Sign in to use this feature.

Years

Between: -

Subjects

remove_circle_outline
remove_circle_outline
remove_circle_outline
remove_circle_outline
remove_circle_outline
remove_circle_outline
remove_circle_outline
remove_circle_outline

Journals

Article Types

Countries / Regions

Search Results (10)

Search Parameters:
Keywords = key success factors (KSFs)

Order results
Result details
Results per page
Select all
Export citation of selected articles as:
21 pages, 3543 KB  
Article
Developing the NLP-QFD Model to Discover Key Success Factors of Short Videos on Social Media
by Hsin-Cheng Wu, Wu-Der Jeng, Long-Sheng Chen and Cheng-Chin Ho
Appl. Sci. 2024, 14(11), 4870; https://doi.org/10.3390/app14114870 - 4 Jun 2024
Cited by 1 | Viewed by 2841
Abstract
In the transition from television to mobile devices, short videos have emerged as the primary content format, possessing tremendous potential in various fields such as marketing, promotion, education, advertising, and so on. However, from the available literature, there is a lack of studies [...] Read more.
In the transition from television to mobile devices, short videos have emerged as the primary content format, possessing tremendous potential in various fields such as marketing, promotion, education, advertising, and so on. However, from the available literature, there is a lack of studies investigating the elements necessary for the success of short videos, specifically regarding what factors need to be considered during production to increase viewership. Therefore, this study proposed the NLP-QFD model, integrating Natural Language Processing (NLP), Latent Dirichlet Allocation (LDA), and Quality Function Deployment (QFD) methods. Real short videos from mainstream Western media (CNN) and regional media (Middle East Eye) will be employed as case studies. In addition to analyzing the content of short videos and audiences’ reviews, we will utilize the NLP-QFD model to identify the key success factors (KSFs) of short videos, providing guidance for future short video creators, especially for small-scale businesses, to produce successful short videos and expand their influence through social media. The results indicate that the success factors for short videos include the movie title, promotion, reviews, and social media. For large enterprises, endorsements by famous individuals are crucial, while music and shooting are key elements for the success of short videos for small businesses. Full article
(This article belongs to the Special Issue Knowledge and Data Engineering)
Show Figures

Figure 1

26 pages, 2800 KB  
Article
Assessment Framework for BIM-Digital Twin Readiness in the Construction Industry
by Aljawharah A. Alnaser, Ali Hassan Ali, Haytham H. Elmousalami, Ahmed Elyamany and Ahmed Gouda Mohamed
Buildings 2024, 14(1), 268; https://doi.org/10.3390/buildings14010268 - 18 Jan 2024
Cited by 51 | Viewed by 7631
Abstract
This study introduces a pioneering structural equation modeling (SEM)-based framework to assess BIM-DT adoption readiness in sustainable construction. The research’s approach delves into the intricate correlation between key success factors (KSFs) and sustainable parameters (SPs), fostering BIM-DT deployment. This interdisciplinary perspective provides a [...] Read more.
This study introduces a pioneering structural equation modeling (SEM)-based framework to assess BIM-DT adoption readiness in sustainable construction. The research’s approach delves into the intricate correlation between key success factors (KSFs) and sustainable parameters (SPs), fostering BIM-DT deployment. This interdisciplinary perspective provides a holistic understanding of the impact of KSFs on BIM-DT adoption. The research aims to identify KSFs and parameters, prioritize their relative weights for BIM-DT implementation, analyze KSFs and SPs correlations, and offer practical insights into the findings. The results revealed the importance of sustainability considerations in BIM-DT adoption, with cost optimization and resource management playing pivotal roles. The findings also revealed that the readiness of the organization to adopt the technology, availability of technology operators, availability of standards and codes for the new technology, availability of knowledge, skills, and competencies to adopt the technology, and availability of funds and financial investment are the top-ranked KSFs contributing to the successful adoption of BIM-DT. Full article
(This article belongs to the Special Issue Emerging Technologies and Workflows for BIM and Digital Construction)
Show Figures

Figure 1

19 pages, 1194 KB  
Review
Key Success Factors for the Practical Application of New Geomaterials
by Giovanna Monique Alelvan, Hugo Naves Coelho Santos, Rodrigo Cesar Pierozan and Leise Kelli de Oliveira
Sustainability 2023, 15(17), 12929; https://doi.org/10.3390/su151712929 - 27 Aug 2023
Cited by 5 | Viewed by 2570
Abstract
Geomaterials comprise naturally formed materials through geological processes, such as soils and rocks, or artificially processed materials, including mineral waste and geosynthetics. These materials find extensive use in geotechnical structures, such as slopes, dams, and pavements, among others. However, two issues commonly arise [...] Read more.
Geomaterials comprise naturally formed materials through geological processes, such as soils and rocks, or artificially processed materials, including mineral waste and geosynthetics. These materials find extensive use in geotechnical structures, such as slopes, dams, and pavements, among others. However, two issues commonly arise in earthworks: the materials available in the region do not meet the minimum engineering requirements, resulting in high transportation costs, and the exploitation of new deposits increases environmental impacts. Consequently, there is a need to develop stabilization and reinforcement techniques aimed at creating new geomaterials (NGs) to expand the range of local material applications. In this context, the present study evaluates the key success factors (KSFs) related to the application of NGs in geotechnical structures. The Delphi method was employed through a structured questionnaire developed after an extensive literature review. Brazilian experts from the public, private, and academic sectors were selected to identify the obstacles and potential pathways for the practical application of NGs. The outcomes of the study indicated that the lack of standardization, the complex behavior of geomaterials under varying conditions, as well as technical and economic limitations serve as barriers impeding the widespread adoption of NGs. Finally, a roadmap proposal was devised, encompassing a series of actions intended to facilitate the broader utilization of NGs. Full article
(This article belongs to the Special Issue Advances in Sustainable Construction and Building Materials)
Show Figures

Figure 1

15 pages, 842 KB  
Article
Identifying the Key Success Factors of Plant-Based Food Brands in Europe
by Listia Rini, Joachim J. Schouteten, Ilona Faber, Kai-Brit Bechtold, Federico J. A. Perez-Cueto, Xavier Gellynck and Hans De Steur
Sustainability 2023, 15(1), 306; https://doi.org/10.3390/su15010306 - 24 Dec 2022
Cited by 6 | Viewed by 8282
Abstract
Plant-based food (PBF) is on the rise as an alternative for animal-based food. Europe is leading in the market size compared with the global market. However, the high failure rate for new food products is challenging the success of new PBF in the [...] Read more.
Plant-based food (PBF) is on the rise as an alternative for animal-based food. Europe is leading in the market size compared with the global market. However, the high failure rate for new food products is challenging the success of new PBF in the market. This paper aims to unravel the key success factors (KSFs) from existing brands, contributing to the knowledge on how to achieve success in PBF market. Two subsequent studies employing online surveys were included, which targeted food expert participants. Study 1 focused on the collection of KSFs related to PBF brands utilizing the card sorting approach. Study 2 employed cluster analysis to further investigate the KSFs among different PBF brands. The findings identified six clusters of KSFs under the external and internal factors supporting the success of the PBF brands. Two (‘Consumer’ and ‘Trend’) and four (‘Ideology’, ‘Marketing strategy’, ‘Innovation management’, and ‘Management structure’) clusters were assigned into external and internal factors, respectively. Furthermore, cluster analysis identified four brand clusters: ‘Mature’, ‘Targeted’, ‘Newcomer’, and ‘Established but diversifying’ clusters. Each brand cluster utilized different KSFs into their strategies; however, both external and internal factors were applied, suggesting that there is no one-size-fits-all KSF to succeed in the market. Full article
(This article belongs to the Special Issue Sustainable Food Marketing and Supply Chain Organization)
Show Figures

Figure 1

29 pages, 2159 KB  
Article
A Phase-Based Roadmap for Proliferating BIM within the Construction Sector Using DEMATEL Technique: Perspectives from Egyptian Practitioners
by Ahmed Yousry Akal, Ahmed Farouk Kineber and Saeed Reza Mohandes
Buildings 2022, 12(11), 1805; https://doi.org/10.3390/buildings12111805 - 27 Oct 2022
Cited by 14 | Viewed by 4494
Abstract
Building Information Modelling (BIM) has not been sufficiently proliferated in the developing construction communities. This is owing to the lack of incorporating the key success factors (KSFs) of BIM implementation in a phase-based roadmap to support implementing BIM in practice on a step-by-step [...] Read more.
Building Information Modelling (BIM) has not been sufficiently proliferated in the developing construction communities. This is owing to the lack of incorporating the key success factors (KSFs) of BIM implementation in a phase-based roadmap to support implementing BIM in practice on a step-by-step approach. With this in mind, this work aims at (1) defining the KSFs for implementing BIM within the developing economies’ socio-economic environment, (2) investigating the interrelationships among the KSFs, and (3) establishing the KSFs in a phased approach to devise a roadmap for their implementation on a step-by-step basis. First, 18 KSFs for implementing BIM have been specified by systematically investigating the pertinent literature and interviewing six well-qualified practitioners in BIM from Egypt, as a developing country. Second, from ten Egyptian BIM experts, data on the influences of the KSFs on each other have been gathered, employing a matrix format-based questionnaire. Third, the experts’ evaluations have been processed, utilizing the Decision-Making Trial and Evaluation Laboratory (DEMATEL) technique. Proficiently, DEMATEL through its causal diagram portrayed the cause-and-effect relations map of the KSFs. Besides, it divided the KSFs into four clusters, each of which signifies a phase in the BIM implementation journey along with its corresponding priority as well as the priorities of the KSFs that it encompasses. The causal diagram indicated that phase one related KSFs of the BIM implementation journey: research and development investments, senior management support, and firm’s fiscal support contribute to the whole success of the developed BIM implementation roadmap. This study equips construction practitioners in the developing economies with a four-phased roadmap for applying the KSFs of BIM implementation journey in practice on a step-by-step basis. This contribution helps in better prioritizing their decisions and optimizing the allocation of their resources when applying BIM in their business. Hence, at a fast pace, BIM can be proliferated in those countries. Full article
Show Figures

Figure 1

34 pages, 4412 KB  
Article
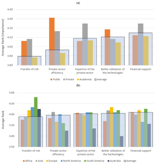
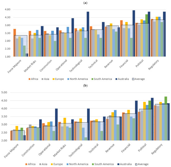
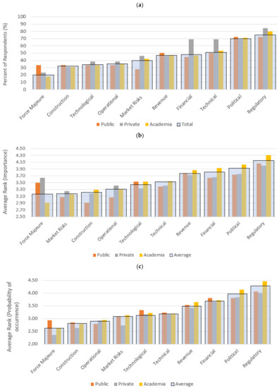
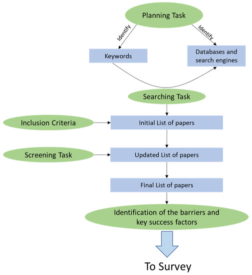
Identification of the Barriers and Key Success Factors for Renewable Energy Public-Private Partnership Projects: A Continental Analysis
by Kareem Othman and Rana Khallaf
Buildings 2022, 12(10), 1511; https://doi.org/10.3390/buildings12101511 - 22 Sep 2022
Cited by 33 | Viewed by 5980
Abstract
The global energy demand has been increasing and posing multiple challenges across the globe, including global warming, environmental pollution, and energy-sustainability issues. Thus, multiple countries have been adopting renewable-energy (RE) sources to provide clean, reliable, affordable, and sustainable energy. Previously, a number of [...] Read more.
The global energy demand has been increasing and posing multiple challenges across the globe, including global warming, environmental pollution, and energy-sustainability issues. Thus, multiple countries have been adopting renewable-energy (RE) sources to provide clean, reliable, affordable, and sustainable energy. Previously, a number of renewable energy projects has been delivered in the form of a public–private partnership (PPP) to take advantage of the private sector’s investment, technology advancements, and expertise. In general, renewable-energy projects are considered large-scale universal projects that involve expertise from different countries and require a clear understanding of the barriers and key success factors (KSFs) across the globe. Thus, this paper focuses on providing a comprehensive understanding of the main barriers and success factors of renewable-energy projects across the globe. For that aim, a comprehensive literature review was first carried out to identify and report on the barriers and KSFs of renewable-energy projects. This was followed by a questionnaire survey wherein the opinions of 60 experts with wide experience in RE PPPs in multiple countries were collected and analyzed. The analysis shows that political and regulatory barriers are the main risks globally. Additionally, well-prepared contract documentations and skilled and efficient parties are the KSFs. However, these factors change from one continent to another. Additionally, this paper sheds light on the difference between the public and private sectors’ perceptions on the severity of the risks and the importance of the KSFs to each sector. Full article
(This article belongs to the Section Building Energy, Physics, Environment, and Systems)
Show Figures

Figure 1

23 pages, 5226 KB  
Article
An Improved Intellectual Capital Management Method for Selecting and Prioritizing Intangible-Related Aspects: A Case Study of Small Enterprise in Thailand
by Ratapol Wudhikarn and Danaitun Pongpatcharatorntep
Mathematics 2022, 10(4), 626; https://doi.org/10.3390/math10040626 - 17 Feb 2022
Cited by 8 | Viewed by 2783
Abstract
This study develops a new integrated approach for improving deficiencies relating to executives’ intuitive or illogical decisions, mainly found in past intellectual capital management (ICM) methods. To simultaneously rectify several flaws, the process model of intellectual capital (IC), a traditional ICM method, is [...] Read more.
This study develops a new integrated approach for improving deficiencies relating to executives’ intuitive or illogical decisions, mainly found in past intellectual capital management (ICM) methods. To simultaneously rectify several flaws, the process model of intellectual capital (IC), a traditional ICM method, is integrated using decision science methods—the analytic network process (ANP) and quality function deployment (QFD). The process model of IC is adopted as a core procedure of the proposed ICM approach. ANP is integrated to improve the ability to consider relationships among the IC critical factors and their impacts, while QFD is included to facilitate the systematic consideration and identification of correlations, linkages, and impacts between all IC-related elements from the business concept to strategic plans. The proposed method was applied to two case studies in one real enterprise in Thailand. The results of the implementation reveal the priorities of all IC-related aspects, and the first priority of key success factors (KSFs), key performance indicators (KPIs), and action plans (APs) are all associated with the organization in the structural capital dimension. The results demonstrate that the method may offer advantages with respect to the conceptual expectations and may prioritize critical IC factors and identify their weights. Furthermore, the improved method could indicate the correlations and impacts between related elements, such as critical factors and associated indicators. This study proposes a new comprehensive and systematic management framework by integrating different concepts—decision science methods and the ICM method. To the best of the authors’ knowledge, this improved approach has not been explored or proposed in earlier studies. Full article
(This article belongs to the Special Issue Multi-Criteria Decision Making and Data Mining)
Show Figures

Figure 1

17 pages, 1296 KB  
Article
Assessment and Evaluation in Active Learning Implementations: Introducing the Engineering Education Active Learning Maturity Model
by Humberto Arruda and Édison Renato Silva
Educ. Sci. 2021, 11(11), 690; https://doi.org/10.3390/educsci11110690 - 29 Oct 2021
Cited by 13 | Viewed by 4985
Abstract
With the technological changes experienced in the world in recent decades, society has changed as a whole, due to the speed and availability of information that exists today. As student attention decreases, critical thinking and Active Learning, which places the student at the [...] Read more.
With the technological changes experienced in the world in recent decades, society has changed as a whole, due to the speed and availability of information that exists today. As student attention decreases, critical thinking and Active Learning, which places the student at the center of the learning process, have gained prominence. Considering the growing popularity of these techniques, this article proposes the Engineering Education Active Learning Maturity Model (E2ALM2), a framework that allows practitioners to assess the current maturity of Active Learning implementation in a program or a course. E2ALM2 was built from a literature review of key success factors (KSF) for Active Learning implementations, which were divided into dimensions. Each KSF is composed of constructs, which are detailed with variables. Each variable has a proposed measurement method and an estimated uncertainty level. The framework can support diagnosis and practical improvements in real settings. Full article
(This article belongs to the Special Issue Assessment and Evaluation in Higher Education)
Show Figures

Figure 1

19 pages, 938 KB  
Article
Performance Measurement System: Implementation Process in SMEs
by Zuzana Papulová, Andrea Gažová, Maroš Šlenker and Jan Papula
Sustainability 2021, 13(9), 4794; https://doi.org/10.3390/su13094794 - 24 Apr 2021
Cited by 13 | Viewed by 10345
Abstract
There is still a considerable interest in the topic of business performance, both in scientific community as well as in managerial praxis. Especially, the area of performance measurement system (PMS) and its implementation is forming a considerable scope for improvement. However, the research [...] Read more.
There is still a considerable interest in the topic of business performance, both in scientific community as well as in managerial praxis. Especially, the area of performance measurement system (PMS) and its implementation is forming a considerable scope for improvement. However, the research of PMS implementation in small and medium-sized enterprises (SMEs) have been underestimated. Despite the significant contribution of SMEs to economic growth, employment share or predominance of SMEs over large companies, a very small amount of theoretical and empirical researches has been carried out focusing on implementation of PMS in SMEs. This paper is addressing the readiness and successfulness of SMEs in PMS implementation. The aim of our research was to analyze the process of PMS implementation in SMEs and to identify factors that influence the success and satisfaction with implemented PMS and to identify problematic factors that cause failure, dissatisfaction and create limits to PMS application. Sample of our research consisted of 336 SMEs operating in Slovakia of various ages, sizes, and different approach to performance measurement. Based on results of our research, we created suggestions and a set of the key success factors to each phase of PMS implementation process that respect the specifics and nature of SMEs. Within each phase, we found evidence that several factors significantly raise the potential of successfulness of PMS implementation, and others, in contrary, are contributing to the unsuccessfulness. Full article
(This article belongs to the Special Issue Firm Size and Sustainable Innovation Management II)
Show Figures

Figure 1

27 pages, 1186 KB  
Article
Apply Fuzzy DEMATEL to Explore the Decisive Factors of the Auto Lighting Aftermarket Industry in Taiwan
by Jing Li, Chi-Hui Wu, Chien-Wen Chen, Yi-Fen Huang and Ching-Torng Lin
Mathematics 2020, 8(7), 1187; https://doi.org/10.3390/math8071187 - 19 Jul 2020
Cited by 16 | Viewed by 6701
Abstract
Continuous improvement and innovation are solid foundations for the company to maintain excellent performance and competitive advantage. As the limited resources possessed by companies generally result in the incapability of implementing several improving plans simultaneously, researchers advocate that companies should evaluate the influential [...] Read more.
Continuous improvement and innovation are solid foundations for the company to maintain excellent performance and competitive advantage. As the limited resources possessed by companies generally result in the incapability of implementing several improving plans simultaneously, researchers advocate that companies should evaluate the influential relationships among key success factors (KSFs) to explore the more dominant determinants for designing improving actions. This study focused on the auto lighting aftermarket (AM) industry in which the KSFs have not yet been adequately performed to explore the decisive criteria of an improvement strategy. After a literature review and a survey of experts, a preliminary list of suitable evaluation criteria was derived. Consequently, the fuzzy and decision-making trial and evaluation laboratory (DEMATEL) method were employed to analyze and establish the causal relationship among criteria. This study contributes to the auto lighting AM industry by using a novel approach for identifying and prioritizing the KSFs. The result indicates that product integrity was the “cause” construct on the constructs of operating cost, quality and brand, technology development, and customer satisfaction. These findings contribute to help practitioners better design effective improvement strategies. Full article
(This article belongs to the Special Issue Fuzzy Applications in Industrial Engineering)
Show Figures

Figure 1

Back to TopTop