Sign in to use this feature.

Years

Between: -

Subjects

remove_circle_outline
remove_circle_outline
remove_circle_outline
remove_circle_outline
remove_circle_outline
remove_circle_outline
remove_circle_outline
remove_circle_outline
remove_circle_outline

Journals

Article Types

Countries / Regions

Search Results (18)

Search Parameters:
Keywords = liquid handling robot

Order results
Result details
Results per page
Select all
Export citation of selected articles as:
10 pages, 954 KB  
Protocol
High-Throughput DNA Extraction Using Robotic Automation (RoboCTAB) for Large-Scale Genotyping
by Vincent-Thomas Boucher St-Amour, Vipin Tomar and François Belzile
Plants 2025, 14(15), 2263; https://doi.org/10.3390/plants14152263 - 23 Jul 2025
Viewed by 1613
Abstract
Efficient and consistent DNA extraction is crucial for genotyping but often hindered by the limitations of traditional manual processes, which are labour-intensive, error-prone, and costly. We introduce a semi-automated, robotic-assisted DNA extraction (RoboCTAB) tailored for large-scale plant genotyping, leveraging advanced yet affordable liquid-handling [...] Read more.
Efficient and consistent DNA extraction is crucial for genotyping but often hindered by the limitations of traditional manual processes, which are labour-intensive, error-prone, and costly. We introduce a semi-automated, robotic-assisted DNA extraction (RoboCTAB) tailored for large-scale plant genotyping, leveraging advanced yet affordable liquid-handling robotic systems. The protocol/workflow integrates a CTAB extraction protocol specifically adapted for a robotic liquid-handling system, making it compatible with high-throughput genotyping techniques such as SNP genotyping and sequencing. Various plant parts (leaves, roots, manual seed chip) were explored as the source material for DNA extractions, with the aim of identifying the tissue best suited for collection on a large scale. Young roots (radicle) proved the easiest to harvest at scale, while the harvest of leaves and seed chips were more laborious and error-prone. DNA yield and quality from both leaves and roots (but not seed chips) were similar and sufficient for downstream analysis. Interestingly, root tissue could still be extracted from imbibed seeds, even if the seeds failed to germinate, thus proving useful for DNA extraction. Cost analysis indicates significant savings in labour costs, highlighting the approach’s suitability for large-scale projects. Quality assessments demonstrate that the robotic process yields high-quality DNA, maintaining integrity for downstream applications. This semi-automated DNA extraction system represents a scalable, reliable solution for large-scale genotyping that is accessible to many users who cannot implement highly sophisticated and costly systems as are known to exist in large multinational seed companies. RoboCTAB, a low-cost, optimized method for high-throughput DNA extraction, minimizes the risk of cross-contamination. RoboCTAB is capable of processing up to four 96-well plates (384 samples) simultaneously in a single run, improving cost-efficiency and providing seamless integration with laboratory workflows, potentially setting new standards for efficiency and quality in DNA processing and sequencing at scale. Full article
Show Figures

Figure 1

18 pages, 7279 KB  
Article
Optimizing Waste Sorting for Sustainability: An AI-Powered Robotic Solution for Beverage Container Recycling
by Tianhao Cheng, Daiki Kojima, Hao Hu, Hiroshi Onoda and Andante Hadi Pandyaswargo
Sustainability 2024, 16(23), 10155; https://doi.org/10.3390/su162310155 - 21 Nov 2024
Cited by 12 | Viewed by 13216
Abstract
With Japan facing workforce shortages and the need for enhanced recycling systems due to an aging population and increasing environmental challenges, automation in recycling facilities has become a key component for advancing sustainability goals. This study presents the development of an automated sorting [...] Read more.
With Japan facing workforce shortages and the need for enhanced recycling systems due to an aging population and increasing environmental challenges, automation in recycling facilities has become a key component for advancing sustainability goals. This study presents the development of an automated sorting robot to replace manual processes in beverage container recycling, aiming to address environmental, social, and economic sustainability by optimizing resource efficiency and reducing labor demands. Using artificial intelligence (AI) for image recognition and high-speed suction-based grippers, the robot effectively sorts various container types, including PET bottles and clear and colored glass bottles, demonstrating a pathway toward more sustainable waste management practices. The findings indicate that stabilizing items on the sorting line may enhance acquisition success, although clear container detection remains an AI challenge. This research supports the United Nation’s 2030 Agenda for Sustainable Development by advancing recycling technology to improve waste processing efficiency, thus contributing to reduced pollution, resource conservation, and a sustainable recycling infrastructure. Further development of gripper designs to handle deformed or liquid-containing containers is required to enhance the system’s overall sustainability impact in the recycling sector. Full article
(This article belongs to the Section Waste and Recycling)
Show Figures

Figure 1

13 pages, 1382 KB  
Article
Multibody Analysis of Sloshing Effect in a Glass Cylinder Container for Visual Inspection Activities
by Marco Claudio De Simone, Salvio Veneziano, Raffaele Pace and Domenico Guida
Appl. Sci. 2024, 14(11), 4522; https://doi.org/10.3390/app14114522 - 24 May 2024
Cited by 12 | Viewed by 1842
Abstract
This paper addresses the phenomenon of sloshing and the issues that arise during liquid handling at visual inspection stations. The pharmaceutical industry, recently put under pressure by the pandemic, has long adopted modular solutions consisting mainly of robotic islands. This work focuses on [...] Read more.
This paper addresses the phenomenon of sloshing and the issues that arise during liquid handling at visual inspection stations. The pharmaceutical industry, recently put under pressure by the pandemic, has long adopted modular solutions consisting mainly of robotic islands. This work focuses on a visual inspection island for glass vials and ampules called VRU. This machine uses robotic arms to optimize the inspection process and enables automated control of a wide range of products using image recognition techniques and AI algorithms. However, the handling of containers in the presence of liquids requires special precautions to avoid the occurrence of bubbles inside the fluid that can prevent the cameras from correctly capturing any defects present. The banal solution involves a drastic reduction in the speeds and accelerations to which the liquids are subjected. However, using appropriate techniques makes it possible to achieve performance values similar to those obtainable when manipulating solid materials. The developed algorithms were tested using multibody simulations in the Mathworks Simscape environment and then validated using a six-axis Fanuc robot. In this study, however, the analysis conducted aimed to determine the correlations between trajectories, laws of motion, and sloshing in containers handled at high speed in industrial applications. In this study a multibody model was developed using a CFD analysis. The container consisted of a glass vial for pharmaceutical uses containing a liquid inside. The results obtained from the CFD analysis allowed us to calibrate the multibody model for the next phase of optimization of the laws of motion to be followed by the manipulator. Full article
Show Figures

Figure 1

12 pages, 1272 KB  
Article
High-Throughput Bacteriophage Testing with Potency Determination: Validation of an Automated Pipetting and Phage Drop-Off Method
by Nicolas Dufour, Raphaëlle Delattre and Laurent Debarbieux
Biomedicines 2024, 12(2), 466; https://doi.org/10.3390/biomedicines12020466 - 19 Feb 2024
Cited by 3 | Viewed by 3825
Abstract
The development of bacteriophages (phages) as active pharmaceutical ingredients for the treatment of patients is on its way and regulatory agencies are calling for reliable methods to assess phage potency. As the number of phage banks is increasing, so is the number of [...] Read more.
The development of bacteriophages (phages) as active pharmaceutical ingredients for the treatment of patients is on its way and regulatory agencies are calling for reliable methods to assess phage potency. As the number of phage banks is increasing, so is the number of phages that need to be tested to identify therapeutic candidates. Currently, assessment of phage potency on a semi-solid medium to observe plaque-forming units is unavoidable and proves to be labor intensive when considering dozens of phage candidates. Here, we present a method based on automated pipetting and phage drop-off performed by a liquid-handling robot, allowing high-throughput testing and phage potency determination (based on phage titer and efficiency of plaquing). Ten phages were tested, individually and assembled into one cocktail, against 126 Escherichia coli strains. This automated method was compared to the reference one (manual assay) and validated in terms of reproducibility and concordance (ratio of results according to the Bland and Altman method: 0.99; Lin’s concordance correlation coefficient: 0.86). We found that coefficients of variation were lower with automated pipetting (mean CV: 13.3% vs. 24.5%). Beyond speeding up the process of phage screening, this method could be used to standardize phage potency evaluation. Full article
(This article belongs to the Section Molecular and Translational Medicine)
Show Figures

Figure 1

13 pages, 3284 KB  
Article
Getting Ready for Large-Scale Proteomics in Crop Plants
by Sarah Brajkovic, Nils Rugen, Carlos Agius, Nicola Berner, Stephan Eckert, Amirhossein Sakhteman, Claus Schwechheimer and Bernhard Kuster
Nutrients 2023, 15(3), 783; https://doi.org/10.3390/nu15030783 - 3 Feb 2023
Cited by 10 | Viewed by 6963
Abstract
Plants are an indispensable cornerstone of sustainable global food supply. While immense progress has been made in decoding the genomes of crops in recent decades, the composition of their proteomes, the entirety of all expressed proteins of a species, is virtually unknown. In [...] Read more.
Plants are an indispensable cornerstone of sustainable global food supply. While immense progress has been made in decoding the genomes of crops in recent decades, the composition of their proteomes, the entirety of all expressed proteins of a species, is virtually unknown. In contrast to the model plant Arabidopsis thaliana, proteomic analyses of crop plants have often been hindered by the presence of extreme concentrations of secondary metabolites such as pigments, phenolic compounds, lipids, carbohydrates or terpenes. As a consequence, crop proteomic experiments have, thus far, required individually optimized protein extraction protocols to obtain samples of acceptable quality for downstream analysis by liquid chromatography tandem mass spectrometry (LC-MS/MS). In this article, we present a universal protein extraction protocol originally developed for gel-based experiments and combined it with an automated single-pot solid-phase-enhanced sample preparation (SP3) protocol on a liquid handling robot to prepare high-quality samples for proteomic analysis of crop plants. We also report an automated offline peptide separation protocol and optimized micro-LC-MS/MS conditions that enables the identification and quantification of ~10,000 proteins from plant tissue within 6 h of instrument time. We illustrate the utility of the workflow by analyzing the proteomes of mature tomato fruits to an unprecedented depth. The data demonstrate the robustness of the approach which we propose for use in upcoming large-scale projects that aim to map crop tissue proteomes. Full article
Show Figures

Figure 1

13 pages, 3106 KB  
Article
Scalable Combinatorial Assembly of Synthetic DNA for Tracking Applications
by Julius D. Stuart, Natalie R. Wickenkamp, Kaleb A. Davis, Camden Meyer, Rebekah C. Kading and Christopher D. Snow
Int. J. Mol. Sci. 2023, 24(3), 2549; https://doi.org/10.3390/ijms24032549 - 29 Jan 2023
Cited by 3 | Viewed by 3339
Abstract
Synthetic DNA barcodes are double-stranded DNA molecules designed to carry recoverable information, information that can be used to represent and track objects and organisms. DNA barcodes offer robust, sensitive detection using standard amplification and sequencing techniques. While numerous research groups have promoted DNA [...] Read more.
Synthetic DNA barcodes are double-stranded DNA molecules designed to carry recoverable information, information that can be used to represent and track objects and organisms. DNA barcodes offer robust, sensitive detection using standard amplification and sequencing techniques. While numerous research groups have promoted DNA as an information storage medium, less attention has been devoted to the design of economical, scalable DNA barcode libraries. Here, we present an alternative modular approach to sequence design. Barcode sequences were constructed from smaller, interchangeable blocks, allowing for the combinatorial assembly of numerous distinct tags. We demonstrated the design and construction of first-generation (N = 256) and second-generation (N = 512) modular barcode libraries, from fewer than 50 total single-stranded oligonucleotides for each library. To avoid contamination during experimental validation, a liquid-handling robot was employed for oligonucleotide mixing. Generating barcode sequences in-house reduces dependency upon external entities for unique tag generation, increasing flexibility in barcode generation and deployment. Next generation sequencing (NGS) detection of 256 different samples in parallel highlights the multiplexing afforded by the modular barcode design coupled with high-throughput sequencing. Deletion variant analysis of the first-generation library informed sequence design for enhancing barcode assembly specificity in the second-generation library. Full article
(This article belongs to the Section Molecular Informatics)
Show Figures

Graphical abstract

18 pages, 9004 KB  
Article
Development and Validation of an Artificial Neural-Network-Based Optical Density Soft Sensor for a High-Throughput Fermentation System
by Matthias Medl, Vignesh Rajamanickam, Gerald Striedner and Joseph Newton
Processes 2023, 11(1), 297; https://doi.org/10.3390/pr11010297 - 16 Jan 2023
Cited by 16 | Viewed by 5446
Abstract
Optical density (OD) is a critical process parameter during fermentation, this being directly related to cell density, which provides valuable information regarding the state of the process. However, to measure OD, sampling of the fermentation broth is required. This is particularly challenging for [...] Read more.
Optical density (OD) is a critical process parameter during fermentation, this being directly related to cell density, which provides valuable information regarding the state of the process. However, to measure OD, sampling of the fermentation broth is required. This is particularly challenging for high-throughput-microbioreactor (HT-MBR) systems, which require robotic liquid-handling (LiHa) systems for process control tasks, such as pH regulation or carbon feed additions. Bioreactor volume is limited and automated at-line sampling occupies the resources of LiHa systems; this affects their ability to carry out the aforementioned pipetting operations. Minimizing the number of physical OD measurements is therefore of significant interest. However, fewer measurements also result in less process information. This resource conflict has previously represented a challenge. We present an artificial neural-network-based soft sensor developed for the real-time estimation of the OD in an MBR system. This sensor was able to estimate the OD to a high degree of accuracy (>95%), even without informative process variables stemming from, e.g., off-gas analysis only available at larger scales. Furthermore, we investigated and demonstrated scaling of the soft sensor’s generalization capabilities with the data from different antibody fragments expressing Escherichia coli strains. This study contributes to accelerated biopharmaceutical process development. Full article
(This article belongs to the Section Process Control and Monitoring)
Show Figures

Graphical abstract

13 pages, 9121 KB  
Article
From Microtiter Plates to Droplets—There and Back Again
by Thomas Henkel, Günter Mayer, Jörg Hampl, Jialan Cao, Linda Ehrhardt, Andreas Schober and Gregor Alexander Groß
Micromachines 2022, 13(7), 1022; https://doi.org/10.3390/mi13071022 - 28 Jun 2022
Cited by 5 | Viewed by 3258
Abstract
Droplet-based microfluidic screening techniques can benefit from interfacing established microtiter plate-based screening and sample management workflows. Interfacing tools are required both for loading preconfigured microtiter-plate (MTP)-based sample collections into droplets and for dispensing the used droplets samples back into MTPs for subsequent storage [...] Read more.
Droplet-based microfluidic screening techniques can benefit from interfacing established microtiter plate-based screening and sample management workflows. Interfacing tools are required both for loading preconfigured microtiter-plate (MTP)-based sample collections into droplets and for dispensing the used droplets samples back into MTPs for subsequent storage or further processing. Here, we present a collection of Digital Microfluidic Pipetting Tips (DMPTs) with integrated facilities for droplet generation and manipulation together with a robotic system for its operation. This combination serves as a bidirectional sampling interface for sample transfer from wells into droplets (w2d) and vice versa droplets into wells (d2w). The DMPT were designed to fit into 96-deep-well MTPs and prepared from glass by means of microsystems technology. The aspirated samples are converted into the channel-confined droplets’ sequences separated by an immiscible carrier medium. To comply with the demands of dose-response assays, up to three additional assay compound solutions can be added to the sample droplets. To enable different procedural assay protocols, four different DMPT variants were made. In this way, droplet series with gradually changing composition can be generated for, e.g., 2D screening purposes. The developed DMPT and their common fluidic connector are described here. To handle the opposite transfer d2w, a robotic transfer system was set up and is described briefly. Full article
(This article belongs to the Special Issue Droplet-Based Microfluidic Devices)
Show Figures

Figure 1

19 pages, 2983 KB  
Article
Automation System for the Flexible Sample Preparation for Quantification of Δ9-THC-D3, THC-OH and THC-COOH from Serum, Saliva and Urine
by Anna Bach, Heidi Fleischer, Bhagya Wijayawardena and Kerstin Thurow
Appl. Sci. 2022, 12(6), 2838; https://doi.org/10.3390/app12062838 - 10 Mar 2022
Cited by 10 | Viewed by 4839
Abstract
In the life sciences, automation solutions are primarily established in the field of drug discovery. However, there is also an increasing need for automated solutions in the field of medical diagnostics, e.g., for the determination of vitamins, medication or drug abuse. While the [...] Read more.
In the life sciences, automation solutions are primarily established in the field of drug discovery. However, there is also an increasing need for automated solutions in the field of medical diagnostics, e.g., for the determination of vitamins, medication or drug abuse. While the actual metrological determination is highly automated today, the necessary sample preparation processes are still mainly carried out manually. In the laboratory, flexible solutions are required that can be used to determine different target substances in different matrices. A suitable system based on an automated liquid handler was implemented. It has been tested and validated for the determination of three cannabinoid metabolites in blood, urine and saliva. To extract Δ9-tetrahydrocannabinol-D3 (Δ9-THC-D3), 11-hydroxy-Δ9-tetrahydrocannabinol (THC-OH) and 11-nor-9-carboxy-Δ9-tetrahydrocannabinol (THC-COOH) from serum, urine and saliva both rapidly and cost-effectively, three sample preparation methods automated with a liquid handling robot are presented in this article, the basic framework of which is an identical SPE method so that they can be quickly exchanged against each other when the matrix is changed. If necessary, the three matrices could also be prepared in parallel. For the sensitive detection of analytes, protein precipitation is used when preparing serum before SPE and basic hydrolysis is used for urine to cleave the glucuronide conjugate. Recoveries of developed methods are >77%. Coefficients of variation are <4%. LODs are below 1 ng/mL and a comparison with the manual process shows a significant cost reduction. Full article
(This article belongs to the Special Issue Robotics in Life Science Automation)
Show Figures

Figure 1

14 pages, 4506 KB  
Article
Semi-Automated High-Throughput Substrate Screening Assay for Nucleoside Kinases
by Katja F. Hellendahl, Maryke Fehlau, Sebastian Hans, Peter Neubauer and Anke Kurreck
Int. J. Mol. Sci. 2021, 22(21), 11558; https://doi.org/10.3390/ijms222111558 - 26 Oct 2021
Cited by 4 | Viewed by 3388
Abstract
Nucleoside kinases (NKs) are key enzymes involved in the in vivo phosphorylation of nucleoside analogues used as drugs to treat cancer or viral infections. Having different specificities, the characterization of NKs is essential for drug design and nucleotide analogue production in an in [...] Read more.
Nucleoside kinases (NKs) are key enzymes involved in the in vivo phosphorylation of nucleoside analogues used as drugs to treat cancer or viral infections. Having different specificities, the characterization of NKs is essential for drug design and nucleotide analogue production in an in vitro enzymatic process. Therefore, a fast and reliable substrate screening method for NKs is of great importance. Here, we report on the validation of a well-known luciferase-based assay for the detection of NK activity in a 96-well plate format. The assay was semi-automated using a liquid handling robot. Good linearity was demonstrated (r² > 0.98) in the range of 0–500 µM ATP, and it was shown that alternative phosphate donors like dATP or CTP were also accepted by the luciferase. The developed high-throughput assay revealed comparable results to HPLC analysis. The assay was exemplarily used for the comparison of the substrate spectra of four NKs using 20 (8 natural, 12 modified) substrates. The screening results correlated well with literature data, and additionally, previously unknown substrates were identified for three of the NKs studied. Our results demonstrate that the developed semi-automated high-throughput assay is suitable to identify best performing NKs for a wide range of substrates. Full article
Show Figures

Figure 1

11 pages, 32946 KB  
Article
‘TeeBot’: A High Throughput Robotic Fermentation and Sampling System
by Nicholas van Holst Pellekaan, Michelle E. Walker, Tommaso L. Watson and Vladimir Jiranek
Fermentation 2021, 7(4), 205; https://doi.org/10.3390/fermentation7040205 - 24 Sep 2021
Cited by 4 | Viewed by 4315
Abstract
When fermentation research requires the comparison of many strains or conditions, the major bottleneck is a technical one. Microplate approaches are not able to produce representative fermentative performance due to their inability to truly operate anaerobically, whilst more traditional methods do not facilitate [...] Read more.
When fermentation research requires the comparison of many strains or conditions, the major bottleneck is a technical one. Microplate approaches are not able to produce representative fermentative performance due to their inability to truly operate anaerobically, whilst more traditional methods do not facilitate sample density sufficient to assess enough candidates to be considered even medium throughput. Two robotic platforms have been developed that address these technological shortfalls. Both are built on commercially available liquid handling platforms fitted with custom labware. Results are presented detailing fermentation performance as compared to current best practice, i.e., shake flasks fitted with airlocks and sideports. The ‘TeeBot’ is capable sampling from 96 or 384 fermentations in 100 mL or 30 mL volumes, respectively, with airlock sealing and minimal headspace. Sampling and downstream analysis are facilitated by automated liquid handling, use of 96-well sample plate format and temporary cryo-storage (<0 °C). Full article
(This article belongs to the Special Issue Implementation of Digital Technologies on Beverage Fermentation)
Show Figures

Graphical abstract

13 pages, 6787 KB  
Article
Investigation of Zero Moment Point in a Partially Filled Liquid Vessel Subjected to Roll Motion
by Muhammad Usman, Muhammad Sajid, Emad Uddin and Yasar Ayaz
Appl. Sci. 2020, 10(11), 3992; https://doi.org/10.3390/app10113992 - 9 Jun 2020
Cited by 4 | Viewed by 2953
Abstract
Liquid-handling robots are designed to dispense sub-microliter quantities of fluids for applications including laboratory tests. When larger amounts of liquids are involved, sloshing must be considered as a parameter affecting stability, which is of significance for autonomous vehicles. The measurement and quantification of [...] Read more.
Liquid-handling robots are designed to dispense sub-microliter quantities of fluids for applications including laboratory tests. When larger amounts of liquids are involved, sloshing must be considered as a parameter affecting stability, which is of significance for autonomous vehicles. The measurement and quantification of slosh in enclosed volumes poses a challenge to researchers who have traditionally resorted to tracking the air–liquid interface for two-phase flow analysis. There is a need for a simpler method to predict rollover in these applications. In this work, a novel solution to address this problem is proposed in the form of the Zero Moment Point (ZMP) of a dynamic liquid region. Computational experiments of a partially filled, two-dimensional liquid vessel were carried out using the Volume of Fluid (VOF) method in a finite volume based open-source computational fluid dynamics solver. The movement of the air–liquid interface was tracked, while the Center of Mass and the resulting Zero Moment Point were determined from the numerical simulations at each time step. The computational model was validated by comparing the wall pressure and movement of the liquid-free surface to experimentally obtained values. It was concluded that for a dynamic liquid domain, the Zero Moment Point can be instrumental in determining the stability of partially filled containers subjected to sloshing. Full article
(This article belongs to the Special Issue Advances in Mechanical Systems Dynamics 2020)
Show Figures

Figure 1

19 pages, 7470 KB  
Article
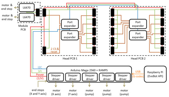
EvoBot: An Open-Source, Modular, Liquid Handling Robot for Scientific Experiments
by Andres Faiña, Brian Nejati and Kasper Stoy
Appl. Sci. 2020, 10(3), 814; https://doi.org/10.3390/app10030814 - 23 Jan 2020
Cited by 43 | Viewed by 18186
Abstract
Commercial liquid handling robots are rarely appropriate when tasks change often, which is the case in the early stages of biochemical research. In order to address it, we have developed EvoBot, a liquid handling robot, which is open-source and employs a modular design. [...] Read more.
Commercial liquid handling robots are rarely appropriate when tasks change often, which is the case in the early stages of biochemical research. In order to address it, we have developed EvoBot, a liquid handling robot, which is open-source and employs a modular design. The combination of an open-source and a modular design is particularly powerful because functionality is divided into modules with simple, well-defined interfaces, hence customisation of modules is possible without detailed knowledge of the entire system. Furthermore, the modular design allows end-users to only produce and assemble the modules that are relevant for their specific application. Hence, time and money are not wasted on functionality that is not needed. Finally, modules can easily be reused. In this paper, we describe the EvoBot modular design and through scientific experiments such as basic liquid handling, nurturing of microbial fuel cells, and droplet chemotaxis experiments document how functionality is increased one module at a time with a significant amount of reuse. In addition to providing wet-labs with an extendible, open-source liquid handling robot, we also think that modularity is a key concept that is likely to be useful in other robots developed for scientific purposes. Full article
(This article belongs to the Section Computing and Artificial Intelligence)
Show Figures

Figure 1

21 pages, 8084 KB  
Article
A Kinematic Controller for Liquid Pouring between Vessels Modelled with Smoothed Particle Hydrodynamics
by Gabriel Camporredondo, Ramón Barber, Mathieu Legrand and Lourdes Muñoz
Appl. Sci. 2019, 9(23), 5007; https://doi.org/10.3390/app9235007 - 20 Nov 2019
Cited by 2 | Viewed by 2976
Abstract
In robotics, the task of pouring liquids into vessels in non-structured or domestic spaces is an open field of study. A real time, fluid dynamic simulation, based on smoothed particle hydrodynamics (SPH), together with solid motion kinematics, allow for a closed loop control [...] Read more.
In robotics, the task of pouring liquids into vessels in non-structured or domestic spaces is an open field of study. A real time, fluid dynamic simulation, based on smoothed particle hydrodynamics (SPH), together with solid motion kinematics, allow for a closed loop control of pouring. In the first place, a control criterion related with the behavior of the liquid free surface is established to handle sloshing, especially in the initial phase of pouring to prevent liquid adhesion over the vessel rim. A 2-D, free surface SPH simulation is implemented on a graphic processing unit (GPU) to predict the liquid motion with real-time capability. The pouring vessel has a single degree of freedom of rotation, while the catching vessel has a single degree of freedom of translation, and the control loop handles the tilting angle of the pouring vessel. In this work, a two-stage pouring method is proposed, differentiating an initial phase where sloshing is particularly relevant, and a nearly constant outflow phase. For control purposes, the free outflow trajectory was simplified and modelled as a free falling solid with an initial velocity at the vessel crest, as calculated by the SPH simulation. As the first stage of pouring is more delicate, a novel slosh induction method (SIM) is proposed to overcome spilling issues during initial tilting in full filled vessels. Both robotic control and fluid modelling showed good results at multiples initial vessel filling heights. Full article
(This article belongs to the Section Applied Industrial Technologies)
Show Figures

Graphical abstract

21 pages, 5919 KB  
Article
Analytical Measurements and Efficient Process Generation Using a Dual–Arm Robot Equipped with Electronic Pipettes
by Heidi Fleischer, Daniel Baumann, Shalaka Joshi, Xianghua Chu, Thomas Roddelkopf, Michael Klos and Kerstin Thurow
Energies 2018, 11(10), 2567; https://doi.org/10.3390/en11102567 - 26 Sep 2018
Cited by 40 | Viewed by 8300
Abstract
The continued growth in life sciences is being accompanied by the constantly rising demand for robotic systems. Today, bioscreening and high–throughput screening processes are well automated. In contrast, a deficit can be found in the area of analytical measurements with complex and frequently [...] Read more.
The continued growth in life sciences is being accompanied by the constantly rising demand for robotic systems. Today, bioscreening and high–throughput screening processes are well automated. In contrast, a deficit can be found in the area of analytical measurements with complex and frequently changing processes. Robots undertake not only transportation tasks, but also direct sample manipulation and subsequent analytical measurements. Due to their human-like structure, dual-arm robots perform such processes similar to human operation. Liquid handling is required to transfer chemicals, to prepare standard solutions, or to dilute samples. Two electronic pipettes with different volume ranges (5–200 µL and 50–1000 µL) were integrated into a dual–arm robotic system. The main focus in this publication is the software interface for alternating robot and pipette control as well as the high–level process control system. The performance using a dual–arm robot equipped with electronic pipettes and conventional manual pipettes was determined and compared. The automation system presented is the first integration of a dual-arm robot in analytical measurement processes. Conventional manual laboratory pipettes and electronic pipettes are simultaneously used for liquid-handling tasks. The software control system enables a flexible and user-friendly process generation. Full article
(This article belongs to the Special Issue Robotics, Micronanosensor and Smart Devices for Control)
Show Figures

Figure 1

Back to TopTop