Due to scheduled maintenance work on our servers, there may be short service disruptions on this website between 11:00 and 12:00 CEST on March 28th.
Sign in to use this feature.

Years

Between: -

Subjects

remove_circle_outline
remove_circle_outline
remove_circle_outline
remove_circle_outline
remove_circle_outline
remove_circle_outline
remove_circle_outline
remove_circle_outline
remove_circle_outline

Journals

remove_circle_outline
remove_circle_outline
remove_circle_outline
remove_circle_outline
remove_circle_outline
remove_circle_outline
remove_circle_outline
remove_circle_outline
remove_circle_outline
remove_circle_outline
remove_circle_outline
remove_circle_outline
remove_circle_outline
remove_circle_outline
remove_circle_outline
remove_circle_outline

Article Types

Countries / Regions

remove_circle_outline
remove_circle_outline
remove_circle_outline
remove_circle_outline
remove_circle_outline
remove_circle_outline

Search Results (1,814)

Search Parameters:
Keywords = linear discrete

Order results
Result details
Results per page
Select all
Export citation of selected articles as:
20 pages, 2987 KB  
Article
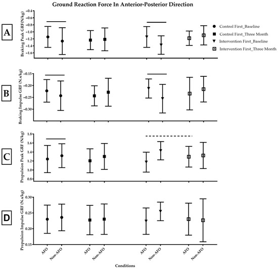
Ankle Foot Orthosis Intervention Improves the Ground Reaction Forces During Walking in Patients with Peripheral Artery Disease (Randomized Clinical Trial)
by Zahra Salamifar, Farahnaz Fallahtafti, Kaeli Samson, Iraklis I. Pipinos, Jason M. Johanning and Sara A. Myers
Actuators 2026, 15(4), 187; https://doi.org/10.3390/act15040187 (registering DOI) - 27 Mar 2026
Abstract
This study investigated the impact of walking with ankle-foot-orthoses (AFOs) and without AFOs (non-AFO) on ground reaction forces (GRFs) in patients with peripheral artery disease (PAD). Additionally, this study examined the effect of AFO intervention vs. no AFO intervention on GRFs while walking [...] Read more.
This study investigated the impact of walking with ankle-foot-orthoses (AFOs) and without AFOs (non-AFO) on ground reaction forces (GRFs) in patients with peripheral artery disease (PAD). Additionally, this study examined the effect of AFO intervention vs. no AFO intervention on GRFs while walking with and without AFOs. Fifty patients with PAD were randomly assigned to either a three-month intervention (AFO) or a control (standard-of-care) group. After three months, subjects crossed over to the alternate group and were evaluated after three additional months. GRF data (anterior-posterior, medial-lateral, and vertical) were collected during walking with and without AFOs at baseline, three, and six months. Peak discrete GRF points, braking and propulsion impulses were compared across conditions, groups, and time points using linear mixed models. The peak brake and propulsion GRF were significantly reduced while walking with AFOs versus non-AFO (p < 0.01). Compared to non-AFO, walking with AFOs significantly reduced lateral GRF magnitude (p = 0.03) and significantly increased medial GRF (p = 0.02). The first and second maximum (p < 0.01) vertical GRF were significantly increased with AFOs versus non-AFOs. Walking with AFOs helped patients with PAD achieve greater peak propulsion and vertical GRFs compared to non-AFO, with GRF values trending toward those previously reported in healthy individuals. Full article
Show Figures

Figure 1

21 pages, 6007 KB  
Article
Analytical Model and FE Implementation for FRCM-Retrofitted Flat Masonry Under Direct Shear Tests
by Hamza Tahat, Natalia Pingaro and Mario Fagone
J. Compos. Sci. 2026, 10(4), 177; https://doi.org/10.3390/jcs10040177 - 26 Mar 2026
Abstract
This study presents an analytical and numerical framework to describe the debonding behavior of fiber-reinforced cementitious matrix (FRCM)-reinforced flat masonry elements under direct shear tests. A sawtooth shear stress–slip law, initially proposed for Steel Reinforced Grout (SRG) systems by two of the authors, [...] Read more.
This study presents an analytical and numerical framework to describe the debonding behavior of fiber-reinforced cementitious matrix (FRCM)-reinforced flat masonry elements under direct shear tests. A sawtooth shear stress–slip law, initially proposed for Steel Reinforced Grout (SRG) systems by two of the authors, is calibrated for a PBO-FRCM system based on the experimental results available in the literature. These recent experimental outcomes on flat masonry pillars serve to validate the model by capturing essential interface behaviors, including residual strength and pseudo-linear hardening. Furthermore, a finite element (FE) model of the specimens has been developed to simulate the interface response, allowing for a comparison between numerical predictions and experimental results. The sawtooth law is implemented directly in commercial FE software without the need for custom coding. Additionally, a mesh sensitivity analysis was performed to verify numerical stability and identify the optimal discretization parameters for consistent model response. Results show good agreement among experimental observations, the sawtooth analytical model, and FE simulations. The analytical model slightly underestimates the experimental peak load by about 4–6%, while the FE predictions differ from the experimental results by less than 10%, confirming the reliability of the proposed modeling framework. Full article
28 pages, 2055 KB  
Article
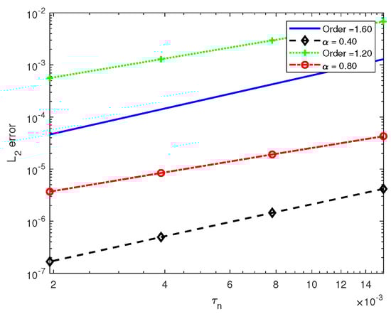
Hybrid Numerical–Machine Learning Framework for Time-Fractal Carreau–Yasuda Flow: Stability, Convergence, and Sensitivity Analysis
by Yasir Nawaz, Ramy M. Hafez and Muavia Mansoor
Fractal Fract. 2026, 10(4), 221; https://doi.org/10.3390/fractalfract10040221 - 26 Mar 2026
Abstract
This study introduces a modified computational scheme for handling linear and nonlinear fractal time-dependent partial differential equations. The method is constructed using three different stages that provide third-order accuracy in the fractal time variable. The stability of the approach is examined using scalar [...] Read more.
This study introduces a modified computational scheme for handling linear and nonlinear fractal time-dependent partial differential equations. The method is constructed using three different stages that provide third-order accuracy in the fractal time variable. The stability of the approach is examined using scalar fractal models and Fourier analysis, while convergence is established for coupled convection–diffusion systems. The numerical algorithm is applied to analyze the mixed convective flow of a Carreau–Yasuda non-Newtonian fluid over stationary and oscillating plates under the influence of viscous dissipation and magnetic field effects. For spatial discretization, the incompressible continuity equation is handled by a first-order difference scheme, whereas higher-order compact schemes are implemented for the momentum, thermal, and concentration equations. The numerical findings show that increasing the Weissenberg number and magnetic field inclination reduces the velocity distribution. An accuracy assessment against existing numerical techniques demonstrates that the present method yields smaller computational errors, particularly when central difference schemes are used in space. In addition, a surrogate machine learning model is developed to predict the skin friction coefficient and local Nusselt number using Reynolds, Weissenberg, Prandtl, and Eckert numbers as input features. The predictive capability of the model is validated through Parity plots, bar charts for sensitivity analysis, scatter visualization, and Taylor Diagrams, confirming strong agreement with the numerical results. Full article
(This article belongs to the Section General Mathematics, Analysis)
25 pages, 2325 KB  
Article
A Dual-Mode Memristor-Based Oscillator for Energy-Efficient Biomedical Wireless Systems
by Imen Barraj and Mohamed Masmoudi
Micromachines 2026, 17(4), 393; https://doi.org/10.3390/mi17040393 (registering DOI) - 24 Mar 2026
Viewed by 30
Abstract
This paper presents a novel dual-mode memristor-based ring oscillator designed for energy-efficient, wireless biomedical signal conditioning systems. The proposed architecture leverages a compact DTMOS memristor emulator, consisting of only two transistors and one capacitor, to replace the conventional NMOS pull-down devices in a [...] Read more.
This paper presents a novel dual-mode memristor-based ring oscillator designed for energy-efficient, wireless biomedical signal conditioning systems. The proposed architecture leverages a compact DTMOS memristor emulator, consisting of only two transistors and one capacitor, to replace the conventional NMOS pull-down devices in a three-stage PMOS ring oscillator. This integration enables two distinct operating modes within a single compact core: a fixed-frequency mode for stable clock generation and carrier synthesis, and a programmable chirp mode for frequency-modulated signal generation. The fixed-frequency mode achieves continuous tuning from 3.142 GHz to 4.017 GHz via varactor control, with an ultra-low power consumption of only 111 µW at 4.017 GHz. The chirp mode generates linear frequency sweeps starting from 0.8 GHz, with the sweep range independently controllable through the state capacitor value and the pulse width of the control signal (SWChirp). Designed in a standard 0.18 µm CMOS process, the oscillator exhibits a low phase noise of −87.82 dBc/Hz at a 1 MHz offset for the three-stage configuration, improving to −94.3 dBc/Hz for the five-stage design. The overall frequency coverage spans 0.8–4.017 GHz, representing a 133.6% fractional range. The calculated figure of merit (FoM) is −169.45 dBc/Hz. Experimental validation using a discrete CD4007 prototype confirms the oscillation principle, while comprehensive simulations demonstrate robust performance across process corners and temperature variations. With its zero-static-power memristor core, wide tunability, and dual-mode reconfigurability, the proposed oscillator is ideally suited for multi-standard wireless biomedical applications, including implantable telemetry, neural stimulation, ultra-wideband (UWB) transmitters, and non-contact vital sign monitoring. Full article
Show Figures

Figure 1

21 pages, 842 KB  
Article
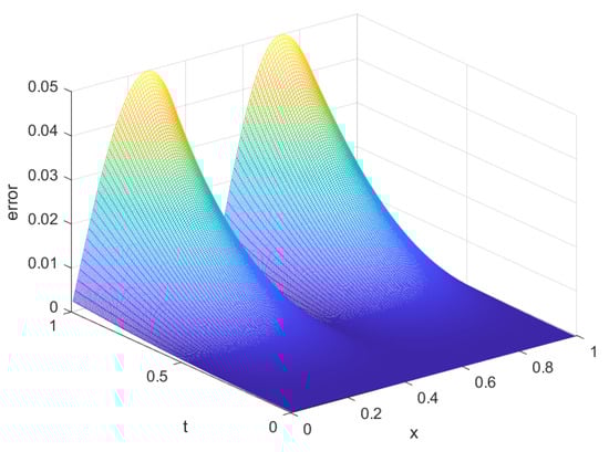
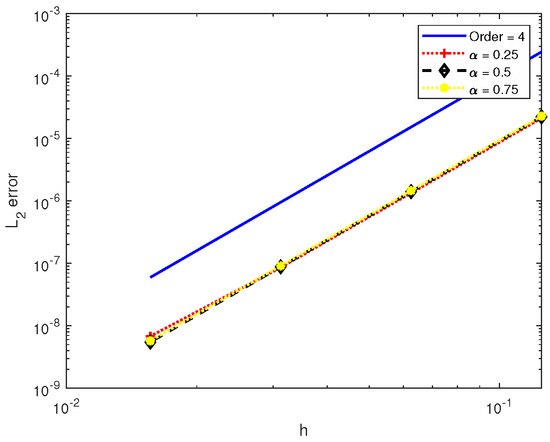
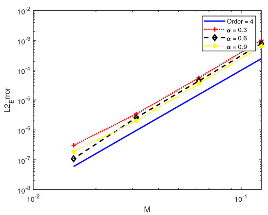
A Fourth-Order Difference Scheme for Solving the Generalized Nonlinear Time-Fractional Burgers-Type Equation
by Weiyan Zhang and Xuehua Yang
Fractal Fract. 2026, 10(4), 210; https://doi.org/10.3390/fractalfract10040210 - 24 Mar 2026
Viewed by 30
Abstract
In the present study, we propose a new nonlinear finite difference method for solving the generalized nonlinear time-fractional Burgers-type equation, which can achieve fourth-order accuracy in the spatial direction. The L1 formula is employed to discretize the time-fractional derivative on a graded mesh. [...] Read more.
In the present study, we propose a new nonlinear finite difference method for solving the generalized nonlinear time-fractional Burgers-type equation, which can achieve fourth-order accuracy in the spatial direction. The L1 formula is employed to discretize the time-fractional derivative on a graded mesh. Spatial discretization is accomplished by introducing a nonlinear fourth-order difference operator and a linear compact difference operator, and ultimately a nonlinear difference scheme with a temporal accuracy of order 2α and a spatial accuracy of the fourth order is deduced. For the proposed difference scheme, the existence and boundedness of its solution have been theoretically verified; meanwhile, combined with the cut-off function method, the uniqueness and convergence of the solution to this scheme are further proved. The optimal convergence result is attained under the L2 norm. Eventually, two numerical examples are provided, both of which match the theoretical analysis well. Full article
(This article belongs to the Section Numerical and Computational Methods)
Show Figures

Figure 1

23 pages, 1734 KB  
Article
Reinforcement-Learning-Based Optimization of Convective Fluxes for High-CFL Finite-Volume Schemes
by Andrey Rozhkov, Andrey Kozelkov, Vadim Kurulin and Maxim Shishlenin
Computation 2026, 14(4), 75; https://doi.org/10.3390/computation14040075 - 24 Mar 2026
Viewed by 75
Abstract
In this article, we explore the possibility of using reinforcement learning to create convective flow approximation schemes that maintain accuracy and stability at high Courant-Friedrichs-Lewy (CFL) numbers in the finite-volume discretization of advection equations. Unlike most existing data-driven discretization methods, which primarily concentrate [...] Read more.
In this article, we explore the possibility of using reinforcement learning to create convective flow approximation schemes that maintain accuracy and stability at high Courant-Friedrichs-Lewy (CFL) numbers in the finite-volume discretization of advection equations. Unlike most existing data-driven discretization methods, which primarily concentrate on spatial grid refinement, this work emphasizes increasing the allowable time step without compromising solution accuracy. This approach reduces the total number of time integration steps, thereby enabling faster computation. A neural network is used as a surrogate model for reconstructing the convective flow, which takes as input local information about the flow, scalars, and geometry and predicts scalar values at node points. Reinforcement learning is used for training and is formulated as a policy optimization problem, where the long-term reward is defined as the difference between the numerical and reference solutions over the entire simulation period. Both the genetic algorithm and the Deep Deterministic Policy Gradient (DDPG) method are investigated. The effectiveness of the approach is evaluated using a one-dimensional nonlinear advection problem with a constant velocity field. Despite the simplicity of the test case, the results demonstrate that the trained convective flux approximation scheme achieves accuracy comparable to or better than the classical second-order linear upwind (LUD) scheme, while operating at CFL numbers 2–50 times higher than the optimal CFL for LUD, thereby reducing the simulation time by the same factor. This allows for a wider range of stability and accuracy in the finite-volume method and the use of larger time steps without compromising the quality of the solution. The study is intentionally limited to a single spatial dimension and serves as a basic analysis of the method’s applicability. The results demonstrate that reinforcement learning can successfully find more convective flow approximation schemes that improve efficiency at high CFL numbers than conventional explicit second-order schemes, establishing a framework that is subsequently extended in our follow-up work to improve training methods and three-dimensional complex transport problems. The proposed method improves the spatial discretization of convective fluxes, which is independent of the choice of time integration scheme. Therefore, the neural reconstruction can in principle be used in both explicit and implicit finite-volume solvers. Full article
(This article belongs to the Section Computational Engineering)
Show Figures

Figure 1

18 pages, 1053 KB  
Article
Institutional Quality as a Conditioning Factor of Convergence: Evidence from European Economies
by Goran Lalić and Dragana Trifunović
World 2026, 7(4), 51; https://doi.org/10.3390/world7040051 - 24 Mar 2026
Viewed by 78
Abstract
This paper examines the role of institutional quality in shaping income convergence across European economies over the period 2004–2023. While previous studies frequently assume either linear institutional effects or strong regime-dependent threshold dynamics, this study evaluates whether institutional conditions fundamentally alter the speed [...] Read more.
This paper examines the role of institutional quality in shaping income convergence across European economies over the period 2004–2023. While previous studies frequently assume either linear institutional effects or strong regime-dependent threshold dynamics, this study evaluates whether institutional conditions fundamentally alter the speed of convergence. Using a fixed-effects panel framework with a spline-based specification and an endogenously determined institutional breakpoint, this analysis allows the convergence coefficient to vary across institutional regimes. The results confirm the presence of conditional convergence in the full sample and across regional subgroups. Although an estimated institutional breakpoint marginally improves model fit, formal Wald and bootstrap-based threshold tests do not provide strong evidence of a structural break in the convergence parameter. The speed of convergence remains broadly stable across institutional regimes, suggesting that institutional quality does not function as a binary activation threshold. Instead, institutions appear to operate as conditioning factors influencing the stability and robustness of convergence dynamics rather than triggering discrete regime shifts. Regional estimations reveal heterogeneity in institutional dispersion and growth volatility, particularly in the Western Balkans, yet without fundamental alterations in convergence mechanisms. The findings contribute to the literature by reframing the institutional–convergence nexus toward a moderated nonlinear interpretation, emphasizing structural conditioning rather than regime-dependent convergence. Full article
(This article belongs to the Section Inclusive and Regenerative Development)
Show Figures

Figure 1

18 pages, 9252 KB  
Article
Hydrodynamic Responses and Energy Harvesting of a Hemispherical Point-Absorber WEC in Uniform Current
by Seunghoon Oh, Se-Yun Hwang, Jae-chul Lee, Soon-sup Lee, Jong-Hyun Lee and Eun Soo Kim
Appl. Sci. 2026, 16(6), 3021; https://doi.org/10.3390/app16063021 - 20 Mar 2026
Viewed by 113
Abstract
This study investigates the hydrodynamic responses and energy harvesting performance of a hemispherical point-absorber wave energy converter (WEC) in uniform current. A frequency-domain Rankine source method (RSM) is developed to rigorously account for current-modified free-surface conditions, and an approximate free-surface Green-function method (AFSGM) [...] Read more.
This study investigates the hydrodynamic responses and energy harvesting performance of a hemispherical point-absorber wave energy converter (WEC) in uniform current. A frequency-domain Rankine source method (RSM) is developed to rigorously account for current-modified free-surface conditions, and an approximate free-surface Green-function method (AFSGM) is implemented to assess practical applicability under weak-current assumptions. The numerical settings for body, free-surface, and radiation-boundary discretizations are determined through convergence tests. Model validation is performed by comparing motion responses against published benchmark results under both zero-current and current conditions. The effects of current and motion constraints are examined for surge–heave free and heave-only cases. Results show that current can amplify the heave response and that surge freedom enhances heave motion through coupling effects, leading to increasing discrepancies between RSM and AFSGM as current strengthens. For heave-only motion, AFSGM provides practically acceptable predictions within  Fr 0.045, while noticeable differences appear near resonance beyond this range, for which RSM is recommended. Energy harvesting is evaluated using a linear PTO damping model, revealing that current alters the capture width ratio (CWR) and shifts the optimal PTO damping and frequency, indicating the necessity of considering current in performance assessment and PTO design. Full article
(This article belongs to the Section Energy Science and Technology)
Show Figures

Figure 1

24 pages, 611 KB  
Article
Discrete Asymmetric Double Lindley Distribution on Z: Theory, Likelihood Inference, and Applications
by Hugo S. Salinas, Hassan S. Bakouch, Sudeep R. Bapat, Amira F. Daghestani and Anhar S. Aloufi
Symmetry 2026, 18(3), 533; https://doi.org/10.3390/sym18030533 - 20 Mar 2026
Viewed by 112
Abstract
We introduce the discrete asymmetric double Lindley distribution, a new two-parameter family on the integer line designed to model signed counts and net changes with flexible asymmetric tail behavior. This statistical model is obtained by merging two Lindley-type linear-geometric kernels on the negative [...] Read more.
We introduce the discrete asymmetric double Lindley distribution, a new two-parameter family on the integer line designed to model signed counts and net changes with flexible asymmetric tail behavior. This statistical model is obtained by merging two Lindley-type linear-geometric kernels on the negative and non-negative half-lines, with tail decay rates that are coupled through a simple two-parameter mechanism. This construction yields an analytically tractable probability mass function with an explicit normalizing constant, as well as closed-form expressions for the cumulative distribution function and one-sided tail probabilities. We further provide a transparent stochastic representation based solely on Bernoulli and geometric random variables, leading to an exact and efficient simulation algorithm that is convenient for Monte Carlo studies and validating numerical likelihood routines. Graphical illustrations highlight the role of the asymmetry parameter in controlling the imbalance between the two tails and the resulting skewness on Z. The proposed family offers a practical and interpretable alternative to existing integer-line models for asymmetric discrete data, with direct applicability to likelihood-based inference and real-world datasets. Full article
(This article belongs to the Section Mathematics)
Show Figures

Figure 1

27 pages, 610 KB  
Article
Supervisor Design for Minimal Event Observation in Discrete Event Systems: A Linear Programming Approach
by Menghuan Hu and Yufeng Chen
Mathematics 2026, 14(6), 1058; https://doi.org/10.3390/math14061058 - 20 Mar 2026
Viewed by 99
Abstract
This paper studies the supervisory control of discrete event systems (DESs) from an event observation perspective and addresses the problem of supervisor design with minimal observation. In supervisory control, a supervisor enables or disables controllable events based on its observation of the system [...] Read more.
This paper studies the supervisory control of discrete event systems (DESs) from an event observation perspective and addresses the problem of supervisor design with minimal observation. In supervisory control, a supervisor enables or disables controllable events based on its observation of the system trajectory to guarantee controllability and nonblocking behavior with respect to a given specification, while the number of observed events critically affects the implementation complexity and cost of the control logic. Rather than minimizing the state space of the supervisor, which is the focus of classical supervisor reduction, this paper is dedicated to the minimization of observable events. Specifically, it aims to reduce the observation alphabet while preserving control equivalence with the original supremal supervisor. By analyzing the consistency of disabling decisions between event-enabled and event-disabled states, necessary and sufficient distinguishability conditions are derived and represented using Parikh vectors, which enables their formulation as linear separation constraints. In addition, event-enabled circles are introduced to capture intrinsic structural observability requirements induced by cyclic behaviors of the supervisor. These results lead to a mixed-integer linear programming (MILP) formulation that minimizes the observation alphabet while preserving control equivalence with the original supremal supervisor, together with an E-closure-based construction that synthesizes an executable event-minimal supervisor. Illustrative examples demonstrate that the proposed method can significantly reduce observation requirements even when state-minimal supervisors are already available, thereby improving implementation efficiency in resource-constrained DES applications. Full article
(This article belongs to the Special Issue Modeling and Optimization of Complex Systems)
Show Figures

Figure 1

25 pages, 5772 KB  
Article
Multipoint Temperature-Based Depth Analysis of a U-Tube Borehole Heat Exchanger
by Viktor Zonai, Laszlo Garbai and Robert Santa
Technologies 2026, 14(3), 187; https://doi.org/10.3390/technologies14030187 - 20 Mar 2026
Viewed by 143
Abstract
In ground-source heat-pump (GSHP) systems equipped with a single U-tube borehole heat exchanger (BHE), the heat-carrier fluid in the return leg may release heat to the surrounding ground in the shallow part of the borehole. From a fluid energy balance perspective, this is [...] Read more.
In ground-source heat-pump (GSHP) systems equipped with a single U-tube borehole heat exchanger (BHE), the heat-carrier fluid in the return leg may release heat to the surrounding ground in the shallow part of the borehole. From a fluid energy balance perspective, this is an exothermic process; however, it is detrimental during heating operation: It lowers the effective source temperature available to the heat pump and therefore degrades the overall coefficient of performance (COP). This study proposes a measurement-driven procedure to determine the exothermic transition depth z* from temperature profiles recorded at multiple depths along the ascending (return) pipe. The borehole is discretized into axial segments and, assuming a constant mass flow rate, the linear heat-exchange rate is estimated from the segment-wise enthalpy change. Time integration yields the segment-wise net energy exchange Q,i, which is then classified as exothermic or endothermic using an uncertainty-based threshold derived from the standard uncertainty of the temperature sensors. The exothermic transition depth z* is defined as the first statistically stable sign change in the integrated segment energy (from exothermic to endothermic) and is obtained by linear interpolation between adjacent segment centres. By summing the exothermic energy exchange and the corresponding average loss power, an equivalent change in source-side outlet temperature Tout is estimated and interpreted in terms of COP impact using a Carnot-scaled surrogate model. For two representative operating conditions, z* was found at 31.17 m and 24.01 m, respectively, while the average exothermic loss power remained approximately 0.48 kW. The estimated Tout ranged from 0.52 to 0.75 K, corresponding to a diagnostic COP improvement if this parasitic exothermic exchange could be mitigated. The present results should therefore be interpreted as a case study-based demonstration of the method on one instrumented borehole rather than as a universal quantitative prediction for other sites or borehole fields. Full article
Show Figures

Figure 1

18 pages, 2314 KB  
Article
Efficient Two-Stage Autofocus for Micro-Assembly Based on Joint Spatial-Frequency Image Quality Assessment
by Jianpeng Zhang, Tianbo Kang, Xin Zhao, Mingzhu Sun and Yi Yang
J. Imaging 2026, 12(3), 137; https://doi.org/10.3390/jimaging12030137 - 19 Mar 2026
Viewed by 183
Abstract
Reliable autofocus is a fundamental prerequisite for precise positioning in micro-assembly systems, where complex reflections, scale variations, and narrow depth-of-field often degrade the robustness of traditional sharpness metrics. To address these challenges, we propose an efficient two-stage autofocus method for a dual-camera micro-vision [...] Read more.
Reliable autofocus is a fundamental prerequisite for precise positioning in micro-assembly systems, where complex reflections, scale variations, and narrow depth-of-field often degrade the robustness of traditional sharpness metrics. To address these challenges, we propose an efficient two-stage autofocus method for a dual-camera micro-vision system based on a spatial-frequency image quality assessment (IQA) model. First, we design WaveMamba-IQA for image sharpness estimation, synergistically combining the Discrete Wavelet Transform with Vision Transformers to capture high-frequency details and semantic features, further enhanced by Multi-Linear Transposed Attention and Vision Mamba for global context modeling. Moreover, we implement a coarse-to-fine autofocus workflow, employing the Covariance Matrix Adaptation Evolution Strategy for global optimization on the horizontal camera, followed by geometric prior-based precise adjustment for the oblique camera. Experimental results on a custom microsphere dataset demonstrate that WaveMamba-IQA achieves a Spearman correlation coefficient of 0.9786. Furthermore, the integrated system achieves a 98.33% autofocus success rate across varying lighting conditions. This method significantly improves the robustness and automation level of micro-assembly systems, effectively overcoming the limitations of manual and traditional focusing techniques. Full article
(This article belongs to the Section Image and Video Processing)
Show Figures

Figure 1

41 pages, 9697 KB  
Article
A Unified Approach with Physics-Informed Neural Networks (PINNs) and the Homotopy Analysis Method (HAM) for Precise Approximate Solutions to Nonlinear PDEs: A Study of Burgers, Huxley, Fisher and Their Coupled Form
by Muhammad Azam, Dalal Alhwikem, Naseer Ullah and Faisal Alhwikem
Symmetry 2026, 18(3), 526; https://doi.org/10.3390/sym18030526 - 19 Mar 2026
Viewed by 279
Abstract
This study presents a systematic comparative benchmark between two distinct paradigms for solving nonlinear partial differential equations (PDEs): the data-driven Physics-Informed Neural Networks (PINNs) and the analytical Homotopy Analysis Method (HAM). We apply both methods to a unified family of canonical PDEs, the [...] Read more.
This study presents a systematic comparative benchmark between two distinct paradigms for solving nonlinear partial differential equations (PDEs): the data-driven Physics-Informed Neural Networks (PINNs) and the analytical Homotopy Analysis Method (HAM). We apply both methods to a unified family of canonical PDEs, the Burgers, Huxley, Fisher, Burgers–Huxley, and Burgers–Fisher equations, under identical problem setups, domain discretization, and validation metrics. PINNs incorporate physical laws directly into neural network training by minimizing a loss function that enforces PDE residuals, yielding physically consistent solutions even for strongly nonlinear problems. HAM provides approximate analytical solutions using a unified framework, and the same initial guess, auxiliary linear operator, and auxiliary function across all equations despite their distinct nonlinearities. The controlled, consistent application of both methods enables a fair, reproducible comparison across this equation family. The results provide a quantitative performance map under identical conditions, delineating when PINNs (high accuracy, long-term stability, and generalization capability) are preferable, versus when HAM (computational speed, short-term analytic approximation, and lower memory footprint) offers advantages. While the finite radius of convergence of the truncated HAM series is theoretically expected, our controlled comparison quantifies for the first time how this degradation varies across equation types, revealing that the choice between methods depends on specific problem requirements including error tolerance, available computational resources, and temporal horizon. The novelty lies not in solving each equation individually, but in deriving a performance taxonomy that systematically connects equation features (shocks, stiffness, and reaction–diffusion coupling) to optimal solver choice—providing previously unavailable, evidence-based guidance for the scientific computing community. This study establishes the first rigorous, controlled comparative benchmark between analytic and data-driven PDE solvers across a spectrum of nonlinearities, providing a reproducible baseline for future hybrid scientific machine learning solvers. Full article
(This article belongs to the Section Mathematics)
Show Figures

Figure 1

18 pages, 362 KB  
Article
Geodesic Dynamics for Constrained State-Space Models on Riemannian Manifolds
by Tianyu Wang, Xinghua Xu, Shaohua Qiu and Changchong Sheng
Mathematics 2026, 14(6), 1037; https://doi.org/10.3390/math14061037 - 19 Mar 2026
Viewed by 155
Abstract
We present a geodesic dynamics framework for discrete-time state evolution on the unit sphere SN1 that maintains exact unit-norm constraints through Riemannian exponential mapping. Given an input sequence and an initial state, the method constructs trajectories by projecting inputs to [...] Read more.
We present a geodesic dynamics framework for discrete-time state evolution on the unit sphere SN1 that maintains exact unit-norm constraints through Riemannian exponential mapping. Given an input sequence and an initial state, the method constructs trajectories by projecting inputs to tangent spaces and updating states along geodesics, incorporating temporal memory via approximate parallel transport of velocity directions. Unlike traditional approaches requiring post hoc normalization of linear updates, the geodesic formulation preserves xt=1 to machine precision while eliminating explicit N×N transition matrices in favor of D×N input embeddings when the intrinsic input dimension D is much smaller than the ambient dimension N. The update corresponds to a first-order exponential integrator on the sphere. We establish local Lipschitz continuity of the exponential map on positively curved manifolds with careful treatment of basepoint dependence, derive perturbation bounds showing linear-to-exponential growth transitions via Grönwall-type estimates, and we prove third-order asymptotic equivalence with normalized linear systems under appropriate scaling. Numerical experiments on synthetic data validate exact norm preservation over extended time horizons, confirm theoretical perturbation growth predictions, and demonstrate the effectiveness of the temporal memory mechanism in reducing long-horizon prediction errors. The framework provides a principled geometric approach for applications requiring exact directional or compositional constraints. Full article
27 pages, 7208 KB  
Article
Real-Time HILS Comparison of Full-State Feedback and LQ-Servo Tracking Control for a Wheeled Bipedal Robot
by Sooyoung Noh, Gu-sung Kim, Cheong-Ha Jung and Changhyun Kim
Actuators 2026, 15(3), 170; https://doi.org/10.3390/act15030170 - 17 Mar 2026
Viewed by 139
Abstract
Wheeled bipedal robots are promising for industrial mobility because they combine tight turning, agile balancing, and efficient rolling. Their inherently unstable and underactuated dynamics make reliable reference tracking challenging, particularly in the presence of sustained external disturbances and modeling errors. This paper presents [...] Read more.
Wheeled bipedal robots are promising for industrial mobility because they combine tight turning, agile balancing, and efficient rolling. Their inherently unstable and underactuated dynamics make reliable reference tracking challenging, particularly in the presence of sustained external disturbances and modeling errors. This paper presents a systematic modeling and control study using a three-degrees-of-freedom sagittal plane representation derived from the original six-degrees-of-freedom dynamics. Two linear tracking controllers are designed and compared: a full state feedback tracking controller and a linear quadratic servo controller with integral action. Practical performance is validated through real-time hardware in the loop simulation, where the controller runs on embedded hardware and the plant is executed on a real-time target including discrete time-sampling effects and analog input output communication noise associated with signal transmission. The results show that both controllers achieve stabilization, while the comparative HILS results reveal a trade-off rather than a uniformly superior controller. The full state feedback controller often yields lower finite-horizon position tracking errors, whereas the linear quadratic servo controller provides tighter body-pitch regulation and the more reliable removal of steady-state offset under sustained constant disturbances. These results demonstrate the feasibility of optimal servo control on cost-effective embedded platforms and indicate that controller selection should depend on the desired balance, considering tracking accuracy, disturbance rejection, convergence behavior, and actuator usage. Full article
(This article belongs to the Section Actuators for Robotics)
Show Figures

Figure 1

Back to TopTop