Sign in to use this feature.

Years

Between: -

Subjects

remove_circle_outline
remove_circle_outline
remove_circle_outline
remove_circle_outline
remove_circle_outline
remove_circle_outline
remove_circle_outline
remove_circle_outline
remove_circle_outline

Journals

Article Types

Countries / Regions

Search Results (25)

Search Parameters:
Keywords = land attachment mechanism

Order results
Result details
Results per page
Select all
Export citation of selected articles as:
28 pages, 3460 KB  
Article
Contributing to Responsible Tuna Management in the Indian Ocean: Updating Catch Reporting for the Sea of Oman and the Arabian Sea
by Dario Pinello, Ahmed Esmaeil Alsayed Alhashmi, Nicola Ferri, Duncan Leadbitter, Mohamed Hasan Ali Al Marzooqi, Mohamed Abdulla Ahmed Almusallami, Sultan Rashed Al Ali, Shamsa Mohamed Al Hameli, Franklin Francis and Shaikha Salem Al Dhaheri
Sustainability 2025, 17(17), 7889; https://doi.org/10.3390/su17177889 - 2 Sep 2025
Viewed by 606
Abstract
The United Arab Emirates (UAE) has a long history and tradition in fishing, yet its role in regional tuna management remains yet to be fully defined. This is the case specifically of tuna species, such as yellowfin, which are highly migratory and require [...] Read more.
The United Arab Emirates (UAE) has a long history and tradition in fishing, yet its role in regional tuna management remains yet to be fully defined. This is the case specifically of tuna species, such as yellowfin, which are highly migratory and require coordinated efforts in the context of a corresponding international governance framework, particularly in ecologically important areas like the Northern Indian Ocean and the Sea of Oman. Data collection and species identification present significant complexities for these species, yet accuracy is crucial for effective conservation and fair allocation of management shares. Although UAE fisheries are partly within the area of competence of the Indian Ocean Tuna Commission (IOTC), the country has only recently begun to give consideration to the process toward participating in this Regional Fisheries Management Organisation (RFMO) which, in turn, would provide for the relevant governance framework for the species examined in this paper. This paper explores the factors behind these developments and assesses their implications for regional tuna management. Based on scientific sampling, we developed estimates of past landing volumes and propose mechanisms for ensuring data collection instrumental to an informed participation by the UAE in the regional tuna management framework under the IOTC. Finally, we explored the implications that this development would have under public international law, departing from the traditional principle “ex facto oritur ius” (Latin: the law arises from facts), which embodies the notion that certain legal consequences attach to particular developments. With regard to the specific developments being addressed by this paper, there could be certain legal consequences for UAE; following the reconstruction of landings and the enhancement of international datasets, we postulate that there would be legal ground for UAE to exercise historical fishing rights and seek a potential allocation of quotas within the framework of IOTC. Full article
Show Figures

Figure 1

21 pages, 17434 KB  
Article
Towards Sustainable Human–Land Symbiosis: An Empirical Study of Chinese Traditional Villages
by Jianmin Wang, Xiaoying Wen, Shikang Zhou, Zhihong Zhang and Dongye Zhao
Land 2025, 14(8), 1676; https://doi.org/10.3390/land14081676 - 19 Aug 2025
Viewed by 474
Abstract
In response to the growing urban–rural dichotomy and escalating human–land conflicts in rural China, this study investigates the role of soundscapes as emotional mediators to enhance environmental satisfaction and foster sustainable human–land symbiosis. To address this need, we carried out a series of [...] Read more.
In response to the growing urban–rural dichotomy and escalating human–land conflicts in rural China, this study investigates the role of soundscapes as emotional mediators to enhance environmental satisfaction and foster sustainable human–land symbiosis. To address this need, we carried out a series of systematic field surveys at five representative traditional villages in a major provincial capital city in China, and we implemented a comprehensive questionnaire and surveyed 524 residents about their perceptions of sound, land affection, and environment. We employed a mixed-methods approach combining questionnaire surveys, association rule mining (ARM), and structural equation modeling (SEM) to explore the ‘sound–land–environment’ interaction chain. ARM analysis identified strong associations among tour guide narratives, local dialects, natural sounds (e.g., rustling leaves, birdsong), and tourist-generated sounds (support = 50%, confidence = 78%, lift = 1.33). SEM results revealed that soundscapes significantly and positively influence land dependence (β = 0.952, p < 0.001) and land rootedness (β = 1.812, p < 0.001), which in turn jointly affect environmental satisfaction (β = –0.192, p = 0.027) through a chain mediation pathway. These findings suggest that optimizing rural soundscapes can strengthen emotional bonds between people and land, thereby enhancing environmental satisfaction and promoting performance of sustainable human–land symbiosis. The study contributes theoretically by elucidating the emotional mechanisms linking soundscapes to human–land relationships and offers insights for incorporating soundscape considerations into village planning and developing policies to cultivate land attachment, supporting the sustainable development of traditional villages. Full article
Show Figures

Figure 1

17 pages, 2654 KB  
Article
Mitigating the Negative Impact of Certain Erosion Events: Development and Verification of Innovative Agricultural Machinery
by Tomáš Krajíček, Petr Marada, Ivo Horák, Jan Cukor, Vlastimil Skoták, Jan Winkler, Miroslav Dumbrovský, Radek Jurčík and Josef Los
Agriculture 2025, 15(3), 250; https://doi.org/10.3390/agriculture15030250 - 24 Jan 2025
Viewed by 1013
Abstract
This paper aims to solve the problem of erosion sediment that negatively affects the quality of fallowed soil through the development of a new type of agricultural machinery. The transported erosion sediment will be quantified locally to evaluate the danger of these negative [...] Read more.
This paper aims to solve the problem of erosion sediment that negatively affects the quality of fallowed soil through the development of a new type of agricultural machinery. The transported erosion sediment will be quantified locally to evaluate the danger of these negative effects on the fallowed soil and on the functionality of the grass cover. Subsequently, a new type of machinery will be proposed for the remediation of eroded sediment and conservation of the fallowed soil. In various fallow research areas with different management methods (such as biobelts, grassed valleys, and grassed waterways), agricultural land affected by eroded sediment was examined, and appropriate machinery was designed to rehabilitate the stands after erosion events. By identifying the physical and mechanical properties of the soil, as well as the eroded and deposited sediment/colluvium, the shape, material, attachment method, and assembly of the working tool for the relevant mobile energy device were designed. The developed tool, based on a plow–carry system using a tractor, features flexible tools that separate the eroded sediment from the fallow land surface, transfer it over a short distance, and accumulate it in a designated area to facilitate subsequent removal with minimal damage to the herbaceous vegetation. The calculated erosion event was 196.9 m3 (179.0 m3 ha−1), corresponding to 295 tons (268.5 t ha−1) deposited from the area of 90 ha. Afterward, the proposed machinery was evaluated for the cost of the removal of the eroded sediment. Based on experience from the field, we calculated that 174 m3 per engine hour results in EUR 0.22 m−3. From the performed experiment, it is evident that the proposed machinery offers a suitable solution for eroded sediment removal locally, which prevents further erosion and subsequent sediment deposition in water bodies where the costs for sediment removal are higher. Moreover, we have proven the potential negative impact of invasive plant species because their seeds were stored in the sediment. Finally, it is credible to state that the proposed agricultural machinery offers an effective solution for the eroded sediment relocation, which subsequently can be used for other purposes and monetized. This results in an increase in the profitability of the erosion sediment removal process, which is already in place at the source before further transportation to aquatic systems where the costs for removal are significantly higher. Full article
(This article belongs to the Section Agricultural Technology)
Show Figures

Figure 1

21 pages, 4425 KB  
Article
Mechanical Properties of Faecal Sludge and Its Influence on Moisture Retention
by Arun Kumar Rayavellore Suryakumar, Sergio Luis Parra-Angarita, Angélique Léonard, Jonathan Pocock and Santiago Septien
ChemEngineering 2025, 9(1), 2; https://doi.org/10.3390/chemengineering9010002 - 30 Dec 2024
Cited by 1 | Viewed by 1726
Abstract
The mechanical properties of faecal sludge (FS) influence its moisture retention characteristics to a greater extent than other properties. A comprehensive fundamental characterisation of the mechanical properties is scarcely discussed in the literature. This research focused on bulk and true densities, porosity, particle [...] Read more.
The mechanical properties of faecal sludge (FS) influence its moisture retention characteristics to a greater extent than other properties. A comprehensive fundamental characterisation of the mechanical properties is scarcely discussed in the literature. This research focused on bulk and true densities, porosity, particle size distribution and zeta-potential, extracellular polymeric substances, rheology and dilatancy, microstructure analysis, and compactibility in the context of using the FS as a substitute for soil in land reclamation and bioremediation processes. FSs from different on-site sanitation systems were collected from around Durban, South Africa. The porosity of the FSs varied between 42% and 63%, with the zeta-potential being negative, below 10 mV. Over 95% of the particles were <1000 µm. With its presence in the inner part of the solid particles, tightly bound extra-cellular polymeric substances (TB-EPSs) influenced the stability of the sludge by tightly attaching to the cell walls, with the highest being in the septic tank with the greywater sample. More proteins than carbohydrates also confirmed characterised the anaerobic nature of the sludge. The results of the textural properties using a penetrometer showed that the initial slope of the positive part of the penetration curve was related to the stiffness of the sludge sample and similar to that of sewage sludge. The dynamic oscillatory measurements exhibited a firm gel-like behaviour with a linear viscoelastic behaviour of the sludges due to the change in EPSs because of anaerobicity. The high-TS samples exhibited the role of moisture as a lubricating agent on the motion of solid particles, leading to dilatancy with reduced moisture, where the yield stress was no longer associated with the viscous forces but with the frictional contacts of solid–solid particle interactions. The filtration–compression cell test showed good compactibility, but the presence of unbound moisture even at a high pressure of 300 kPa meant that not all unbound moisture was easily removable. The moisture retention behaviour of FS was influenced by its mechanical properties, and any interventional changes to these properties can result in the release of the bound moisture of FS. Full article
(This article belongs to the Special Issue Innovative Approaches for the Environmental Chemical Engineering)
Show Figures

Figure 1

24 pages, 4045 KB  
Article
The Impact of Land-Use Carbon Efficiency on Ecological Resilience—The Moderating Role of Heterogeneous Environmental Regulations
by Wei Zhang, Zetian Wang and Shaohua Wang
Sustainability 2024, 16(22), 9842; https://doi.org/10.3390/su16229842 - 12 Nov 2024
Cited by 4 | Viewed by 1324
Abstract
China attaches great importance to land use and ecological civilization; hence, clarifying the relationship of land use on ecological resilience is crucial for urban development. The aim of this paper is to study the impact of land-use carbon efficiency on ecological resilience and [...] Read more.
China attaches great importance to land use and ecological civilization; hence, clarifying the relationship of land use on ecological resilience is crucial for urban development. The aim of this paper is to study the impact of land-use carbon efficiency on ecological resilience and the moderating role played by different environmental regulatory policies between the two, with the aim of providing a research basis and decision-making reference for the country’s ecological high-quality development by proposing suggestions for different subjects based on the results of this study. Taking 30 provinces and cities in mainland China from 2009 to 2022 as samples, the authors constructed an indicator system to measure their ecological resilience using the entropy method, measured their land-use carbon efficiency using the super SBM, and verified the mechanism of land-use carbon efficiency on ecological resilience by using the bidirectional fixed-effects model. Robustness and endogeneity tests confirmed the validity of the regression results. The following is a summary of this study’s findings: (1) Land-use carbon efficiency can enhance ecological resilience through various mechanisms such as scale promotion, structural upgrading, and technological progress. (2) Regional research shows that different regions have distinct effects of land-use carbon efficiency on ecological resilience. The northeastern region shows a non-significant inhibitory effect, whereas the eastern, middle, and western regions show varying degrees of promotion effects. Land-use carbon efficiency contributes to increased ecological resilience in resource-based and non-resource-based provinces, with resource-based provinces witnessing a greater increase in ecological resilience. The effects of land-use carbon efficiency on different aspects of ecological resilience are diverse, with ecosystem resistance and recovery being empowered. However, the precise mechanism through which ecosystem adaptability influences ecological resilience remains unclear. (3) Moreover, there is variation in the moderating impact of environmental legislation. Command-and-control environmental regulation impedes the positive impact of land-use carbon efficiency, and market-incentive environmental regulation strengthens their relationship, while spontaneous-participation environmental regulation does not significantly enhance their connection. It provides a new theoretical perspective for the study of ecological resilience, deepens the understanding of ecological resilience, and provides theoretical support for enhancing the resilience of ecosystems. Full article
Show Figures

Figure 1

22 pages, 12089 KB  
Article
Sustainable Transportation: Exploring the Node Importance Evolution of Rail Transit Networks during Peak Hours
by Chen Zhang, Yichen Liang, Tian Tian and Peng Peng
Sustainability 2024, 16(16), 6726; https://doi.org/10.3390/su16166726 - 6 Aug 2024
Cited by 1 | Viewed by 1455
Abstract
The scientific and rational assessment of the evolution of node importance in rail transit line networks is important for the sustainability of transportation systems. Based on the complex network theory, this study develops a weighted network model using the Space L method. It [...] Read more.
The scientific and rational assessment of the evolution of node importance in rail transit line networks is important for the sustainability of transportation systems. Based on the complex network theory, this study develops a weighted network model using the Space L method. It first considers the network topology, the mutual influence of neighboring nodes of the transportation system, and the land use intensity in the station influence domain to construct a comprehensive index evaluation system of node importance. It then uses the covariance-weighted principal component analysis algorithm to more comprehensively evaluate the node importance evolution mechanism and analyzes the similarity and difference of the sorting set by adopting three different methods. The interaction mechanism between the distribution of important nodes and the evolution of land use intensity is explored in detail based on the fractal dimension theory. The Xi’an rail transit network is considered an example of qualitative and quantitative analysis. The obtained results show that the importance of nodes varies at different times of the day and the complexity of the morning peak is more prominent. Over time, articulated fragments with significance values greater than 0.5 are formed around the station, which are aligned with the direction of urban development, creating a sustainable mechanism of interaction. As the network’s crucial nodes in the center of gravity increase and the southern network expands, along with the increased intensity of the city’s land utilization, the degree of alignment in evolution becomes increasingly substantial. Different strategies for attaching the network, organized based on the size of Si can lead to the rapid damage of the network (reducing it to 0.2). The identification of crucial nodes highlighted in this paper serves as an effective representation of the functional characteristics of the nodes in transportation networks. The results obtained can provide a reference for the operation and management of metro systems and further promote the sustainable development of transportation networks. Full article
Show Figures

Figure 1

22 pages, 3161 KB  
Article
Research on the Measurement, Evaluation and Compensation of Traditional Village Residents’ Emotional Perception: A Case of 14 Traditional Villages in Guanzhong Region
by Wenshuo Ma, Fengqun Wei, Leijie Yang and Xinyi Ran
Sustainability 2024, 16(6), 2546; https://doi.org/10.3390/su16062546 - 20 Mar 2024
Cited by 3 | Viewed by 2176
Abstract
Traditional village residents’ emotional perception is a mapping of the man–land relationship in rural areas, which leads to the attitudes and behaviors of the residents. Against the background of previous studies focusing on technical rationality but neglecting the exploration of “human” emotional factors, [...] Read more.
Traditional village residents’ emotional perception is a mapping of the man–land relationship in rural areas, which leads to the attitudes and behaviors of the residents. Against the background of previous studies focusing on technical rationality but neglecting the exploration of “human” emotional factors, it is crucial to carry out research on the traditional village residents’ emotional perception to promote people-centered rural development of high quality. The paper selected 123 residents from 14 traditional villages in Guanzhong region and constructs an evaluation index system which includes three dimensions based on the logical framework of “spiritual attachment-functional dependence-developmental cognition”. Next, the questionnaire method was used to collect data and the empirical analysis was conducted using the obstacle degree model and the network analysis model. The research shows that: (1) the overall level of the traditional village residents’ emotional perception is in the middle-upper class and there are significant differences, and there is a non-equilibrium in different evaluation dimensions. (2) The main obstacle to the improvement of the level of traditional village residents’ emotional perception is perception of development, followed by the sense of belonging, and the sense of happiness has a greater supportive role. (3) “Sustainable development of the village” (D-07) is the central node of the network analysis model of traditional village residents’ emotional perception. Meanwhile, the nodes “willingness to live” (G-02) and “basic rights are guaranteed” (X-10) are the central nodes of the sub-networks of sense of belonging and sense of happiness. (4) The residents’ education level and the frequency of community participation have a significant positive effect on their emotional perception level. Finally, the paper explores the dynamic compensation mechanism of traditional village residents’ emotional perception. Our results provide policy guidance for achieving sustainable development of traditional villages. Full article
Show Figures

Figure 1

22 pages, 4163 KB  
Review
Current Knowledge of Enterococcal Endocarditis: A Disease Lurking in Plain Sight of Health Providers
by Francesco Nappi
Pathogens 2024, 13(3), 235; https://doi.org/10.3390/pathogens13030235 - 7 Mar 2024
Cited by 10 | Viewed by 5114
Abstract
Enterococcus faecalis is a bacterial pathogen that can cause opportunistic infections. Studies indicate that initial biofilm formation plays a crucial regulatory role in these infections, as well as in colonising and maintaining the gastrointestinal tract as a commensal member of the microbiome of [...] Read more.
Enterococcus faecalis is a bacterial pathogen that can cause opportunistic infections. Studies indicate that initial biofilm formation plays a crucial regulatory role in these infections, as well as in colonising and maintaining the gastrointestinal tract as a commensal member of the microbiome of most land animals. It has long been thought that vegetation of endocarditis resulting from bacterial attachment to the endocardial endothelium requires some pre-existing tissue damage, and in animal models of experimental endocarditis, mechanical valve damage is typically induced by cardiac catheterisation preceding infection. This section reviews historical and contemporary animal model studies that demonstrate the ability of E. faecalis to colonise the undamaged endovascular endothelial surface directly and produce robust microcolony biofilms encapsulated within a bacterially derived extracellular matrix. This report reviews both previous and current animal model studies demonstrating the resilient capacity of E. faecalis to colonise the undamaged endovascular endothelial surface directly and produce robust microcolony biofilms encapsulated in a bacterially derived extracellular matrix. The article also considers the morphological similarities when these biofilms develop on different host sites, such as when E. faecalis colonises the gastrointestinal epithelium as a commensal member of the common vertebrate microbiome, lurking in plain sight and transmitting systemic infection. These phenotypes may enable the organism to survive as an unrecognised infection in asymptomatic subjects, providing an infectious resource for subsequent clinical process of endocarditis. Full article
Show Figures

Figure 1

19 pages, 1649 KB  
Article
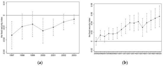
Assessment of the Effect of the Main Grain-Producing Areas Policy on China’s Food Security
by Shaohua Wang, Haixia Wu, Junjie Li, Qin Xiao and Jianping Li
Foods 2024, 13(5), 654; https://doi.org/10.3390/foods13050654 - 21 Feb 2024
Cited by 17 | Viewed by 2251
Abstract
Food provided a material foundation for the development of human society and was an important cornerstone for ensuring national security. The Chinese government has always attached great importance to food security, which is not only related to economic development and social stability but [...] Read more.
Food provided a material foundation for the development of human society and was an important cornerstone for ensuring national security. The Chinese government has always attached great importance to food security, which is not only related to economic development and social stability but also to national security and self-reliance. As the core region for grain production and the supply of staple food in China, the major grain-producing areas account for 78.25% of the total national grain output, truly earning the title of China’s “granary”. Considering the establishment of 13 major grain-producing regions across the country in 2004 as a quasi-natural experiment, the impact of policies in major grain-producing regions on ensuring national food security is examined using a difference-in-differences method based on inter-provincial panel data for 30 provinces across the country from 1997 to 2020, and the mechanisms of their effects are further analyzed. The findings show that (1) the main producing-areas policy has a significant driving effect on China’s food security, with an average annual increase of 0.0351 units in the food-security index, and the impact is expanding year by year. (2) The policy of the main grain-producing provinces mainly plays a role in guaranteeing food security by expanding the scale of grain cultivation and the scale of family land management in the main grain-producing provinces, and the scale effect of grain cultivation has a more significant impact. Further adjusting and improving the policy of the main grain-producing areas and expanding the scale-driven effect of this policy are of great significance for transforming agricultural production methods and realizing a strong agricultural country. Full article
(This article belongs to the Section Food Security and Sustainability)
Show Figures

Figure 1

19 pages, 2799 KB  
Article
The Effects and Mechanisms of the Rural Homestead System on the Imbalance of Rural Human–Land Relationships: Evidence from the Yangtze River Delta Urban Agglomeration in China
by Yuan Yi, Kaifeng Duan, Fang He and Yuxuan Si
Land 2024, 13(2), 137; https://doi.org/10.3390/land13020137 - 25 Jan 2024
Cited by 5 | Viewed by 2085
Abstract
The imbalance of rural human–land relationships has become a notable problem in China’s urbanization process. The dual urban–rural system is widely regarded as the crucial factor contributing to this problem in China. Although the significance of institutional forces has been substantially recognized, the [...] Read more.
The imbalance of rural human–land relationships has become a notable problem in China’s urbanization process. The dual urban–rural system is widely regarded as the crucial factor contributing to this problem in China. Although the significance of institutional forces has been substantially recognized, the rural homestead system seems to be generally under-evaluated in this issue. Most of the previous literature focuses on the dual household registration system, while the effects and the detailed mechanisms of the rural homestead system on human–land relationships lack depth in research. The objective of this research is to help fill this gap in the literature on the complex effects and the detailed mechanisms of the rural homestead system on rural human–land relationships. In view of this, this paper establishes a conceptual framework on the basis of land function theory and public domain of property rights theory and proposes two mechanism hypotheses: one is the land attachment mechanism of farmers’ rights and interests (LAM), the other is the land finance preference mechanism of local governments (LFPM). Then, this article examines them empirically using the panel model with the data of 41 cities from 2010 to 2021 in the Yangtze River Delta of China. The main conclusions are as follows: (1) LAM promotes the imbalance of rural human–land relationships due to the attachment of farmer’s social security rights and property expectant interests to the rural homesteads; (2) LFPM drives the imbalance of rural human–land relationships, owing to both the preference of land transfer revenue and the exclusion of rural migrants’ citizenship financial cost on local governments; (3) the moderating effects suggest that LFPM can strengthen the effect of LAM, and the spatial Durbin model results show that both LAM and LFPM have spatial spillover effects. It is hoped that the findings will provide a reference for deepening the rural homestead system reform. Full article
Show Figures

Figure 1

16 pages, 1748 KB  
Article
Learning SAR-Optical Cross Modal Features for Land Cover Classification
by Yujun Quan, Rongrong Zhang, Jian Li, Song Ji, Hengliang Guo and Anzhu Yu
Remote Sens. 2024, 16(2), 431; https://doi.org/10.3390/rs16020431 - 22 Jan 2024
Cited by 14 | Viewed by 4468
Abstract
Synthetic aperture radar (SAR) and optical images provide highly complementary ground information. The fusion of SAR and optical data can significantly enhance semantic segmentation inference results. However, the fusion methods for multimodal data remains a challenge for current research due to significant disparities [...] Read more.
Synthetic aperture radar (SAR) and optical images provide highly complementary ground information. The fusion of SAR and optical data can significantly enhance semantic segmentation inference results. However, the fusion methods for multimodal data remains a challenge for current research due to significant disparities in imaging mechanisms from diverse sources. Our goal was to bridge the significant gaps between optical and SAR images by developing a dual-input model that utilizes image-level fusion. To improve most existing state-of-the-art image fusion methods, which often assign equal weights to multiple modalities, we employed the principal component analysis (PCA) transform approach. Subsequently, we performed feature-level fusion on shallow feature maps, which retain rich geometric information. We also incorporated a channel attention module to highlight channels rich in features and suppress irrelevant information. This step is crucial due to the substantial similarity between SAR and optical images in shallow layers such as geometric features. In summary, we propose a generic multimodal fusion strategy that can be attached to most encoding–decoding structures for feature classification tasks, designed with two inputs. One input is the optical image, and the other is the three-band fusion data obtained by combining the PCA component of the optical image with the SAR. Our feature-level fusion method effectively integrates multimodal data. The efficiency of our approach was validated using various public datasets, and the results showed significant improvements when applied to several land cover classification models. Full article
(This article belongs to the Special Issue Intelligent Remote Sensing Data Interpretation)
Show Figures

Figure 1

21 pages, 8796 KB  
Article
The Evolution of the Waterfront Utilization and Sustainable Development of the Container Ports in the Yangtze River: A Case Study of the Yangtze River Delta
by Weichen Liu, Weixiao Chen and Youhui Cao
Land 2023, 12(4), 778; https://doi.org/10.3390/land12040778 - 29 Mar 2023
Cited by 2 | Viewed by 3192
Abstract
Waterfront resources are an important support system for the social and economic development within the region along the Yangtze River. Container ports are an important component of the Yangtze River port system, as well as for the growth point of waterfront utilization. Based [...] Read more.
Waterfront resources are an important support system for the social and economic development within the region along the Yangtze River. Container ports are an important component of the Yangtze River port system, as well as for the growth point of waterfront utilization. Based on the summary of remote sensing images and relevant data, this paper calculates the waterfront utilization of the container ports along the Yangtze River in the Yangtze River Delta (YRD), analyzes the waterfront organization pattern and change characteristics, and puts forward the enlightenment and countermeasures for the sustainable development of the port waterfronts. Extending the study of port resources from coastal areas to inland areas is an academic contribution of this paper. At the same time, it has practical significance for the high-quality development of port and shipping and the development and protection of land resources along the Yangtze River. In the YRD, the waterfront utilization of container ports has increased along the Yangtze River, showing a decrease from downstream to upwards, and it has formed dense zones attached to the central cities and major manufacturing bases. The ports with higher length of waterfront are mostly located in the shipping central cities and the Yangtze River estuary. The development direction of container ports is large-scale and specialized. The utilization of the container port waterfront is approaching the periphery of the city and areas with convenient transportation. The utilization of container port shorelines will be close to the periphery of the city and convenient transportation areas. The container port waterfronts occupy the ecological reserve, and the conflicts are expanding with the development of shipping, mainly distributed in the Yangtze River estuary. Based on the empirical analysis, this paper puts forward four enlightenments. First, the exploitation and utilization of the port waterfront has experienced multiple stages of “exploitation—conflict—mitigation”. With the transformation of productive waterfront utilization, the pattern of sustainable development along the Yangtze River has changed. Secondly, the conflict between waterfront utilization and protection is inevitable. Additionally, it is necessary to face up to the temporary rapid rise of encroachment on the reserve. Third, through the horizontal coordination of the port system along the river, the original focus on the hub cities will be transferred to the comprehensive consideration of the port cities in the whole region, and the waterfront load of different types of container ports can be balanced. Fourth, the Yangtze River Delta integration mechanism can solve the barriers between higher and lower levels or between different departments and cities. Full article
(This article belongs to the Special Issue Regional Sustainable Development of Yangtze River Delta, China)
Show Figures

Figure 1

20 pages, 2898 KB  
Article
Europe’s Potential Wood Supply by Harvesting System
by Christoph Pucher, Gernot Erber and Hubert Hasenauer
Forests 2023, 14(2), 398; https://doi.org/10.3390/f14020398 - 16 Feb 2023
Cited by 14 | Viewed by 3826
Abstract
Forests cover about 1/3 of Europe’s land area and are an important source in providing goods and services such as timber, drinking water, biodiversity, and carbon storage. They are important for a bioeconomy to mitigate climate change effects by reducing greenhouse gas emissions [...] Read more.
Forests cover about 1/3 of Europe’s land area and are an important source in providing goods and services such as timber, drinking water, biodiversity, and carbon storage. They are important for a bioeconomy to mitigate climate change effects by reducing greenhouse gas emissions from the combustion of fossil fuels. The purpose of this paper is to assess Europe’s potential wood supply by harvesting system. Gridded forest characteristics data are combined with other European spatially-explicit data. A set of eight mechanized harvesting systems is applied to assess the “forest available for wood supply” (FAWS) in Europe. The results show that 74.9% of the total forest area in Europe can be considered FAWS and has the potential to be harvested under the current economic and technical harvesting conditions. The remaining forest area is under legal protection (4.3%) or has limited accessibility with the current mechanized harvesting systems (20.8%). Around 79% of the FAWS can be accessed with ground-based machinery, and another 16% if their operation range is extended using special attachments (e.g., chains or band) or winch-assisted systems. Around 5% of the FAWS is only accessible by cable yarding machinery. With the fully mechanized harvesting systems (i) harvester and forwarder and (ii) winch-assisted harvester and winch-assisted forwarder, about 80% of the harvestable forest area and growing stock can potentially be utilized. Full article
(This article belongs to the Section Forest Operations and Engineering)
Show Figures

Figure 1

15 pages, 583 KB  
Article
Rural Land Transfer and Urban Settlement Intentions of Rural Migrants: Evidence from a Rural Land System Reform in China
by Yinxin Su, Mingzhi Hu and Yuzhe Wu
Int. J. Environ. Res. Public Health 2023, 20(4), 2817; https://doi.org/10.3390/ijerph20042817 - 5 Feb 2023
Cited by 12 | Viewed by 3469
Abstract
Using data from the China Migrants Dynamic Survey, this paper provides new evidence on the impact of rural land transfer on urban settlement intentions of rural migrants. There was a rural land system reform in rural China that provided increased compensation for rural [...] Read more.
Using data from the China Migrants Dynamic Survey, this paper provides new evidence on the impact of rural land transfer on urban settlement intentions of rural migrants. There was a rural land system reform in rural China that provided increased compensation for rural land expropriation and allowed the transaction of collective construction land for business purposes. We determine an increase in urban settlement intentions of rural migrants following the reform as an exogenous change in rural land transfer of rural migrants. We examine two mechanisms that may explain how the reform increased the settlement intentions of rural migrants, and our empirical evidence suggests that the reform increased social integration and reduced rural place attachment of rural migrants. Furthermore, we determine variations in the effect of the reform across migrants of various ages, social security benefits, and migration distances. Overall, this study extends the implications of the market-oriented rural land reform to sustainable and inclusive urbanization and highlights the role of social integration and rural place attachment in migration decisions. Full article
(This article belongs to the Special Issue Urbanization, Migration and Well-Being)
Show Figures

Figure 1

20 pages, 4441 KB  
Article
Disturbance Rejection Control for Active Vibration Suppression of Overhead Hoist Transport Vehicles in Semiconductor Fabs
by Jiajie Qiu, Hongjin Kim, Fangzhou Xia and Kamal Youcef-Toumi
Machines 2023, 11(2), 125; https://doi.org/10.3390/machines11020125 - 17 Jan 2023
Cited by 3 | Viewed by 3758
Abstract
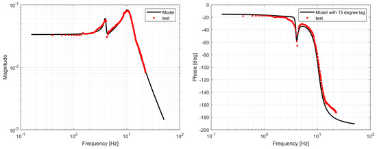
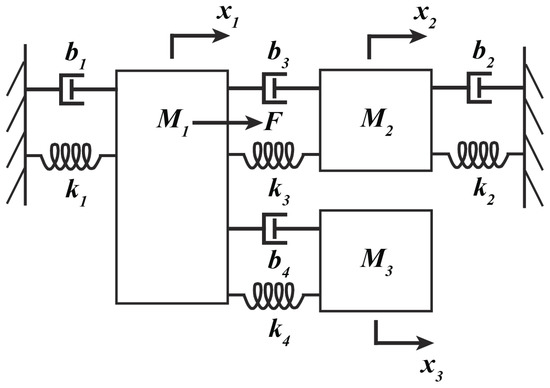
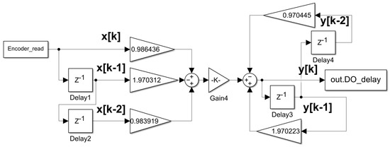
In modern semiconductor fabrication plants, automated overhead hoist transport (OHT) vehicles transport wafers in front opening unified pods (FOUPs). Even in a cleanroom environment, small particles excited by the mechanical vibration of the FOUP can still damage the chips if such particles land [...] Read more.
In modern semiconductor fabrication plants, automated overhead hoist transport (OHT) vehicles transport wafers in front opening unified pods (FOUPs). Even in a cleanroom environment, small particles excited by the mechanical vibration of the FOUP can still damage the chips if such particles land on the critical area of the wafers. To minimize the vibration excitation force transferred to the FOUP, this research focuses on controlling the vibration displacement level of an OHT hand unit interface between the OHT vehicle and the FOUP. However, since the OHT vehicle and the FOUP keep traveling, the target system is floating and there exists no external anchoring point for a controlling force source. In addition, no sensor attachments are permitted on mass-production FOUPs, which makes this vibration level suppression problem more challenging. In this research, a custom testbed is designed to replicate the acceleration profile of the OHT vehicle under its travel motion. Then, system modeling and identification is conducted using simulation and experiment to verify the fabricated testbed design. Finally, a disturbance observer-based controller (DOBC) is developed and implemented on a custom active vibration suppression actuator with inertia force-based counterbalancing to reduce peak vibration amplitude from 870 μm to 230 μm. Full article
(This article belongs to the Section Automation and Control Systems)
Show Figures

Figure 1

Back to TopTop