Sign in to use this feature.

Years

Between: -

Subjects

remove_circle_outline
remove_circle_outline
remove_circle_outline
remove_circle_outline
remove_circle_outline
remove_circle_outline
remove_circle_outline
remove_circle_outline

Journals

Article Types

Countries / Regions

Search Results (11)

Search Parameters:
Keywords = microcrystallization

Order results
Result details
Results per page
Select all
Export citation of selected articles as:
16 pages, 7071 KB  
Review
Doce de Leite Production: An Overview of the Different Industrial Production Technologies
by Caroline Barroso dos Anjos Pinto, Uwe Schwarzenbolz, Thomas Henle, Alan Frederick Wolfschoon-Pombo, Ítalo Tuler Perrone and Rodrigo Stephani
Dairy 2025, 6(2), 10; https://doi.org/10.3390/dairy6020010 - 21 Feb 2025
Cited by 3 | Viewed by 3640
Abstract
Doce de leite is a caramel-like confection, mainly produced in several Latin American countries, with increasing popularity worldwide. This overview outlines nine distinct industrial technologies for the production of doce de leite: (1) total batch manufacturing process; (2) batch manufacturing system with fractionated [...] Read more.
Doce de leite is a caramel-like confection, mainly produced in several Latin American countries, with increasing popularity worldwide. This overview outlines nine distinct industrial technologies for the production of doce de leite: (1) total batch manufacturing process; (2) batch manufacturing system with fractionated mix addition; (3) manufacturing with pre-concentration in a vacuum evaporator and finishing in an open pan; (4) manufacturing with pre-concentration in a vacuum evaporator, finishing in an open pan, and lactose micro-crystallization; (5) continuous flow manufacturing with total concentration in a vacuum evaporator and a viscosity control holding tank (hot well); (6) manufacturing with total concentration in a vacuum evaporator and sterilization in an autoclave system; (7) manufacturing with sucrose pre-caramelization and a total batch system; (8) manufacturing in colloidal mill without an evaporation process; and (9) manufacturing based of doce de leite bars with a sucrose crystallization stage. We conducted a literature review to gather data on the discussed processes and their principal characteristics, which may be pertinent to doce de leite manufacturers. The choice of a specific process will depend on the desired doce de leite characteristics, the type of doce de leite to be produced, and the manufacturing company’s requirements. When properly integrated, these technologies contribute to efficient and profitable production, yielding high-quality products with appropriate chemical, microbiological, and sensory characteristics at an industrial scale. Full article
(This article belongs to the Section Milk Processing)
Show Figures

Figure 1

10 pages, 2685 KB  
Article
Modified Magnesium Oxysulfate Foam Cement Doped with Iron Tailings
by Yitong Fang, Baoluo Xu, Lisha Fu, Le Chen, Zilong Chen, Wanjun Hao and Kexi Zhang
Materials 2024, 17(23), 5907; https://doi.org/10.3390/ma17235907 - 2 Dec 2024
Cited by 2 | Viewed by 1208
Abstract
The enhancement of the utilization rate of solid waste, along with balancing the comprehensive performance of materials, presents a significant challenge in the development of new functional building materials. This study examined the effects of high concentrations of iron tailing powder on the [...] Read more.
The enhancement of the utilization rate of solid waste, along with balancing the comprehensive performance of materials, presents a significant challenge in the development of new functional building materials. This study examined the effects of high concentrations of iron tailing powder on the crystallization characteristics, pore structure, compressive strength, and water absorption of modified magnesium oxysulfate (MOS) foam cement with different dry densities. Furthermore, employing chemical foaming technology, the study characterized and analyzed the microstructure of modified MOS foam cement hydration products through scanning electron microscopy (SEM) and X-ray diffraction analysis (XRD). The results indicated that the addition of an acidic modifier effectively facilitated the hydration reaction in the MgO-MgSO4-H2O system, enhancing the micro-crystallization characteristics of MOS foam cement. The internal pores were uniformly round, with a dense crystal structure within the pore walls. The compressive strength of the material with 40% dry density A08 grade iron tailing powder reached 6.83 MPa, and the lowest water absorption was 5.32% at a dry density of A09. Full article
Show Figures

Figure 1

12 pages, 5913 KB  
Article
Fabrication and Characterization of Ce3+-Doped Lithium Alumino-Silicate Scintillating Glass–Ceramic and Fiber
by Yongya Wang, Fanbo Meng, Huiyu Chen, Wenqin Luo, Shunjian Xu and Chunyan Lv
Materials 2024, 17(18), 4481; https://doi.org/10.3390/ma17184481 - 12 Sep 2024
Viewed by 1653
Abstract
Ce3+-doped lithium alumino-silicate (Li-Al-Si) scintillating glass was prepared using a melting method and crystallized via heat treatment. X-ray diffraction and transmission electron microscopy confirmed the presence of nanocrystals in the materials. Radioluminescence spectra, obtained by X-ray excitation, and luminescence spectra, obtained [...] Read more.
Ce3+-doped lithium alumino-silicate (Li-Al-Si) scintillating glass was prepared using a melting method and crystallized via heat treatment. X-ray diffraction and transmission electron microscopy confirmed the presence of nanocrystals in the materials. Radioluminescence spectra, obtained by X-ray excitation, and luminescence spectra, obtained by 338 nm excitation, showed that the luminescence intensity increased after crystallization. The glass was combined with pure silica as the inner cladding to fabricate a hybrid fiber core using a melt-in-tube technique. The composition of the fiber core was examined using an electron probe microanalyzer. The glass fiber produced strong blue luminescence under UV excitation. After a micro-crystallizing heat treatment of the hybrid fiber at 850 °C in a reducing atmosphere, a Ce3+-doped lithium alumino-silicate glass–ceramic scintillating hybrid fiber was obtained. The nanocrystal structure of the fiber core was examined using micro-Raman spectroscopy. Excitation and luminescence spectra of the hybrid fiber before and after micro-crystallization were measured using microspectrofluorimetry. The results demonstrated that the fiber remained luminous after micro-crystallization. Hence, this work provides a new way to prepare scintillating glass–ceramic hybrid fibers for neutron detection. Full article
(This article belongs to the Section Advanced and Functional Ceramics and Glasses)
Show Figures

Figure 1

14 pages, 16200 KB  
Article
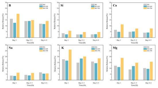
Microcrystallization Effects in Borosilicate Bioactive Glasses: Controllable Release of Bioactive Elements and In Vitro Degradation Properties
by Chengyun Jin, Minhui Zhang and Jian Lin
Materials 2024, 17(1), 32; https://doi.org/10.3390/ma17010032 - 20 Dec 2023
Cited by 2 | Viewed by 1889
Abstract
Borosilicate bioactive glasses exhibit excellent bioactivity and degradation properties; however, they suffer from the rapid release of bioactive elements at the initial stage of their degradation. Excessive local concentrations (such as those of B) can affect cell proliferation. Moreover, the degradation and mineralization [...] Read more.
Borosilicate bioactive glasses exhibit excellent bioactivity and degradation properties; however, they suffer from the rapid release of bioactive elements at the initial stage of their degradation. Excessive local concentrations (such as those of B) can affect cell proliferation. Moreover, the degradation and mineralization ability of these glasses deteriorate at the later stages. Aiming to balance the release of bioactive elements during the whole process, herein, a borosilicate bioactive glass 18SiO2–6Na2O–8K2O–8MgO–22CaO–2P2O5–36B2O3 (mol%) was prepared using the melting method. Further, the effects of microcrystallization on the release of bioactive elements and in vitro degradation were studied. Results show that after heat treatment at temperatures over 620 °C, multiple microcrystalline phases, including Ca2SiO4, CaB2O4, and CaMgB2O5, form in the glass. The glass samples heat-treated within the range of 620–640 °C undergo appropriate devitrification degrees, decelerating the rate of pH increase of the immersion solution during the initial stage in comparison to those treated at lower temperatures. This results in a more continuous release of all bioactive elements and allows better control of the overall degradation. Contrarily, the more extensive devitrification degrees of glass samples heat-treated at higher temperatures reverse the pH increase and degradation trends. Since bone marrow mesenchymal stem cells and mouse embryonic osteoblast cells are pH-sensitive, inducing a suitable degree of devitrification proved to favor cell viability and enhance the mineralization capacity. Thus, different microcrystallization degrees provide new approaches for controlling the degradation and release of bioactive elements, resulting in the simultaneous enhancement of biosafety and bioactivity. Full article
(This article belongs to the Section Biomaterials)
Show Figures

Figure 1

11 pages, 1422 KB  
Article
Bioefficacy of Lecanoric Acid Produced by Parmotrema austrosinense (Zahlbr.) Hale against Tea Fungal Pathogens
by Kalidoss Rajendran, Ponnusamy Ponmurugan, Balasubramanian Mythili Gnanamangai, Ponmurugan Karuppiah, Mohammed Rafi Shaik, Mujeeb Khan, Merajuddin Khan and Baji Shaik
Horticulturae 2023, 9(6), 705; https://doi.org/10.3390/horticulturae9060705 - 16 Jun 2023
Cited by 7 | Viewed by 3479
Abstract
Lichens are symbiotic organisms that are composed of fungal partners and photosynthetic algal partners. During the symbiotic process in lichen thallus, the fungus synthesizes certain secondary metabolites in which lecanoric acid is very important in terms of antibiotic properties. Considering the vital importance [...] Read more.
Lichens are symbiotic organisms that are composed of fungal partners and photosynthetic algal partners. During the symbiotic process in lichen thallus, the fungus synthesizes certain secondary metabolites in which lecanoric acid is very important in terms of antibiotic properties. Considering the vital importance of lecanoric acid, the present study aimed to produce lecanoric acid from the thallus of Parmotrema austrosinense lichen using Modified Bold’s basal salt medium and evaluate the bio-efficacy against tea fungal pathogens. Lecanoric acid was purified and confirmed by micro-crystallization method and subsequently bioassayed against tea fungal pathogens. The results revealed that lecanoric acid registered a significant antifungal activity in terms of the growth inhibition of test pathogens. Companion systemic and botanical fungicides were found to be inferior to lecanoric acid in the percentage of growth inhibition. The inhibition rate varied among tea pathogens. Of the tea pathogens tested, tea leaf disease-causing pathogens including Cercospora theae (C. theae), Glomerella cingulata (G. cingulate), and Phomopsis theae (P. theae) showed the highest percentage of growth inhibition followed by stem and root rot diseases. The present study suggests that lecanoric acid showed an inhibitory effect against tea pathogens, which might be due to antibiotic properties and fungicidal action of lecanoric acid. Full article
(This article belongs to the Special Issue Mycorrhizal Roles in Horticultural Plants)
Show Figures

Figure 1

11 pages, 2893 KB  
Article
Effect of Pulse Repetition Rate on Ultrafast Laser-Induced Modification of Sodium Germanate Glass
by Sergey V. Lotarev, Sergey S. Fedotov, Alyona I. Pomigueva, Alexey S. Lipatiev and Vladimir N. Sigaev
Nanomaterials 2023, 13(7), 1208; https://doi.org/10.3390/nano13071208 - 29 Mar 2023
Cited by 1 | Viewed by 2468
Abstract
We report an unexpected pulse repetition rate effect on ultrafast-laser modification of sodium germanate glass with the composition 22Na2O 78GeO2. While at a lower pulse repetition rate (~≤250 kHz), the inscription of nanogratings possessing form birefringence is observed under [...] Read more.
We report an unexpected pulse repetition rate effect on ultrafast-laser modification of sodium germanate glass with the composition 22Na2O 78GeO2. While at a lower pulse repetition rate (~≤250 kHz), the inscription of nanogratings possessing form birefringence is observed under series of 105–106 pulses, a higher pulse repetition rate launches peripheral microcrystallization with precipitation of the Na2Ge4O9 phase around the laser-exposed area due to the thermal effect of femtosecond pulses via cumulative heating. Depending on the pulse energy, the repetition rate ranges corresponding to nanograting formation and microcrystallization can overlap or be separated from each other. Regardless of crystallization, the unusual growth of optical retardance in the nanogratings with the pulse repetition rate starting from a certain threshold has been revealed instead of a gradual decrease in retardance with the pulse repetition rate earlier reported for some other glasses. The repetition rate threshold of the retardance growth is shown to be inversely related to the pulse energy and to vary from ~70 to 200 kHz in the studied energy range. This effect can be presumably assigned to the chemical composition shift due to the thermal diffusion of sodium cations occurring at higher pulse repetition rates when the thermal effect of the ultrashort laser pulses becomes noticeable. Full article
(This article belongs to the Special Issue Nanophotonics Enabled by Femtosecond Lasers)
Show Figures

Figure 1

16 pages, 5385 KB  
Article
Effect of High-Temperature-Assisted Ultrasonic Deep Rolling on Microstructure and Tribological Properties of Ni-WC Coatings
by Jun Zhang, Yuncai Zhao, Yang He, Cheng Meng, Xinyu Zhang and Shilei Zhang
Coatings 2023, 13(3), 499; https://doi.org/10.3390/coatings13030499 - 24 Feb 2023
Cited by 1 | Viewed by 2092
Abstract
Cermet coatings are post-treated by a new surface microcrystallization technology, namely high-temperature-assisted ultrasonic deep rolling (HT + UDR). The process parameters of ultrasonic deep rolling significantly affect the microstructure and tribological properties of the Ni-WC coatings. In this paper, the samples were treated [...] Read more.
Cermet coatings are post-treated by a new surface microcrystallization technology, namely high-temperature-assisted ultrasonic deep rolling (HT + UDR). The process parameters of ultrasonic deep rolling significantly affect the microstructure and tribological properties of the Ni-WC coatings. In this paper, the samples were treated with different preloading depths (0.20 mm, 0.25 mm, and 0.30 mm), and the microstructure and properties of the coatings were characterized by SEM, EDS, X-ray stress analysis, and micro-Vickers hardness testing. An MMW-1A-type friction and wear tester was used for the dry friction and wear test at room temperature, respectively. Compared with the untreated sample, plastic rheology occurred on the surface of the coatings after HT + UDR, showing a phenomenon of “cutting peaks and filling valleys”. In the treated coatings, visible cracks were eliminated, and the inside of the coating was denser. The surface hard phase was increased as a “skeleton” and embedded with the soft phase, which played a role in strong and tough bonding. After HT + UDR + 0.25 mm treatment, the surface roughness increased by 68%, the microhardness of the surface layer reached a maximum of 726.3 HV0.1, and the residual tensile stress changed from 165.5 MPa to −337.9 MPa, which inhibited the germination and propagation of cracks. HT + UDR improved the wear resistance of the coating in many aspects. The coating after the 0.25 mm preloading depth treatment possessed the smallest friction coefficient and the lowest wear amount, which is 0.04 and 4.5 mg, respectively. The wear form was abrasive wear, and the comprehensive tribological performance is the best. Full article
(This article belongs to the Special Issue Laser-Assisted Coating Techniques and Surface Modifications)
Show Figures

Figure 1

14 pages, 2224 KB  
Article
Microcrystallization Effects Induced by Laser Annealing in Cr-Al-C Ion-Beam-Sputtered Films
by Ovidiu Crisan and Alina Daniela Crisan
Nanomaterials 2022, 12(23), 4136; https://doi.org/10.3390/nano12234136 - 23 Nov 2022
Cited by 1 | Viewed by 2263
Abstract
The microcrystallization effects induced by the real-time laser annealing in Cr-Al-C ion-sputtered films with an off-stoichiometric composition are studied. The laser annealing has been performed during Raman experiments with tunable laser power densities. Morphostructural changes induced during laser annealing were investigated by scanning [...] Read more.
The microcrystallization effects induced by the real-time laser annealing in Cr-Al-C ion-sputtered films with an off-stoichiometric composition are studied. The laser annealing has been performed during Raman experiments with tunable laser power densities. Morphostructural changes induced during laser annealing were investigated by scanning electron microscopy. It has been proven that real-time laser annealing in the high-laser-power-density mode promotes quite clearly the formation of nanograins through surface microcrystallization. Detailed Raman analysis allowed for the observation of the optical modes that unequivocally identifies the low-symmetry 211 MAX phase in both low- and high-power-density modes. Such findings confirming the microcrystallization as well as the stabilization of the grain boundaries by carbon nanoclustering are confirmed by X-ray diffraction results, where the single-phase hexagonal 211 was unequivocally proven to form in the high-laser-power-density mode. The microcrystallization via laser annealing was also found to be beneficial for the elastic behavior, as the hardness values between 16 and 26 GPa were found after laser annealing, accompanied by a significantly high Young’s bulk modulus. Such large values, larger than those in bulk compounds, are explicable by the nanometric grain sizes accompanied by the increase of the grain boundary regions. Full article
(This article belongs to the Special Issue Novel RE-free Nanocomposite Magnets)
Show Figures

Figure 1

20 pages, 7276 KB  
Review
Thin Films and Glass–Ceramic Composites of Huntite Borates Family: A Brief Review
by Elena A. Volkova, Daniil A. Naprasnikov and Nikolay I. Leonyuk
Crystals 2020, 10(6), 487; https://doi.org/10.3390/cryst10060487 - 6 Jun 2020
Cited by 2 | Viewed by 3237
Abstract
Rare-earth aluminum borates, RAl3(BO3)4 (where R = Y, Pr–Lu), are of great interest because of their attractive multifunctional properties, depending on their structure and composition. The combination of desirable physical and chemical characteristics makes them promising materials for [...] Read more.
Rare-earth aluminum borates, RAl3(BO3)4 (where R = Y, Pr–Lu), are of great interest because of their attractive multifunctional properties, depending on their structure and composition. The combination of desirable physical and chemical characteristics makes them promising materials for lasers and nonlinear optics. Research focusing on RAl3(BO3)4 (RAB) compounds and their solids solutions has continued for more than five decades and has been reflected in numerous articles and several reviews. The last decade’s enhanced interest is being conducted towards epitaxial layers because of the availability of other possible applications, for instance, as scintillators, visible emitting phosphors or optical waveguides and waveguide lasers. On the other hand, the tendency of borate melts to form glasses makes them attractive for research of micro-crystallization processes in these systems and can be effortless towards finding relatively inexpensive optical glass–ceramic materials with similar composition as alternative components to laser systems. This article reviews the recent progress carried out hitherto on epitaxial layers and glass–ceramic composites of huntite-type rare-earth aluminum borates. Full article
(This article belongs to the Special Issue Functional Oxide Based Thin-Film Materials (Volume II))
Show Figures

Figure 1

14 pages, 2652 KB  
Communication
Serial Femtosecond X-Ray Diffraction of HIV-1 Gag MA-IP6 Microcrystals at Ambient Temperature
by Halil I Ciftci, Raymond G Sierra, Chun Hong Yoon, Zhen Su, Hiroshi Tateishi, Ryoko Koga, Koiwai Kotaro, Fumiaki Yumoto, Toshiya Senda, Mengling Liang, Soichi Wakatsuki, Masami Otsuka, Mikako Fujita and Hasan DeMirci
Int. J. Mol. Sci. 2019, 20(7), 1675; https://doi.org/10.3390/ijms20071675 - 3 Apr 2019
Cited by 7 | Viewed by 4983
Abstract
The Human immunodeficiency virus-1 (HIV-1) matrix (MA) domain is involved in the highly regulated assembly process of the virus particles that occur at the host cell’s plasma membrane. High-resolution structures of the MA domain determined using cryo X-ray crystallography have provided initial insights [...] Read more.
The Human immunodeficiency virus-1 (HIV-1) matrix (MA) domain is involved in the highly regulated assembly process of the virus particles that occur at the host cell’s plasma membrane. High-resolution structures of the MA domain determined using cryo X-ray crystallography have provided initial insights into the possible steps in the viral assembly process. However, these structural studies have relied on large and frozen crystals in order to reduce radiation damage caused by the intense X-rays. Here, we report the first X-ray free-electron laser (XFEL) study of the HIV-1 MA domain’s interaction with inositol hexaphosphate (IP6), a phospholipid headgroup mimic. We also describe the purification, characterization and microcrystallization of two MA crystal forms obtained in the presence of IP6. In addition, we describe the capabilities of serial femtosecond X-ray crystallography (SFX) using an XFEL to elucidate the diffraction data of MA-IP6 complex microcrystals in liquid suspension at ambient temperature. Two different microcrystal forms of the MA-IP6 complex both diffracted to beyond 3.5 Å resolution, demonstrating the feasibility of using SFX to study the complexes of MA domain of HIV-1 Gag polyprotein with IP6 at near-physiological temperatures. Further optimization of the experimental and data analysis procedures will lead to better understanding of the MA domain of HIV-1 Gag and IP6 interaction at high resolution and will provide basis for optimization of the lead compounds for efficient inhibition of the Gag protein recruitment to the plasma membrane prior to virion formation. Full article
Show Figures

Graphical abstract

16 pages, 5259 KB  
Article
Enhanced Phosphorus Release from Phosphate Rock Activated with Lignite by Mechanical Microcrystallization: Effects of Several Typical Grinding Parameters
by Xian-mei Zhang, Yi Li, Cheng Hu, Zhen-quan He, Ming-xing Wen, Guo-sheng Gai, Zhao-hui Huang, Yu-fen Yang, Xiang-Yang Hao and Xiao-yan Li
Sustainability 2019, 11(4), 1068; https://doi.org/10.3390/su11041068 - 18 Feb 2019
Cited by 8 | Viewed by 4132
Abstract
Recently, microcrystallization technology has gained much interest because of the enhanced dissolution of the target sample and promotion of the sustainable development of agriculture. Phosphorus (P) is one of the most important nutrients for increasing crop yield; the increase in effective P ratio [...] Read more.
Recently, microcrystallization technology has gained much interest because of the enhanced dissolution of the target sample and promotion of the sustainable development of agriculture. Phosphorus (P) is one of the most important nutrients for increasing crop yield; the increase in effective P ratio directly from raw phosphate rock (PR) powder by mechanical grinding to increase its microcrystallinity is believed to be the best choice for this purpose. This study reports the improvement in the activation property of PR powder with different lignite ratios (1%, 2%, 3%, and 5%), particularly the relationship between particle-size distribution, specific surface area, granule morphology, and the citric acid-soluble P. It was found that a 3% lignite addition was the optimal treatment for increasing the release of citric acid-soluble P. The maximum total amount of dry matter from rapeseed cultivation and the available P after the test increased by 56.1% and 89.6%, respectively, with direct use of PR and microcrystallized PR powder (PR2), compared with the control test without any addition of phosphate minerals. Full article
Show Figures

Figure 1

Back to TopTop