The assessment of lifestyle factors included tobacco use, physical activity evaluated through the International Physical Activity Questionnaire (IPAQ), adherence to the Mediterranean dietary pattern using the MEDAS questionnaire, and perceived social isolation measured by the Lubben Social Network Scale. Socioeconomic classification was established following the criteria proposed by the Spanish Society of Epidemiology. Logistic regression models were fitted to identify factors independently associated with moderate-to-high risk for each lipid indicator, adjusting for potential confounders. Results: A total of 117,298 workers (71,384 men and 45,914 women) were included. Men showed significantly higher odds of elevated TG/HDL-C (OR 4.22, 95% CI 3.70–4.75) and AD (OR 2.95, 95% CI 2.70–3.21) compared with women, whereas LDL-C/HDL-C ratios were lower (OR 0.86, 95% CI 0.83–0.89). Advancing age was positively associated with all lipid ratios, with the highest risk observed in participants aged 60–69 years. Lower social class, smoking, physical inactivity, poor adherence to the Mediterranean diet, and low social isolation scores were consistently linked to higher atherogenic risk. Physical inactivity showed the strongest associations across all indicators, with ORs ranging from 3.54 for TC/HDL-C to 7.12 for AD. Conclusions: Atherogenic dyslipidemia and elevated lipid ratios are strongly associated with male sex, older age, lower socioeconomic status, unhealthy lifestyle behaviors, and reduced social integration among Spanish workers. These findings highlight the importance of workplace-based cardiovascular risk screening and targeted prevention strategies, particularly in high-risk subgroups. Interventions to promote physical activity, healthy dietary patterns, and social connectedness may contribute to lowering atherogenic risk in occupational settings. Full article
(This article belongs to the Section Cardiovascular Medicine)
Show Figures

Figure 1

29 pages, 443 KB  
Review
Cardiac Rehabilitation in the Modern Era: Evidence, Equity, and Evolving Delivery Models Across the Cardiovascular Spectrum
by Anna S. Mueller and Samuel M. Kim
J. Clin. Med. 2025, 14(15), 5573; https://doi.org/10.3390/jcm14155573 - 7 Aug 2025
Cited by 3 | Viewed by 7753
Abstract
CR is a cornerstone of secondary prevention for cardiovascular disease, offering well-established benefits across mortality, hospital readmission, functional capacity, and quality of life. Despite Class I guideline endorsements and decades of supporting evidence, CR remains vastly underutilized, particularly among women, racial and ethnic [...] Read more.
CR is a cornerstone of secondary prevention for cardiovascular disease, offering well-established benefits across mortality, hospital readmission, functional capacity, and quality of life. Despite Class I guideline endorsements and decades of supporting evidence, CR remains vastly underutilized, particularly among women, racial and ethnic minorities, older adults, and individuals in low-resource settings. This review synthesizes the current evidence base for CR, with emphasis on disease-specific benefits across different cardiovascular diseases, and highlights recent data on its role in expanding populations, including patients with HFpEF, older adults, patients with advanced heart failure, and those undergoing transcatheter interventions. We also examine persistent barriers to CR access and participation, including system-level and referral limitations, as well as patient-level disparities by age, sex, race and ethnicity, and socioeconomic status. Building on this, we explore innovative delivery models and recent policy initiatives such as hybrid programs and reimbursement reform, all designed to expand access, promote equity, and modernize CR delivery. The findings underscore the need for continued investment, advocacy, and innovation to ensure equitable access to CR and its life-saving benefits across the full cardiovascular care continuum. Full article
(This article belongs to the Special Issue Cardiac Rehabilitation: Clinical Challenges and New Insights)
15 pages, 444 KB  
Article
Cross-Sectional and Longitudinal Assessment of Sociodemographic and Lifestyle Determinants of Metabolic Syndrome and Hypertriglyceridemic Waist Phenotypes in 139,634 Spanish Workers
by Joan Obrador de Hevia, Ángel Arturo López-González, José Ignacio Ramírez-Manent, Carla Busquets-Cortés, Pedro Juan Tárraga López and Pere Riutord-Sbert
Metabolites 2025, 15(7), 474; https://doi.org/10.3390/metabo15070474 - 14 Jul 2025
Viewed by 866
Abstract
Objective: The objective of this study was to analyze the prevalence and key sociodemographic and lifestyle determinants of metabolic syndrome (MetS) and the hypertriglyceridemic waist (HTGW) phenotype in a large occupational cohort. Background: Metabolic syndrome (MetS) and the hypertriglyceridemic waist (HTGW) phenotype, defined [...] Read more.
Objective: The objective of this study was to analyze the prevalence and key sociodemographic and lifestyle determinants of metabolic syndrome (MetS) and the hypertriglyceridemic waist (HTGW) phenotype in a large occupational cohort. Background: Metabolic syndrome (MetS) and the hypertriglyceridemic waist (HTGW) phenotype, defined as the simultaneous presence of elevated waist circumference and high triglyceride levels, are major predictors of cardiometabolic morbidity and mortality. Despite their clinical relevance, data on their distribution and determinants in large occupational populations remain limited. Methods: A cross-sectional analysis was conducted on 139,634 employed adults (56,352 women and 83,282 men) across Spain, based on standardized clinical evaluations and validated questionnaires assessing physical activity, diet, smoking, alcohol consumption, education, and occupational class. Logistic regression models were used to estimate associations with MetS and HTGW. A longitudinal subsample of 40,431 individuals was followed over a 10-year period (2009–2019) to assess trends in metabolic risk phenotypes. Results: Male sex, older age, lower educational attainment, and unhealthy lifestyle behaviors were associated with a higher prevalence of both MetS and the HTGW phenotype. Physical inactivity, low adherence to the Mediterranean diet, and alcohol consumption were significantly associated with increased risk. The HTGW phenotype proved useful in identifying high-risk individuals, with a steadily increasing prevalence over time. Conclusions: Sociodemographic disparities and modifiable lifestyle factors significantly influence the prevalence and progression of MetS and HTGW in the Spanish workforce. Preventive strategies should emphasize early workplace screening, promotion of healthy behaviors, and reduction in educational and socioeconomic inequalities to mitigate cardiometabolic risk. Full article
(This article belongs to the Section Endocrinology and Clinical Metabolic Research)
Show Figures

Figure 1

13 pages, 296 KB  
Article
Analysis of Massive Transfusion Protocol Utilization in Trauma Across Sociodemographic Groups
by Monique Arnold, Bharti Sharma, Matthew Conn, Kate Twelker, Navin D. Bhatia, George Agriantonis, Jasmine Dave, Juan Mestre, Zahra Shafaee and Jennifer Whittington
Medicina 2025, 61(7), 1133; https://doi.org/10.3390/medicina61071133 - 24 Jun 2025
Cited by 1 | Viewed by 2104
Abstract
Background and Objectives: Blood shortages are a national crisis, creating dangerous scenarios for patients requiring the use of a massive transfusion protocol (MTP). A judicious use of blood products is critical to rescue salvageable patients while refraining from unnecessary MTP to save [...] Read more.
Background and Objectives: Blood shortages are a national crisis, creating dangerous scenarios for patients requiring the use of a massive transfusion protocol (MTP). A judicious use of blood products is critical to rescue salvageable patients while refraining from unnecessary MTP to save precious resources. This study examines effect of trauma characteristics, socioeconomic variables and markers of futility on the likelihood of activating and receiving MTP in the trauma setting. Materials and Methods: In this retrospective study, emergency department (ED) trauma activations from a database of an urban Level I trauma center were analyzed from 1 January 2017 to 30 June 2022, inclusive. In-ED mortality, RBC transfusion volumes during initial resuscitation, patient sociodemographic data, and trauma event factors were analyzed. The primary outcomes were the dichotomous outcomes of MTP activation and MTP transfusion. Univariable analyses and logistic regressions were conducted, with class balancing sensitivities applied to the multivariable regressions to adjust for imbalance in the data. p < 0.05 was considered statistically significant. Results: Among the 8670 trauma activations, there was a 0.3% in-ED mortality rate. MTP activation and MTP transfusion were associated with higher in-ED mortality rates (3.8% and 15.4%, respectively, compared to 0.2% without MTP). Younger patients, male patients, and Medicaid recipients were more likely to undergo MTP activation; Medicare patients were less likely. Penetrating trauma substantially increased the likelihood of both MTP activation (odds ratio (OR) 5.81) and transfusion (OR 3.63). The logistic regression models identified the presence of penetrating trauma, lower probability of survival, and age as the most important covariates. Models demonstrated high discriminatory value (area under the curve (AUC) of the receiver operating characteristic curve (ROC) of 0.876 for MTP activation, 0.935 for MTP transfusion) and precision (0.974 for activation, 0.994 for transfusion), with class balancing further improving model performance and precision scores. Conclusions: These results are significant as assessing the futility of MTP should be equitable, and future transfusion guidelines should consider salvageability in cases with a low probability of survival despite age and mechanism. Full article
(This article belongs to the Special Issue Trauma, Critical Care, and Acute Care Surgery)
20 pages, 1078 KB  
Article
Atherogenic Risk and Its Association with Alcohol Consumption, Lifestyle Habits, and Sociodemographic Factors in a Population of Spanish Workers
by Joan Obrador de Hevia, Ángel Arturo López-González, José Ignacio Ramírez-Manent, Carla Busquets-Cortes, Pedro Juan Tárraga López, Miguel García Samuelsson and Pere Riutord-Sbert
Life 2025, 15(6), 923; https://doi.org/10.3390/life15060923 - 7 Jun 2025
Cited by 1 | Viewed by 1045
Abstract
Atherogenic dyslipidemia is a major contributor to cardiovascular disease, the leading cause of morbidity and mortality worldwide. While lipid abnormalities are well-established clinical risk factors, growing evidence highlights the influence of sociodemographic and lifestyle determinants on lipid profiles. However, large-scale epidemiological data addressing [...] Read more.
Atherogenic dyslipidemia is a major contributor to cardiovascular disease, the leading cause of morbidity and mortality worldwide. While lipid abnormalities are well-established clinical risk factors, growing evidence highlights the influence of sociodemographic and lifestyle determinants on lipid profiles. However, large-scale epidemiological data addressing these associations within occupational settings remain limited. Objective: To assess the cross-sectional and longitudinal associations between atherogenic risk—measured through TC/HDL-c, LDL-c/HDL-c, TG/HDL-c ratios, and atherogenic dyslipidemia (AD)—and sociodemographic variables, health behaviors, and alcohol consumption in a large cohort of Spanish workers. Methods: A dual-phase study was conducted. The first phase was a cross-sectional analysis of 139,634 workers (83,282 men; 56,352 women) from multiple employment sectors undergoing routine occupational health assessments. The second phase was a longitudinal study of a subsample (n = 40,431) with complete data from 2009 and 2019. Clinical, anthropometric, and biochemical data were collected using standardized protocols. Lifestyle factors (smoking, physical activity, Mediterranean diet adherence, alcohol intake) and socioeconomic indicators (education, occupational class) were recorded. Multinomial logistic regression was used to determine independent associations with high-risk atherogenic profiles. Results: Higher atherogenic indices and prevalence of AD were associated with advancing age, lower educational level, lower social class, smoking, physical inactivity, poor diet quality, and alcohol consumption. Men exhibited higher TG/HDL-c and AD values, whereas women had higher TC/HDL-c and LDL-c/HDL-c. Physical inactivity showed the strongest association with TG/HDL-c (OR: 36.23; 95% CI: 32.12–40.35) and AD (OR: 16.86; 95% CI: 14.80–18.93). Alcohol intake also independently predicted higher TG/HDL-c (OR: 1.60) and AD (OR: 1.79). Over the decade, a general increase in atherogenic risk was observed, especially among older adults, socially disadvantaged groups, and those with unhealthy behaviors. Conclusions: Sociodemographic and lifestyle factors, particularly physical inactivity and alcohol consumption, are strongly associated with adverse atherogenic profiles in the working population. The observed rise in lipid-related cardiovascular risk over the past decade emphasizes the urgent need for workplace-based health promotion strategies targeting modifiable behaviors and structural health inequalities. Full article
(This article belongs to the Section Physiology and Pathology)
Show Figures

Figure 1

12 pages, 1131 KB  
Article
Association Between Laboratory Metrics and Mortality After Major Lower Extremity Amputation in Peripheral Artery Disease Patients
by Amun Georg Hofmann, Emanuel Greistorfer, Fadi Taher, Afshin Assadian and Maria Elisabeth Leinweber
J. Clin. Med. 2025, 14(8), 2640; https://doi.org/10.3390/jcm14082640 - 11 Apr 2025
Viewed by 747
Abstract
Introduction: Apart from their high burden of disease, major amputations, especially due to macro- and microangiopathic malperfusion, persist to inflict a relevant socioeconomic impact in most geographic regions. It has been repeatedly shown that lower extremity amputations are associated with impaired post-operative [...] Read more.
Introduction: Apart from their high burden of disease, major amputations, especially due to macro- and microangiopathic malperfusion, persist to inflict a relevant socioeconomic impact in most geographic regions. It has been repeatedly shown that lower extremity amputations are associated with impaired post-operative survival. In the present study, we investigated whether metrics derived from routine laboratory studies after amputation are associated with post-operative survival. Methods: In this retrospective single-center analysis, 244 patients undergoing lower extremity amputation between 2012 and 2016 were included. Serum hemoglobin and leukocyte counts of the first 21 post-operative days as well as derived metrics were analyzed in addition to clinical and demographic variables. Kaplan–Meier estimates and adjusted Cox regressions were fitted including relevant parameters. Results: In summary, 71.3% of patients underwent transtibial and 28.7% transfemoral amputations. The most frequent post-operative complications were wound-related (43.0%). Long-term survival analyses showed that advanced age and higher ASA class were significantly associated with reduced post-operative survival, while no significant survival differences were observed based on sex, smoking history, or type of amputation. Laboratory parameter analysis showed impaired peri-operative outcomes in patients with elevated leukocyte counts, with leukocyte-derived metrics showing significant associations with long-term survival after adjustment for age and ASA class. Conclusions: This study highlights the potential of routine laboratory parameter-derived metrics in predicting mortality after major lower extremity amputations in PAD patients. Full article
(This article belongs to the Section Vascular Medicine)
Show Figures

Figure 1

27 pages, 9220 KB  
Article
Dietary Habits and Their Correlation with Socio-Demographic Variables Among the Ethnic Hungarian Population of Romania
by Francisc-Andrei Boda, Béla Kovács, Bernadett Molnar, Boglárka Kovács-Deák and Lavinia Berța
Nutrients 2025, 17(5), 756; https://doi.org/10.3390/nu17050756 - 21 Feb 2025
Cited by 2 | Viewed by 2164
Abstract
Background/Objectives: Non-communicable diseases (NCDs) are the leading cause of preventable morbidity and mortality globally. To reduce the prevalence of NCDs, the World Health Organization issued guidelines for a healthy lifestyle, which have been adopted in various countries. Our study aimed to evaluate [...] Read more.
Background/Objectives: Non-communicable diseases (NCDs) are the leading cause of preventable morbidity and mortality globally. To reduce the prevalence of NCDs, the World Health Organization issued guidelines for a healthy lifestyle, which have been adopted in various countries. Our study aimed to evaluate the dietary habits of the ethnic Hungarian population of Romania, allowing us to identify potential differences in nutritional behavior compared to the country’s general population. Methods: A cross-sectional, observational, questionnaire-based study was conducted to collect information on eating behavior, food purchasing habits, and dietary patterns among ethnic Hungarians, the largest minority group in Romania. The obtained data were interpreted using multivariate data analysis (MVDA), including principal component analysis models (PCA-X) to establish pattern recognition and data clustering, and orthogonal partial least squares discriminant analysis (OPLS-DA) models to examine class differences between the identified clusters. Results: A total of 247 valid questionnaires were evaluated; the most represented groups were females (67.2%), young adults aged 18 to 30 (56.3%), individuals with normal body mass index (54.7%), and those with a higher education level (45.7%). Health-conscious purchasing and eating behaviors were more characteristic of middle-aged and older adults, females, and those with a higher education level. Young adults appear to have a more varied diet, but overconsumption of unhealthy food products and a lack of interest in healthy dietary habits is evident. Conclusions: Appropriate nutritional education is necessary for all age groups; however, programs targeting young adult Hungarians are especially important, as most expressed little interest in healthy eating habits. Further research examining the underlying relationship between dietary habits and cultural factors as well as socio-economic factors could offer new opportunities to promote a healthy lifestyle. Full article
Show Figures

Figure 1

21 pages, 1391 KB  
Review
Global Insights on Prehospital Stroke Care: A Comprehensive Review of Challenges and Solutions in Low- and Middle-Income Countries
by Elvan Wiyarta, Marc Fisher, Mohammad Kurniawan, Rakhmad Hidayat, Iskandar Purba Geraldi, Qaisar Ali Khan, I Putu Eka Widyadharma, Aliena Badshah and Jeyaraj Durai Pandian
J. Clin. Med. 2024, 13(16), 4780; https://doi.org/10.3390/jcm13164780 - 14 Aug 2024
Cited by 12 | Viewed by 6179
Abstract
Stroke is a leading cause of disability and mortality worldwide, and it disproportionately affects low- and middle-income countries (LMICs), which account for 88% of stroke fatalities. Prehospital stroke care delays are a crucial obstacle to successful treatment in these settings, especially given the [...] Read more.
Stroke is a leading cause of disability and mortality worldwide, and it disproportionately affects low- and middle-income countries (LMICs), which account for 88% of stroke fatalities. Prehospital stroke care delays are a crucial obstacle to successful treatment in these settings, especially given the limited therapeutic window for thrombolytic treatments, which may greatly improve recovery chances when initiated early after stroke onset. These delays are caused by a lack of public understanding of stroke symptoms, sociodemographic and cultural variables, and insufficient healthcare infrastructure. This review discusses these issues in detail, emphasizing the disparities in stroke awareness and reaction times between locations and socioeconomic classes. Innovative options for reducing these delays include the deployment of mobile stroke units and community-based educational campaigns. This review also discusses how technology improvements and personalized educational initiatives might improve stroke awareness and response in LMICs. The primary goal is to give a thorough assessment of the challenges and potential remedies that might serve as the foundation for policy reforms and healthcare improvements in LMICs, eventually improving stroke care and lowering disease-related mortality and disability. Full article
(This article belongs to the Special Issue Review Special Issue Series: Recent Advances in Clinical Neurology)
Show Figures

Figure 1

11 pages, 874 KB  
Article
Insights from Explainable Artificial Intelligence of Pollution and Socioeconomic Influences for Respiratory Cancer Mortality in Italy
by Donato Romano, Pierfrancesco Novielli, Domenico Diacono, Roberto Cilli, Ester Pantaleo, Nicola Amoroso, Loredana Bellantuono, Alfonso Monaco, Roberto Bellotti and Sabina Tangaro
J. Pers. Med. 2024, 14(4), 430; https://doi.org/10.3390/jpm14040430 - 18 Apr 2024
Cited by 6 | Viewed by 2404
Abstract
Respiratory malignancies, encompassing cancers affecting the lungs, the trachea, and the bronchi, pose a significant and dynamic public health challenge. Given that air pollution stands as a significant contributor to the onset of these ailments, discerning the most detrimental agents becomes imperative for [...] Read more.
Respiratory malignancies, encompassing cancers affecting the lungs, the trachea, and the bronchi, pose a significant and dynamic public health challenge. Given that air pollution stands as a significant contributor to the onset of these ailments, discerning the most detrimental agents becomes imperative for crafting policies aimed at mitigating exposure. This study advocates for the utilization of explainable artificial intelligence (XAI) methodologies, leveraging remote sensing data, to ascertain the primary influencers on the prediction of standard mortality rates (SMRs) attributable to respiratory cancer across Italian provinces, utilizing both environmental and socioeconomic data. By scrutinizing thirteen distinct machine learning algorithms, we endeavor to pinpoint the most accurate model for categorizing Italian provinces as either above or below the national average SMR value for respiratory cancer. Furthermore, employing XAI techniques, we delineate the salient factors crucial in predicting the two classes of SMR. Through our machine learning scrutiny, we illuminate the environmental and socioeconomic factors pertinent to mortality in this disease category, thereby offering a roadmap for prioritizing interventions aimed at mitigating risk factors. Full article
(This article belongs to the Special Issue Artificial Intelligence and Data Integration in Precision Health)
Show Figures

Figure 1

16 pages, 265 KB  
Article
Canonical Correlation for the Analysis of Lifestyle Behaviors versus Cardiovascular Risk Factors and the Prediction of Cardiovascular Mortality: A Population Study
by Alessandro Menotti and Paolo Emilio Puddu
Hearts 2024, 5(1), 29-44; https://doi.org/10.3390/hearts5010003 - 3 Jan 2024
Cited by 1 | Viewed by 2360
Abstract
Objectives: To assess the overall association of lifestyle behaviors with multiple cardiovascular risk factors and mortality. Material and Methods: In the Italian Rural Areas of the Seven Countries Study, involving 1712 middle-aged men (40–59 years) enrolled in 1960, smoking habits, physical activity, dietary [...] Read more.
Objectives: To assess the overall association of lifestyle behaviors with multiple cardiovascular risk factors and mortality. Material and Methods: In the Italian Rural Areas of the Seven Countries Study, involving 1712 middle-aged men (40–59 years) enrolled in 1960, smoking habits, physical activity, dietary habits, marital status, and socioeconomic status (SES) were studied as possible determinants of 15 measurable risk factors (body mass index, tricipital and subscapular skinfold, arm circumference, systolic and diastolic blood pressure, heart rate, double product (systolic blood pressure × heart rate), vital capacity, forced expiratory volume, serum cholesterol, urine protein, urine glucose, corneal arcus and xanthelasma) using canonical correlation (CC). Results: The first CC had a value of 0.54 (R2 0.29, p < 0.0001). The role of marital status was marginal; that of a high SES was contrary to expectations. The strongest behaviors based on standardized CC coefficients were dietary habits and physical activity. The risk factors mostly associated with overall lifestyle behaviors were some anthropometric and cardiovascular measurements. The mean levels of risk factors distributed in tertile classes of the CC variate score of lifestyle behaviors were largely associated in a coherent and graded way with the expected relationship of behaviors versus risk factors. In a large series of Cox models, the CC variate scores were significantly associated with 50-year coronary heart disease (CHD) mortality and much less with stroke and other heart diseases of uncertain etiology. Conclusions: Lifestyle behaviors correlate well with cardiovascular risk factors associated with CHD mortality, and CC is a useful method of analysis to detect long-term impacting characteristics. Full article
12 pages, 1359 KB  
Article
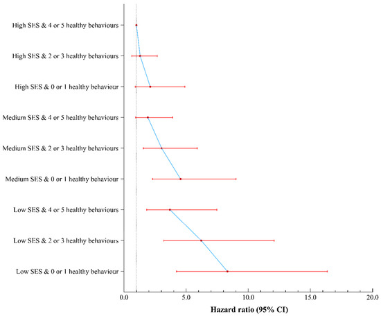
Mutual Associations of Healthy Behaviours and Socioeconomic Status with Respiratory Diseases Mortality: A Large Prospective Cohort Study
by Min Du, Lin Zhu, Min Liu and Jue Liu
Nutrients 2023, 15(8), 1872; https://doi.org/10.3390/nu15081872 - 13 Apr 2023
Cited by 3 | Viewed by 2306
Abstract
Little cohort evidence is available on the effect of healthy behaviours and socioeconomic status (SES) on respiratory disease mortality. We included 372,845 participants from a UK biobank (2006–2021). SES was derived by latent class analysis. A healthy behaviours index was constructed. Participants were [...] Read more.
Little cohort evidence is available on the effect of healthy behaviours and socioeconomic status (SES) on respiratory disease mortality. We included 372,845 participants from a UK biobank (2006–2021). SES was derived by latent class analysis. A healthy behaviours index was constructed. Participants were categorized into nine groups on the basis of combinations of them. The Cox proportional hazards model was used. There were 1447 deaths from respiratory diseases during 12.47 median follow-up years. The hazard ratios (HRs, 95% CIs) for the low SES (vs. high SES) and the four or five healthy behaviours (vs. no or one healthy behaviour) were 4.48 (3.45, 5.82) and 0.44 (0.36, 0.55), respectively. Participants with both low SES and no or one healthy behaviour had a higher risk of respiratory disease mortality (aHR = 8.32; 95% CI: 4.23, 16.35) compared with those in both high SES and four or five healthy behaviours groups. The joint associations were stronger in men than in women, and in younger than older adults. Low SES and less healthy behaviours were both associated with an increased risk of respiratory disease mortality, which augmented when both presented together, especially for young man. Full article
(This article belongs to the Section Nutritional Epidemiology)
Show Figures

Figure 1

12 pages, 268 KB  
Article
Assessment of Determinants of Paediatric Diarrhoea Case Management Adherence in Pakistan
by Asif Khaliq, River Holmes-Stahlman, Danish Ali, Shamshad Karatela and Zohra S. Lassi
Life 2023, 13(3), 677; https://doi.org/10.3390/life13030677 - 2 Mar 2023
Cited by 3 | Viewed by 3578
Abstract
Worldwide, diarrhoea in children under five years of age is the second leading cause of death. Despite having high morbidity and mortality, diarrhoeal diseases can be averted by simple and cost-effective interventions. The Integrated Management of Childhood Illness (IMCI) has proposed the use [...] Read more.
Worldwide, diarrhoea in children under five years of age is the second leading cause of death. Despite having high morbidity and mortality, diarrhoeal diseases can be averted by simple and cost-effective interventions. The Integrated Management of Childhood Illness (IMCI) has proposed the use of Oral Rehydration Salt (ORS) and zinc together with adequate food and fluid intake for the management of acute non-dysenteric watery diarrhoea in children. In the past, few studies examined the determinants of adherence to diarrhoea case management. Therefore, this study measured the determinants of therapeutic and dietary adherence to diarrhoea case management using the third and fourth wave of Pakistan Demographics and Health Surveys (PDHS) datasets. Data from 4068 children between 0 to 59.9 months with positive history of diarrhoea were included, while data on children with dysentery, severe dehydration, and co-morbid condition was excluded. This study reported therapeutic adherence in less than 10% of children in Pakistan, while dietary adherence was reported in 39.2% of children (37.7% in 2012–2013 and 40.7% in 2017–2018). A significant improvement in therapeutic (0.8% in 2012–2013 and 8.1% in 2017–2018) and dietary adherence (37.7% in 2012–2013 and 40.7% in 2017–2018) was reported in the 2017–2018 survey compared to the 2012–2013 survey. In general, children over the age of one year (compared to children <1 year) and of the richer/richest socioeconomic class (compared to poorest/poorer socioeconomic class) showed higher therapeutic and dietary adherence. Therapeutic and dietary adherence among diarrhoeal children can be improved by increasing the awareness and accessibility of ORS, zinc, and essential foods. Full article
(This article belongs to the Special Issue Nutrition and Dietary Pattern Associated with Diseases)
10 pages, 1128 KB  
Article
Good Long-Term Prognosis of Lupus Nephritis in the High-Income Afro-Caribbean Population of Martinique with Free Access to Healthcare
by Benoit Suzon, Fabienne Louis-Sidney, Cédric Aglaé, Kim Henry, Cécile Bagoée, Sophie Wolff, Florence Moinet, Violaine Emal-Aglaé, Katlyne Polomat, Michel DeBandt, Christophe Deligny and Aymeric Couturier
J. Clin. Med. 2022, 11(16), 4860; https://doi.org/10.3390/jcm11164860 - 19 Aug 2022
Cited by 9 | Viewed by 2852
Abstract
Lupus nephritis (LN) has been described as having worse survival and renal outcomes in African-descent patients than Caucasians. We aimed to provide long-term population-based data in an Afro-descendant cohort of LN with high income and easy and free access to specialized healthcare. Study [...] Read more.
Lupus nephritis (LN) has been described as having worse survival and renal outcomes in African-descent patients than Caucasians. We aimed to provide long-term population-based data in an Afro-descendant cohort of LN with high income and easy and free access to specialized healthcare. Study design: We performed a retrospective population-based analysis using data from 2002–2015 of 1140 renal biopsies at the University Hospital of Martinique (French West Indies). All systemic lupus erythematosus patients with a diagnosis of LN followed for at least 12 months in Martinique or who died during this period were included. Results: A total of 89 patients were included, of whom 68 (76.4%) had proliferative (class III or IV), 17 (19.1%) had membranous (class V), and 4 (4.5%) had class I or II lupus nephritis according to the ISN/RPS classification. At a mean follow-up of 118.3 months, 51.7% of patients were still in remission. The rates of end-stage renal disease were 13.5%, 19.1%, and 21.3% at 10, 15, and 20 years of follow-up, respectively, and mortality rates were 4.5%, 5.6%, and 7.9% at 10, 15, and 20 years of follow-up, respectively. Conclusions: The good survival of our Afro-descendant LN patients, similar to that observed in Caucasians, shades the burden of ethnicity but rather emphasizes and reinforces the importance of optimizing all modifiable factors associated with poor outcome, especially socioeconomics. Full article
Show Figures

Figure 1

21 pages, 3028 KB  
Review
A Bibliometric Analysis on Research Regarding Residential Segregation and Health Based on CiteSpace
by Yanrong Qiu, Kaihuai Liao, Yanting Zou and Gengzhi Huang
Int. J. Environ. Res. Public Health 2022, 19(16), 10069; https://doi.org/10.3390/ijerph191610069 - 15 Aug 2022
Cited by 8 | Viewed by 4254
Abstract
Considerable scholarly attention has been directed to the adverse health effects caused by residential segregation. We aimed to visualize the state-of-the-art residential segregation and health research to provide a reference for follow-up studies. Employing the CiteSpace software, we uncovered popular themes, research hotspots, [...] Read more.
Considerable scholarly attention has been directed to the adverse health effects caused by residential segregation. We aimed to visualize the state-of-the-art residential segregation and health research to provide a reference for follow-up studies. Employing the CiteSpace software, we uncovered popular themes, research hotspots, and frontiers based on an analysis of 1211 English-language publications, including articles and reviews retrieved from the Web of Science Core Collection database from 1998 to 2022. The results revealed: (1) The Social Science & Medicine journal has published the most studies. Roland J. Thorpe, Thomas A. LaVeist, Darrell J. Gaskin, David R. Williams, and others are the leading scholars in residential segregation and health research. The University of Michigan, Columbia University, Harvard University, the Johns Hopkins School of Public Health, and the University of North Carolina play the most important role in current research. The U.S. is the main publishing country with significant academic influence. (2) Structural racism, COVID-19, mortality, multilevel modelling, and environmental justice are the top five topic clusters. (3) The research frontier of residential segregation and health has significantly shifted from focusing on community, poverty, infant mortality, and social class to residential environmental exposure, structural racism, and health care. We recommend strengthening comparative research on the health-related effects of residential segregation on minority groups in different socio-economic and cultural contexts. Full article
Show Figures

Figure 1

Back to TopTop