Sign in to use this feature.

Years

Between: -

Subjects

remove_circle_outline
remove_circle_outline
remove_circle_outline
remove_circle_outline
remove_circle_outline
remove_circle_outline
remove_circle_outline
remove_circle_outline
remove_circle_outline

Journals

remove_circle_outline
remove_circle_outline
remove_circle_outline
remove_circle_outline
remove_circle_outline
remove_circle_outline
remove_circle_outline
remove_circle_outline
remove_circle_outline

Article Types

Countries / Regions

remove_circle_outline
remove_circle_outline
remove_circle_outline
remove_circle_outline
remove_circle_outline
remove_circle_outline

Search Results (882)

Search Parameters:
Keywords = microclimate effects

Order results
Result details
Results per page
Select all
Export citation of selected articles as:
24 pages, 7567 KB  
Review
Research on the Impact of Biodiversity in Tea Plantations on Tea Quality
by Qi Wu, Tiantian Wang, Jimei Cui, Yutong Wang, Lin Zhao, Yangnan Zhao, Xi Wu, Jiaqi Wang and Zhenyu Yun
Diversity 2026, 18(3), 155; https://doi.org/10.3390/d18030155 - 3 Mar 2026
Abstract
Tea plantation ecosystems, as typical human–natural integrated systems, rely on biodiversity to sustain yield, quality, and ecological sustainability. With the global popularization of ecological agriculture concepts, eco-oriented tea production has emerged as a core development direction for the tea industry. However, a systematic [...] Read more.
Tea plantation ecosystems, as typical human–natural integrated systems, rely on biodiversity to sustain yield, quality, and ecological sustainability. With the global popularization of ecological agriculture concepts, eco-oriented tea production has emerged as a core development direction for the tea industry. However, a systematic elucidation of the mechanisms by which tea plantation biodiversity modulates tea quality, alongside standardized assessment methodologies for this biodiversity, remains inadequate. This paper comprehensively synthesizes how genetic, species, and ecosystem diversity regulate the accumulation of tea polyphenols, amino acids, and aromatic compounds—key determinants of tea quality. It evaluates mainstream assessment frameworks and identifies DPSIR (Driving Forces-Pressure-State-Impact-Response) as the most comprehensive and practical option. This paper further dissects the impacts of genetic, ecosystem, and species diversity (the three core dimensions of tea garden biodiversity) on tea quality formation. Genetic diversity shapes metabolic traits; ecosystem diversity modulates secondary metabolism via microclimate and soil; and species diversity (plants, animals, microbes) exerts synergistic effects on nutrient cycling and pest control. All these collectively improve tea sensory quality, safety, and stability. Future research should focus on plant–microbe interactions, quantitative biodiversity–quality models, and precision ecological management, laying a theoretical foundation for sustainable, high-quality tea production. Full article
(This article belongs to the Section Plant Diversity)
Show Figures

Figure 1

26 pages, 3824 KB  
Article
Ecological Impacts of Photovoltaic Infrastructure Construction on Coastal Salt Pan Ecosystems: A Case Study of Microbial Communities in the Tianjin’s “Salt–Solar–Fishery Synergy” System
by Haoran Ma, Yuqing Wang, Xinlu Zhang, Yong Dou, Xingliang Xu, Wenli Zhou and Hao Wu
Diversity 2026, 18(3), 153; https://doi.org/10.3390/d18030153 - 2 Mar 2026
Viewed by 28
Abstract
Against the backdrop of advancing the “dual carbon” goals (carbon peaking and carbon neutrality), the “fishery–photovoltaic complementary” model—integrating solar power generation with salt pan production—has been widely adopted in Tianjin. However, large-scale photovoltaic (PV) facility construction exerts complex impacts onsalt panns, a wetland [...] Read more.
Against the backdrop of advancing the “dual carbon” goals (carbon peaking and carbon neutrality), the “fishery–photovoltaic complementary” model—integrating solar power generation with salt pan production—has been widely adopted in Tianjin. However, large-scale photovoltaic (PV) facility construction exerts complex impacts onsalt panns, a wetland ecosystem of unique ecological value, by blocking sunlight, altering local microclimates, and regulating water evaporation. Currently, systematic field studies on the comprehensive effects of PV facilities onsalt pans ecosystems remain scarce, particularly those focusing on impacts on primary producers and key environmental factors. Pond sediments harbor the densest and most diverse aquatic microbial communities. In this study, sediment samples were collected from four typical ponds in Tianjin’salt panan region in April, July, and September 2024. Post sample processing, multiple statistical analyses were conducted, including alpha diversity indexing, species abundance clustering, and beta diversity analysis (non-metric multidimensional scaling, NMDS). The results showed the following: (1) Microbial communities existed in both PV-equipped and non-PV areas, indicating no significant correlation between PV presence and alpha diversity indices. (2) Species and genus compositions aggregated in PV-equipped areas with generally consistent community structures, whereas they displayed high dispersion in non-PV areas. This regulatory effect of PV facilities was relatively stable, with deviations only at a few sampling sites, confirming that PV presence significantly affects community composition patterns at both species and genus levels. (3) Cluster heatmap analysis revealed distinct seasonal variations in clustering relationships between sampling stations and microbial genera. Among dominant genera, only Desulfotignum was unaffected by PV facilities or seasonal changes, while the distribution of other dominant genera was significantly influenced by PV construction. Full article
(This article belongs to the Section Marine Diversity)
Show Figures

Figure 1

34 pages, 8190 KB  
Article
Real-Time Remote Monitoring of Environmental Conditions and Actuator Status in Smart Greenhouses Using a Smartphone Application
by Emmanuel Bicamumakuba, Md Nasim Reza, Hongbin Jin, Samuzzaman, Hyeunseok Choi and Sun-Ok Chung
Sensors 2026, 26(5), 1548; https://doi.org/10.3390/s26051548 - 1 Mar 2026
Viewed by 149
Abstract
Advancement of precision agriculture increasingly relies on cost-effective and scalable technologies for real-time environmental management, particularly in greenhouse environments where vertical and spatial microclimate heterogeneity influences crop performance. This study presents the design, implementation, and experimental validation of an Android-based smartphone application edge [...] Read more.
Advancement of precision agriculture increasingly relies on cost-effective and scalable technologies for real-time environmental management, particularly in greenhouse environments where vertical and spatial microclimate heterogeneity influences crop performance. This study presents the design, implementation, and experimental validation of an Android-based smartphone application edge supervisory monitoring system integrated with multi-layer wireless sensing and control nodes for real-time monitoring in a smart greenhouse. The system combined multi-layer wireless sensor nodes, wireless control nodes, a Long-Range Wide Area Network (LoRaWAN) gateway, Message Queuing Telemetry Transport (MQTT) communication, and a cloud-synchronized smartphone-based supervisory interface for visualizing environmental data, detecting defined abnormal events, and controlling actuators remotely. For feasibility tests, 54 sensing nodes and 12 actuator nodes were deployed across three vertical layers in two sections, measuring temperature, humidity, CO2 concentration, and light intensity. Abnormality was defined as environmental threshold violations, statistical signal deviations, actuator power inconsistencies, and communication timeout events. Experimental results revealed vertical and spatial environmental variability across greenhouse sections, while real-time time-series and 3D spatial maps enabled the rapid detection of abnormal conditions. The rule-based abnormality detection engine identified out-of-range environmental values and sensor-related inconsistencies and generated immediate notifications. Smartphone profiling revealed that display and system-level processes accounted for energy consumption, with battery power reaching a peak of 3.5 W and application CPU utilization ranging from 40% to 70% during active monitoring. The results demonstrate system-level feasibility, responsiveness, and scalability under commercial greenhouse workloads, supporting future integration of predictive control and energy-efficient operation. Full article
(This article belongs to the Special Issue Smartphone Sensors and Their Applications)
Show Figures

Figure 1

26 pages, 6279 KB  
Article
Seasonal Interaction Effects of Microclimate and Built Environment on Elderly Outdoor Activities: A Case Study in Xi’an, China
by Shiliang Wang, Chenglin Wang, Qiang Liu, Sitong Zhang, Yuhao Xu and Yunqin Xia
Buildings 2026, 16(5), 936; https://doi.org/10.3390/buildings16050936 (registering DOI) - 27 Feb 2026
Viewed by 158
Abstract
Microclimate and built environment jointly influence outdoor activities among the elderly. However, existing studies largely focus on a single season or environmental factor, lacking a comprehensive analysis of seasonal variation and multi-factor coupling effects. This paper investigates the seasonal interaction effects of microclimate [...] Read more.
Microclimate and built environment jointly influence outdoor activities among the elderly. However, existing studies largely focus on a single season or environmental factor, lacking a comprehensive analysis of seasonal variation and multi-factor coupling effects. This paper investigates the seasonal interaction effects of microclimate and built environment on elderly outdoor activities, with implications for elderly-friendly urban design. Using a typical residential neighbourhood in Xi’an as a case, we constructed a multi-source spatio-temporal dataset through high-density microclimate monitoring in winter and summer, fine-grained POI mapping, and computer-vision-based behavioural annotation. Generalised Additive Models (GAM) and SHAP analysis were employed for modelling and mechanism exploration. The results show that: (1) Elderly activity patterns exhibit a fundamental seasonal reversal—characterised as “sun-seeking and wind-avoiding” in winter and “shade-seeking and wind-pursuing” in summer; (2) Environmental factors exhibit marked nonlinear and threshold-dependent influences that vary by season; (3) Microclimate and built environment elements demonstrate synergistic interaction effects, especially pronounced in summer. Quantitatively, GAM and SHAP analyses indicate that the “effective service radius” of Elderly-Friendly POIs (defined as the threshold where positive influence approaches zero) contracted from approximately 45–50 m in winter to 35–40 m in summer, while their peak promotional effect occurred at 20–25 m. Positive POIs exhibited a significantly shorter influence range, and Negative POIs demonstrated negligible distance-dependent effects. This study confirms a “seasonal dynamic interaction” mechanism and proposes the adaptive design strategy of “sunlight and wind-shelter pockets—shade and ventilation corridors,” offering empirical and methodological support for climate-responsive elderly-friendly community planning. Full article
(This article belongs to the Special Issue Advances in Green Building and Environmental Comfort)
Show Figures

Figure 1

21 pages, 18934 KB  
Article
The Severity Pattern of Powdery Mildew Under Rain-Sheltered Cultivation and the Screening of Highly Effective Bio-Based Pesticides
by Yuanbo Zhang, Zhiyuan Zhang, Langjie Wu, Yuxuan Yin, Zhumei Xi and Xianhang Wang
Horticulturae 2026, 12(3), 275; https://doi.org/10.3390/horticulturae12030275 - 26 Feb 2026
Viewed by 82
Abstract
Frequent rainfall during the ripening season in Shaanxi’s grape-growing regions increases the incidence of downy mildew and black rot. In recent years, rain-shelter cultivation has reduced the incidence of these diseases; however, it has been associated with frequent powdery mildew outbreaks that severely [...] Read more.
Frequent rainfall during the ripening season in Shaanxi’s grape-growing regions increases the incidence of downy mildew and black rot. In recent years, rain-shelter cultivation has reduced the incidence of these diseases; however, it has been associated with frequent powdery mildew outbreaks that severely compromise fruit quality and yield. To mitigate powdery mildew under rain-shelter conditions, we characterized disease dynamics and evaluated “bio-based” or “microbial-derived” pesticide control strategies. A large number of studies have shown that rain shelter cultivation can significantly change the microclimate. This study found that changes in microclimate affect the incidence pattern of powdery mildew, and there are significant differences in the resistance of different grape varieties to powdery mildew. A prediction model based on microclimate showed that 15-day accumulated growing degree days (GDD15; base 10 °C) before disease onset were positively correlated with the disease index (r = 0.860), whereas relative humidity was negatively correlated (r = −0.637); a multiple regression including both variables explained 81.4% of the variance. In biopesticide screening, blasticidin S and polyoxin inhibited spore germination by >95%. In-shelter efficacy varied among cultivars, and biopesticide effects on fruit quality were also cultivar dependent. For example, blasticidin S increased total phenol and anthocyanin contents in Cabernet Sauvignon but reduced phenolic accumulation in Chardonnay. Full article
(This article belongs to the Section Plant Pathology and Disease Management (PPDM))
Show Figures

Figure 1

26 pages, 4518 KB  
Article
Integrating Soft Landscape Strategies for Enhancing Residential Thermal Comfort: A Sustainability-Oriented Decision-Support Framework for Hot–Humid Climates
by Tareq Ibrahim Alrawaf
Sustainability 2026, 18(5), 2245; https://doi.org/10.3390/su18052245 - 26 Feb 2026
Viewed by 116
Abstract
Thermal stress in hot–humid urban environments constitutes a persistent sustainability challenge, driven by the interaction of extreme temperatures, high atmospheric moisture, and heat-retaining urban surfaces, which collectively intensify outdoor discomfort and increase cooling-energy demand. Within this context, soft landscape systems have gained recognition [...] Read more.
Thermal stress in hot–humid urban environments constitutes a persistent sustainability challenge, driven by the interaction of extreme temperatures, high atmospheric moisture, and heat-retaining urban surfaces, which collectively intensify outdoor discomfort and increase cooling-energy demand. Within this context, soft landscape systems have gained recognition as nature-based solutions capable of moderating microclimates and enhancing residential livability; however, their systematic prioritization based on integrated sustainability performance remains insufficiently addressed, particularly in Gulf-region residential developments. This study proposes a sustainability-oriented decision-support framework that evaluates and prioritizes soft landscape strategies for thermal comfort enhancement using the Analytic Hierarchy Process (AHP) as the core analytical method. Expert judgments were elicited and structured across five sustainability-driven criteria—shading effectiveness, evapotranspiration potential, airflow facilitation, aesthetic–psychological comfort, and implementation and maintenance cost—and applied to five soft landscape alternatives. To verify the physical plausibility of the expert-derived prioritization, microclimate simulations were conducted using ENVI-met under extreme summer conditions, representing the hottest day of the year, at key diurnal intervals. The results reveal a clear dominance of shading-based mechanisms, with tree canopy systems emerging as the most effective and sustainable intervention due to their superior radiative control, ecological cooling capacity, and perceptual benefits. Simulation outputs confirm that canopy-driven strategies achieve the most substantial reductions in mean radiant temperature during peak thermal stress, while surface-based interventions provide secondary benefits primarily related to diurnal heat dissipation. At peak thermal stress (14:00), Scenario 2 reduced mean radiant temperature (MRT) from 71.69 °C to 54.23 °C (≈24% reduction) and PMV from 7.33 to 5.70 (≈22% reduction) relative to existing conditions. By integrating expert-based multi-criteria evaluation with simulation-based thermal verification, the study advances a robust and transferable framework for climate-responsive residential landscape planning. The findings reposition soft landscape systems as essential climatic infrastructure, offering actionable guidance for enhancing thermal resilience, reducing cooling-energy dependence, and supporting sustainable residential development in hot–humid regions. Full article
Show Figures

Figure 1

20 pages, 2137 KB  
Article
Comparing Microclimate Conditions Induced by Semi-Transparent and Conventional Agrivoltaic Systems and Their Effects on Arugula Response (Eruca vesicaria) in Southern Italy
by Hiba Chebli, Giovanna Dragonetti and Abdelouahid Fouial
Resources 2026, 15(2), 33; https://doi.org/10.3390/resources15020033 - 23 Feb 2026
Viewed by 270
Abstract
Agrivoltaic Systems (AV) constitute a viable alternative to mitigate land-use competition by enabling the simultaneous production of agricultural crops and solar photovoltaic energy. However, the heterogeneous shading and microclimatic modifications induced by AV systems can alter solar radiation, crop physiological performance, and, consequently, [...] Read more.
Agrivoltaic Systems (AV) constitute a viable alternative to mitigate land-use competition by enabling the simultaneous production of agricultural crops and solar photovoltaic energy. However, the heterogeneous shading and microclimatic modifications induced by AV systems can alter solar radiation, crop physiological performance, and, consequently, its biomass. This study evaluated the effects of two static ground-mounted AV systems—semi-transparent (ST) and conventional opaque (CON) panels—on the growth, physiology, soil water variations, and yield of Arugula (Eruca vesicaria) cultivated in southern Italy from August to October 2022; compared with an open-field control (REF). Daily soil temperature and water content were monitored, alongside leaf-level gas exchange measurements at three vegetative stages. Global solar radiation was reduced by 70% under ST and 80% under CON, reducing Photosynthetically Active Radiation (PAR), transpiration, and net photosynthesis, while leaf water use efficiency remained comparable to REF. Sequential harvests showed that although yields were consistently highest in REF, ST 50% and CON 50% exhibited partial recovery in fresh and dry biomass by the third cutting, reflecting the mitigating effect of seasonal temperature declines on shading. Notably, soil water uniformity improved under AV systems, reaching 90% under ST and 94% under CON compared with 85% in REF, due to reduced evaporative losses and enhanced lateral soil water redistribution. Overall, while AV-induced shading limits radiation and yield in short-cycle leafy arugula, microclimate modulation under AV systems can enhance soil water distribution and partially buffer growth under less favorable seasonal conditions. These findings highlight the trade-offs between crop productivity and resource-use efficiency in AV systems and emphasize the importance of tailoring their design to crop type and local climatic conditions, providing valuable guidance for future experimental research and for policymakers aiming to support sustainable agrivoltaic deployment. Full article
Show Figures

Figure 1

28 pages, 21191 KB  
Article
Parameterization of Sports Playground Experiments Applying a Hybrid Method to Analyze Microclimate and Outdoor Thermal Comfort
by Jing Xiao and Ruixuan Li
Sustainability 2026, 18(4), 2104; https://doi.org/10.3390/su18042104 - 20 Feb 2026
Viewed by 186
Abstract
Parametric simulation is an effective engineering tool for addressing sustainability challenges, yet small-scale thermal comfort assessment remains limited by plugin-hybridizing complexities and workflow inefficiencies. To address these limitations, here we propose a novel comparative workflow that integrates Lands Design and Dragonfly with the [...] Read more.
Parametric simulation is an effective engineering tool for addressing sustainability challenges, yet small-scale thermal comfort assessment remains limited by plugin-hybridizing complexities and workflow inefficiencies. To address these limitations, here we propose a novel comparative workflow that integrates Lands Design and Dragonfly with the assistance of Ladybug-only (LB) and Honeybee (LB&HB) in the Grasshopper model to predict the Universal Thermal Climate Index (UTCI) as the primary indicator. A playground was selected as a sample site to provide a comprehensive training dataset for the extremely hot summer period. Sensitivity analysis was conducted to assess the impact of input uncertainties on model predictions, and the simulation model’s performance was validated against urban–rural microclimate parameters and the calculated UTCI. Among the microclimate results tested, the wind speed and air temperature predictions achieved the highest accuracy (STDE: 0.10 m/s, 0.20 °C). The UTCI simulation of the LB workflow exhibited a strong correlation between calculated UTCI values (R2 = 0.90; p = 0.03). Moreover, the agreement between the LB and LB&HB workflows was strong, with simulated UTCI showing good consistency (R2 = 0.70–0.80; r = 0.85–0.88). This framework successfully enables real-time UTCI heatmap analysis in simplified cubic neighborhoods. Additionally, it improves the temporal and spatial resolution of thermal predictions, providing designers with critical insights into the algorithms implemented in new workflows to facilitate urban simulation and parametric sustainability. Full article
(This article belongs to the Section Air, Climate Change and Sustainability)
Show Figures

Figure 1

28 pages, 4477 KB  
Article
Automated Microclimate Model Generation from Remote Sensing Data
by Max Spett, Kevin Lau and Agatino Rizzo
Land 2026, 15(2), 329; https://doi.org/10.3390/land15020329 - 14 Feb 2026
Viewed by 261
Abstract
The ongoing climate crisis has highlighted the need for sustainability and resilience in the development and maintenance of urban areas regarding climate comfort. Weather simulation tools can aid researchers in understanding the effects that weather has on the microclimate in urban areas. While [...] Read more.
The ongoing climate crisis has highlighted the need for sustainability and resilience in the development and maintenance of urban areas regarding climate comfort. Weather simulation tools can aid researchers in understanding the effects that weather has on the microclimate in urban areas. While simulations are handled autonomously by computers once set up, the creation of the requisite input urban models is still a highly manual process. In this study, a novel method for the automated generation of urban models using land and cadastral remote sensing data is presented. By analyzing grass, trees, buildings, and roads algorithmically, data can be extracted and configured into spatial models compatible with microclimate simulation software such as ENVI-Met. Comparison to a baseline model shows that our method enables the creation of models fit for use for exploring microclimate scenarios in the urban environment, saving time by eliminating the need for manual processing. Full article
(This article belongs to the Special Issue Big Data in Urban Land Use Planning)
Show Figures

Figure 1

18 pages, 1799 KB  
Article
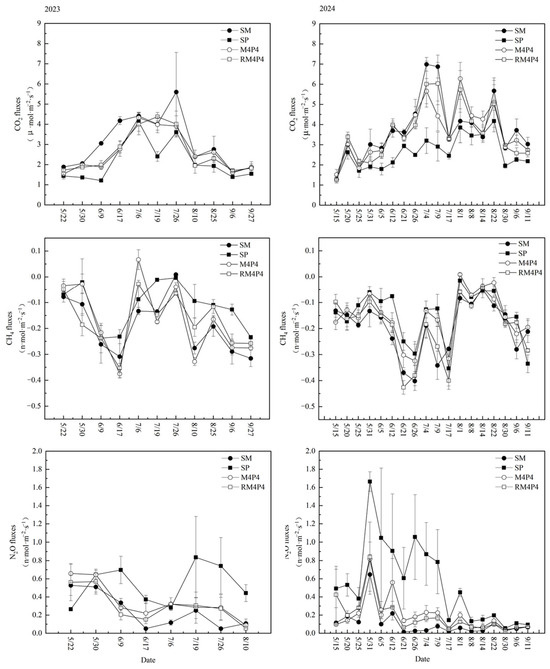
Greenhouse Gas Emissions in Maize/Peanut Intercropping Under Water-Limited Semi-Arid Growing Conditions
by Wuyan Xiang, Chen Feng, Liangshan Feng, Wei Bai, Yue Zhang, Wenbo Song, Liwei Wang, Juanling Wang and Zhanxiang Sun
Agronomy 2026, 16(4), 455; https://doi.org/10.3390/agronomy16040455 - 14 Feb 2026
Viewed by 279
Abstract
Maize/peanut intercropping is increasingly promoted as a climate-smart strategy for enhancing resource use efficiency and reducing environmental impacts in dryland cropping systems. However, its effects on multi-gas greenhouse emissions and yield-scaled climate performance remain insufficiently understood in semi-arid regions with sandy soil. Here, [...] Read more.
Maize/peanut intercropping is increasingly promoted as a climate-smart strategy for enhancing resource use efficiency and reducing environmental impacts in dryland cropping systems. However, its effects on multi-gas greenhouse emissions and yield-scaled climate performance remain insufficiently understood in semi-arid regions with sandy soil. Here, a two-year field experiment was conducted in western Liaoning, Northeast China, to quantify soil CO2, CH4, and N2O fluxes, cumulative emissions, crop yield, global warming potential (GWP), and greenhouse gas intensity (GHGI) under sole maize (SM), sole peanut (SP), and two maize/peanut intercropping systems. SM produced the highest cumulative CO2 emissions, whereas SP generated the highest CH4 uptake and the highest N2O emissions. Compared with peanut monoculture, maize/peanut intercropping significantly reduced soil N2O emissions, indicating that the introduction of maize in the intercropping system provided an effective regulatory pathway for reducing N2O emissions. Peanut yields declined by approximately 47.29–49.41%, leading to total land equivalent ratio (LER) values of 0.83–0.99. Although no significant land use advantage was observed for maize/peanut intercropping at the field scale, when crop yields were taken into account for assessment, the global warming potential (GWP) and greenhouse gas emission intensity (GHGI) were lower than those of monoculture uniformity. CO2, CH4 and N2O fluxes were strongly correlated with soil temperature and moisture, underscoring the dominant role of microclimate rather than soil structure in regulating greenhouse gas (GHG) fluxes in monoculture, while in the intercropping system, the microclimate and the soil stucture together regulate the GHG fluxes. Overall, maize/peanut intercropping has the potential of reducing the climate cost per unit of production and represents a promising strategy for enhancing GHG mitigation potential in semi-arid agroecosystems. Full article
Show Figures

Figure 1

25 pages, 2761 KB  
Article
Uncertainty-Aware Agent-Based Modeling of Building Multi-Energy Demand with Integrated Flexibility Assessment
by Yu Wang, Junzhi Yu and Di Chen
Electronics 2026, 15(4), 719; https://doi.org/10.3390/electronics15040719 - 7 Feb 2026
Viewed by 191
Abstract
As modern power systems increasingly depend on demand-side flexibility, accurately modeling building multi-energy demand under uncertainty has become essential for achieving reliable and flexible grid operation. This study proposes an agent-based framework to conduct uncertainty-aware modeling of building multi-energy demand and to assess [...] Read more.
As modern power systems increasingly depend on demand-side flexibility, accurately modeling building multi-energy demand under uncertainty has become essential for achieving reliable and flexible grid operation. This study proposes an agent-based framework to conduct uncertainty-aware modeling of building multi-energy demand and to assess demand-side flexibility under different demand response mechanisms. Firstly, an agent-based modeling framework is established to connect occupant activities, electrical appliance usage, and building thermal dynamics, characterizing the explicit relationship between Markovian behavioral uncertainties and multi-energy demands. Secondly, an integrated thermal load model is constructed based on a resistance–capacitance network, coupled with behavior-driven internal heat gains and building morphology-driven shading and radiative microclimate conditions. Then, the flexibility potential of electrical and thermal loads is quantified at both individual and aggregated scales. Finally, the demand response flexibilities of the multi-energy loads were assessed under price-based self-scheduling and incentive-based centralized optimization scenarios. The results demonstrate that the proposed approach effectively captures behavior-driven uncertainties and their impacts on the temporal pattern and magnitude of building energy demand, as well as on the resulting demand-side flexibility. In addition, the proposed demand response strategies effectively reduce electricity costs and achieve peak shaving and valley filling, while maintaining schedulable flexibility within acceptable operational limits. Full article
(This article belongs to the Special Issue Intelligent Perception and Control for Complex Systems)
Show Figures

Figure 1

13 pages, 1957 KB  
Article
Microclimate Indoor Monitoring for the Preservation of Organic-Based Cultural Heritage
by Marianne Odlyha and Charis Theodorakopoulos
Heritage 2026, 9(2), 64; https://doi.org/10.3390/heritage9020064 - 6 Feb 2026
Viewed by 301
Abstract
This paper examines the use of organic-based materials to monitor levels of corrosivity in indoor microclimate environments, which include proximity to artworks, artworks in display cases, and, in particular, in microclimate frames for paintings. It reviews research conducted within four EU-funded projects: Environmental [...] Read more.
This paper examines the use of organic-based materials to monitor levels of corrosivity in indoor microclimate environments, which include proximity to artworks, artworks in display cases, and, in particular, in microclimate frames for paintings. It reviews research conducted within four EU-funded projects: Environmental Research for Art Preservation (ERA), Microclimate Indoor Monitoring in Cultural Heritage Preservation (MIMIC), Improved Protection of Paintings during Exhibition and Storage (PROPAINT), and Measurement, Effect Assessment, and Mitigation of Pollutant Impact on Movable Cultural Assets—Innovative Research for Market Transfer (MEMORI). The ERA project introduced the use of egg tempera paint dosimeters to assess levels of corrosivity in proximity to artworks. A multi-analytical approach was employed to evaluate chemical changes in the dosimeters, enabling risk assessment, exemplified by samples exposed at Sandham Memorial Chapel, Hampshire, UK. Building on this, in the MIMIC project, coated piezoelectric quartz crystals (egg tempera and resin mastic), a varnish commonly used by artists, were exposed at a number of sites together with the same coatings on steel strips. These were further employed in the PROPAINT project together with some continuous monitoring prototypes to investigate the nature of microclimates both within specially designed mc-paint frames and in the surrounding room environments. This paper presents Fourier Transform Infrared Spectroscopy (FTIR) and Dynamic Mechanical Analysis (DMA) from these exposures, together with environmental data recorded during the monitoring period and information on frame types used. Some correlation was found between FTIR, DMA, and environmental data. The findings reveal that changes in the physico–chemical properties measured by the techniques correlate with the environmental conditions. It also points to the possibility of using FTIR to monitor chemical changes in exposed coated strips. Additional data from the MEMORI project of similar exposures but including dammar and Regalrez 1094 varnish are also presented. Full article
(This article belongs to the Special Issue Microclimate in Heritage)
Show Figures

Figure 1

24 pages, 9345 KB  
Article
Influence of the Use of Double Roof with Increased Ventilation on the Development of Fungal Diseases in a Mediterranean Greenhouse
by María Ángeles Moreno-Teruel, Alejandro López-Martínez, Eugenio Ávalos-Sánchez, Francisco Domingo Molina-Aiz, Diego Luis Valera-Martínez, Kristoff Proost, Frederic Peilleron and Fátima Baptista
Agronomy 2026, 16(3), 399; https://doi.org/10.3390/agronomy16030399 - 6 Feb 2026
Viewed by 251
Abstract
Mediterranean greenhouses commonly rely on passive climate control techniques to reduce dependence on energy-intensive systems. This study was conducted in Almería (Spain) in a multi-span greenhouse divided into two sectors: a West sector equipped with a double-roof system using a pink sunlight spectrum [...] Read more.
Mediterranean greenhouses commonly rely on passive climate control techniques to reduce dependence on energy-intensive systems. This study was conducted in Almería (Spain) in a multi-span greenhouse divided into two sectors: a West sector equipped with a double-roof system using a pink sunlight spectrum photoconverter film combined with an increased natural ventilation surface, and an East control sector with standard ventilation and a calcium carbonate-whitened roof. The effects of this integrated passive climate management configuration on the development of naturally occurring fungal diseases were evaluated in tomato (Solanum lycopersicum L.), pepper (Capsicum annuum L.), and cucumber (Cucumis sativus L.). Powdery mildew (Leveillula taurica) and early blight (Alternaria linariae) were observed in tomato; powdery mildew in pepper; and downy mildew (Pseudoperonospora cubensis), powdery mildew (Podosphaera xanthii), and gummy stem blight (Stagonosporopsis spp.) in cucumber. Across crop cycles, the sector combining double roofing and enhanced ventilation consistently exhibited lower disease severity for powdery mildew, downy mildew, and gummy stem blight compared with the control sector. In contrast, early blight did not show a clear or consistent response to the greenhouse configuration. Overall, the results indicate that the combined use of a double-roof system with a sunlight spectrum photoconverter film and increased natural ventilation can contribute to improved microclimate regulation and reduced fungal disease pressure under Mediterranean greenhouse conditions. This integrated passive approach may therefore represent a useful complementary component of sustainable disease management strategies in protected horticulture. Full article
Show Figures

Figure 1

25 pages, 6991 KB  
Article
A Multi-Aspect Sustainability Analysis (MSA) and Strategic Management Scenarios for Agroforestry in Urban Green Space of Bogor City, Indonesia
by Anita Primasari Mongan, Widiatmaka Widiatmaka, Hadi Susilo Arifin and Bambang Pramudya
Sustainability 2026, 18(3), 1668; https://doi.org/10.3390/su18031668 - 6 Feb 2026
Viewed by 212
Abstract
Urbanization in developing countries has intensified ecological degradation and reduced the availability of Urban Green Spaces (UGS), including in Bogor City, Indonesia, where public UGS covers only 4.26%—far below the national minimum requirement of 20%. Agroforestry is increasingly recognized as a viable strategy [...] Read more.
Urbanization in developing countries has intensified ecological degradation and reduced the availability of Urban Green Spaces (UGS), including in Bogor City, Indonesia, where public UGS covers only 4.26%—far below the national minimum requirement of 20%. Agroforestry is increasingly recognized as a viable strategy to enhance the ecological, economic, and social functions of limited urban green areas. This study assesses the sustainability of agroforestry practices in Bogor City’s public UGS using the Multi-Aspect Sustainability Analysis (MSA) method across five aspects: ecological, economic, social, infrastructure–technology, and legal–institutional. This study is grounded in three principal hypotheses: (i) the implementation of agroforestry exerts a positive effect on ecological, social, and infrastructural–technological sustainability; (ii) economic and legal–institutional dimensions constitute the major limiting factors affecting overall sustainability performance; and (iii) strategic improvements targeting key leverage factors can significantly enhance the composite sustainability index. Primary data were collected through field observations, interviews, and surveys, supplemented by secondary policy and spatial data. Results show an overall sustainability score of 51.84%, categorized as “sustainable”. Ecological (66.71%), social (60.71%), and infrastructural–technological (60.50%) aspects were sustainable, while economic (26.14%) and legal–institutional (45.14%) aspects were less sustainable. Key leverage factors influencing sustainability include microclimate regulation, canopy density, biodiversity, tourism management, consumer dependence on agroforestry products, product quality standardization, availability of processing industries, and the presence of management institutions and SOPs. Scenario analysis demonstrates that targeted improvements in these levers can substantially increase sustainability scores, with optimistic scenarios raising the aggregate index to 78.45%. Strengthening economic value chains, regulatory frameworks, management institutions, and data infrastructure is essential to enhance the adaptive capacity and long-term viability of urban agroforestry in Bogor City. Full article
Show Figures

Figure 1

23 pages, 6630 KB  
Review
Review of the Cumulative Ecological Effects of Utility-Scale Photovoltaic Power Generation
by Bo Yuan, Yuan Li, Jiachao Li, Mengjing Guo, Miaojie Li and Shuguang Xie
Solar 2026, 6(1), 9; https://doi.org/10.3390/solar6010009 - 3 Feb 2026
Viewed by 426
Abstract
CPVG (Utility-scale photovoltaic generation) is expanding rapidly worldwide, yet its cumulative ecological effects remain insufficiently quantified. This review synthesizes current evidence to clarify how CPVG influences ecosystems through linked mechanisms of energy redistribution, biogeochemical cycling disturbance, and ecological responses. CPVG alters surface radiation [...] Read more.
CPVG (Utility-scale photovoltaic generation) is expanding rapidly worldwide, yet its cumulative ecological effects remain insufficiently quantified. This review synthesizes current evidence to clarify how CPVG influences ecosystems through linked mechanisms of energy redistribution, biogeochemical cycling disturbance, and ecological responses. CPVG alters surface radiation balance, modifies microclimate, and disrupts carbon–nitrogen–water fluxes, thereby driving vegetation shifts, soil degradation, and biodiversity decline. These impacts accumulate across temporal scales—from short-term construction disturbances to long-term operational feedbacks—and propagate spatially from local to regional and watershed levels. Ecological outcomes differ substantially among deserts, grasslands, and agroecosystems due to contrasting resilience and limiting factors. Based on these mechanisms, we propose a multi-scale cumulative impact assessment framework integrating indicator development, multi-source monitoring, coupled modelling, and ecological risk tiering. A full-chain mitigation pathway is further outlined, emphasizing optimized siting, disturbance reduction, adaptive management, and targeted restoration. This study provides a systematic foundation for evaluating and regulating CPVG’s cumulative ecological impacts, supporting more sustainable solar deployment. Full article
(This article belongs to the Topic Advances in Solar Technologies, 2nd Edition)
Show Figures

Figure 1

Back to TopTop