Sign in to use this feature.

Years

Between: -

Subjects

remove_circle_outline
remove_circle_outline
remove_circle_outline
remove_circle_outline
remove_circle_outline
remove_circle_outline
remove_circle_outline
remove_circle_outline
remove_circle_outline

Journals

remove_circle_outline
remove_circle_outline
remove_circle_outline
remove_circle_outline
remove_circle_outline
remove_circle_outline
remove_circle_outline
remove_circle_outline
remove_circle_outline
remove_circle_outline
remove_circle_outline
remove_circle_outline

Article Types

Countries / Regions

remove_circle_outline
remove_circle_outline
remove_circle_outline
remove_circle_outline
remove_circle_outline
remove_circle_outline

Search Results (725)

Search Parameters:
Keywords = incremental conductance method

Order results
Result details
Results per page
Select all
Export citation of selected articles as:
15 pages, 1286 KB  
Article
Baseline Procalcitonin Levels and Their Association with Antibiotic Exposure and Clinical Outcomes in Critically Ill Patients with Suspected Bacterial Infection: A Retrospective Cohort Study
by I Wayan Suranadi, Ayu Dilia Febriani Wisnawa, Pontisomaya Parami, I Gusti Agung Gede Utara Hartawan, Cynthia Dewi Sinardja and Avelina Irene Djedoma
Healthcare 2026, 14(7), 849; https://doi.org/10.3390/healthcare14070849 - 27 Mar 2026
Abstract
Background/Objectives: The excessive use of antibiotics in the intensive care unit (ICU) is driving antimicrobial resistance and poor clinical results. Therefore, the aim of this study was to assess antibiotic exposure and clinical results stratified by baseline procalcitonin (PCT) levels in critically [...] Read more.
Background/Objectives: The excessive use of antibiotics in the intensive care unit (ICU) is driving antimicrobial resistance and poor clinical results. Therefore, the aim of this study was to assess antibiotic exposure and clinical results stratified by baseline procalcitonin (PCT) levels in critically ill ICU patients with suspected bacterial infections. Methods: A retrospective observational cohort study was conducted at a tertiary referral center in Bali, Indonesia. This study included adult ICU patients with suspected bacterial infections and documented baseline PCT levels. Participants were stratified into two cohorts based on a baseline PCT threshold, namely <0.5 ng/mL and ≥0.5 ng/mL. Comprehensive clinical data, antibiotic utilization, and patient results were extracted from electronic medical records. Comparative statistics and multivariable logistic regression were used to identify independent association after adjustment for relevant clinical confounders. Results: In this study, a total of 84 patients were analyzed. Patients in the elevated PCT group (≥0.5 ng/mL) were significantly older and had higher APACHE II scores, suggesting greater baseline illness severity at ICU admission. The median duration of antibiotic therapy was significantly longer in the elevated PCT than the normal group (8 vs. 5 days; p < 0.001). After adjustment for age, APACHE II score, and other relevant clinical variables, elevated baseline PCT levels remained independently associated with prolonged antibiotic exposure and in-hospital mortality. Incremental increases in PCT levels were associated with higher odds of mortality, along with advanced age and higher SOFA scores. Furthermore, the presence of multidrug-resistant (MDR) pathogens was independently associated with prolonged antibiotic use. Conclusions: Elevated baseline PCT levels upon ICU admission were associated with prolonged antibiotic exposure and increased in-hospital mortality. Baseline PCT levels likely reflect underlying illness severity and the magnitude of the host inflammatory response. Within antimicrobial stewardship frameworks, they should be interpreted alongside clinical assessment and severity scores rather than as a standalone determinant of antibiotic duration. Full article
(This article belongs to the Section Clinical Care)
Show Figures

Figure 1

20 pages, 1983 KB  
Article
Experimental Investigation of Surfactant-Assisted Low-Salinity Brine Flooding in Oil-Wet Carbonate Reservoirs for Enhanced Oil Recovery
by Amir Hossein Javadi, Ahmed Fatih Belhaj, Shasanowar Hussain Fakir and Hemanta Kumar Sarma
Processes 2026, 14(7), 1054; https://doi.org/10.3390/pr14071054 - 25 Mar 2026
Viewed by 201
Abstract
Low-salinity water flooding (LSWF) has been widely investigated as an enhanced oil recovery (EOR) method for carbonate reservoirs; however, the relative contributions of wettability alteration and oil–brine interfacial tension (IFT) reduction remain poorly understood, particularly under strongly oil-wet conditions. This study systematically investigates [...] Read more.
Low-salinity water flooding (LSWF) has been widely investigated as an enhanced oil recovery (EOR) method for carbonate reservoirs; however, the relative contributions of wettability alteration and oil–brine interfacial tension (IFT) reduction remain poorly understood, particularly under strongly oil-wet conditions. This study systematically investigates the physicochemical mechanisms governing oil recovery during hybrid LSWF–surfactant flooding in oil-wet carbonate systems. Oil-wet Indiana limestone cores were used as representative carbonate reservoir rocks. Seawater and its diluted analogs were employed as base brines and combined with anionic and cationic surfactants at varying concentrations. Zeta potential and pH measurements were conducted to characterize electrostatic interactions at the rock–brine and oil–brine interfaces, while dynamic contact angle and pendant-drop IFT measurements were used to quantify wettability evolution and fluid–fluid interactions. Core flooding experiments were subsequently performed to link interfacial phenomena to macroscopic oil recovery behavior. The results demonstrate that brine dilution induces more negative surface charges at both interfaces, promoting double-layer expansion and electrostatic repulsion, which stabilizes the aqueous film and drives wettability alteration toward a water-wet state. The addition of anionic surfactants further amplifies this effect by increasing surface charge negativity, whereas cationic surfactants preferentially adsorb onto the negatively charged rock surface, limiting wettability alteration despite producing greater IFT reduction. Sulfate ions enhance wettability alteration by facilitating divalent cation interactions with adsorbed oil components; however, excessive sulfate concentrations lead to precipitation-induced flow impairment. Core flooding results reveal that diluted seawater combined with an anionic surfactant yields the highest incremental oil recovery. Our findings conclusively demonstrate that wettability alteration—rather than IFT reduction—is the more dominant recovery mechanism in oil-wet carbonate reservoirs under the investigated conditions. These results provide mechanistic guidance for optimized brine and surfactant design in hybrid LSWF–chemical EOR applications. Full article
(This article belongs to the Special Issue New Technology of Unconventional Reservoir Stimulation and Protection)
Show Figures

Figure 1

10 pages, 523 KB  
Article
Calvert Formula Modification for Optimized Carboplatin Dosing in Breast Cancer with Preserved Renal Function
by Jihyun Jeon, Jiyeon Jeon, Huong Tra Dang, Eun-hyang Choi, Sang Yull Kang, Hwi-yeol Yun, Jung-woo Chae, Jae Hyun Kim and Soyoung Lee
Pharmaceutics 2026, 18(4), 398; https://doi.org/10.3390/pharmaceutics18040398 - 24 Mar 2026
Viewed by 173
Abstract
Background/Objectives: Although the Calvert formula has been widely used to guide carboplatin dosing, it may yield inaccurate dose predictions in certain patient populations. We aimed to evaluate the adequacy of the conventional Calvert formula and to propose structural modifications to enhance dosing [...] Read more.
Background/Objectives: Although the Calvert formula has been widely used to guide carboplatin dosing, it may yield inaccurate dose predictions in certain patient populations. We aimed to evaluate the adequacy of the conventional Calvert formula and to propose structural modifications to enhance dosing accuracy in breast cancer patients with preserved renal function (CrCL ≥ 55 mL/min). Methods: A systematic review and meta-analysis were conducted to integrate published pharmacokinetic models in patients with breast cancer. Two retrospective datasets (n = 154) were combined into a single analysis dataset and used to calculate carboplatin doses based on the conventional formulas using creatinine clearance (CrCL) or estimated glomerular filtration rate (eGFR), as well as a modified formula incorporating an additional constant (α). Performance was assessed by the proportion of subjects achieving target area under the curve (AUC) attainment (4–6 mg·min/mL), underexposure (<4 mg·min/mL), and overexposure (≥7 mg·min/mL). All AUC metrics were derived from model-based predictions rather than measured carboplatin concentrations, and no clinical toxicities or efficacy outcomes were used for validation. Results: Meta-analysis yielded fixed-effect parameter estimates (CL: 131.8 mL/min, V1: 15.39 L, K12: 0.002 min−1, and K21: 0.003 min−1) with a random effect model. The conventional CrCL-based formula yielded 66.0% target attainment, 22.1% underexposure, and 4.5% overexposure. Switching to eGFR improved attainment to 88.3%, reduced underexposure to 5.8%, and lowered overexposure to 0.65%. A modified formula with α = 1 further decreased underexposure (4.5%) while target attainment and overexposure remained unchanged. Conclusions: Replacing CrCL with Chronic Kidney Disease Epidemiology Collaboration (CKD-EPI)-derived eGFR in the Calvert formula markedly improved dosing accuracy, while modest structural modification offered additional benefit. The incremental benefit of α = 1 should be considered hypothesis-generating and requires prospective validation with measured carboplatin concentrations and clinical outcomes before applying it in practice. These findings support adopting eGFR-based dosing in breast cancer and suggest the need for future clinical validation. Full article
(This article belongs to the Special Issue Population Pharmacokinetics: Where Are We Now?)
Show Figures

Figure 1

22 pages, 848 KB  
Article
Digital Specimen Tracking- and ISO 15189-Oriented Risk Management in Anatomic Pathology: A Qualitative Study of Expert Perspectives in Western Austria
by Pius Sommeregger, Natalie Pallua, Bettina Zelger, Riem Kahlil and Johannes Dominikus Pallua
Diagnostics 2026, 16(6), 949; https://doi.org/10.3390/diagnostics16060949 - 23 Mar 2026
Viewed by 154
Abstract
Background: Breakpoints in the pre-examination processes and at organizational interfaces are a significant source of failures in specimen identification and tracking in anatomic pathology. While ISO 15189 emphasizes end-to-end traceability and risk-based quality management, implementing these principles in complex, multi-actor specimen pathways [...] Read more.
Background: Breakpoints in the pre-examination processes and at organizational interfaces are a significant source of failures in specimen identification and tracking in anatomic pathology. While ISO 15189 emphasizes end-to-end traceability and risk-based quality management, implementing these principles in complex, multi-actor specimen pathways remains challenging. This study explores expert perspectives on specimen process chains, tracking mechanisms, and ISO 15189-oriented quality and risk management in pathology. Methods: We conducted 10 semi-structured expert interviews across three settings. Interviews were audio-recorded, transcribed, pseudonymized, and analyzed using structured qualitative content analysis (Mayring) supported by MAXQDA. A deductive category system derived from the theoretical framework and interview guide comprised six main categories and twelve subcategories. Results: Across 512 coded text segments, participants identified several factors as critical for effective implementation, including: (i) interface management along the specimen pathway, with recurrent vulnerabilities at handovers between operating theater/ward/transport and accessioning; (ii) the central role of barcode-based identification and the need for closed-loop traceability; (iii) the importance of measurable quality indicators and incident learning systems to operationalize risk management; (iv) persistent paper–digital handoffs and heterogeneous IT landscapes that undermine data integrity; (v) the need for clearly assigned responsibilities, training, and SOP governance; and (vi) implementation barriers including resources, change management, and vendor integration, alongside practical enablers such as incremental roll-out and cross-professional governance. Conclusions: Experts converge on a pragmatic ISO 15189-aligned roadmap: prioritize interface risks, standardize identifiers and handover rules, define a minimal KPI set for tracking and misidentification events, and reduce paper–digital handoffs by interoperable IT. Future work should quantify baseline error rates and evaluate the impact of digital tracking interventions on patient safety and turnaround times. Full article
(This article belongs to the Section Pathology and Molecular Diagnostics)
Show Figures

Figure 1

17 pages, 900 KB  
Article
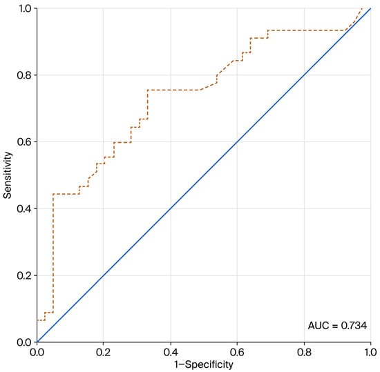
Association of Serum Glucose/Potassium Ratio with Injury Severity and Transfusion Requirements in Traumatic Pelvic Fractures: A Retrospective Cohort Study
by Abdullah Alper Sahin, Yunus Emre Özbilen and Çağrı Akalın
Diagnostics 2026, 16(6), 939; https://doi.org/10.3390/diagnostics16060939 - 22 Mar 2026
Viewed by 199
Abstract
Background: We evaluated the association between admission serum glucose-to-potassium ratio (GPR) and injury severity as well as early transfusion requirements in patients with traumatic pelvic fractures. Methods: This single-center, retrospective cohort study included 84 adult patients with isolated or predominantly pelvic fractures admitted [...] Read more.
Background: We evaluated the association between admission serum glucose-to-potassium ratio (GPR) and injury severity as well as early transfusion requirements in patients with traumatic pelvic fractures. Methods: This single-center, retrospective cohort study included 84 adult patients with isolated or predominantly pelvic fractures admitted between January 2020 and December 2024. Patients with concomitant non-pelvic skeletal fractures were excluded to isolate the metabolic response attributable to pelvic injury. GPR was calculated from admission serum glucose and potassium levels. Higher transfusion requirement (HT) was defined as ≥4 units of packed red blood cells within 24 h. Receiver operating characteristic (ROC) analysis identified the optimal GPR cut-off using the Youden index. Internal validation was performed using bootstrap resampling (1000 iterations), and model calibration was assessed with the Hosmer–Lemeshow test. The incremental discriminatory value of GPR beyond the Injury Severity Score (ISS) was evaluated by comparing AUC values using the DeLong test, and reclassification metrics including the category-free net reclassification improvement (NRI) and integrated discrimination improvement (IDI) were calculated. Sensitivity analyses were conducted using alternative transfusion thresholds (≥6 and ≥10 units). Results: The optimal GPR cut-off was 34 (area under the curve (AUC) = 0.730; 95% CI: 0.593–0.853; sensitivity 78.8%; specificity 59.0%). Patients with GPR ≥ 34 (n = 43) had significantly higher ISS values (median 25 [IQR: 16–34] vs. 9 [5–17]; p < 0.001), greater transfusion volumes (median 3 [0–6] vs. 0 [0–1] units; p < 0.001), and longer intensive care unit (ICU) stays (3 (0–6) vs. 0 (0–1) days; p < 0.001). In univariable logistic regression, GPR was significantly associated with HT (OR = 1.059 per unit increase; 95% CI: 1.015–1.104; p = 0.008); however, significance was not retained in the multivariable model after adjustment for ISS (p = 0.194). ISS remained the sole independent predictor (OR = 1.128; p < 0.001). The combined ISS + GPR model yielded an AUC of 0.857, representing a modest increment over ISS alone (AUC = 0.849; ΔAUC = 0.009; DeLong p = 0.566). Bootstrap-corrected AUCs confirmed minimal optimism (GPR alone: 0.726; ISS + GPR: 0.847). The Hosmer–Lemeshow test indicated adequate calibration for all models (p > 0.05). The category-free NRI was 0.627 (p = 0.009), whereas the IDI did not reach significance (0.017; p = 0.290). Sensitivity analysis at the ≥6-unit threshold yielded consistent results (GPR AUC = 0.709). Conclusions: Admission GPR is significantly associated with injury severity, hemorrhagic burden, and transfusion requirements in patients with traumatic pelvic fractures. Although GPR does not independently predict transfusion needs beyond ISS, it yields significant reclassification improvement and may serve as a practical, rapidly obtainable adjunct for early risk stratification in the acute trauma setting. Level of Evidence: III (retrospective prognostic study). Full article
(This article belongs to the Section Clinical Diagnosis and Prognosis)
Show Figures

Graphical abstract

19 pages, 1284 KB  
Systematic Review
Human In Vivo Cardiac Magnetic Resonance Imaging at 7 T: Feasibility, Applications, and Current Limitations—A Systematic Review
by Arosh S. Perera Molligoda Arachchige, Gabriel Amorim Moreira Alves, Ayça Zal, Giulia D’Acunto, Maciej Węglarz, Oana-Georgiana Voicu, Erica Maffei and Filippo Cademartiri
Diagnostics 2026, 16(6), 937; https://doi.org/10.3390/diagnostics16060937 - 22 Mar 2026
Viewed by 267
Abstract
Background/Objectives: Cardiac magnetic resonance (CMR) imaging at 7 Tesla provides a substantially higher intrinsic signal-to-noise ratio compared with conventional 1.5 T and 3 T systems, potentially enabling higher spatial resolution, improved tissue contrast, and advanced metabolic imaging. However, clinical translation remains limited by [...] Read more.
Background/Objectives: Cardiac magnetic resonance (CMR) imaging at 7 Tesla provides a substantially higher intrinsic signal-to-noise ratio compared with conventional 1.5 T and 3 T systems, potentially enabling higher spatial resolution, improved tissue contrast, and advanced metabolic imaging. However, clinical translation remains limited by technical challenges associated with ultra-high-field operation. This systematic review aimed to synthesize current human in vivo evidence on the feasibility, applications, and methodological limitations of 7-T cardiovascular MRI. Methods: A PRISMA-guided systematic search of PubMed, Cochrane Library, Web of Science, and Scopus was conducted from database inception through January 2025. Studies reporting human in vivo cardiovascular MRI at 7 Tesla were included. Data regarding study design, sample characteristics, imaging applications, feasibility, quantitative findings, and reported limitations were extracted and qualitatively synthesized. Results: Sixty-five studies met inclusion criteria, predominantly small prospective cohorts (mean sample size = 13), largely involving healthy volunteers. Across diverse applications—including coronary MR angiography, cine imaging, valvular assessment, vascular imaging, flow quantification, myocardial tissue characterization, and multinuclear (31P, 23Na, 39K) imaging—7-T CMR was consistently feasible and capable of producing high-quality images. Quantitative ventricular and vascular measurements were generally concordant with lower field strengths. Incremental benefits were most apparent in high-resolution structural imaging and metabolic applications, whereas routine functional and flow assessments showed limited additional advantages. No serious adverse events were reported. Conclusions: Human cardiovascular MRI at 7 Tesla represents a technically feasible research and early translational platform with selective advantages over established field strengths. Further advances in radiofrequency technology, protocol harmonization, and larger disease-focused studies are required to clarify its potential clinical role. Full article
(This article belongs to the Special Issue Cardiovascular Imaging, 2nd Edition)
Show Figures

Figure 1

22 pages, 1509 KB  
Article
ICTD: Combination of Improved CNN–Transformer and Enhanced Deep Canonical Correlation Analysis for Eye-Movement Emotion Classification
by Cong Zhang, Xisheng Li, Jiannan Chi, Ming Cao, Qingfeng Gu and Jiahui Liu
Brain Sci. 2026, 16(3), 330; https://doi.org/10.3390/brainsci16030330 - 19 Mar 2026
Viewed by 208
Abstract
Background/Objectives: Emotion classification based on eye-movement features has become a widely adopted approach due to the simplicity of data acquisition and the strong association between ocular responses and emotional states. However, several challenges remain with regard to existing emotion recognition methods, including [...] Read more.
Background/Objectives: Emotion classification based on eye-movement features has become a widely adopted approach due to the simplicity of data acquisition and the strong association between ocular responses and emotional states. However, several challenges remain with regard to existing emotion recognition methods, including the relatively weak correlation between eye-movement features and emotional labels and the fact that the key features are not prominently presented. Methods: To address abovelimitations, this study proposes an improved CNN-transformer combined with enhanced deep canonical correlation analysis network (ICTD). The proposed method first performs preprocessing and reconstruction of raw eye-movement signals to extract informative features. Subsequently, convolutional neural networks (CNNs) and transformer architectures are employed to capture local and global feature, respectively. In addition, an incremental feature feedforward network is incorporated to enhance the transformer, enabling the model to assign higher importance to salient feature information. Finally, the extracted representations are processed through deep canonical correlation analysis based on cosine similarity in order to generate classification outcomes. Results: Experiments conducted on the SEED-IV, SEED-V, and eSEE-d datasets demonstrate that the proposed ICTD framework consistently outperforms baseline approaches and attains optimal classification results. (1) On the eSEE-d dataset, the results of three-category arousal and valence classification reach 81.8% and 85.2%, respectively; (2) on the SEED-IV dataset, the emotion four-category classification result reaches 91.2%; (3) finally, on the SEED-V dataset, the emotion five-category classification result reaches 85.1%. Conclusions: The proposed ICTD framework effectively improves feature representation and classification performance, showing strong potential for practical emotion recognition and physiological signal analysis. Full article
(This article belongs to the Section Cognitive, Social and Affective Neuroscience)
Show Figures

Figure 1

35 pages, 59977 KB  
Article
Post-Occupancy Evaluation and Evidence-Based Retrofitting of Outdoor Spaces in Old Residential Communities: An Intergenerational-Friendly Perspective from Xingshe Community, Dalian, China
by Jiarun Li, Zhubin Li and Kun Wang
Buildings 2026, 16(6), 1219; https://doi.org/10.3390/buildings16061219 - 19 Mar 2026
Viewed by 151
Abstract
In China’s stock-based renewal agenda, many old residential communities display pronounced intergenerational overlap, in which grandparental childcare becomes a dominant pattern of outdoor-space use. Against the backdrop of age-structure shifts, population ageing, and persistently low fertility, community-level outdoor-space supply, distributive equity, and environmental [...] Read more.
In China’s stock-based renewal agenda, many old residential communities display pronounced intergenerational overlap, in which grandparental childcare becomes a dominant pattern of outdoor-space use. Against the backdrop of age-structure shifts, population ageing, and persistently low fertility, community-level outdoor-space supply, distributive equity, and environmental adaptability have become key concerns in renewal practice. Yet, practitioners still lack a rankable, low-cost, and implementable evaluation-to-decision workflow. Using Xingshe Community in Dalian, China as an empirical case, this study establishes and tests an integrated “NLP–AHP–GBDT” assessment framework. Guided by policy discourse and planning theory, over 50 semi-structured interviews were processed via NLP-based semantic analysis and keyword mining to derive a two-tier indicator set (criterion and indicator layers). Seven specialists then applied the analytic hierarchy process to elicit indicator weights, and a resident survey was administered to generate weighted performance scores for diagnosing deficiencies. In the feedback-validation stage, we adopted both a qualitative Framework Method and a quantitative GBDT approach, first using the Framework Method to conduct feedback validation based on community residents’ open-ended evaluations. Subsequently, gradient boosting decision trees were used for supervised verification with renewal-scenario data, providing empirical backing for the weighting scheme and the resulting priority order for interventions. The findings suggest that outdoor spaces are broadly serviceable but fall short in intergenerational friendliness, reflecting a structural misalignment between intergenerational activity patterns and spatial provision. Based on the validated priorities, the study proposes modular, incremental micro-renewal measures focusing on safety and emergency accessibility, environmental comfort and caregiving–recreation coupling, and place identity with community organizational mobilization. Full article
(This article belongs to the Section Architectural Design, Urban Science, and Real Estate)
Show Figures

Figure 1

18 pages, 275 KB  
Article
Association of Treadmill Exercise Testing Parameters with PREVENT-Estimated Cardiovascular Risk: A Cross-Sectional Analysis
by Selen Eşki, Hatice Taşkan, Özkan Eravcı, Şeymagül Karaca, Ahmet Arslan and Erkan Yıldırım
J. Clin. Med. 2026, 15(6), 2346; https://doi.org/10.3390/jcm15062346 - 19 Mar 2026
Viewed by 187
Abstract
Background/Objectives: Atherosclerotic cardiovascular disease (ASCVD) remains the leading cause of death worldwide. The 2023 American Heart Association PREVENT equations represent a contemporary approach to cardiovascular risk estimation, yet they rely on resting clinical and biochemical parameters. This study aimed to evaluate the association [...] Read more.
Background/Objectives: Atherosclerotic cardiovascular disease (ASCVD) remains the leading cause of death worldwide. The 2023 American Heart Association PREVENT equations represent a contemporary approach to cardiovascular risk estimation, yet they rely on resting clinical and biochemical parameters. This study aimed to evaluate the association between PREVENT-estimated 10-year cardiovascular risk and treadmill exercise testing (TET)-derived physiological variables. Methods: We conducted a single-center observational study of 391 participants (mean age 42.9 ± 9.0 years, 56.8% male) who underwent symptom-limited treadmill testing. Ten-year cardiovascular risk was estimated using PREVENT for total cardiovascular disease (CVD), ASCVD, and heart failure (HF). Hierarchical multivariable regression was performed using log-transformed PREVENT risk estimates to quantify the incremental association of exercise capacity (METs), hemodynamic markers (double product), autonomic recovery (heart rate recovery), and the ST/HR index beyond demographic (age, sex, BMI) and extended clinical base models incorporating available PREVENT input covariates. Results: Beyond the demographic base model, treadmill parameters were significantly associated with log-transformed PREVENT-CVD risk (ΔR2 = 0.026, p < 0.001; Cohen’s f2 = 0.154). Double product (standardized β = 0.116), HRR at 1 min (standardized β = −0.081), and maximum METs (standardized β = −0.079) were independently associated with risk estimates. However, when the full set of available PREVENT input covariates was included in the base model, the incremental association was negligible (ΔR2 = 0.0004, p = 0.386), indicating substantial overlap between exercise-derived physiology and PREVENT-embedded clinical information. The incremental association was greatest in participants with intermediate (1–5%) and higher (≥5%) estimated risk (ΔR2 = 0.052 and 0.246, respectively). Approximately 14% of participants shifted to a different quartile of estimated risk after inclusion of treadmill data. Conclusions: Treadmill-derived physiological parameters are significantly associated with PREVENT-estimated cardiovascular risk, but this association largely reflects shared pathophysiology with PREVENT input variables rather than statistically independent incremental information. Exercise testing may serve as a physiological complement to static risk estimation, particularly in intermediate-risk populations, by providing a dynamic physiological assessment that complements resting clinical measurements. Prospective studies with adjudicated cardiovascular outcomes are needed before clinical implementation. Full article
(This article belongs to the Special Issue Clinical Insights in Preventive Cardiology)
Show Figures

Graphical abstract

12 pages, 245 KB  
Article
Multidimensional Determinants of Sexual Dysfunction in Multiple Sclerosis: Incremental Insights from a Hierarchical Model
by Yusuf Sarı, Neslihan Cansel and Mehmet Tecellioğlu
J. Clin. Med. 2026, 15(6), 2304; https://doi.org/10.3390/jcm15062304 - 18 Mar 2026
Viewed by 180
Abstract
Background/Objectives: Sexual dysfunction (SD) is a common yet underrecognized consequence of multiple sclerosis (MS) with multidimensional determinants spanning neurological, physical, and psychosocial domains. However, the relative and incremental contribution of fatigue compared with disability and psychological factors remains insufficiently clarified. This study [...] Read more.
Background/Objectives: Sexual dysfunction (SD) is a common yet underrecognized consequence of multiple sclerosis (MS) with multidimensional determinants spanning neurological, physical, and psychosocial domains. However, the relative and incremental contribution of fatigue compared with disability and psychological factors remains insufficiently clarified. This study aimed to evaluate the prevalence and severity of sexual dysfunction in MS and to identify independent and incremental predictors using a hierarchical analytical framework. Methods: In this cross-sectional case–control study, 140 patients with MS and 140 age- and sex-matched healthy controls were assessed. Sexual functioning was evaluated using the Arizona Sexual Experience Scale (ASEX) and the Multiple Sclerosis Intimacy and Sexuality Questionnaire-19 (MSISQ-19). Fatigue severity, anxiety, depression, body image, self-esteem, disability (EDSS), and quality of life were measured using validated instruments. Hierarchical multiple linear regression analyses were conducted within the MS cohort to determine independent predictors of MSISQ-19 domain and total scores and to evaluate the incremental contribution of fatigue. Results: Sexual dysfunction was significantly more prevalent in the MS group compared with controls (70.7% vs. 13.6%, p < 0.001). Patients with MS demonstrated higher fatigue, anxiety, depression, and poorer body image, self-esteem, and quality of life (all p < 0.001). Within the MS cohort, individuals with sexual dysfunction exhibited greater symptom burden and disability. Hierarchical regression analyses showed that fatigue produced the largest increase in explained variance across all MSISQ-19 domains (ΔR2 range: 0.11–0.19) and remained the strongest independent predictor (β range: 0.29–0.42; p ≤ 0.001). Anxiety retained independent associations with selected domains, whereas disability indices did not remain independently significant after adjustment. Conclusions: Sexual dysfunction in MS reflects a multidimensional burden extending beyond neurological impairment. Fatigue demonstrated the most consistent associations across sexual dysfunction domains, with anxiety contributing to selected aspects of functioning. Given the cross-sectional design, these findings should be interpreted as associations rather than causal relationships. Multidimensional assessment incorporating fatigue and psychological factors may improve the identification of clinically relevant and potentially modifiable determinants within comprehensive MS care. Full article
(This article belongs to the Section Clinical Neurology)
24 pages, 996 KB  
Article
Predictors of Psychological Well-Being Among Pre-Service Teachers: Emotional Intelligence and Occupational Anxiety
by Ümit İzgi Onbaşılı
J. Intell. 2026, 14(3), 49; https://doi.org/10.3390/jintelligence14030049 - 17 Mar 2026
Viewed by 330
Abstract
This study examined psychological well-being as the outcome and its associations with emotional intelligence and occupational anxiety in a sample of pre-service teachers (n = 360) from 74 universities in Türkiye. Participants completed the Trait Emotional Intelligence Questionnaire-Short Form (TEIQue-SF), the Ryff [...] Read more.
This study examined psychological well-being as the outcome and its associations with emotional intelligence and occupational anxiety in a sample of pre-service teachers (n = 360) from 74 universities in Türkiye. Participants completed the Trait Emotional Intelligence Questionnaire-Short Form (TEIQue-SF), the Ryff Psychological Well-Being Scale (PWBS), and the Occupational Anxiety Scale (OAS). After descriptive statistics and Pearson correlations, multiple linear regression was conducted; incremental validity was examined with a two-block hierarchical model. Emotional intelligence was positively associated with psychological well-being, whereas occupational anxiety showed a negative association. In the regression model, emotional intelligence (Beta = 0.66) and occupational anxiety (Beta = −0.28) jointly explained 71% of the variance in psychological well-being (R = 0.84, R2 = 0.71, F(2, 357) = 426.18, p < 0.001). Mediation analysis (PROCESS Model 4, 5000 bootstrap resamples) further supported an indirect association whereby higher emotional intelligence was related to lower occupational anxiety, which in turn was related to higher psychological well-being, while the direct association remained significant. These findings suggest that strengthening socio-emotional competencies and integrating anxiety regulation strategies within teacher education may support well-being outcomes. The principal limitations are the cross-sectional design and reliance on self-report measures, so inferences are correlational rather than causal. Future research should include longitudinal or quasi-experimental evaluations of interventions targeting emotional intelligence and anxiety regulation, using multi-method measurement and tests of moderation and multilevel models. Full article
Show Figures

Figure 1

20 pages, 1680 KB  
Article
Efficient Inference of Neural Networks with Cooperative Integer-Only Arithmetic on a SoC FPGA for Onboard LEO Satellite Network Routing
by Bogeun Jo, Heoncheol Lee, Bongsoo Roh and Myonghun Han
Aerospace 2026, 13(3), 277; https://doi.org/10.3390/aerospace13030277 - 16 Mar 2026
Viewed by 169
Abstract
Low Earth orbit (LEO) satellite networks require real-time routing to cope with dynamic topology variations caused by continuous orbital motion. As an alternative to conventional routing approaches, deep reinforcement learning (DRL) has recently gained attention as an effective means for optimizing routing paths. [...] Read more.
Low Earth orbit (LEO) satellite networks require real-time routing to cope with dynamic topology variations caused by continuous orbital motion. As an alternative to conventional routing approaches, deep reinforcement learning (DRL) has recently gained attention as an effective means for optimizing routing paths. To solve routing problems modeled as a grid-based Markov decision process (grid-based MDP), DRL methods such as CNN-based Dueling DQN have been proposed. However, these approaches are difficult to implement in practice. In particular, the substantial floating-point computation and memory traffic of CNN inference make real-time onboard inference challenging under the stringent power and resource constraints of satellite platforms. To address these constraints, this paper proposes an INT8 quantization and hardware–software co-design framework using heterogeneous SoC FPGA acceleration. We offload compute-intensive CNN inference to the programmable logic (PL), while the processing system (PS) orchestrates overall control and data movement, forming a collaborative PS–PL architecture. Furthermore, we integrate the NITI-style two-pass scaling with PS–PL exponent propagation to preserve end-to-end integer consistency without floating-point conversion. To demonstrate its practical onboard feasibility, we employ standard accelerator implementation choices—such as output-stationary scheduling and on-chip prefetching—and conduct an ablation study over independently tunable axes (PE array size and PS-side buffer reuse) to quantify their incremental contributions. Experimental results show that the proposed PS–PL cooperative scheme dramatically reduces computation time compared to a PS-only reference implementation on the same platform. Full article
(This article belongs to the Section Astronautics & Space Science)
Show Figures

Figure 1

20 pages, 2825 KB  
Article
Research on High-Pressure Energy Injection and Response Mechanism in Tight Sandstone Reservoirs
by Li Liu, Xinfang Ma, Yushi Zou and Shicheng Zhang
Processes 2026, 14(6), 945; https://doi.org/10.3390/pr14060945 - 16 Mar 2026
Viewed by 231
Abstract
To reveal the energy transfer mechanism of water injection and the dynamic response characteristics of pore pressure in tight sandstone reservoirs, and to clarify the influence of lithology, injection pressure, and injection method on the energy enhancement effect of water injection, a high-pressure [...] Read more.
To reveal the energy transfer mechanism of water injection and the dynamic response characteristics of pore pressure in tight sandstone reservoirs, and to clarify the influence of lithology, injection pressure, and injection method on the energy enhancement effect of water injection, a high-pressure energy injection and response testing system and nuclear magnetic resonance (NMR) testing technology were used to conduct systematic water injection energy enhancement experiments on three rock types: mudstone, sandstone, and naturally fractured sandstone. Combined with pressure dynamic monitoring and pore structure evolution analysis, the pressure response characteristics and energy enhancement mechanism of rock samples under different experimental conditions were explored. The experimental results showed that the NMR T2 distribution of the three rock samples exhibited bimodal characteristics, corresponding to small pores (pore size < 1000 nm) and large pores/microcracks (pore size > 1000 nm), respectively. There were significant lithological differences in the evolution of pore structure during water injection, with a cumulative decrease of 7.2% in the proportion of large pores in mudstone and an increase of 9.3% in the proportion of large pores in sandstone with natural fracture development. There is a positive correlation between injection pressure and the energy enhancement effect. Under an injection pressure of 40 MPa, the pressure increment at the outlet end of sandstone with natural fracture development reaches 8.06 MPa, and the energy enhancement effect is 24% higher than that under the 30 MPa working condition, while the mudstone only increases by 15%. The energy enhancement effect of intermittent water injection is significantly better than that of depleted water injection, and the energy enhancement effects of the three rock samples are increased by 18.6%, 12.0%, and 6.9%, respectively. Overall, sandstone with natural fractures has the best energy enhancement effect, followed by sandstone, and mudstone has the worst. The connectivity of pores and the degree of fracture development are the core factors that dominate the water injection energy enhancement effect and pressure transmission efficiency. The research results can provide reliable experimental basis and theoretical support for optimizing water injection development plans, improving energy efficiency, and dynamically regulating stress fields in tight sandstone reservoirs. Full article
(This article belongs to the Section Petroleum and Low-Carbon Energy Process Engineering)
Show Figures

Figure 1

14 pages, 1265 KB  
Article
Diabetes Duration Is Associated with Declining Kidney Function: eGFR and CKD Burden Across Duration
by Carmen Pantis, Cosmin Mihai Vesa, Timea Claudia Ghitea, Daniela Florina Trifan, Roxana Daniela Brata, Nicolae Ovidiu Pop and Madalina Ioana Moisi
J. Clin. Med. 2026, 15(6), 2235; https://doi.org/10.3390/jcm15062235 - 15 Mar 2026
Viewed by 249
Abstract
Background: Diabetic kidney disease is a major complication of type 2 diabetes mellitus (T2DM) and a leading cause of chronic kidney disease (CKD) worldwide. While diabetes duration is often considered a marker of cumulative metabolic exposure, its independent contribution to renal decline beyond [...] Read more.
Background: Diabetic kidney disease is a major complication of type 2 diabetes mellitus (T2DM) and a leading cause of chronic kidney disease (CKD) worldwide. While diabetes duration is often considered a marker of cumulative metabolic exposure, its independent contribution to renal decline beyond aging and hypertension remains incompletely defined. Methods: We conducted a cross-sectional study including 250 adults with T2DM. Diabetes duration was analyzed both as a continuous variable and across four predefined strata (0–4, 5–9, 10–14, and ≥15 years). The primary endpoint was estimated glomerular filtration rate (eGFR), analyzed as a continuous outcome. Functional CKD was defined as eGFR < 60 mL/min/1.73 m2. Linear and logistic regression models were constructed in unadjusted and adjusted forms (age, sex, BMI, hypertension, HbA1c). A sensitivity analysis modeling duration per 5-year increase was performed. Results: Mean eGFR declined significantly across duration strata (82.45, 84.27, 78.72, and 61.57 mL/min/1.73 m2, respectively; p < 0.001). The prevalence of functional CKD increased markedly in patients with ≥15 years of diabetes (54.2%) compared with shorter-duration groups (~15–18%; p < 0.001). In linear regression, each additional year of diabetes was associated with a 1.32 mL/min/1.73 m2 decline in eGFR (p < 0.001), remaining significant after adjustment (β = −0.85; p < 0.001). In logistic regression, each additional year was associated with a 10.7% increase in adjusted odds of CKD (OR = 1.11; 95% CI 1.04–1.17; p < 0.001). Each 5-year increment conferred a 66% increase in adjusted CKD risk (OR = 1.66; 95% CI 1.25–2.21; p < 0.001). Patients with ≥15 years of diabetes had nearly fourfold higher adjusted odds of CKD compared with those with 0–4 years (OR = 3.90; 95% CI 1.42–10.75; p = 0.008). Conclusions: Diabetes duration is strongly and independently associated with declining kidney function. Prolonged disease exposure confers a substantial increase in CKD risk, even after adjustment for age, hypertension, and metabolic factors. These findings highlight the progressive nephrotoxic impact of cumulative hyperglycemic exposure and underscore the need for early and sustained nephroprotective strategies in T2DM. Full article
(This article belongs to the Section Endocrinology & Metabolism)
Show Figures

Graphical abstract

13 pages, 720 KB  
Systematic Review
Effect of Variable Priority Cognitive-Motor Dual-Task Training on Cognitive and Physical Function in Older Adults: A Systematic Review
by Xiao Yu, Roxana Dev Omar Dev and Maizatul Mardiana Harun
Brain Sci. 2026, 16(3), 308; https://doi.org/10.3390/brainsci16030308 - 13 Mar 2026
Viewed by 320
Abstract
Background: With advancing age, cognitive control and postural-gait regulation decline, while dual-task interference intensifies, leading to restricted mobility and increased fall risk. Variable-priority cognitive-motor dual-task training (VPDT) enhances attentional flexibility and task integration by systematically shifting attentional allocation during training. However, its effects [...] Read more.
Background: With advancing age, cognitive control and postural-gait regulation decline, while dual-task interference intensifies, leading to restricted mobility and increased fall risk. Variable-priority cognitive-motor dual-task training (VPDT) enhances attentional flexibility and task integration by systematically shifting attentional allocation during training. However, its effects on cognitive and physical function remain unclear. Objective: To review the effects of VPDT on cognitive and physical function in older adults. Method: A comprehensive database search was conducted in the PubMed, Embase, Cochrane, Web of Science, PsycInfo, and CINAHL databases from inception to April 2025, relevant articles were selected, data were extracted using a PICO framework and synthesized narratively. Result: Eight controlled trials (n = 284) were included. Across studies, VPDT was generally associated with improvements in functional balance and mobility outcomes, while between-group differences versus fixed-priority dual-task training (FPDT) were inconsistent. Cognitive outcomes were sparsely reported (only one trial), and psychosocial outcomes were assessed in only a small subset of studies, precluding firm inferences regarding cognitive or psychosocial benefits. Overall risk of bias was predominantly “some concerns,” with two studies rated “high risk,” and overall certainty of evidence ranged from low to moderate due to risk of bias, small samples, and heterogeneity in protocols and outcomes. Conclusions: VPDT may improve physical function in older adults, particularly balance and mobility, but current evidence does not demonstrate a consistent incremental advantage over FPDT. Confidence in comparative effects remains limited due to small sample sizes, risk-of-bias concerns, and heterogeneity in intervention design and outcome measurement. Full article
(This article belongs to the Section Cognitive, Social and Affective Neuroscience)
Show Figures

Figure 1

Back to TopTop