Sign in to use this feature.

Years

Between: -

Subjects

remove_circle_outline
remove_circle_outline
remove_circle_outline
remove_circle_outline
remove_circle_outline
remove_circle_outline
remove_circle_outline
remove_circle_outline
remove_circle_outline

Journals

remove_circle_outline
remove_circle_outline
remove_circle_outline
remove_circle_outline
remove_circle_outline
remove_circle_outline
remove_circle_outline
remove_circle_outline
remove_circle_outline
remove_circle_outline
remove_circle_outline
remove_circle_outline
remove_circle_outline
remove_circle_outline

Article Types

Countries / Regions

remove_circle_outline
remove_circle_outline
remove_circle_outline
remove_circle_outline
remove_circle_outline
remove_circle_outline
remove_circle_outline

Search Results (3,539)

Search Parameters:
Keywords = manuring

Order results
Result details
Results per page
Select all
Export citation of selected articles as:
17 pages, 8016 KB  
Article
Synergistic Adsorption and Bioreduction of Cr(VI) by a New Composite Material: Effect of Biochar and Immobilized Bacillus subtilis
by Huanlian Wang, Fang Wang, Lu Di, Chuanyun Gao, Deli Zhang, Shaoqing Wang, Min Lv and Weiming Yi
Separations 2026, 13(2), 69; https://doi.org/10.3390/separations13020069 - 16 Feb 2026
Abstract
This study investigates the preparation of a composite material by immobilizing Bacillus subtilis on biochar derived from chicken manure biogas residue for the removal of Cr(VI) from wastewater. The results demonstrated that the composite material (Bacillus subtilis immobilized biochar, BIB) achieved a [...] Read more.
This study investigates the preparation of a composite material by immobilizing Bacillus subtilis on biochar derived from chicken manure biogas residue for the removal of Cr(VI) from wastewater. The results demonstrated that the composite material (Bacillus subtilis immobilized biochar, BIB) achieved a maximum Cr(VI) removal efficiency of 94.1% in a 100 mg/L Cr(VI) solution within 4 h. The chicken manure-derived biochar not only served as an effective carrier for Bacillus subtilis but also enhanced the Cr(VI) removal efficiency through a synergistic effect with the microorganism. Functional groups such as phosphorus, carboxyl, and hydroxyl groups on the biochar surface played a key role in the sorption of Cr(VI). Bacillus subtilis primarily reduced Cr(VI) to Cr(III) by secreting cellular reductases. The combined action of biochar and Bacillus subtilis increased the Cr(VI) removal rate by 13.71% compared to biochar alone. This study presents a promising approach for Cr(VI) remediation in contaminated water and lays a theoretical foundation for the development of composite materials for Cr(VI) reduction. Full article
Show Figures

Graphical abstract

15 pages, 548 KB  
Article
Microbiological Assessment of Air Quality in Barns with Different Dairy Cattle Housing Systems in the Context of Sustainable Safe Food Production
by Katarzyna Wolny-Koładka, Marek Gancarz, Stanisław Bodziacki, Urszula Malaga-Toboła and Patrycja Szczechura
Sustainability 2026, 18(4), 1997; https://doi.org/10.3390/su18041997 - 15 Feb 2026
Abstract
The study aimed to assess the microbiological quality of the air in three barns that differed in size, housing system, and number of animals in the context of sustainable and safe food production. Air samples were collected four times a year (spring, summer, [...] Read more.
The study aimed to assess the microbiological quality of the air in three barns that differed in size, housing system, and number of animals in the context of sustainable and safe food production. Air samples were collected four times a year (spring, summer, autumn, and winter) to account for seasonal variations. The abundance of selected microorganisms (mesophilic aerobic bacteria, mold fungi, actinomycetes, Staphylococcus spp. and E. coli) was determined using the impact method and appropriate microbiological media. Simultaneously, the air temperature, relative humidity, and real-time resistive sensor readings for current bioaerosols were measured in the tested rooms. Byre (III) had the lowest mean resistive sensor reading for bioaerosols, while barn (II) had the highest. The mean temperature was lowest in barn (I) and highest in barn (II). The mean relative air humidity was lowest in barn (III) and highest in barn (I). The 60 m2 barn had the highest number of microorganisms. Factors conducive to the proliferation of microorganisms in the barn included the use of deep litter, which was removed once a quarter. Additionally, storing manure in close proximity to the barn contributed to an increase in the number of microorganisms in the livestock facility. No excessive air pollution with bacteria or mold fungi was found in any of the studied barns. Overall, the study demonstrates that barn management practices, litter type, microclimatic conditions, and ventilation significantly influence airborne microbial concentrations. These findings provide practical insights for improving environmental hygiene and animal welfare in barns and promoting sustainable development in dairy cattle farming. Full article
Show Figures

Figure 1

16 pages, 1262 KB  
Article
Prevalence of Escherichia coli and Salmonella spp. in Colombian Pig Production Settings: A One Health Perspective Study
by Adriana Pulido-Villamarín, Fidson-Juarismy Vesga, Camilo Venegas, Deyci Rodríguez-Cordero, Adriana Matiz-Villamil, Irina Barrientos, Iliana C. Chamorro-Tobar, Juan Pablo Caicedo, Beatriz Ariza, Seyli Gomez, Loti Sarai Bermudez, Ana Karina Carrascal-Camacho, Moises Aranda-Silva and David Olaya E
Vet. Sci. 2026, 13(2), 189; https://doi.org/10.3390/vetsci13020189 - 14 Feb 2026
Viewed by 51
Abstract
Zoonotic pathogens in swine production can negatively impact both human and animal health, with the environment serving as a potential transmission vehicle. Therefore, this study aimed to determine the prevalence of Escherichia coli and Salmonella spp. in the Colombian swine production chain using [...] Read more.
Zoonotic pathogens in swine production can negatively impact both human and animal health, with the environment serving as a potential transmission vehicle. Therefore, this study aimed to determine the prevalence of Escherichia coli and Salmonella spp. in the Colombian swine production chain using the One Health approach. Samples were collected from nine farms and two slaughterhouses in the departments of Antioquia, Cundinamarca, Valle del Cauca, and Meta. The analyzed samples included water, feed, pig and worker feces, organic material in treatment (manure treated and compost), and pig carcasses. These samples were analyzed using standard microbiological methods and the Molecular Detection System (MDS). The results showed Salmonella spp. prevalence rates of 15.47% in pigs, 9.4% in feed, 8.47% in water, and 2.56% in organic material. For E. coli O157, prevalence rates were 25.71% in pigs, 10% in feed, 22.22% in water, and 33.33% in organic material. The high prevalence and bacterial loads in water suggest it is a critical reservoir and a potential primary source of contamination in the production chain. Although these pathogens were not detected in workers, the zoonotic risk remains. Additionally, the prevalence of haemolytic enterotoxigenic E. coli (ETEC), a major swine pathogen, was 40.1%. This study emphasizes the need to improve biosecurity and farm management practices to reduce the risk of environmental transmission, thereby minimizing public, occupational, and animal health risks. Implementing water treatment protocols and improving organic waste management are recommended to limit the spread of bacterial contamination. These actions are based on the ‘One Health’ approach, recognizing that animal health and ecosystem integrity are indivisible pillars of human health. Full article
(This article belongs to the Section Veterinary Food Safety and Zoonosis)
Show Figures

Graphical abstract

15 pages, 1849 KB  
Article
Numerical Evaluation of a Negative Pressure Ventilation System for Ammonia Emission from a Solid-Covered Manure Storage Tank
by Wenqi Zhang and Xiaoshuai Wang
Agriculture 2026, 16(4), 436; https://doi.org/10.3390/agriculture16040436 - 13 Feb 2026
Viewed by 87
Abstract
Ammonia (NH3) emissions from temporary manure storage tanks represent a significant environmental concern in livestock production systems. While combining solid covers with negative pressure ventilation is a promising strategy to mitigate these emissions, there is currently a lack of systematic research [...] Read more.
Ammonia (NH3) emissions from temporary manure storage tanks represent a significant environmental concern in livestock production systems. While combining solid covers with negative pressure ventilation is a promising strategy to mitigate these emissions, there is currently a lack of systematic research on its design optimization and performance. This study employs Computational Fluid Dynamics (CFD) to evaluate the effectiveness of a solid-covered manure storage tank combined with negative pressure ventilation for controlling NH3 emissions. A validated CFD model was developed to simulate airflow and ammonia transport under open-field and covered conditions. The influences of tank headspace depth, slot type (top and side), and slot location on outlet ammonia concentration were investigated. Results show that headspace depth is one of the important parameters affecting ammonia transport, with deeper headspaces consistently reducing outlet NH3 concentrations. Compared with no-slot scenarios, top slots could increase ammonia emissions by inducing impinging-jet effects, whereas side slots exhibited depth-dependent impacts, reducing emissions at 1.0 and 1.6 m depths but increasing them at 0.4 m depth. All the differences in ammonia emission across the simulations can be attributed to the difference in the near-wall velocity. The findings provide useful guidance for the design and optimization of ammonia mitigation strategies in manure storage systems. Full article
Show Figures

Figure 1

22 pages, 1246 KB  
Article
Bioactive, Antioxidant, and Nutritional Responses of Garlic (Allium sativum L.) to Fertilization Regimes
by Boris Adamović, Jelena Visković, Aleksandra Tepić-Horecki, Anita Milić, Zdravko Šumić, Janko Červenski, Slobodan Vlajić, Snežana Jakšić, Milorad Živanov and Goran Jaćimović
Molecules 2026, 31(4), 652; https://doi.org/10.3390/molecules31040652 - 13 Feb 2026
Viewed by 152
Abstract
Garlic (Allium sativum L.) is a significant crop cultivated worldwide for its culinary, nutritional, and medicinal value. This study aimed to evaluate the effects of different fertilization regimes on the bioactive compounds, antioxidant activity, nutritional value, and mineral composition of garlic. The [...] Read more.
Garlic (Allium sativum L.) is a significant crop cultivated worldwide for its culinary, nutritional, and medicinal value. This study aimed to evaluate the effects of different fertilization regimes on the bioactive compounds, antioxidant activity, nutritional value, and mineral composition of garlic. The field experiment was conducted at the Institute of Field and Vegetable Crops, in three replications. Fertilization significantly influenced the bioactive compounds, antioxidant activity, nutritional quality, and mineral composition of garlic. Cattle manure proved to be the most effective treatment, increasing protein (by approx. 5.1%), total sugars (17.9%), sucrose (24.9%), sulfur content (7.2%), total phenolics (3.1%), flavonoids (30.7%), and antioxidant activity (by 5.2–23.1% depending on the assay) compared to the control, indicating superior nutritional and functional quality. Multivariate analyses highlighted the significant impact of fertilization regimes on garlic quality, with mineral fertilizer, control (treatment without fertilizer application), and cattle manure enhancing bioactive compounds, antioxidant activity, and nutritional composition. Fertilization had limited effects on macroelements, although cattle and sheep manure increased nitrogen and sulphur contents, while molasses reduced phosphorus and potassium levels. Organic fertilization significantly modified microelement composition, with sheep manure notably increasing zinc and copper, while most fertilizers reduced boron, iron, and sodium contents compared with the control. Animal-based fertilizers, particularly cattle manure, provide a sustainable alternative to mineral fertilization, enhancing garlic’s dry matter, nutritional and bioactive compounds, and antioxidant activity. Full article
Show Figures

Figure 1

24 pages, 1271 KB  
Article
“Carrots or Sticks”? The Impact of Green Subsidies and Environmental Regulations on the Green Production Behavior and Synergistic Effects of Beef Cattle Breeders: An Empirical Study Based on China
by Shiwei Li, Siyuan Qi and Junlong Ma
Sustainability 2026, 18(4), 1945; https://doi.org/10.3390/su18041945 - 13 Feb 2026
Viewed by 151
Abstract
In advancing the green transformation of the livestock industry, whether “carrots” or “sticks” prove more effective remains to be further tested. Drawing on micro-level survey data from 273 beef cattle farmers in Yunnan Province, China, this study employs farmers’ subjective evaluations of green [...] Read more.
In advancing the green transformation of the livestock industry, whether “carrots” or “sticks” prove more effective remains to be further tested. Drawing on micro-level survey data from 273 beef cattle farmers in Yunnan Province, China, this study employs farmers’ subjective evaluations of green subsidies and environmental regulation intensity to characterize corresponding policy instruments. An ordered Probit model is used to analyze the impact and underlying mechanisms of green subsidies and environmental regulations on farmers’ green production behaviors. Results indicate: (1) Both green subsidies and environmental regulations promote green production practices among beef cattle farmers, with green subsidies demonstrating stronger effects that remain robust across a series of stability tests. (2) Heterogeneity analysis reveals that both policy instruments positively influence various types of green production behaviors, with the most significant effect observed on manure resource utilization. This effect is stronger among risk-preferring farmers and those participating in cooperatives. Furthermore, green subsidies significantly promote green production behaviors among small and medium-sized farmers, while environmental regulations enhance green production behaviors across all farmer sizes, with larger farmers experiencing stronger effects. (3) Mechanism analysis indicates that green subsidies and environmental regulations primarily promote green production practices by encouraging farmers to participate in green training, build green facilities, and enhance their green awareness. (4) Further analysis reveals no synergistic effects between green subsidies and environmental regulations. The research conclusion of this study can provide a reference for optimizing policy tool combinations in regions with similar beef cattle farming structures and regional characteristics. Full article
(This article belongs to the Section Sustainable Agriculture)
Show Figures

Figure 1

18 pages, 2735 KB  
Article
Effects of Housing and Environmental Enrichment on Performance, Welfare, and Air Quality in Fattening Pigs
by Juho Lee, Huimang Song, Sarbani Biswas, Kyung-won Kang and Jinhyeon Yun
Animals 2026, 16(4), 580; https://doi.org/10.3390/ani16040580 - 12 Feb 2026
Viewed by 117
Abstract
In intensive pig production systems, limited space and lack of enrichment materials (EMs) restrict natural behaviors, inducing chronic stress and impairing welfare and health. Conventional EMs such as straw and sawdust improve comfort but increase NH3 and particulate emissions and hinder manure [...] Read more.
In intensive pig production systems, limited space and lack of enrichment materials (EMs) restrict natural behaviors, inducing chronic stress and impairing welfare and health. Conventional EMs such as straw and sawdust improve comfort but increase NH3 and particulate emissions and hinder manure management on slatted floors. This study compared rice-straw silage (RS), sawdust (SD), and sling belt (SB) as EMs for growing-finishing pigs to evaluate their effects on growth performance, behavior, body lesions, cleanliness score of body, and pen air quality. A total of 344 crossbred pigs ([Landrace × Yorkshire] × Duroc, 30.5 ± 3.10 kg) were randomly allocated to four treatments: Control, 50% slatted and 50% solid flooring; RS, 100% solid flooring with a 7-cm layer of RS; SD, 100% solid flooring with a 7-cm layer of SD; SB, 50% slatted and 50% solid flooring with 10 SBs (1.5 m long and 75 mm wide). At week 10, the RS pigs had the lowest body weight. At week 0, the RS and SD pigs exhibited more positive behaviors, although the SD pigs also showed the highest number of injurious interactions at week 3. Between weeks 0 and 5, the SD pigs spent less time lateral lying and more time sternal lying, while during weeks 8–11, sitting was more prevalent. Both RS and SD groups exhibited lower cleanliness scores at week 6 and higher NH3 and CO2 levels at week 10. In conclusion, bedding materials such as RS and SD promoted positive behaviors during the early phase; however, prolonged use without adequate management impaired hygiene, air quality, resting behavior, and growth performance. These findings highlight the importance of the appropriate selection and management of EMs in intensive pig production systems. Full article
(This article belongs to the Section Animal Welfare)
Show Figures

Figure 1

19 pages, 7666 KB  
Article
The Microbial Mechanisms Underlying Soil N2O Emission Mitigation via Organic Fertilizer Substitution in Maize Cropping Systems
by Yanan Liu, Haiyan Wu, Ying Feng, Chunlei Xue, Xiangqian Zhang, Xiaoqing Zhao, Gongfu Shi, Jing Fang, Rui Xie, Yuchen Cheng, Xuting Zhang, Hailong Zhang, Fengcheng Sun and Zhanyuan Lu
Agriculture 2026, 16(4), 420; https://doi.org/10.3390/agriculture16040420 - 12 Feb 2026
Viewed by 143
Abstract
In mitigating agricultural nitrous oxide (N2O) emissions, partially substituting chemical nitrogen (N) fertilizers with organic amendments is widely advocated for; however, the effectiveness of this approach varies, and the optimal substitution ratio remains unclear. This study employed a long-term field experiment [...] Read more.
In mitigating agricultural nitrous oxide (N2O) emissions, partially substituting chemical nitrogen (N) fertilizers with organic amendments is widely advocated for; however, the effectiveness of this approach varies, and the optimal substitution ratio remains unclear. This study employed a long-term field experiment in a maize cropping system, integrating in situ N2O flux monitoring, soil analysis, and metagenomic sequencing to investigate the effects of substituting synthetic N fertilizer with sheep manure at different ratios (one-sixth, one-third, and full substitution) on cumulative N2O emissions and underlying microbial mechanisms. The results showed that substituting one-third of chemical N with sheep manure (OF2) most effectively reduced cumulative N2O emissions, by 18.64% (2021) and 47.00% (2022), compared to conventional chemical fertilization (NPK). This treatment optimized key soil properties, significantly lowering soil nitrate (NO3-N) and ammonium (NH4+-N) concentrations while increasing soil organic matter. Metagenomic analysis revealed that the mitigation was primarily driven by a coordinated shift in the nitrogen-cycling microbial functional gene network: OF2 significantly enhanced the abundance of N2O reductase genes (nosZ clades I and II) and increased the nosZ/(nirK + nirS) gene ratio, thereby strengthening the genetic potential for complete denitrification (N2O → N2). Partial least squares path modeling confirmed that soil properties indirectly reduced N2O emissions, primarily by regulating the microbial community and functional gene abundances. This study provides mechanistic evidence that partial organic substitution (with one-third sheep manure) mitigates N2O emissions by optimizing the soil habitat and reprogramming the functional gene network of nitrogen-cycling microbes, with a key emphasis on enhancing the N2O reduction pathway. Full article
Show Figures

Figure 1

17 pages, 9471 KB  
Review
Structured Analysis of Livestock Farming Practices and European Green Deal Targets
by Dina Popluga, Kaspars Naglis-Liepa and Ahmad Raza Khan
Sustainability 2026, 18(4), 1859; https://doi.org/10.3390/su18041859 - 11 Feb 2026
Viewed by 263
Abstract
The European Union (EU) Green Deal (EGD) aims to significantly transform and modernize the EU economy, while at the same time envisioning significant changes in agricultural production, especially in livestock farming. Generally, EU Member States implement specific measures that contribute to the achievement [...] Read more.
The European Union (EU) Green Deal (EGD) aims to significantly transform and modernize the EU economy, while at the same time envisioning significant changes in agricultural production, especially in livestock farming. Generally, EU Member States implement specific measures that contribute to the achievement of various EGD objectives. Most often, these are part of the national strategies of the EU Common Agricultural Policy. At the same time, it is important to identify the available scientific information on measures that contribute to the achievement of the EGD goals and their various impacts. Usually, each individual measure or practice is aimed at achieving one of the ESD goals, for example, reducing GHG emissions, but in practice, these create multiple side effects that can promote or hinder the achievement of other sustainability goals. This study focuses on the livestock sector and outlines key areas where intervention must occur: feeding, housing, grassland/pasture management, manure management, breeding and genetics—these factors interact and contribute to the achievement of EGD targets. At the same time, this research takes a holistic view of the EGD demands on livestock. In this study, the authors use pictograms and a color-coding system that broadens the scope of impact communication. It translates complex, scientific data into a format that is accessible and easily understood by a wider audience. The results of this study reveal that systematic research is needed to examine livestock farming measures that could change agricultural policies in the long term—from supporting existing measures to creating appropriate sustainable farming systems. Full article
(This article belongs to the Section Sustainable Agriculture)
Show Figures

Figure 1

24 pages, 6292 KB  
Article
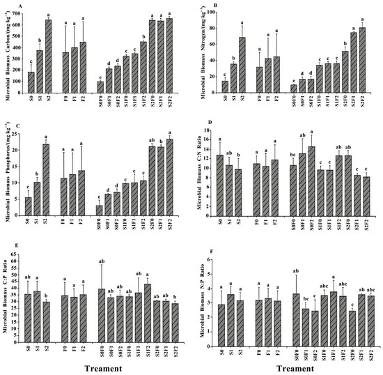
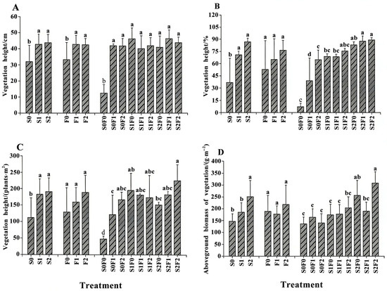
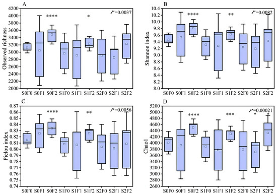
Responses of Restored Vegetation Communities, Soil Properties, and Microbial Composition to Different Fertilization Treatments in an Alpine Mining Area
by Zhongyang Yu, Changhui Li, Mingchun Yang, Guoning Jing, Jianing Li and Jianli Wu
Plants 2026, 15(4), 569; https://doi.org/10.3390/plants15040569 - 11 Feb 2026
Viewed by 112
Abstract
As a typical ecologically degraded mining area, the Jiangcang Mine in Qinghai is characterized by severely depleted soil nutrients and reduced biodiversity, making scientifically grounded soil-amelioration measures urgently necessary to facilitate vegetation reconstruction and enhance soil ecological functions. To determine the optimal fertilization [...] Read more.
As a typical ecologically degraded mining area, the Jiangcang Mine in Qinghai is characterized by severely depleted soil nutrients and reduced biodiversity, making scientifically grounded soil-amelioration measures urgently necessary to facilitate vegetation reconstruction and enhance soil ecological functions. To determine the optimal fertilization rate, we conducted a two-factor randomized block experiment over an approximately two-year period after plant sowing, using pelletized organic fertilizer and sheep manure as the primary amendments, with three replicates per treatment, and with application rates selected based on commonly used ranges in alpine grassland restoration and the availability of local organic resources in the mining area. Sheep-manure treatments were set at three levels at 0 (S0), 20 (S1), and 40 (S2) kg·m−2, while pelletized organic fertilizer was applied at three rates at 0.0 (F0), 1.5 (F1), and 3.0 (F2) kg·m−2. The combination of the two factors resulted in nine treatments: S0F0, S0F1, S0F2, S1F0, S1F1, S1F2, S2F0, S2F1, and S2F2. The results showed that fertilization significantly improved vegetation height, canopy cover, plant density, and aboveground biomass, with the strongest promotive effects observed under S2F2 and S2F1. Compared with other treatments, S2F2 markedly increased soil moisture content, pH, soil organic matter, available nitrogen, available phosphorus, as well as total nitrogen, 6.96-, 2.91-, 1.70-, 5.04-, 2.51-, and 3.91-fold relative to the control, respectively. The S0F2 treatment significantly enhanced bacterial Observed Richness, Shannon, and Chao1 indices, as well as simultaneously increasing fungal Observed Richness and Chao1 index. Vegetation height and density exhibited the strongest positive correlation under S2F1, whereas vegetation cover and aboveground biomass were most strongly correlated under S2F2. A gray relational analysis performed on 15 indicators ranked S2F0 as having the highest relational degree and comprehensive score, followed by S2F2 and S2F1. In summary, the combined application of approximately 40 kg·m−2 of sheep manure without pelletized organic fertilizer showed the highest comprehensive restoration performance under the experimental conditions of this alpine mining area. Full article
(This article belongs to the Section Plant–Soil Interactions)
Show Figures

Figure 1

17 pages, 2536 KB  
Review
Regional Characteristics of Livestock and Poultry Manure Production and Sustainable Resource Utilisation Technologies in China—A Review
by Xuan Ye, Cheng Shen and Jin Zhang
Sustainability 2026, 18(4), 1844; https://doi.org/10.3390/su18041844 - 11 Feb 2026
Viewed by 130
Abstract
China’s livestock farming scale rose from 54.4% in 2020 to 73.2% in 2023, increasing annual manure production to 3.8 billion tons and greenhouse gas emissions to 4–6 billion t carbon dioxide equivalent (CO2-eq). Manure management has thus become a key barrier [...] Read more.
China’s livestock farming scale rose from 54.4% in 2020 to 73.2% in 2023, increasing annual manure production to 3.8 billion tons and greenhouse gas emissions to 4–6 billion t carbon dioxide equivalent (CO2-eq). Manure management has thus become a key barrier to agricultural pollution control and carbon reduction goals. This study analyses regional differences in manure generation, showing that East and Central China—comprising less than 40% of the national land area—bear over 48% of total manure and about 50% of N and P loads, whereas Northeast and Northwest China have surplus cropland absorption capacity. This reveals a clear spatial mismatch between manure production and land carrying capacity. By reviewing major treatment technologies (aerobic composting, anaerobic digestion) and utilisation pathways (fertiliser use, energy recovery) and integrating life cycle assessment (LCA) with geographic information system (GIS)-based spatial evaluation, this study highlights the advantages of technology coupling strategies. For example, anaerobic digestion combined with composting can reduce net climate impacts by 21%, and regional circular models cut full-cycle carbon footprints by 34.44%. The results underscore the need for GIS-supported spatial LCA to match technologies with regional conditions, providing a scientific basis for advancing livestock manure management and China’s green agricultural transition. Full article
Show Figures

Figure 1

18 pages, 280 KB  
Article
One Cow, Two Gains: Welfare Improvement and Chemical Fertilizer Reduction from an Incentive-Based Cattle Support Program Among Poor Smallholders in Guangxi, China
by Xinjian Chen, Yan Lv and Chen Lu
Sustainability 2026, 18(4), 1816; https://doi.org/10.3390/su18041816 - 10 Feb 2026
Viewed by 167
Abstract
Under binding resource constraints and rising environmental pressures, enabling poor smallholders to raise incomes while reducing chemical input use remains a key policy challenge in many developing economies. Drawing on two waves of household survey data from Guangxi, China, this study evaluates the [...] Read more.
Under binding resource constraints and rising environmental pressures, enabling poor smallholders to raise incomes while reducing chemical input use remains a key policy challenge in many developing economies. Drawing on two waves of household survey data from Guangxi, China, this study evaluates the impacts of small-scale beef cattle rearing promoted through an incentive-based subsidy scheme (Yijiang Daibu). Exploiting quasi-experimental variation in household participation, we combine Coarsened Exact Matching (CEM) with household fixed-effects models to address selection bias and time-invariant unobserved heterogeneity. The results show that participation in dispersed cattle rearing significantly increases household welfare (measured by per capita consumption expenditure) while simultaneously reducing chemical fertilizer application, indicating clear economic and environmental co-benefits. Mechanism evidence suggests that substituting cattle manure for chemical fertilizer plays a central role in driving fertilizer reduction. Moreover, access to credit, participation in farmer cooperatives, and internet access further reinforce both welfare gains and manure–fertilizer substitution effects. Overall, incentive-based support for small-scale livestock production, when aligned with local resource endowments, can deliver both welfare gains and greener production outcomes. This study provides micro-level evidence on how well-designed industrial support policies can jointly promote inclusive growth and agricultural sustainability in smallholder-dominated regions. Full article
(This article belongs to the Special Issue Agriculture, Food, and Resources for Sustainable Economic Development)
17 pages, 864 KB  
Article
Antimicrobial Use and Manure Management Practices Among Commercial Chicken Farmers in Selected Regions of Tanzania: Gaps and Strategies for Mitigating Antimicrobial Resistance
by Fares J. Biginagwa, Alexanda Mzula, Erica Westwood, Sunday O. Ochai, Hezron E. Nonga, Anders Dalsgaard and Robinson H. Mdegela
Int. J. Environ. Res. Public Health 2026, 23(2), 226; https://doi.org/10.3390/ijerph23020226 - 10 Feb 2026
Viewed by 288
Abstract
The intensification of commercial chicken production has increased antimicrobial use and manure generation, raising concerns about residues and resistant pathogens entering the environment. Use of raw chicken manure can introduce antimicrobial compounds and resistance determinants into agricultural soils. This study examined antimicrobial use [...] Read more.
The intensification of commercial chicken production has increased antimicrobial use and manure generation, raising concerns about residues and resistant pathogens entering the environment. Use of raw chicken manure can introduce antimicrobial compounds and resistance determinants into agricultural soils. This study examined antimicrobial use and manure management practices among chicken farmers in Morogoro, Dar es Salaam, and Unguja, and identified key gaps in national regulatory frameworks and their on-farm implementation. A structured questionnaire was administered to 351 farmers to assess the types and usage of antimicrobials and manure handling practices. Farmers reported using fourteen antibiotic classes and four antiparasitic agents, with tetracycline being the most frequently used (54.1%). Most farmers in Unguja (97.7%), Dar es Salaam (87.3%), and Morogoro (70.9%) either apply manure as fertilizer, sell it, or both. A large proportion (93.2%) reported that they do not process manure before use or sale, mainly due to lack of technical knowledge (77.4%). Awareness of the health hazards posed by pathogens (43.3%) and drug residues (57.5%) is low. This study revealed critical gaps, including weak regulatory enforcement, inadequate surveillance systems, limited cross-sectoral integration, irrational antimicrobial use, and limited farmer awareness. Strengthening regulatory frameworks, improving farmer training, and promoting safer manure management methods are recommended to reduce the environmental dissemination of antimicrobial residues and resistance. Full article
Show Figures

Figure 1

12 pages, 845 KB  
Article
Towards Sustainable Use of Hydrothermal Carbonised Wastes in Soil: Mitigating Hydrochar-Induced Toxicity by Ageing in Soil and Pyrolysis
by Henry Luutu, Michael T. Rose, Shane McIntosh, Lukas Van Zwieten and Terry J. Rose
Sustainability 2026, 18(4), 1794; https://doi.org/10.3390/su18041794 - 10 Feb 2026
Viewed by 139
Abstract
Hydrothermal carbonised waste (hydrochar) is increasingly considered a sustainable soil amendment within circular economy frameworks; however, its toxicity to the environment limits its safe application. Ageing and pyrolysis may be prospective treatments to mitigate hydrochar toxicity on soil organisms and plants, but their [...] Read more.
Hydrothermal carbonised waste (hydrochar) is increasingly considered a sustainable soil amendment within circular economy frameworks; however, its toxicity to the environment limits its safe application. Ageing and pyrolysis may be prospective treatments to mitigate hydrochar toxicity on soil organisms and plants, but their effectiveness is unresolved since available studies did not investigate the predominantly toxic hydrochars, those produced at high reaction temperatures (>200 °C). In this study, toxic hydrochars produced at hydrothermal carbonisation (HTC) temperature of 260 °C from biosolids, chicken manure and rice straw were post-treated by in situ ageing in soil for 30 days or by pyrolysis at 400 °C for 30 min, and their toxicity was assessed on wheat growth and earthworm (Eisenia fetida) avoidance. Untreated hydrochars did not affect wheat (Triticum aestivum L.) germination, but reduced wheat growth by 23–33%, and caused 82–94% earthworm avoidance. The ageing of hydrochar reduced phytotoxicity in biosolids and chicken manure hydrochar treatments, as indicated by improved wheat biomass (25–71%; compared to untreated hydrochar). Ageing of hydrochar also mitigated toxicity to earthworms, as indicated by the reduced avoidance of 19–31% across all feedstocks. The persistent phytotoxicity with aged rice straw hydrochar was due to toxic organic compounds that could not be fully detoxified after 30 days of ageing. Pyrolysis of hydrochar mitigated phytotoxicity as indicated by increased wheat biomass (43–93%), and reduced toxicity to earthworms (39–51%) across all feedstocks. Findings indicate that while both ageing and pyrolysis are appropriate hydrochar post-production treatments, ageing of hydrochar for only 30 days in soil may not fully alleviate the phytotoxic effect of all hydrochars. Full article
(This article belongs to the Special Issue Impact of Biochar on Soil Ecosystems)
Show Figures

Figure 1

18 pages, 4137 KB  
Article
Qualitative Assessment and Interrelation of Organic Carbon Transport and Bioactivity Characteristics During Natural Composting and Vermicomposting: Various Pig Manure/Straw Pellets Ratios
by Yong Zhou, Mengting Huang, Wenqiang Li, Zuhong Zheng, Wanping Chen, Lang Hu and Huankai Li
Fermentation 2026, 12(2), 98; https://doi.org/10.3390/fermentation12020098 - 9 Feb 2026
Viewed by 170
Abstract
The transformation pathways of organic carbon (OC) fractions and their interrelationship with microbial activity during natural composting (NC) and vermicomposting (VC) remain poorly understood across pig manure (PM)/straw pellets (SP) ratios. Therefore, the objective of this study was to elucidate the regulatory mechanisms [...] Read more.
The transformation pathways of organic carbon (OC) fractions and their interrelationship with microbial activity during natural composting (NC) and vermicomposting (VC) remain poorly understood across pig manure (PM)/straw pellets (SP) ratios. Therefore, the objective of this study was to elucidate the regulatory mechanisms of substrate mixing ratios on carbon fraction transformation and microbial functional networks during these processes. To achieve this, five PM/SP ratios [100:0 (T1), 75:25 (T2), 50:50 (T3), 25:75 (T4), and 0:100 (T5)] were composted with or without earthworms, revealing the T2 (75:25) ratio had most efficient composting performance within 60 days due to the suitable initial C/N ratio (31.65 ± 0.99). Consequently, the T2 treatment reached the highest organic degradation, including TOC reduction (58.6%), TN accumulation (63.9%), and C/N decline (74.8%) in the VC. Vermicomposting markedly stimulated functional microbial groups—nitrogen-fixing, phosphate-solubilizing, and potassium-solubilizing bacteria—thereby enhancing nutrient (N, P, K) bioavailability. The prominence of the optimal C/N ratio across multiple hydrolytic and oxidative enzymes in the VC-T2 further proved that this ratio provided an optimal nutrient and structural balance for both earthworms and microbial consortia. Strong correlations between bacterial abundance and enzyme activities (r ≥ 0.98), lignin and dissolved OC (r ≈ −0.81), and particulate organic carbon and mineral-associated carbon (r > 0.9) highlighted microbially mediated carbon stabilization through enzymatic mineralization, aggregation, and redistribution of carbon from active pools toward mineral-associated OC. This work identifies the critical PM-SP ratio for waste valorization and mechanistically links earthworm–bacteria interactions to carbon sequestration pathways. Full article
Show Figures

Figure 1

Back to TopTop