Sign in to use this feature.

Years

Between: -

Subjects

remove_circle_outline
remove_circle_outline
remove_circle_outline
remove_circle_outline
remove_circle_outline

Journals

Article Types

Countries / Regions

Search Results (13)

Search Parameters:
Keywords = joint progressive censoring scheme

Order results
Result details
Results per page
Select all
Export citation of selected articles as:
23 pages, 752 KB  
Article
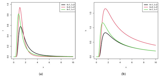
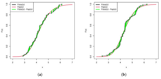
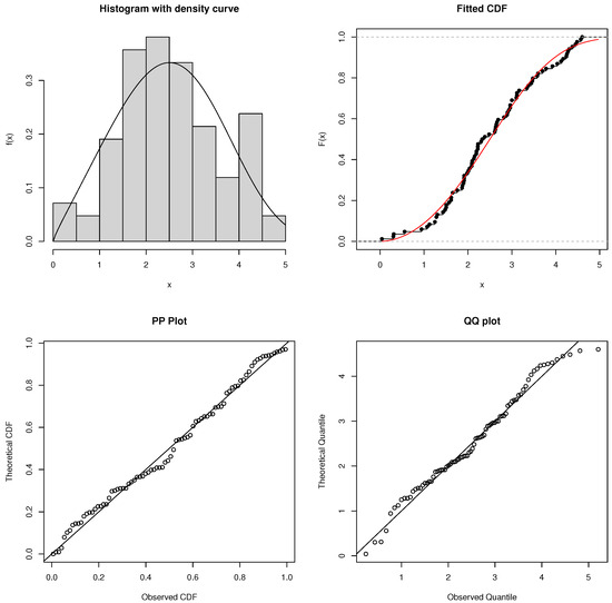
On Joint Progressively Censored Gumbel Type-II Distributions: (Non-) Bayesian Estimation with an Application to Physical Data
by Mustafa M. Hasaballah, Mahmoud E. Bakr, Oluwafemi Samson Balogun and Arwa M. Alshangiti
Axioms 2025, 14(7), 544; https://doi.org/10.3390/axioms14070544 - 20 Jul 2025
Viewed by 405
Abstract
This paper presents a comprehensive statistical analysis of the Gumbel Type-II distribution based on joint progressive Type-II censoring. It derives the maximum likelihood estimators for the distribution parameters and constructs their asymptotic confidence intervals. It investigates Bayesian estimation using non-informative and informative priors [...] Read more.
This paper presents a comprehensive statistical analysis of the Gumbel Type-II distribution based on joint progressive Type-II censoring. It derives the maximum likelihood estimators for the distribution parameters and constructs their asymptotic confidence intervals. It investigates Bayesian estimation using non-informative and informative priors under the squared error loss function and the LINEX loss function, applying Markov Chain Monte Carlo methods. A detailed simulation study evaluates the estimators’ performance in terms of average estimates, mean squared errors, and average confidence interval lengths. Results show that Bayesian estimators can outperform maximum likelihood estimators, especially with informative priors. A real data example demonstrates the practical use of the proposed methods. The analysis confirms that the Gumbel Type-II distribution with joint progressive censoring provides a flexible and effective model for lifetime data, enabling more accurate reliability assessment and risk analysis in engineering and survival studies. Full article
Show Figures

Figure 1

27 pages, 993 KB  
Article
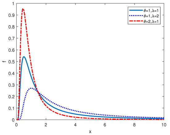
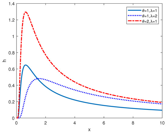
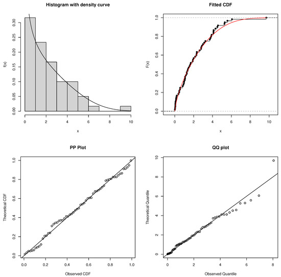
Statistical Inference of Inverse Weibull Distribution Under Joint Progressive Censoring Scheme
by Jinchen Xiang, Yuanqi Wang and Wenhao Gui
Symmetry 2025, 17(6), 829; https://doi.org/10.3390/sym17060829 - 26 May 2025
Viewed by 566
Abstract
In recent years, there has been an increasing interest in the application of progressive censoring as a means to reduce both cost and experiment duration. In the absence of explanatory variables, the present study employs a statistical inference approach for the inverse Weibull [...] Read more.
In recent years, there has been an increasing interest in the application of progressive censoring as a means to reduce both cost and experiment duration. In the absence of explanatory variables, the present study employs a statistical inference approach for the inverse Weibull distribution, using a progressive type II censoring strategy with two independent samples. The article expounds on the maximum likelihood estimation method, utilizing the Fisher information matrix to derive approximate confidence intervals. Moreover, interval estimations are computed by the bootstrap method. We explore the application of Bayesian methods for estimating model parameters under both the squared error and LINEX loss functions. The Bayesian estimates and corresponding credible intervals are calculated via Markov chain Monte Carlo (MCMC). Finally, comprehensive simulation studies and real data analysis are carried out to validate the precision of the proposed estimation methods. Full article
(This article belongs to the Section Mathematics)
Show Figures

Figure 1

25 pages, 873 KB  
Article
Statistical Inference for Two Lomax Populations Under Balanced Joint Progressive Type-II Censoring Scheme
by Yuanqi Wang, Jinchen Xiang and Wenhao Gui
Mathematics 2025, 13(9), 1536; https://doi.org/10.3390/math13091536 - 7 May 2025
Viewed by 622
Abstract
In recent years, joint censoring schemes have gained significant attention in lifetime experiments and reliability analysis. A refined approach, known as the balanced joint progressive censoring scheme, has been introduced in statistical studies. This research focuses on statistical inference for two Lomax populations [...] Read more.
In recent years, joint censoring schemes have gained significant attention in lifetime experiments and reliability analysis. A refined approach, known as the balanced joint progressive censoring scheme, has been introduced in statistical studies. This research focuses on statistical inference for two Lomax populations under this censoring framework. Maximum likelihood estimation is employed to derive parameter estimates, and asymptotic confidence intervals are constructed using the observed Fisher information matrix. From a Bayesian standpoint, posterior estimates of the unknown parameters are obtained under informative prior assumptions. To evaluate the effectiveness and precision of these estimators, a numerical study is conducted. Additionally, a real dataset is analyzed to demonstrate the practical application of these estimation methods. Full article
(This article belongs to the Section D1: Probability and Statistics)
Show Figures

Figure 1

17 pages, 8171 KB  
Article
Adaptive Type-II Hybrid Progressive Censoring Samples for Statistical Inference of Comparative Inverse Weibull Distributions
by Laila A. Al-Essa, Ahmed A. Soliman, Gamal A. Abd-Elmougod and Huda M. Alshanbari
Axioms 2023, 12(10), 973; https://doi.org/10.3390/axioms12100973 - 16 Oct 2023
Cited by 8 | Viewed by 1996
Abstract
Recently, there has been a lot of interest in comparative life testing for items under jointly censored schemes for products from multiple production lines. The inverse Weibull distribution (IWD) is commonly used in life testing and reliability theory. In this paper, we address [...] Read more.
Recently, there has been a lot of interest in comparative life testing for items under jointly censored schemes for products from multiple production lines. The inverse Weibull distribution (IWD) is commonly used in life testing and reliability theory. In this paper, we address the problem of statistical inference from comparative inverse Weibull distributions under joint samples. An adaptive type-II hybrid progressive censoring scheme (HPCS) is used to save the balance between the ideal test time and the number of observed failures. Under the adaptive type-II HPCS, unknown parameters of the inverse Weibull populations are estimated using both maximum likelihood and Bayesian approaches. Asymptotic confidence intervals are established using the observed Fisher information matrix and bootstrap confidence intervals. We suggest using Markov chain Monte Carlo (MCMC) techniques to compute credible intervals under independent gamma priors. Using Monte Carlo simulations, all theoretical conclusions are tested and contrasted. For illustration purposes, an actual sample from comparative populations is analysed. Full article
(This article belongs to the Section Mathematical Analysis)
Show Figures

Figure 1

26 pages, 511 KB  
Article
Bayesian Analysis Using Joint Progressive Type-II Censoring Scheme
by Mohamed G. M. Ghazal, Mustafa M. Hasaballah, Rashad M. EL-Sagheer, Oluwafemi Samson Balogun and Mahmoud E. Bakr
Symmetry 2023, 15(10), 1884; https://doi.org/10.3390/sym15101884 - 7 Oct 2023
Cited by 3 | Viewed by 1827
Abstract
The joint censoring technique becomes crucial when the study’s aim is to assess the comparative advantages of products concerning their service times. In recent years, there has been a growing interest in progressive censoring as a means to reduce both cost and experiment [...] Read more.
The joint censoring technique becomes crucial when the study’s aim is to assess the comparative advantages of products concerning their service times. In recent years, there has been a growing interest in progressive censoring as a means to reduce both cost and experiment duration. This article delves into the realm of statistical inference for the three-parameter Burr-XII distribution using a joint progressive Type II censoring approach applied to two separate samples. We explore both maximum likelihood and Bayesian methods for estimating model parameters. Furthermore, we derive approximate confidence intervals based on the observed information matrix and employ four bootstrap methods to obtain confidence intervals. Bayesian estimators are presented for both symmetric and asymmetric loss functions. Since closed-form solutions for Bayesian estimators are unattainable, we resort to the Markov chain Monte Carlo method to compute these estimators and the corresponding credible intervals. To assess the performance of our estimators, we conduct extensive simulation experiments. Finally, to provide a practical illustration, we analyze a real dataset. Full article
Show Figures

Figure 1

29 pages, 1481 KB  
Article
Bayesian Estimation Using Product of Spacing for Modified Kies Exponential Progressively Censored Data
by Talal Kurdi, Mazen Nassar and Farouq Mohammad A. Alam
Axioms 2023, 12(10), 917; https://doi.org/10.3390/axioms12100917 - 27 Sep 2023
Cited by 2 | Viewed by 1379
Abstract
In life testing and reliability studies, most researchers have used the maximum likelihood estimation method to estimate unknown parameters, even though it has been proven that the maximum product of spacing method has properties as good as the maximum likelihood estimation method and [...] Read more.
In life testing and reliability studies, most researchers have used the maximum likelihood estimation method to estimate unknown parameters, even though it has been proven that the maximum product of spacing method has properties as good as the maximum likelihood estimation method and sometimes even better. In this study, we aim to estimate the unknown parameters of the modified Kies exponential distribution along with the reliability and hazard rate functions under progressive type-II censoring scheme. The maximum likelihood and maximum product of spacing methods are considered in order to find the point estimates and approximate confidence intervals of the various parameters. Moreover, Bayesian estimations based on the likelihood function and the product of the spacing function of the unknown parameters are obtained using the squared error loss function with independent gamma priors. It is observed that the joint posterior distributions have complicated forms. Because of this, Lindley’s approximation and the Markov chain Monte Carlo technique are used to obtain the Bayesian estimates and highest posterior credible intervals. Monte Carlo simulations are performed in order to evaluate the performance of the proposed estimation methods. Two real datasets are studied to demonstrate the efficacy of the offered methodologies and highlight how simple and applicable it might be to apply them in practical fields. Full article
(This article belongs to the Section Mathematical Analysis)
Show Figures

Figure 1

24 pages, 14007 KB  
Article
Computational Analysis for Fréchet Parameters of Life from Generalized Type-II Progressive Hybrid Censored Data with Applications in Physics and Engineering
by Refah Alotaibi, Hoda Rezk and Ahmed Elshahhat
Symmetry 2023, 15(2), 348; https://doi.org/10.3390/sym15020348 - 27 Jan 2023
Cited by 11 | Viewed by 1863
Abstract
Generalized progressive hybrid censored procedures are created to reduce test time and expenses. This paper investigates the issue of estimating the model parameters, reliability, and hazard rate functions of the Fréchet (Fr) distribution under generalized Type-II progressive hybrid censoring by making use of [...] Read more.
Generalized progressive hybrid censored procedures are created to reduce test time and expenses. This paper investigates the issue of estimating the model parameters, reliability, and hazard rate functions of the Fréchet (Fr) distribution under generalized Type-II progressive hybrid censoring by making use of the Bayesian estimation and maximum likelihood methods. The appropriate estimated confidence intervals of unknown quantities are likewise built using the frequentist estimators’ normal approximations. The Bayesian estimators are created using independent gamma conjugate priors under the symmetrical squared-error loss. The Bayesian estimators and the associated greatest posterior density intervals cannot be computed analytically since the joint likelihood function is obtained in complex form, but they may be assessed using Monte Carlo Markov chain (MCMC) techniques. Via extensive Monte Carlo simulations, the actual behavior of the proposed estimation methodologies is evaluated. Four optimality criteria are used to choose the best censoring scheme out of all the options. To demonstrate how the suggested approaches may be utilized in real scenarios, two real applications reflecting the thirty successive values of precipitation in Minneapolis–Saint Paul for the month of March as well as the number of vehicle fatalities for thirty-nine counties in South Carolina during 2012 are examined. Full article
Show Figures

Figure 1

26 pages, 527 KB  
Article
Order-Restricted Inference for Generalized Inverted Exponential Distribution under Balanced Joint Progressive Type-II Censored Data and Its Application on the Breaking Strength of Jute Fibers
by Chunmei Zhang, Tao Cong and Wenhao Gui
Mathematics 2023, 11(2), 329; https://doi.org/10.3390/math11020329 - 8 Jan 2023
Cited by 4 | Viewed by 1570
Abstract
This article considers a new improved balanced joint progressive type-II censoring scheme based on two different populations, where the lifetime distributions of two populations follow the generalized inverted exponential distribution with different shape parameters but a common scale parameter. The maximum likelihood estimates [...] Read more.
This article considers a new improved balanced joint progressive type-II censoring scheme based on two different populations, where the lifetime distributions of two populations follow the generalized inverted exponential distribution with different shape parameters but a common scale parameter. The maximum likelihood estimates of all unknown parameters are obtained and their asymptotic confidence intervals are constructed by the observed Fisher information matrix. Furthermore, the existence and uniqueness of solutions are proved. In the Bayesian framework, the common scale parameter follows an independent Gamma prior and the different shape parameters jointly follow a Beta-Gamma prior. Based on whether the order restriction is imposed on the shape parameters, the Bayesian estimates of all parameters concerning the squared error loss function along with the associated highest posterior density credible intervals are derived by using the importance sampling technique. Then, we use Monte Carlo simulations to study the performance of the various estimators and a real dataset is discussed to illustrate all of the estimation techniques. Finally, we seek an optimum censoring scheme through different optimality criteria. Full article
(This article belongs to the Section D1: Probability and Statistics)
Show Figures

Figure 1

21 pages, 730 KB  
Article
Reliability Inferences of the Inverted NH Parameters via Generalized Type-II Progressive Hybrid Censoring with Applications
by Ahmed Elshahhat, Heba S. Mohammed and Osama E. Abo-Kasem
Symmetry 2022, 14(11), 2379; https://doi.org/10.3390/sym14112379 - 10 Nov 2022
Cited by 9 | Viewed by 1784
Abstract
Generalized progressive hybrid censored mechanisms have been proposed to reduce the test duration and to save the cost spent on testing. This paper considers the problem of estimating the unknown model parameters and the reliability time functions of the new inverted Nadarajah–Haghighi (NH) [...] Read more.
Generalized progressive hybrid censored mechanisms have been proposed to reduce the test duration and to save the cost spent on testing. This paper considers the problem of estimating the unknown model parameters and the reliability time functions of the new inverted Nadarajah–Haghighi (NH) distribution under generalized Type-II progressive hybrid censoring using the maximum likelihood and Bayesian estimation approaches. Utilizing the normal approximation of the frequentist estimators, the corresponding approximate confidence intervals of unknown quantities are also constructed. Using independent gamma conjugate priors under the symmetrical squared error loss, the Bayesian estimators are developed. Since the joint likelihood function is obtained in complex form, the Bayesian estimators and their associated highest posterior density intervals cannot be obtained analytically but can be evaluated via Monte Carlo Markov chain techniques. To select the optimum censoring scheme among different censoring plans, five optimality criteria are used. Finally, to explain how the proposed methodologies can be applied in real situations, two applications representing the failure times of electronic devices and deaths from the coronavirus disease 2019 epidemic in the United States of America are analyzed. Full article
Show Figures

Figure 1

26 pages, 1644 KB  
Article
Analysis of Adaptive Progressive Type-II Hybrid Censored Dagum Data with Applications
by Heba S. Mohammed, Mazen Nassar, Refah Alotaibi and Ahmed Elshahhat
Symmetry 2022, 14(10), 2146; https://doi.org/10.3390/sym14102146 - 14 Oct 2022
Cited by 11 | Viewed by 2234
Abstract
In life testing and reliability studies, obtaining whole data always takes a long time and lots of monetary and human resources. In this case, the experimenters prefer to gather data using censoring schemes that make a balance between the length of the test, [...] Read more.
In life testing and reliability studies, obtaining whole data always takes a long time and lots of monetary and human resources. In this case, the experimenters prefer to gather data using censoring schemes that make a balance between the length of the test, the desired sample size, and the cost. Lately, an adaptive progressive type-II hybrid censoring scheme is suggested to enhance the efficiency of the statistical inference. By utilizing this scheme, this paper seeks to investigate classical and Bayesian estimations of the Dagum distribution. The maximum likelihood and Bayesian estimation methods are considered to estimate the distribution parameters and some reliability indices. The Bayesian estimation is developed under the assumption of independent gamma priors and by employing symmetric and asymmetric loss functions. Due to the tough form of the joint posterior distribution, the Markov chain Monte Carlo technique is implemented to gather samples from the full conditional distributions and in turn obtain the Bayes estimates. The approximate confidence intervals and the highest posterior density credible intervals are also obtained. The effectiveness of the various suggested methods is compared through a simulated study. The optimal progressive censoring plans are also shown, and number of optimality criteria are explored. To demonstrate the applicability of the suggested point and interval estimators, two real data sets are also examined. The outcomes of the simulation study and data analysis demonstrated that the proposed scheme is adaptable and very helpful in ending the experiment when the experimenter’s primary concern is the number of failures. Full article
(This article belongs to the Special Issue Symmetry in Statistics and Data Science)
Show Figures

Figure 1

20 pages, 477 KB  
Article
Statistical Inference of Weighted Exponential Distribution under Joint Progressive Type-II Censoring
by Yinuo Qiao and Wenhao Gui
Symmetry 2022, 14(10), 2031; https://doi.org/10.3390/sym14102031 - 28 Sep 2022
Cited by 10 | Viewed by 1962
Abstract
The weighted exponential distribution is a promising skewed distribution in the life-testing experiment. The joint progressive type-II censoring (JPC) scheme is an effective approach to reducing costs. In this paper, we consider the estimates of parameters of the weighted exponential distribution with the [...] Read more.
The weighted exponential distribution is a promising skewed distribution in the life-testing experiment. The joint progressive type-II censoring (JPC) scheme is an effective approach to reducing costs. In this paper, we consider the estimates of parameters of the weighted exponential distribution with the JPC data. Two populations, whose scale parameters are the same but the shape parameters of which are different, are chosen to be studied. We first evaluate the parameters with the maximum likelihood method. Because the maximum likelihood estimates of parameters cannot be obtained in closed form, we apply the Newton–Raphson method in this part. Bayesian estimates and the corresponding credible intervals under the squared error loss function are computed by using the Markov Chain Monte Carlo method. After that, we use the bootstrap method to calculate the associated confidence intervals of the unknown parameters. A simulation has been performed to test the feasibility of the above methods and real data analysis is also provided for illustrative purposes. Full article
(This article belongs to the Special Issue Symmetry in Statistics and Data Science)
Show Figures

Figure 1

20 pages, 393 KB  
Article
Statistical Inference of the Generalized Inverted Exponential Distribution under Joint Progressively Type-II Censoring
by Qiyue Chen and Wenhao Gui
Entropy 2022, 24(5), 576; https://doi.org/10.3390/e24050576 - 20 Apr 2022
Cited by 13 | Viewed by 2966
Abstract
In this paper, we study the statistical inference of the generalized inverted exponential distribution with the same scale parameter and various shape parameters based on joint progressively type-II censored data. The expectation maximization (EM) algorithm is applied to calculate the maximum likelihood estimates [...] Read more.
In this paper, we study the statistical inference of the generalized inverted exponential distribution with the same scale parameter and various shape parameters based on joint progressively type-II censored data. The expectation maximization (EM) algorithm is applied to calculate the maximum likelihood estimates (MLEs) of the parameters. We obtain the observed information matrix based on the missing value principle. Interval estimations are computed by the bootstrap method. We provide Bayesian inference for the informative prior and the non-informative prior. The importance sampling technique is performed to derive the Bayesian estimates and credible intervals under the squared error loss function and the linex loss function, respectively. Eventually, we conduct the Monte Carlo simulation and real data analysis. Moreover, we consider the parameters that have order restrictions and provide the maximum likelihood estimates and Bayesian inference. Full article
(This article belongs to the Section Information Theory, Probability and Statistics)
Show Figures

Figure 1

24 pages, 493 KB  
Article
Statistical Inference of Inverted Exponentiated Rayleigh Distribution under Joint Progressively Type-II Censoring
by Jingwen Fan and Wenhao Gui
Entropy 2022, 24(2), 171; https://doi.org/10.3390/e24020171 - 24 Jan 2022
Cited by 17 | Viewed by 3103
Abstract
Inverted exponentiated Rayleigh distribution is a widely used and important continuous lifetime distribution, which plays a key role in lifetime research. The joint progressively type-II censoring scheme is an effective method used in the quality evaluation of products from different assembly lines. In [...] Read more.
Inverted exponentiated Rayleigh distribution is a widely used and important continuous lifetime distribution, which plays a key role in lifetime research. The joint progressively type-II censoring scheme is an effective method used in the quality evaluation of products from different assembly lines. In this paper, we study the statistical inference of inverted exponentiated Rayleigh distribution based on joint progressively type-II censored data. The likelihood function and maximum likelihood estimates are obtained firstly by adopting Expectation-Maximization algorithm. Then, we calculate the observed information matrix based on the missing value principle. Bootstrap-p and Bootstrap-t methods are applied to get confidence intervals. Bayesian approaches under square loss function and linex loss function are provided respectively to derive the estimates, during which the importance sampling method is introduced. Finally, the Monte Carlo simulation and real data analysis are performed for further study. Full article
(This article belongs to the Section Information Theory, Probability and Statistics)
Show Figures

Figure 1

Back to TopTop