Disturbance Rejection Control for Active Vibration Suppression of Overhead Hoist Transport Vehicles in Semiconductor Fabs
Abstract
1. Introduction
- Development and characterization of a vibration generation testbed for reconstructing the OHT hand unit motion.
- Design and implementation of an inertia force-based active vibration suppression system.
- Proportional Integral (PI) and disturbance observer controller design to suppress of the induced vibration.
2. Hardware System Design
2.1. Testbed Mechanical Design
2.2. Testbed Instrumentation
3. System Characterization
3.1. System Modelling
- The testbed frame is modeled as a cantilever system, and only the first mode corresponding to the dominant pair of poles is considered and modeled as a single mass–spring-damper system.
- The dynamic of the high-stiffness stinger between the vibration actuation VCA and the hand unit is ignored for simplification. The VCA and the hand unit are lumped as a single mass .
- Small angle approximation is assumed for the hoist cables that connect the hand unit and the frame to linearize the pendulum system. The elongation of the rubber-texture cables is also ignored.
- The stroke of the clamp-equivalent spring is assumed to be unlimited, thus the bumping between the clamp end and the FOUP is ignored.
- Since the displacement of the VCA coil is small, the VCAs are assumed to be linear (output force is proportional to the input current).
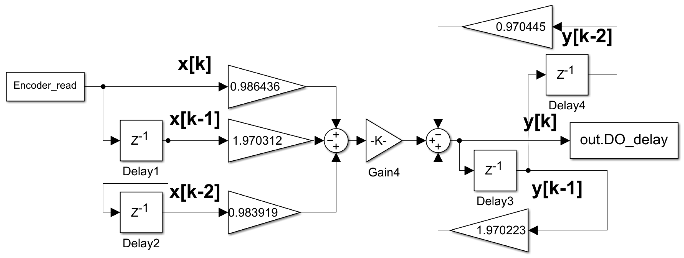
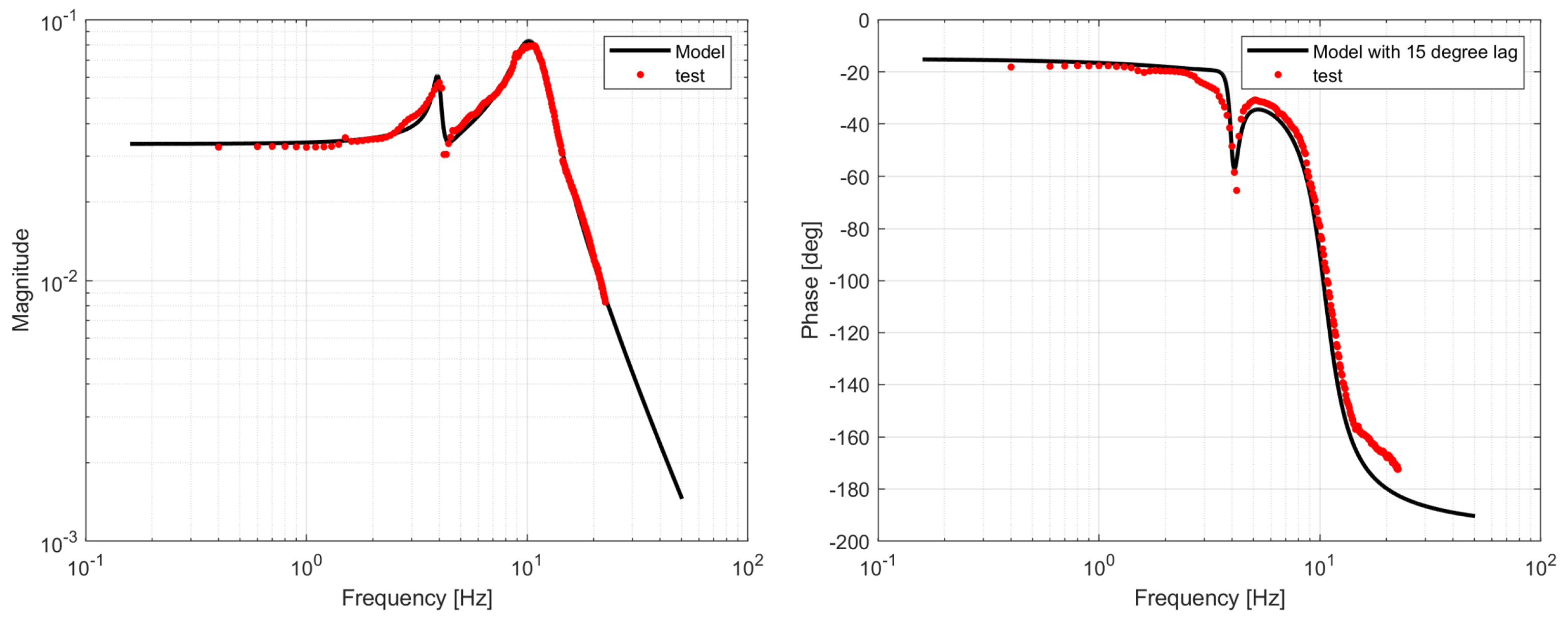
3.2. System Identification
3.3. Output Force Bandwidth Verification
3.4. Disturbance Force Generation
4. Active Vibration Suppression Controller Design
- Proportional integral derivative (PID)
- Disturbance observer
- Repetitive control
- Iterative learning control
- Data-driven learning
- to actuate the controller VCA moving mass to gain inertia force;
- to keep the controller VCA moving mass within a certain range to avoid extra disturbance when the moving mass reaches the movement limit.
4.1. PI Controller
4.2. Disturbance Observer-Based Controller
5. Results and Discussion
5.1. Pi Controller
5.2. Disturbance Observer-Based Controller
6. Conclusions and Future Work
Author Contributions
Funding
Data Availability Statement
Acknowledgments
Conflicts of Interest
Abbreviations
| OHT | Overhead Hoist Transport |
| FOUP | Front Opening Unified Pod |
| TMD | Tuned Mass Damper |
| PID | Proportional Integral Derivative |
| DOBC | Disturbance Observer-Based Controller |
| TPA | Transfer Path Analysis |
| AMHS | Automated Material Handling System |
| VCA | Voice Coil Actuator |
| FPGA | Field Programmable Gate Array |
References
- Lee, K.W.; Chang, D.S.; Park, S.C. Material Handling System Modeling of a Modern FAB. In Proceedings of the 10th International Conference on Computer Modeling and Simulation, Sydney, Australia, 8–10 January 2018; pp. 271–275. [Google Scholar]
- Kim, S.H.; Lee, Y.H. Synchronized production planning and scheduling in semiconductor fabrication. Comput. Ind. Eng. 2016, 96, 72–85. [Google Scholar] [CrossRef]
- Dance, D.; Gildersleeve, K. Estimating semiconductor yield from equipment particle measurements. In Proceedings of the IEEE/SEMI International Semiconductor Manufacturing Science Symposium, San Francisco, CA, USA, 15–16 June 1992; IEEE: Piscataway, NJ, USA, 1992; pp. 18–23. [Google Scholar]
- Lee, M.; Yook, S.J. Investigation of particulate contamination of heated wafers contained in a closed environment. J. Aerosol Sci. 2015, 88, 148–158. [Google Scholar] [CrossRef]
- Case, S.; Waite, S.; Barker, J.; Zhao, W.; Kim, J.S.; Moore, J.; Ramanathan, E. Impact of FOUP environment on product yield in advanced technologies. In Proceedings of the 2016 27th Annual SEMI Advanced Semiconductor Manufacturing Conference (ASMC), Saratoga Springs, NY, USA, 16–19 May 2016; IEEE: Piscataway, NJ, USA, 2016; pp. 168–171. [Google Scholar]
- Cheng, F.Y. Smart Structures: Innovative Systems for Seismic Response Control; CRC Press: Boca Raton, FL, USA, 2008. [Google Scholar]
- Aly, A.M. Vibration control of high-rise buildings for wind: A robust passive and active tuned mass damper. Smart Struct. Syst. 2014, 13, 473–500. [Google Scholar] [CrossRef]
- Elias, S.; Matsagar, V. Research developments in vibration control of structures using passive tuned mass dampers. Annu. Rev. Control 2017, 44, 129–156. [Google Scholar] [CrossRef]
- Love, J.; Haskett, T.; Morava, B. Effectiveness of dynamic vibration absorbers implemented in tall buildings. Eng. Struct. 2018, 176, 776–784. [Google Scholar] [CrossRef]
- Zuo, H.; Bi, K.; Hao, H. Using multiple tuned mass dampers to control offshore wind turbine vibrations under multiple hazards. Eng. Struct. 2017, 141, 303–315. [Google Scholar] [CrossRef]
- Mulla, A.; Jalwadi, S.; Unaune, D. Performance analysis of skyhook, groundhook and hybrid control strategies on semiactive suspension system. Int. J. Curr. Eng. Technol. 2014, 3, 265–269. [Google Scholar]
- Fueki, S.; Ishiguro, T.; Ue, H.; Nemoto, H.; Yone, T. Engine Natural Vibration Frequency Detection Method, Active Vibration Isolation Support Device Control Method, Engine Natural Vibration Frequency Detection Apparatus, Active Vibration Isolation Support Device Control Apparatus, Active Vibration Isolation Support Device, and Vibration Frequency Detection Apparatus for Vibrating Body. U.S. Patent 8,444,124, 21 May 2013. [Google Scholar]
- Ito, S.; Neyer, D.; Pirker, S.; Steininger, J.; Schitter, G. Atomic force microscopy using voice coil actuators for vibration isolation. In Proceedings of the 2015 IEEE International Conference on Advanced Intelligent Mechatronics (AIM), Busan, Republic of Korea, 7–11 July 2015; IEEE: Piscataway, NJ, USA, 2015; pp. 470–475. [Google Scholar]
- Voigtländer, B.; Coenen, P.; Cherepanov, V.; Borgens, P.; Duden, T.; Tautz, F.S. Low vibration laboratory with a single-stage vibration isolation for microscopy applications. Rev. Sci. Instrum. 2017, 88, 023703. [Google Scholar] [CrossRef] [PubMed]
- Wang, F.C.; Yu, C.H.; Tsai, J.T.H.; Yang, S.H. Decoupled robust vibration control of an optical table. J. Vib. Control 2014, 20, 38–50. [Google Scholar] [CrossRef]
- Heiland, P. Active Vibration Isolation System. U.S. Patent 8,682,609, 25 March 2014. [Google Scholar]
- Tsai, N.C.; Chen, D.C.; Shih, L.W.; Chiang, C.W. Model reduction and composite control for overhead hoist transport system by singular perturbation technique. J. Vib. Control 2012, 18, 1081–1095. [Google Scholar] [CrossRef]
- Tokoro, H.; Kawafuku, M.; Iwasaki, M. An application of state feedback control to actual vehicle vibration suppression. In Proceedings of the 2014 IEEE 13th International Workshop on Advanced Motion Control (AMC), Yokohama, Japan, 14–16 March 2014; IEEE: Piscataway, NJ, USA, 2014; pp. 185–190. [Google Scholar]
- Yu, S.; Wang, J.; Wang, Y.; Chen, H. Disturbance observer based control for four wheel steering vehicles with model reference. IEEE/CAA J. Autom. Sin. 2016, 5, 1121–1127. [Google Scholar] [CrossRef]
- Tatlow, J.; Ballatore, M. Road noise input identification for vehicle interior noise by multi-reference transfer path analysis. Procedia Eng. 2017, 199, 3296–3301. [Google Scholar] [CrossRef]
- van der Seijs, M.V.; de Klerk, D.; Rixen, D.J. General framework for transfer path analysis: History, theory and classification of techniques. Mech. Syst. Signal Process. 2016, 68, 217–244. [Google Scholar] [CrossRef]

















| Stroke [mm] | Force Constant [N/A] | Peak Force [N] | Continuous Force [N] | |
|---|---|---|---|---|
| Actuation | 25.4 | 30 | 220 | 68.2 |
| Control | 22.4 | 6.8 | 33 | 13.5 |
| Peak | Open Loop [m] | PI [m] | DOBC [m] | PI Ratio | DOBC Ratio |
|---|---|---|---|---|---|
| 1 | 298.75 | 225 | 148.75 | 0.753 | 0.498 |
| 2 | −71.25 | −22.5 | −46.25 | 0.316 | 0.649 |
| 3 | 435 | 313.75 | 230 | 0.721 | 0.529 |
| 4 | −573.75 | −163.75 | −150 | 0.285 | 0.261 |
| 5 | 140 | −11.25 | 71.25 | 0.080 | 0.509 |
| 6 | −196.25 | −78.75 | −90 | 0.401 | 0.458 |
| 7 | 237.5 | 136.25 | 56.25 | 0.574 | 0.237 |
| 8 | −271.25 | −198.75 | −140 | 0.733 | 0.516 |
| 9 | 245 | 228.75 | −17.5 | 0.934 | 0.071 |
| 10 | −586.25 | −282.5 | −201.25 | 0.482 | 0.343 |
| 11 | 648.75 | 408.75 | 110 | 0.630 | 0.170 |
| 12 | −870 | −315 | −222.5 | 0.362 | 0.256 |
| 13 | 620 | 295 | 73.75 | 0.476 | 0.119 |
| 14 | −425 | −28.75 | −103.75 | 0.068 | 0.244 |
| 15 | 413.75 | 188.75 | 135 | 0.456 | 0.326 |
| 16 | −277.5 | −87.5 | −31.25 | 0.315 | 0.113 |
| 17 | 95 | 21.25 | 40 | 0.224 | 0.421 |
| 18 | −220 | −53.75 | −113.75 | 0.244 | 0.517 |
| Frequency [rad/s] | Theoretical Lag [] | Measured Lag [] | |
|---|---|---|---|
| peak 1 | 296.5 | 126.3 | 126.9 |
| peak 2 | 432.3 | 141.7 | 161 |
Disclaimer/Publisher’s Note: The statements, opinions and data contained in all publications are solely those of the individual author(s) and contributor(s) and not of MDPI and/or the editor(s). MDPI and/or the editor(s) disclaim responsibility for any injury to people or property resulting from any ideas, methods, instructions or products referred to in the content. |
© 2023 by the authors. Licensee MDPI, Basel, Switzerland. This article is an open access article distributed under the terms and conditions of the Creative Commons Attribution (CC BY) license (https://creativecommons.org/licenses/by/4.0/).
Share and Cite
Qiu, J.; Kim, H.; Xia, F.; Youcef-Toumi, K. Disturbance Rejection Control for Active Vibration Suppression of Overhead Hoist Transport Vehicles in Semiconductor Fabs. Machines 2023, 11, 125. https://doi.org/10.3390/machines11020125
Qiu J, Kim H, Xia F, Youcef-Toumi K. Disturbance Rejection Control for Active Vibration Suppression of Overhead Hoist Transport Vehicles in Semiconductor Fabs. Machines. 2023; 11(2):125. https://doi.org/10.3390/machines11020125
Chicago/Turabian StyleQiu, Jiajie, Hongjin Kim, Fangzhou Xia, and Kamal Youcef-Toumi. 2023. "Disturbance Rejection Control for Active Vibration Suppression of Overhead Hoist Transport Vehicles in Semiconductor Fabs" Machines 11, no. 2: 125. https://doi.org/10.3390/machines11020125
APA StyleQiu, J., Kim, H., Xia, F., & Youcef-Toumi, K. (2023). Disturbance Rejection Control for Active Vibration Suppression of Overhead Hoist Transport Vehicles in Semiconductor Fabs. Machines, 11(2), 125. https://doi.org/10.3390/machines11020125

