Sign in to use this feature.

Years

Between: -

Subjects

remove_circle_outline
remove_circle_outline
remove_circle_outline

Journals

Article Types

Countries / Regions

Search Results (13)

Search Parameters:
Keywords = lathyrane

Order results
Result details
Results per page
Select all
Export citation of selected articles as:
14 pages, 2312 KB  
Article
Macrocyclic Diterpenoids from Euphorbia peplus Possessing Activity Towards Autophagic Flux
by Lu Chen, Lulan Liu, Yingyao Li, Shipeng Guan, Lingling Fan, Xujie Qin, Yingtong Di, Lei Tang, Rongcan Luo and Ying Yan
Int. J. Mol. Sci. 2025, 26(1), 299; https://doi.org/10.3390/ijms26010299 - 31 Dec 2024
Cited by 5 | Viewed by 1609
Abstract
Euphjatrophanes H–L (15), four new jatrophane-type and one new lathyrane-type diterpenoid, were isolated from Euphorbia peplus, along with eight known diterpenoids (613). Their structures were established on the basis of extensive spectroscopic analysis and [...] Read more.
Euphjatrophanes H–L (15), four new jatrophane-type and one new lathyrane-type diterpenoid, were isolated from Euphorbia peplus, along with eight known diterpenoids (613). Their structures were established on the basis of extensive spectroscopic analysis and X-ray crystallographic experiments. All compounds were subjected to bioactivity evaluation using flow cytometry in autophagic flux assays with HM mCherry-GFP-LC3 cells, the human microglia cells which stably expressed the tandem monomeric mCherry-GFP-tagged LC3. Compounds 13, 510, and 12 significantly increase autophagic flux, and compounds 1 and 12 displayed relatively high BBB permeability, with logPe values of −4.853 and −5.017, respectively. These findings indicated that jatrophane diterpenoids could serve as a valuable source for innovative autophagy inducers. Full article
Show Figures

Graphical abstract

40 pages, 4309 KB  
Review
Anti-Inflammatory and Cytotoxic Compounds Isolated from Plants of Euphorbia Genus
by Sarai Rojas-Jiménez, María Guadalupe Valladares-Cisneros, David Osvaldo Salinas-Sánchez, Julia Pérez-Ramos, Leonor Sánchez-Pérez, Salud Pérez-Gutiérrez and Nimsi Campos-Xolalpa
Molecules 2024, 29(5), 1083; https://doi.org/10.3390/molecules29051083 - 29 Feb 2024
Cited by 12 | Viewed by 4250
Abstract
Euphorbia is a large genus of the Euphorbiaceae family. Around 250 species of the Euphorbia genus have been studied chemically and pharmacologically; different compounds have been isolated from these species, especially diterpenes and triterpenes. Several reports show that several species have anti-inflammatory activity, [...] Read more.
Euphorbia is a large genus of the Euphorbiaceae family. Around 250 species of the Euphorbia genus have been studied chemically and pharmacologically; different compounds have been isolated from these species, especially diterpenes and triterpenes. Several reports show that several species have anti-inflammatory activity, which can be attributed to the presence of diterpenes, such as abietanes, ingenanes, and lathyranes. In addition, it was found that some diterpenes isolated from different Euphorbia species have anti-cancer activity. In this review, we included compounds isolated from species of the Euphorbia genus with anti-inflammatory or cytotoxic effects published from 2018 to September 2023. The databases used for this review were Science Direct, Scopus, PubMed, Springer, and Google Scholar, using the keywords Euphorbia with anti-inflammatory or cytotoxic activity. In this review, 68 studies were collected and analyzed regarding the anti-inflammatory and anti-cancer activities of 264 compounds obtained from 36 species of the Euphorbia genus. The compounds included in this review are terpenes (95%), of which 68% are diterpenes, especially of the types ingenanes, abietanes, and triterpenes (approximately 15%). Full article
Show Figures

Figure 1

11 pages, 1943 KB  
Article
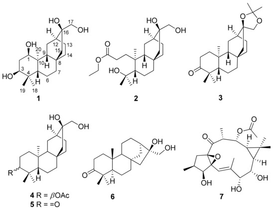
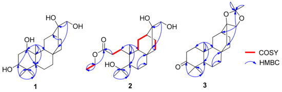
Enhancing Structural Diversity of Lathyrane Derivatives through Biotransformation by the Marine-Derived Actinomycete Streptomyces puniceus BC-5GB.11
by Felipe Escobar-Montaño, Victoria E. González-Rodríguez, Antonio J. Macías-Sánchez, José M. Botubol-Ares, Rosa Durán-Patrón and Rosario Hernández-Galán
Int. J. Mol. Sci. 2024, 25(4), 2289; https://doi.org/10.3390/ijms25042289 - 14 Feb 2024
Cited by 3 | Viewed by 1779
Abstract
Lathyrane-type diterpenes have a wide range of biological activities. Among them, euphoboetirane A (1) exerts neurogenesis-promoting activity. In order to increase the structural diversity of this type of lathyrane and explore its potential use in neurodegenerative disorders, the biotransformation of 1 [...] Read more.
Lathyrane-type diterpenes have a wide range of biological activities. Among them, euphoboetirane A (1) exerts neurogenesis-promoting activity. In order to increase the structural diversity of this type of lathyrane and explore its potential use in neurodegenerative disorders, the biotransformation of 1 by Streptomyces puniceus BC-5GB.11 has been investigated. The strain BC-5GB.11, isolated from surface sediments collected from the intertidal zone of the inner Bay of Cadiz, was identified as Streptomyces puniceus, as determined by phylogenetic analysis using 16S rRNA gene sequence. Biotransformation of 1 by BC-5GB.11 afforded five products (37), all of which were reported here for the first time. The main biotransformation pathways involved regioselective oxidation at non-activated carbons (35) and isomerization of the ∆12,13 double bond (6). In addition, a cyclopropane-rearranged compound was found (7). The structures of all compounds were elucidated on the basis of extensive NMR and HRESIMS spectroscopic studies. Full article
Show Figures

Figure 1

32 pages, 5158 KB  
Review
Myrsinane-Type Diterpenes: A Comprehensive Review on Structural Diversity, Chemistry and Biological Activities
by Eduarda Mendes, Cátia Ramalhete and Noélia Duarte
Int. J. Mol. Sci. 2024, 25(1), 147; https://doi.org/10.3390/ijms25010147 - 21 Dec 2023
Cited by 10 | Viewed by 3628
Abstract
Euphorbia species are important sources of polycyclic and macrocyclic diterpenes, which have been the focus of natural-product-based drug research due to their relevant biological properties, including anticancer, multidrug resistance reversal, antiviral, and anti-inflammatory activities. Premyrsinane, cyclomyrsinane, and myrsinane diterpenes are generally and collectively [...] Read more.
Euphorbia species are important sources of polycyclic and macrocyclic diterpenes, which have been the focus of natural-product-based drug research due to their relevant biological properties, including anticancer, multidrug resistance reversal, antiviral, and anti-inflammatory activities. Premyrsinane, cyclomyrsinane, and myrsinane diterpenes are generally and collectively designated as myrsinane-type diterpenes. These compounds are derived from the macrocyclic lathyrane structure and are characterized by having highly oxygenated rearranged polycyclic systems. This review aims to describe and summarize the distribution and diversity of 220 myrsinane-type diterpenes isolated in the last four decades from about 20 Euphorbia species. Some myrsinane diterpenes obtained from Jatropha curcas are also described. Discussion on their plausible biosynthetic pathways is presented, as well as isolation procedures and structural elucidation using nuclear magnetic resonance spectroscopy. Furthermore, the most important biological activities are highlighted, which include cytotoxic and immunomodulatory activities, the modulation of efflux pumps, the neuroprotective effects, and the inhibition of enzymes such as urease, HIV-1 reverse transcriptase, and prolyl endopeptidase, among other biological effects. Full article
(This article belongs to the Special Issue Natural Product Chemistry and Biological Research)
Show Figures

Figure 1

10 pages, 799 KB  
Article
Chemical Constituents of Euphorbia stracheyi Boiss (Euphorbiaceae)
by Hui Zhu, Xiangxiang Ren, Yanbo Huang, Tao Su and Lei Yang
Metabolites 2023, 13(7), 852; https://doi.org/10.3390/metabo13070852 - 15 Jul 2023
Cited by 5 | Viewed by 2769
Abstract
Euphorbia stracheyi Boiss was used for hemostasis, analgesia, and muscular regeneration in traditional Chinese medicine. To study the chemical constituents of E. stracheyi, the ethyl acetate part of the methanol extract of the whole plant was separated by silica gel, sephadex LH-20 [...] Read more.
Euphorbia stracheyi Boiss was used for hemostasis, analgesia, and muscular regeneration in traditional Chinese medicine. To study the chemical constituents of E. stracheyi, the ethyl acetate part of the methanol extract of the whole plant was separated by silica gel, sephadex LH-20 column chromatography, and semi-preparative HPLC. The isolation led to the characterization of a new lathyrane type diterpenoid, euphostrachenol A (1), as well as eleven known compounds (211), including a lathyrane, three ingenane-type and two abietane-type diterpenoids, two ionones, and two flavonoids. The structures of these compounds were established using 1D- and 2D-NMR experiments, mass spectrometry, and X-ray crystallographic experiments. The MTT method was used to determine the cytotoxic activity of five cancer cell lines (Leukemia HL-60, lung cancer A-549, liver cancer SMMC-7721, breast cancer MCF-7, and colon cancer SW480) on the isolated compounds. However, only compound 4 showed moderate cytotoxicity against these cell lines, with IC50 values ranging from 10.28 to 29.70 μM, while the others were inactive. Our chemical investigation also confirmed the absence of jatrophane-type diterpenoids in the species, which may be related to its special habitat. Full article
(This article belongs to the Special Issue Identification of Secondary Metabolites by Multi-Omics Methods)
Show Figures

Figure 1

18 pages, 3783 KB  
Article
Integrated Analysis of Transcriptome and microRNA Profile Reveals the Toxicity of Euphorbia Factors toward Human Colon Adenocarcinoma Cell Line Caco-2
by Lingyue Zou, Wenqiang Bao, Yadong Gao, Mengting Chen, Yajiao Wu, Shuo Wang, Chutao Li, Jian Zhang, Dongcheng Zhang, Qi Wang and An Zhu
Molecules 2022, 27(20), 6931; https://doi.org/10.3390/molecules27206931 - 16 Oct 2022
Cited by 10 | Viewed by 3050
Abstract
Euphorbia factors, lathyrane-type diterpenoids isolated from the medical herb Euphorbia lathyris L. (Euphorbiaceae), have been associated with intestinal irritation toxicity, but the mechanisms underlying this phenomenon are still unknown. The objective of this study was to evaluate the transcriptome and miRNA [...] Read more.
Euphorbia factors, lathyrane-type diterpenoids isolated from the medical herb Euphorbia lathyris L. (Euphorbiaceae), have been associated with intestinal irritation toxicity, but the mechanisms underlying this phenomenon are still unknown. The objective of this study was to evaluate the transcriptome and miRNA profiles of human colon adenocarcinoma Caco-2 cells in response to Euphorbia factors L1 (EFL1) and EFL2. Whole transcriptomes of mRNA and microRNA (miRNA) were obtained using second generation high-throughput sequencing technology in response to 200 μM EFL treatment for 72 h, and the differentially expressed genes and metabolism pathway were enriched. Gene structure changes were analyzed by comparing them with reference genome sequences. After 72 h of treatment, 16 miRNAs and 154 mRNAs were differently expressed between the EFL1 group and the control group, and 47 miRNAs and 1101 mRNAs were differentially expressed between the EFL2 group and the control. Using clusters of orthologous protein enrichment, the sequenced mRNAs were shown to be mainly involved in transcription, post-translational modification, protein turnover, chaperones, signal transduction mechanisms, intracellular trafficking, secretion, vesicular transport, and the cytoskeleton. The differentially expressed mRNA functions and pathways were enriched in transmembrane transport, T cell extravasation, the IL-17 signaling pathway, apoptosis, and the cell cycle. The differentially expressed miRNA EFLs caused changes in the structure of the gene, including alternative splicing, insertion and deletion, and single nucleotide polymorphisms. This study reveals the underlying mechanism responsible for the toxicity of EFLs in intestinal cells based on transcriptome and miRNA profiles of gene expression and structure. Full article
(This article belongs to the Special Issue Molecular Toxicology and Cancer Prevention)
Show Figures

Figure 1

31 pages, 4528 KB  
Article
Comprehensive Metabolic Profiling of Euphorbiasteroid in Rats by Integrating UPLC-Q/TOF-MS and NMR as Well as Microbial Biotransformation
by Sijia Xiao, Xike Xu, Xintong Wei, Jiayun Xin, Shanshan Li, Yanhui Lv, Wei Chen, Wenlin Yuan, Bin Xie, Xianpeng Zu and Yunheng Shen
Metabolites 2022, 12(9), 830; https://doi.org/10.3390/metabo12090830 - 2 Sep 2022
Cited by 11 | Viewed by 2405
Abstract
Euphorbiasteroid, a lathyrane-type diterpene from Euphorbiae semen (the seeds of Euphorbia lathyris L.), has been shown to have a variety of pharmacological effects such as anti-tumor and anti-obesity. This study aims to investigate the metabolic profiles of euphorbiasteroid in rats and rat liver [...] Read more.
Euphorbiasteroid, a lathyrane-type diterpene from Euphorbiae semen (the seeds of Euphorbia lathyris L.), has been shown to have a variety of pharmacological effects such as anti-tumor and anti-obesity. This study aims to investigate the metabolic profiles of euphorbiasteroid in rats and rat liver microsomes (RLMs) and Cunninghamella elegans bio-110930 by integrating ultra-performance liquid chromatography-quadrupole time-of-flight-mass spectrometry (UPLC-Q/TOF-MS), UNIFI software, and NMR techniques. A total of 31 metabolites were identified in rats. Twelve metabolites (M1M5, M8, M12M13, M16, M24M25, and M29) were matched to the metabolites obtained by RLMs incubation and the microbial transformation of C. elegans bio-110930 and their structures were exactly determined through analysis of NMR spectroscopic data. In addition, the metabolic pathways of euphorbiasteroid were then clarified, mainly including hydroxylation, hydrolysis, oxygenation, sulfonation, and glycosylation. Finally, three metabolites, M3 (20-hydroxyl euphorbiasteroid), M24 (epoxylathyrol) and M25 (15-deacetyl euphorbiasteroid), showed significant cytotoxicity against four human cell lines with IC50 values from 3.60 μM to 40.74 μM. This is the first systematic investigation into the in vivo metabolic pathways of euphorbiasteroid and the cytotoxicity of its metabolites, which will be beneficial for better predicting the metabolism profile of euphorbiasteroid in humans and understanding its possible toxic material basis. Full article
(This article belongs to the Special Issue Drug Discovery Metabolism and Biotransformation)
Show Figures

Figure 1

34 pages, 5367 KB  
Review
Pharmacological Potential of Lathyrane-Type Diterpenoids from Phytochemical Sources
by Fátima Vela, Abdellah Ezzanad, Alan Christy Hunter, Antonio José Macías-Sánchez and Rosario Hernández-Galán
Pharmaceuticals 2022, 15(7), 780; https://doi.org/10.3390/ph15070780 - 23 Jun 2022
Cited by 20 | Viewed by 4153
Abstract
Lathyrane diterpenoids are one of the primary types of secondary metabolites present in the genus Euphorbia and one of the largest groups of diterpenes. They are characterized by having a highly oxygenated tricyclic system of 5, 11 and 3 members. These natural products [...] Read more.
Lathyrane diterpenoids are one of the primary types of secondary metabolites present in the genus Euphorbia and one of the largest groups of diterpenes. They are characterized by having a highly oxygenated tricyclic system of 5, 11 and 3 members. These natural products and some synthetic derivatives have shown numerous interesting biological activities with clinical potential against various diseases, such as cytotoxic activity against cancer cell lines, multi-drug resistance reversal, antiviral properties, anti-inflammatory activity and their capability to induce proliferation or differentiation into neurons of neural progenitor cells. The structure of the lathyrane skeleton could be considered privileged because its framework is able to direct functional groups in a well-defined space. The favorable arrangement of these makes interaction possible with more than one target. This review aims to highlight the evidence of lathyranes as privileged structures in medicinal chemistry. Chemical structures of bioactive compounds, the evaluation of biological properties of natural and semisynthetic derivatives, and the exploration of the mechanisms of action as well as target identification and some aspects of their targeted delivery are discussed. Full article
(This article belongs to the Special Issue Privileged Structures as Leads in Medicinal Chemistry)
Show Figures

Graphical abstract

73 pages, 11699 KB  
Review
Euphorbia Diterpenes: An Update of Isolation, Structure, Pharmacological Activities and Structure–Activity Relationship
by Douglas Kemboi, Xavier Siwe-Noundou, Rui W. M. Krause, Moses K. Langat and Vuyelwa Jacqueline Tembu
Molecules 2021, 26(16), 5055; https://doi.org/10.3390/molecules26165055 - 20 Aug 2021
Cited by 37 | Viewed by 6679
Abstract
Euphorbia species have a rich history of ethnomedicinal use and ethnopharmacological applications in drug discovery. This is due to the presence of a wide range of diterpenes exhibiting great structural diversity and pharmacological activities. As a result, Euphorbia diterpenes have remained the focus [...] Read more.
Euphorbia species have a rich history of ethnomedicinal use and ethnopharmacological applications in drug discovery. This is due to the presence of a wide range of diterpenes exhibiting great structural diversity and pharmacological activities. As a result, Euphorbia diterpenes have remained the focus of drug discovery investigations from natural products. The current review documents over 350 diterpenes, isolated from Euphorbia species, their structures, classification, biosynthetic pathways, and their structure–activity relationships for the period covering 2013–2020. Among the isolated diterpenes, over 20 skeletal structures were identified. Lathyrane, jatrophane, ingenane, ingenol, and ingol were identified as the major diterpenes in most Euphorbia species. Most of the isolated diterpenes were evaluated for their cytotoxicity activities, multidrug resistance abilities, and inhibitory activities in vitro, and reported good activities with significant half-inhibitory concentration (IC50) values ranging from 10–50 µM. The lathyranes, isopimaranes, and jatrophanes diterpenes were further found to show potent inhibition of P-glycoprotein, which is known to confer drug resistance abilities in cells leading to decreased cytotoxic effects. Structure–activity relationship (SAR) studies revealed the significance of a free hydroxyl group at position C-3 in enhancing the anticancer and anti-inflammatory activities and the negative effect it has in position C-2. Esterification of this functionality, in selected diterpenes, was found to enhance these activities. Thus, Euphorbia diterpenes offer a valuable source of lead compounds that could be investigated further as potential candidates for drug discovery. Full article
(This article belongs to the Section Natural Products Chemistry)
Show Figures

Graphical abstract

7 pages, 1188 KB  
Article
Alpha-Glucosidase Inhibitory Diterpenes from Euphorbia antiquorum Growing in Vietnam
by Cong-Luan Tran, Thi-Bich-Ngoc Dao, Thanh-Nha Tran, Dinh-Tri Mai, Thi-Minh-Dinh Tran, Nguyen-Minh-An Tran, Van-Son Dang, Thi-Xuyen Vo, Thuc-Huy Duong and Jirapast Sichaem
Molecules 2021, 26(8), 2257; https://doi.org/10.3390/molecules26082257 - 13 Apr 2021
Cited by 22 | Viewed by 3645
Abstract
Bioactive-guided phytochemical investigation of Euphorbia antiquorum L. growing in Vietnam led to the isolation of five ent-atisanes, one seco-ent-atisane, and one lathyrane (ingol-type). The structures were elucidated as ent-1α,3α,16β,17-tetrahydroxyatisane (1), [...] Read more.
Bioactive-guided phytochemical investigation of Euphorbia antiquorum L. growing in Vietnam led to the isolation of five ent-atisanes, one seco-ent-atisane, and one lathyrane (ingol-type). The structures were elucidated as ent-1α,3α,16β,17-tetrahydroxyatisane (1), ethyl ent-3,4-seco-4,16β,17-trihydroxyatisane-3-carboxylate (2), ent-atisane-3-oxo-16β,17-acetonide (3), ent-3α-acetoxy-16β,17-dihydroxyatisane (4), ent-16β,17-dihydroxyatisane-3-one (5), calliterpenone (6), and ingol 12-acetate (7). Their chemical structures were unambiguously determined by analysis of one-dimensional (1D) and two-dimensional (2D) nuclear magnetic resonance (NMR) and high resolution mass spectrometry, as well as by comparison with literature data. Among them, 1 is a new compound while 2 is an ethylated artifact of ent-3,4-seco-4,16β,17-trihydroxyatisane-3-carboxylic acid, a new compound. Isolates were evaluated for alpha-glucosidase inhibition. Compound 3 showed the most significant inhibitory activity against alpha-glucosidase with an IC50 value of 69.62 µM. Further study on mechanism underlying yeast alpha-glucosidase inhibition indicated that 3 could retard the enzyme function by noncompetitive. Full article
(This article belongs to the Section Natural Products Chemistry)
Show Figures

Figure 1

12 pages, 1574 KB  
Review
Structural Diversity and Biological Activities of Diterpenoids Derived from Euphorbia fischeriana Steud
by Baiyu Jian, Hao Zhang and Jicheng Liu
Molecules 2018, 23(4), 935; https://doi.org/10.3390/molecules23040935 - 18 Apr 2018
Cited by 42 | Viewed by 5066
Abstract
Diterpenoids are the focus of natural product drug discovery because of their great structural diversity and pronounced biological activities. Euphorbia fischeriana Steud is a Chinese traditional medicinal herb for curing edema, ascites, and cancer. This plant contains rich diterpenoids. Based on the carbon [...] Read more.
Diterpenoids are the focus of natural product drug discovery because of their great structural diversity and pronounced biological activities. Euphorbia fischeriana Steud is a Chinese traditional medicinal herb for curing edema, ascites, and cancer. This plant contains rich diterpenoids. Based on the carbon skeleton and substituents, it can be classified into thirteen subtypes: ent-abietane, daphnane, tigliane, ingenane, ent-atisane, ent-rosane, ent-kaurene, ent-kaurane, secotigliane, lathyrane, ent-pimarene, isopimarene and dimeric. In this paper, we reviewed the chemical structures and biological activities of 90 diterpenoids isolated from this medicinal herb. We hope that this work can serve as a reference for further research of these diterpenoids and lay the foundation for drug discovery. Full article
Show Figures

Figure 1

11 pages, 548 KB  
Review
Anti-Cancer Activities of Diterpenoids Derived from Euphorbia fischeriana Steud
by Baiyu Jian, Hao Zhang, Cuicui Han and Jicheng Liu
Molecules 2018, 23(2), 387; https://doi.org/10.3390/molecules23020387 - 11 Feb 2018
Cited by 70 | Viewed by 7134
Abstract
Euphorbia fischeriana Steud is an essential oriental folk medicine used for healing cancer, edema and tuberculosis. Recently, its anticancer activitity has attracted more attention. A volume of research has indicated that diterpenoids are the major anticancer active constituents from this medicinal herb. In [...] Read more.
Euphorbia fischeriana Steud is an essential oriental folk medicine used for healing cancer, edema and tuberculosis. Recently, its anticancer activitity has attracted more attention. A volume of research has indicated that diterpenoids are the major anticancer active constituents from this medicinal herb. In this review, we aimed to provide a summary of the promising anticancer diterpenoids from this plant; many diterpenoids mentioned in this article are newly discovered diterpenoids. According to the carbon skeleton and substituents, they can be classified into eight subtypes: ent-abietane, daphnane, tigliane, ingenane, ent-atisane, ent-rosane, ent-kaurane, and lathyrane. Futhermore, their key anticancer mechanisms and protein targets of these compounds will be discussed. These natural diterpenoids could provide a reservoir for drug discovery. Full article
Show Figures

Figure 1

10 pages, 386 KB  
Article
Structure Identification of Euphorbia Factor L3 and Its Induction of Apoptosis through the Mitochondrial Pathway
by Jian-Ye Zhang, Yong-Ju Liang, Hu-Biao Chen, Li-Sheng Zheng, Yan-Jun Mi, Fang Wang, Xiao-Qin Zhao, Xiao-Kun Wang, Hui Zhang and Li-Wu Fu
Molecules 2011, 16(4), 3222-3231; https://doi.org/10.3390/molecules16043222 - 15 Apr 2011
Cited by 23 | Viewed by 8334
Abstract
In this article, we have focused on the structure identification of Euphorbia factor L3 belonging to the lathyrane diterpenoids isolated from Caper Euphorbia Seed. Its anticancer activity in vitro against lung cancer A549 cells was also investigated and the IC50 values were [...] Read more.
In this article, we have focused on the structure identification of Euphorbia factor L3 belonging to the lathyrane diterpenoids isolated from Caper Euphorbia Seed. Its anticancer activity in vitro against lung cancer A549 cells was also investigated and the IC50 values were 34.04 ± 3.99 μM. Furthermore, Euphorbia factor L3 could induce apoptosis in A549 cells via the mitochondrial pathway including loss of mitochondrial potential and release of cytochrome c. Full article
Show Figures

Graphical abstract

Back to TopTop