Sign in to use this feature.

Years

Between: -

Subjects

remove_circle_outline
remove_circle_outline
remove_circle_outline
remove_circle_outline
remove_circle_outline
remove_circle_outline
remove_circle_outline
remove_circle_outline
remove_circle_outline

Journals

remove_circle_outline
remove_circle_outline
remove_circle_outline
remove_circle_outline
remove_circle_outline

Article Types

Countries / Regions

remove_circle_outline
remove_circle_outline
remove_circle_outline
remove_circle_outline

Search Results (503)

Search Parameters:
Keywords = linear fractional problem

Order results
Result details
Results per page
Select all
Export citation of selected articles as:
39 pages, 2525 KB  
Article
Hybrid Caputo-Type Fractional Parallel Schemes for Nonlinear Elliptic PDEs with Chaos- and Bifurcation-Based Acceleration
by Mudassir Shams and Bruno Carpentieri
Fractal Fract. 2026, 10(3), 142; https://doi.org/10.3390/fractalfract10030142 - 25 Feb 2026
Viewed by 51
Abstract
In this work, we propose a fractional Jacobian–based parallel two-stage iterative framework for the numerical solution of nonlinear systems arising from elliptic PDE discretizations. The core of the approach is a high-order fractional two-step scheme (S1), which combines a linear Newton-type correction with [...] Read more.
In this work, we propose a fractional Jacobian–based parallel two-stage iterative framework for the numerical solution of nonlinear systems arising from elliptic PDE discretizations. The core of the approach is a high-order fractional two-step scheme (S1), which combines a linear Newton-type correction with a quadratic fractional correction and incorporates a structured parallel interaction mechanism inspired by Weierstrass-type schemes. Under standard regularity assumptions, a rigorous local convergence analysis shows that the S1 scheme provides a high-order local correction mechanism, yielding a convergence order of 2μ+3 under suitable local accuracy conditions. To enhance robustness with respect to the choice of initial guesses, a safeguarded realization of the method, denoted by SBVM*, is introduced. Since the safeguard mechanism may modify the local iteration map, convergence of SBVM* is ensured under appropriate acceptance conditions, while its asymptotic behavior coincides with that of the S1 scheme once the safeguard becomes inactive. The dynamical behavior of the resulting iterative map is further investigated through bifurcation diagrams and Lyapunov exponent analysis, providing practical guidelines for parameter selection and enabling the identification of stable operating regimes while avoiding chaotic behavior. Extensive numerical experiments involving linear and nonlinear elliptic benchmark problems from engineering and biomedical applications demonstrate that SBVM* achieves improved convergence behavior, enhanced numerical stability, and reduced computational cost relative to existing parallel solvers such as ELVM* and ACVM*. The proposed framework therefore provides an effective and scalable numerical approach for the solution of nonlinear elliptic models arising in biomedical and engineering contexts. Full article
25 pages, 5373 KB  
Article
Temperature Control of Nonlinear Continuous Stirred Tank Reactors Using an Enhanced Nature-Inspired Optimizer and Fractional-Order Controller
by Serdar Ekinci, Davut Izci, Aysha Almeree, Vedat Tümen, Veysel Gider, Ivaylo Stoyanov and Mostafa Jabari
Biomimetics 2026, 11(2), 153; https://doi.org/10.3390/biomimetics11020153 - 19 Feb 2026
Viewed by 293
Abstract
The temperature regulation of nonlinear continuous stirred tank reactor (CSTR) processes remains a challenging control problem due to strong nonlinearities, time-delay effects, and sensitivity to disturbances and parameter variations. Conventional proportional–integral–derivative (PID)-based control strategies often fail to provide the robustness and precision required [...] Read more.
The temperature regulation of nonlinear continuous stirred tank reactor (CSTR) processes remains a challenging control problem due to strong nonlinearities, time-delay effects, and sensitivity to disturbances and parameter variations. Conventional proportional–integral–derivative (PID)-based control strategies often fail to provide the robustness and precision required under such conditions, motivating the use of more flexible controller structures and advanced optimization techniques. In this study, an enhanced joint-opposition artificial lemming algorithm (JOS-ALA) is proposed for the optimal tuning of a fractional-order PID (FOPID) controller applied to CSTR temperature control. The proposed JOS-ALA incorporates a joint opposite selection mechanism into the original ALA to improve population diversity, convergence stability, and resistance to local optima stagnation. A nonlinear CSTR model is linearized around a stable operating point, and the resulting model is employed for controller design and optimization. The FOPID controller parameters are tuned by minimizing a composite cost function that simultaneously accounts for tracking accuracy, overshoot suppression, and instantaneous error behavior. The effectiveness of the proposed approach is assessed through extensive simulation studies and benchmarked against state-of-the-art and high-performance metaheuristic optimizers, including ALA, electric eel foraging optimization (EEFO), linear population size reduction success-history based adaptive differential evolution (L-SHADE), and the improved artificial electric field algorithm (iAEFA). The benchmarking set is further extended with the success rate-based adaptive differential evolution variant (L-SRTDE) to broaden the comparative evaluation. Simulation results demonstrate that the JOS-ALA-based FOPID controller consistently achieves superior performance across multiple criteria. Specifically, it attains the lowest mean cost function value of 0.1959, eliminates overshoot, and yields a normalized steady-state error of 4.7290 × 10−4. In addition, faster transient response and improved robustness under external disturbances and measurement noise are observed when compared with competing methods. Statistical reliability of the observed performance differences is additionally examined using a Wilcoxon signed-rank test conducted over 25 independent runs. The resulting p-values confirm that the improvements achieved by the proposed approach are statistically significant at the 5% level across all pairwise algorithm comparisons. These findings indicate that the proposed JOS-ALA provides an effective and reliable optimization framework for high-precision temperature control in nonlinear CSTR systems and offers strong potential for broader application in complex process control problems. Full article
(This article belongs to the Section Bioinspired Sensorics, Information Processing and Control)
Show Figures

Figure 1

11 pages, 275 KB  
Article
Nonlinear Fractional Boundary Value Problems: Lyapunov-Type Estimates Derived from a Generalized Gronwall Inequality
by Nadiyah Hussain Alharthi, Mehmet Zeki Sarıkaya and Rubayyi T. Alqahtani
Mathematics 2026, 14(4), 688; https://doi.org/10.3390/math14040688 - 15 Feb 2026
Viewed by 252
Abstract
In this paper, we investigate a class of nonlinear fractional boundary value problems involving the Caputo fractional derivative under two-point boundary conditions. By combining the Green function of the associated linear problem with a generalized Gronwall inequality, we derive pointwise estimates for solutions [...] Read more.
In this paper, we investigate a class of nonlinear fractional boundary value problems involving the Caputo fractional derivative under two-point boundary conditions. By combining the Green function of the associated linear problem with a generalized Gronwall inequality, we derive pointwise estimates for solutions expressed explicitly in terms of the Mittag–Leffler function. In contrast to existing Lyapunov-type inequalities, which are mainly restricted to linear equations and rely on global supremum norm estimates, our approach preserves the nonlinear structure of the problem and captures the local behavior of solutions. These pointwise estimates lead to a Lyapunov-type inequality for nonlinear fractional equations, extending the classical result of Jleli and Samet beyond the linear framework. Moreover, we show that the obtained Lyapunov condition serves not only as a necessary condition for the existence of nontrivial solutions, but also as a sufficient criterion ensuring Hyers–Ulam stability and uniqueness. An illustrative example is provided to demonstrate the applicability of the theoretical results. Full article
21 pages, 1020 KB  
Article
Maximum Principles for Fractional Diffusion Problems
by Stanislav Harizanov and Svetozar Margenov
Symmetry 2026, 18(2), 272; https://doi.org/10.3390/sym18020272 - 31 Jan 2026
Viewed by 276
Abstract
The maximum principle is a widely used qualitative property of linear (and not only) elliptic boundary value problems. A natural goal for developing numerical methods is for the approximate solution to have a similar property. In this case, we say that a discrete [...] Read more.
The maximum principle is a widely used qualitative property of linear (and not only) elliptic boundary value problems. A natural goal for developing numerical methods is for the approximate solution to have a similar property. In this case, we say that a discrete maximum principle holds. In many cases, such a requirement is critical to ensuring the reliability of computational models. Here, we consider multidimensional linear elliptic problems with diffusion and reaction terms. Such problems have been studied and analyzed for many decades. Since relatively recently, scientists have faced conceptually new challenges when considering anomalous (fractional) diffusion. In the present paper, we concentrate on the case of spectral fractional diffusion. Discretization was carried out using the finite difference method and the finite element method with a lumped mass matrix. In large-scale multidimensional problems, the computational complexity of dense matrix operations is critical. To overcome this problem, BURA (best uniform rational approximation) methods were applied to find the efficient numerical solutions of emerging dense linear systems. Thus, along with the need to satisfy the discrete maximum principle associated with the mesh method applied for discretization of the differential operator, the issue of the monotonicity of BURA numerical solution arises. The presented results are three-fold and include the following: (i) maximum principles for fractional diffusion–reaction problems; (ii) sufficient conditions for discrete maximum principles; and (iii) sufficient conditions for monotonicity of the investigated BURA- or BURA-like approximation methods. A novel, systematic theoretical analysis is developed for sub-diffusion with a fractional power α(1/2,1) and a constant reaction coefficient. The theoretical findings are further supported by numerical examples. Full article
(This article belongs to the Section Mathematics)
Show Figures

Figure 1

21 pages, 918 KB  
Article
A Numerical Approach for the Simultaneous Identification of a Source Term and a Robin Boundary Coefficient in Time-Fractional Reaction–Diffusion Equations
by Miglena N. Koleva
Mathematics 2026, 14(2), 324; https://doi.org/10.3390/math14020324 - 18 Jan 2026
Viewed by 244
Abstract
In the present study, we develop numerical approaches for the simultaneous determination of a time-dependent right-hand side and a Robin boundary coefficient in linear and quasilinear Caputo time-fractional reaction–diffusion problems based on boundary and interior observations. The well-posedness of the corresponding direct problems [...] Read more.
In the present study, we develop numerical approaches for the simultaneous determination of a time-dependent right-hand side and a Robin boundary coefficient in linear and quasilinear Caputo time-fractional reaction–diffusion problems based on boundary and interior observations. The well-posedness of the corresponding direct problems is established. A temporal semidiscretization is first constructed using the L21σ scheme, and the solution is decomposed with respect to the unknown functions. The correctness of the proposed method is proved. For the nonlinear diffusion problem, a quasilinearization technique is employed, and the spatial discretization is carried out using finite difference schemes. An iterative procedure is developed to solve the resulting inverse problem. Numerical simulations with noisy data are presented and discussed to demonstrate the efficiency of the method. Full article
(This article belongs to the Special Issue Advances in Numerical Analysis of Partial Differential Equations)
Show Figures

Figure 1

14 pages, 330 KB  
Article
Comprehensive Subfamilies of Bi-Univalent Functions Involving a Certain Operator Subordinate to Generalized Bivariate Fibonacci Polynomials
by Ibtisam Aldawish, Hari M. Srivastava, Sheza M. El-Deeb and Tamer M. Seoudy
Mathematics 2026, 14(2), 292; https://doi.org/10.3390/math14020292 - 13 Jan 2026
Viewed by 291
Abstract
This paper introduces novel subfamilies of analytic and bi-univalent functions in Ω=ςC:|ς|<1, defined by applying a linear operator associated with the Mittag–Leffler function and requiring subordination to domains related to generalized bivariate [...] Read more.
This paper introduces novel subfamilies of analytic and bi-univalent functions in Ω=ςC:|ς|<1, defined by applying a linear operator associated with the Mittag–Leffler function and requiring subordination to domains related to generalized bivariate Fibonacci polynomials. The proposed framework provides a unified treatment that generalizes numerous earlier studies by incorporating parameters controlling both the operator’s fractional calculus features and the domain’s combinatorial geometry. For these subfamilies, we establish initial coefficient bounds (d2, d3) and solve the Fekete–Szegö problem (d3ξd22). The derived inequalities are interesting, and their proofs leverage the intricate interplay between the series expansions of the Mittag–Leffler function and the generating function of the Fibonacci polynomials. By specializing the parameters governing the operator and the polynomial domain, we show how our main theorems systematically recover and extend a wide range of known results from the literature, thereby demonstrating the generality and unifying power of our approach. Full article
(This article belongs to the Special Issue Current Topics in Geometric Function Theory, 2nd Edition)
24 pages, 2236 KB  
Article
Radar HRRP Sequence Target Recognition Based on a Lightweight Spatiotemporal Fusion Network
by Xiang Li, Yitao Su, Xiaobin Zhao, Junjun Yin and Jian Yang
Sensors 2026, 26(1), 334; https://doi.org/10.3390/s26010334 - 4 Jan 2026
Viewed by 518
Abstract
High-resolution range profile (HRRP) sequence recognition in radar automatic target recognition faces several practical challenges, including severe category imbalance, degradation of robustness under complex and variable operating conditions, and strict requirements for lightweight models suitable for real-time deployment on resource-limited platforms. To address [...] Read more.
High-resolution range profile (HRRP) sequence recognition in radar automatic target recognition faces several practical challenges, including severe category imbalance, degradation of robustness under complex and variable operating conditions, and strict requirements for lightweight models suitable for real-time deployment on resource-limited platforms. To address these problems, this paper proposes a lightweight spatiotemporal fusion-based (LSTF) HRRP sequence target recognition method. First, a lightweight Transformer encoder based on group linear transformations (TGLT) is designed to effectively model temporal dynamics while significantly reducing parameter size and computation, making it suitable for edge-device applications. Second, a transform-domain spatial feature extraction network is introduced, combining the fractional Fourier transform with an enhanced squeeze-and-excitation fully convolutional network (FSCN). This design fully exploits multi-domain spatial information and enhances class separability by leveraging discriminative scattering-energy distributions at specific fractional orders. Finally, an adaptive focal loss with label smoothing (AFL-LS) is constructed to dynamically adjust class weights for improved performance on long-tail classes, while label smoothing alleviates overfitting and enhances generalization. Experiments on the MSTAR and CVDomes datasets demonstrate that the proposed method consistently outperforms existing baseline approaches across three representative scenarios. Full article
(This article belongs to the Special Issue Radar Target Detection, Imaging and Recognition)
Show Figures

Figure 1

23 pages, 343 KB  
Article
Controllability and Minimum-Energy Control of Fractional Differential Systems with Time-Varying State and Control Delays
by Musarrat Nawaz, Naiqing Song and Jahan Zeb Alvi
Fractal Fract. 2026, 10(1), 23; https://doi.org/10.3390/fractalfract10010023 - 29 Dec 2025
Cited by 1 | Viewed by 1046
Abstract
This paper presents a unified framework for controllability and minimum-energy control of linear fractional differential systems with Caputo derivative order γ(0,1) and fully time-varying state and control delays. An explicit mild solution representation is derived using the [...] Read more.
This paper presents a unified framework for controllability and minimum-energy control of linear fractional differential systems with Caputo derivative order γ(0,1) and fully time-varying state and control delays. An explicit mild solution representation is derived using the fractional fundamental matrix, and a new controllability Gramian is introduced. Using analytic properties of the matrix-valued Mittag-Leffler function, we prove a fractional Kalman-type theorem showing that bounded time-varying delays do not change the algebraic controllability structure determined by (F,G,K). The minimum-energy control problem is solved in closed form through Hilbert space methods. Efficient numerical strategies and several examples—including delayed viscoelastic, neural, and robotic models—demonstrate practical applicability and computational feasibility. Full article
31 pages, 1604 KB  
Article
Conformable Time-Delay Systems: Stability and Stabilization Under One-Sided Lipschitz Conditions
by Raouf Fakhfakh, Abdellatif Ben Makhlouf, Ibrahim-Elkhalil Ahmed, Husam E. Dargail and Omar Naifar
Symmetry 2025, 17(12), 2141; https://doi.org/10.3390/sym17122141 - 12 Dec 2025
Viewed by 394
Abstract
This study looks at the stability and stabilization issues concerning the nonlinear time-delay systems specified by conformable derivatives. These requirements can be used for many useful applications. Through the construction of appropriate Lyapunov–Krasovskii functionals, we develop novel linear matrix inequality (LMI) conditions for [...] Read more.
This study looks at the stability and stabilization issues concerning the nonlinear time-delay systems specified by conformable derivatives. These requirements can be used for many useful applications. Through the construction of appropriate Lyapunov–Krasovskii functionals, we develop novel linear matrix inequality (LMI) conditions for the exponential stability of autonomous systems and practical exponential stability for systems subject to bounded perturbations. Furthermore, we propose state-feedback stabilization strategies that transform the controller design problem into a convex optimization framework solvable via efficient LMI techniques. The theoretical developments are comprehensively validated through numerical examples that demonstrate the effectiveness of the proposed stability and stabilization criteria. The results establish a rigorous framework for analyzing and controlling conformable fractional-order systems with time delays, bridging theoretical advances with practical implementation considerations. Full article
(This article belongs to the Section Mathematics)
Show Figures

Figure 1

20 pages, 3456 KB  
Article
RBF-Based Meshless Collocation Method for Time-Fractional Interface Problems with Highly Discontinuous Coefficients
by Faisal Bilal, Muhammad Asif, Mehnaz Shakeel and Ioan-Lucian Popa
Math. Comput. Appl. 2025, 30(6), 133; https://doi.org/10.3390/mca30060133 - 5 Dec 2025
Cited by 1 | Viewed by 683
Abstract
Time-fractional interface problems arise in systems where interacting materials exhibit memory effects or anomalous diffusion. These models provide a more realistic description of physical processes than classical formulations and appear in heat conduction, fluid flow, porous media diffusion, and electromagnetic wave propagation. However, [...] Read more.
Time-fractional interface problems arise in systems where interacting materials exhibit memory effects or anomalous diffusion. These models provide a more realistic description of physical processes than classical formulations and appear in heat conduction, fluid flow, porous media diffusion, and electromagnetic wave propagation. However, the presence of complex interfaces and the nonlocal nature of fractional derivatives makes their numerical treatment challenging. This article presents a numerical scheme that combines radial basis functions (RBFs) with the finite difference method (FDM) to solve time-fractional partial differential equations involving interfaces. The proposed approach applies to both linear and nonlinear models with constant or variable coefficients. Spatial derivatives are approximated using RBFs, while the Caputo definition is employed for the time-fractional term. First-order time derivatives are discretized using the FDM. Linear systems are solved via Gaussian elimination, and for nonlinear problems, two linearization strategies, a quasi-Newton method and a splitting technique, are implemented to improve efficiency and accuracy. The method’s performance is assessed using maximum absolute and root mean square errors across various grid resolutions. Numerical experiments demonstrate that the scheme effectively resolves sharp gradients and discontinuities while maintaining stability. Overall, the results confirm the robustness, accuracy, and broad applicability of the proposed technique. Full article
(This article belongs to the Special Issue Radial Basis Functions)
Show Figures

Figure 1

13 pages, 1713 KB  
Case Report
Stage IIIa Lung Cancer Treatment by the Combined Tomotherapy and Infusion of Autologous Peripheral-Blood-Mononuclear-Derived Lymphocytes: A Case Report of Aged Patient
by Aigul Brimova, Anastasia Ganina, Larissa Kozina, Daulet Berikbol, Manarbek Askarov and Yerzhan Shayakhmetov
Transplantology 2025, 6(4), 37; https://doi.org/10.3390/transplantology6040037 - 5 Dec 2025
Viewed by 617
Abstract
Background: Lung cancer is one of the leading cancers worldwide in mortality and incidence. Treating advanced stages of lung cancer is a great problem because of high metastatic potential and low adherence to common monotherapies such as radiation or chemotherapy. In addition, monotherapy [...] Read more.
Background: Lung cancer is one of the leading cancers worldwide in mortality and incidence. Treating advanced stages of lung cancer is a great problem because of high metastatic potential and low adherence to common monotherapies such as radiation or chemotherapy. In addition, monotherapy in aged patients is not always sufficiently effective. Case Report: This study presents a clinical case of a 71-year-old man with an advanced stage of lung cancer. Computed tomography (CT) of the chest revealed central tumor of the left lung and moderate mediastinal lymphadenopathy. We found circulating tumor cells (CTC) in the peripheral blood of the patient at the level of approximately 19 cells per 1 mL above the referent detection limit. The patient was treated with combined tomotherapy (eight fractions, one fraction per day except weekends) and immune cell therapy using autologous activated lymphocytes (twice during the period, on tomotherapy day #1 and day #6). The lymphocytes were obtained from peripheral blood, purified, pre-activated in culture with a specific combination of cytokines, and infused back into the patient seven days post-culture. Two months post-therapy, the tumor was reduced by 42.5% in linear dimensions according to RECIST and by 78% of volume compared to the initial values, as confirmed by CT examination. Additionally, the level of CTC in the peripheral blood dropped to the referent detection limit. Conclusions: The combination of tomotherapy and immunotherapy with activated autologous lymphocytes may result in the positive dynamics of the malignant condition in selected patients, even in aged ones. Full article
(This article belongs to the Section Transplant Immunology and Immunosuppressive Drugs)
Show Figures

Figure 1

19 pages, 6825 KB  
Article
An Explicit Shifted Legendre Petrov–Galerkin Technique for the Time Fractional Cable Problem
by S. S. Alzahrani and Ahmed Gamal Atta
Mathematics 2025, 13(23), 3861; https://doi.org/10.3390/math13233861 - 2 Dec 2025
Viewed by 292
Abstract
This paper focuses on analyzing and implementing a numerical technique using the Petrov–Galerkin technique (PGT) to solve the time fractional cable problem (TFCP). The trial functions are a modified set of shifted Legendre polynomials (LPs). An appropriate numerical approach can be [...] Read more.
This paper focuses on analyzing and implementing a numerical technique using the Petrov–Galerkin technique (PGT) to solve the time fractional cable problem (TFCP). The trial functions are a modified set of shifted Legendre polynomials (LPs). An appropriate numerical approach can be used to solve the linear algebraic equations resulting from the application of the PGT. With error bounds, we discuss the truncation estimation and stability in the L2 norm. We apply some inequalities on the modified set of shifted LPs to this research. Numerical experiments include benchmark issues for which exact solutions are presented to show how efficient and accurate the method is. Comparisons with different techniques in the literature are used to support our examples. Full article
(This article belongs to the Section E: Applied Mathematics)
Show Figures

Figure 1

13 pages, 280 KB  
Article
A Note on Controllability of Time Invariant Linear Fractional h-Difference Equations
by Ferhan M. Atıcı, Jagan Mohan Jonnalagadda and Amber Wu
Fractal Fract. 2025, 9(12), 784; https://doi.org/10.3390/fractalfract9120784 - 1 Dec 2025
Viewed by 381
Abstract
In this paper, we establish and prove two main results: (i) a Kalman-like controllability criterion, and (ii) a rank condition on the controllability matrix, defined via the discrete Mittag–Leffler function, for time-invariant linear fractional-order h-discrete systems. Using some properties of the Mittag–Leffler-type [...] Read more.
In this paper, we establish and prove two main results: (i) a Kalman-like controllability criterion, and (ii) a rank condition on the controllability matrix, defined via the discrete Mittag–Leffler function, for time-invariant linear fractional-order h-discrete systems. Using some properties of the Mittag–Leffler-type function within the framework of fractional h-discrete calculus, we state and prove the variation of constants formula for an initial value problem. Then we use this formula to prove the equivalence between two notions of controllability: complete controllability and controllability to the origin. Full article
(This article belongs to the Special Issue Advances in Dynamics and Control of Fractional-Order Systems)
17 pages, 2686 KB  
Article
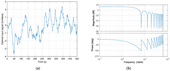
Optimal Input Design for Fractional-Order System Identification Using an LMI-Based Frequency Error Criterion
by Wiktor Jakowluk and Mirosław Świercz
Appl. Sci. 2025, 15(23), 12665; https://doi.org/10.3390/app152312665 - 29 Nov 2025
Viewed by 374
Abstract
This paper presents a novel approach to optimal input signal design for open-loop fractional-order system identification, using an integer-order approximation of the fractional operators to minimize the average input power. This is obtained by formulating the problem as an LMI (Linear Matrix Inequality) [...] Read more.
This paper presents a novel approach to optimal input signal design for open-loop fractional-order system identification, using an integer-order approximation of the fractional operators to minimize the average input power. This is obtained by formulating the problem as an LMI (Linear Matrix Inequality) optimization problem with the limitation of achieving at least a specified model accuracy. The ORA (Oustaloup Recursive Approximation) method has been employed to model the fractional-order differentiation operator in discrete integer-order Output Error model form. The optimal input design is executed using finite-dimensional FIR (Finite Impulse Response) filter spectrum parameterization, where the decision variables are calculated through convex optimization. The A-optimality criterion has been used to examine the relationship between the input signal spectrum power and the accuracy of estimated models. Finally, numerical examples illustrate the proposed approach, confirming the method’s suitability for fractional-order system identification. Full article
(This article belongs to the Section Robotics and Automation)
Show Figures

Figure 1

27 pages, 8609 KB  
Article
Error Analysis and Numerical Investigation of an L1-2 Fourth-Order Difference Scheme for Solving the Time-Fractional Burgers Equation
by Kanyuta Poochinapan and Ben Wongsaijai
Fractal Fract. 2025, 9(12), 775; https://doi.org/10.3390/fractalfract9120775 - 27 Nov 2025
Viewed by 683
Abstract
This paper presents a finite difference approach for solving the time-fractional Burgers’ equation, which is a model for nonlinear flow with memory effects. The method leverages the L1-2 formula for the fractional derivative and provides a novel linearization strategy to [...] Read more.
This paper presents a finite difference approach for solving the time-fractional Burgers’ equation, which is a model for nonlinear flow with memory effects. The method leverages the L1-2 formula for the fractional derivative and provides a novel linearization strategy to efficiently transform the system into a stable linear problem. Rigorous analysis establishes the existence, uniqueness, and pointwise-in-time convergence of the numerical solution in the L2 norm. The proposed formulation achieves second-order time accuracy and fourth-order spatial accuracy under smooth initial conditions, with numerically verified temporal convergence rates of O(τ1+α+τ2tnα2) for solutions with weak singularities. Critically, numerical findings demonstrate that the method is robust and highly efficient, offering high-resolution solutions at a substantially lower computational cost than equivalent graded-mesh formulations. Full article
Show Figures

Figure 1

Back to TopTop