Sign in to use this feature.

Years

Between: -

Subjects

remove_circle_outline
remove_circle_outline
remove_circle_outline
remove_circle_outline
remove_circle_outline
remove_circle_outline
remove_circle_outline
remove_circle_outline
remove_circle_outline

Journals

remove_circle_outline
remove_circle_outline
remove_circle_outline
remove_circle_outline
remove_circle_outline

Article Types

Countries / Regions

remove_circle_outline
remove_circle_outline
remove_circle_outline
remove_circle_outline
remove_circle_outline

Search Results (395)

Search Parameters:
Keywords = impulsive equations

Order results
Result details
Results per page
Select all
Export citation of selected articles as:
23 pages, 357 KB  
Article
Stability of Sets for Ebola Virus Disease Models Through Impulsive Conformable Approach
by Gani Stamov, Ivanka Stamova, Neli Simeonova, Katya Gabrovska and Stanislav Simeonov
Mathematics 2026, 14(7), 1108; https://doi.org/10.3390/math14071108 - 25 Mar 2026
Viewed by 103
Abstract
In this paper, we extend some existing models of the Ebola virus disease through a hybrid impulsive conformable approach. The base of the introduced model is a class of partial differential equations that incorporate diffusion terms to describe the development of the Ebola [...] Read more.
In this paper, we extend some existing models of the Ebola virus disease through a hybrid impulsive conformable approach. The base of the introduced model is a class of partial differential equations that incorporate diffusion terms to describe the development of the Ebola virus disease in time and space. In the extended model, we have considered impulsive effects at fixed moments of time, which is of high significance in investigating opportunities for impulsive vaccination strategies and impulsive control drug treatment on disease evolution. In addition, conformable setting is proposed, which provides modeling flexibility without the complications inherent in classical fractional derivatives. Instead of studying the global stability of an equilibrium, the more general notion of stability of sets is introduced and analyzed. The main stability of sets results are obtained by using the impulsive conformable Lyapunov technique and comparison principle. The proposed framework, concepts and techniques may serve as effective tools for analyzing numerous phenomena in medicine and biology. Full article
(This article belongs to the Special Issue Theory and Applications of Fractional Models)
15 pages, 1117 KB  
Article
Application of Impulsive SIRQ Models for the Development of Forecasting and Cyberattack Mitigation Scenarios
by Valentyn Sobchuk, Vitalii Savchenko, Bohdan Stepanchenko and Halyna Haidur
Axioms 2026, 15(3), 229; https://doi.org/10.3390/axioms15030229 - 19 Mar 2026
Viewed by 130
Abstract
This paper proposes an impulsive SIRQ model for the analysis of computer network resilience against malware propagation and distributed denial-of-service (DDoS) attacks. The model extends classical epidemic frameworks by combining the continuous-time dynamics of malicious object spreading with discrete control actions corresponding to [...] Read more.
This paper proposes an impulsive SIRQ model for the analysis of computer network resilience against malware propagation and distributed denial-of-service (DDoS) attacks. The model extends classical epidemic frameworks by combining the continuous-time dynamics of malicious object spreading with discrete control actions corresponding to mass updates, node isolation, and access control policies. A qualitative analysis of the resulting system of impulsive differential equations is performed. The basic reproduction number R0, identified as a threshold parameter characterizing the intensity of attack propagation, and sufficient conditions for the global asymptotic stability of the infection-free state are established. It is shown that, under periodic impulsive control, the infection-free state can be stabilized with respect to the target population coordinates even when R0>1. An exponential decay estimate for the total active threat is derived, guaranteeing the asymptotic extinction of the infected and quarantined node populations. The proposed approach provides quantitative criteria for the effectiveness of impulsive cyber defense strategies and offers a theoretical foundation for the design of adaptive multi-layer protection systems for critical information infrastructures. Practical interpretation of the results illustrates the dependence of the critical impulsive control period on the model parameters and demonstrates the applicability of the approach to cybersecurity strategy design. Full article
Show Figures

Figure 1

23 pages, 1195 KB  
Article
From Click to Regret: Investigating Impulsive Buying and Post-Purchase Cognitive Dissonance Through the S-O-R Lens
by Afruza Haque, Rasheda Akter Rupa, Md. Faisal-E-Alam, Most. Sadia Akter and Nahida Sultana
J. Theor. Appl. Electron. Commer. Res. 2026, 21(3), 90; https://doi.org/10.3390/jtaer21030090 - 13 Mar 2026
Viewed by 791
Abstract
In the online shopping context, the proliferation of digital platforms has contributed to an increase in impulsive buying behavior (IBB), which can sometimes lead to regret. This study aims to explore the intrinsic and extrinsic stimuli that influence consumers’ online impulsive buying behavior, [...] Read more.
In the online shopping context, the proliferation of digital platforms has contributed to an increase in impulsive buying behavior (IBB), which can sometimes lead to regret. This study aims to explore the intrinsic and extrinsic stimuli that influence consumers’ online impulsive buying behavior, which subsequently affects their post-purchase cognitive dissonance, with the moderating role of price consideration (PC). The conceptual framework was formulated using the Stimulus–Organism–Response (S-O-R) model. A total of 813 responses were collected and analyzed using Partial Least Squares Structural Equation Modeling (PLS-SEM). The findings revealed that perceived utilitarian value (PUV), perceived enjoyment (PE), fear of missing out (FOM), and green trust (GT) positively impact online impulsive buying behavior (IBB), which, in turn, positively impacts post-purchase cognitive dissonance (PCD). Moreover, a significant moderating role of PC is found in the relationship between IBB and PCD, suggesting that consumers with low price consideration tend to regret their impulsive buying more. The findings provide insights that guide online retail sellers and digital marketers to develop or implement customized strategies based on the intrinsic and extrinsic stimuli that influence customers’ impulsive buying and subsequent post-purchase cognitive dissonance. Full article
(This article belongs to the Topic Digital Marketing Dynamics: From Browsing to Buying)
Show Figures

Figure 1

34 pages, 14457 KB  
Article
A Finite State Machine Guidance Architecture for Autonomous Rendezvous with Arbitrarily Elliptic Targets
by Diego Buratti, Gabriella Gaias, Stefano Torresan, Thomas Vincent Peters and Pedro Roque
Aerospace 2026, 13(3), 230; https://doi.org/10.3390/aerospace13030230 - 1 Mar 2026
Viewed by 281
Abstract
This paper details the design of a guidance architecture, in the form of a layered, finite state machine, meant to enable safe and autonomous rendezvous operations. The onboard software uses relative state parametrization based on relative orbital elements which provide significant geometrical insight [...] Read more.
This paper details the design of a guidance architecture, in the form of a layered, finite state machine, meant to enable safe and autonomous rendezvous operations. The onboard software uses relative state parametrization based on relative orbital elements which provide significant geometrical insight into the shape of the relative orbit. The development is structured in two main steps: first, novel closed-form impulsive control schemes, derived from the Gauss Variational Equations expressed in a velocity-aligned frame, are formulated. These complement available strategies from the literature and generalize them for arbitrarily eccentric reference orbits. Secondly, the definition of the guidance layer provides the chaser spacecraft with the capability to select, schedule, and execute the proper maneuvers to complete a given rendezvous scenario, ensuring operational safety and predictability. The functionality and performance of the implemented architecture are analyzed through numerical tests in a linear propagator and a high-fidelity non-linear simulator. The results provide validation of the developed maneuvers’ strategies, as well as demonstrating how the proposed guidance architecture can be used in a straightforward fashion across different target orbit scenarios, while guaranteeing the same level of passive safety. Full article
Show Figures

Figure 1

24 pages, 316 KB  
Article
Optimal Control of Impulsive Systems Under State, Control, and Terminal Constraints
by Hugo Leiva and Mozhgan N. Entekhabi
Mathematics 2026, 14(4), 729; https://doi.org/10.3390/math14040729 - 20 Feb 2026
Viewed by 262
Abstract
We establish a version of Pontryagin’s maximum principle for optimal control problems with impulses and phase constraints. Using the Dubovitskii–Milyutin theory, we construct a conic variational framework that handles impulsive dynamics and general state constraints. The main difficulty lies in working with piecewise [...] Read more.
We establish a version of Pontryagin’s maximum principle for optimal control problems with impulses and phase constraints. Using the Dubovitskii–Milyutin theory, we construct a conic variational framework that handles impulsive dynamics and general state constraints. The main difficulty lies in working with piecewise continuous functions, required by the impulsive nature of the system. This setting also demands an extension of the classical result on the existence of non-negative Borel measures, which leads to an adjoint equation formulated as a Stieltjes integral. Theoretical results are illustrated with examples, and key results by I. Girsanov are extended to the impulsive context. Full article
(This article belongs to the Special Issue Numerical Methods for Linear PDEs and Applications)
21 pages, 2195 KB  
Article
From Immersion to Purchase: How Live Streaming Catalyzes Impulse Buying Among Consumers
by Yonggang Wang, Huanchen Tang, Jingchun Zhang, Yubo Wang and Xiaodong Liu
J. Theor. Appl. Electron. Commer. Res. 2026, 21(2), 68; https://doi.org/10.3390/jtaer21020068 - 20 Feb 2026
Viewed by 1113
Abstract
Under the rapid development of live commerce, impulse buying has become a core consumption phenomenon, yet its psychological triggering pathways across different consumer groups remain to be fully elucidated. Drawing on the S–O–R framework, this study conceptualizes live-stream interactivity, novelty, and streamer attractiveness [...] Read more.
Under the rapid development of live commerce, impulse buying has become a core consumption phenomenon, yet its psychological triggering pathways across different consumer groups remain to be fully elucidated. Drawing on the S–O–R framework, this study conceptualizes live-stream interactivity, novelty, and streamer attractiveness as external “stimuli,” and positions immersive experience as the core “organism” mechanism, thereby constructing and testing an integrated “stimulus–experience–response (impulse buying intention)” model. Using a mixed-method approach that combines structural equation modeling (SEM) and fuzzy-set qualitative comparative analysis (fsQCA), the results show that all three live-stream features significantly enhance impulse buying intention, primarily by strengthening immersive experience, with immersion exerting a significant partial mediating effect. Moreover, consumers’ loneliness significantly amplifies the indirect effect of live-stream features on impulse buying via immersive experience. The fsQCA further uncovers multiple equivalent pathways leading to high impulse buying intention, including a strong-experience pattern centered on “streamer attractiveness + immersive experience,” as well as a social compensation pattern centered on “high interactivity + high loneliness.” This study provides a testable theoretical framework, actionable operational strategies, and sustainable ethical guidance for live commerce, offering a pathway for the industry to achieve a “high experience × high conversion × high well-being” triple-win outcome. Full article
(This article belongs to the Section Digital Marketing and the Evolving Consumer Experience)
Show Figures

Figure 1

30 pages, 2478 KB  
Article
Analytical Modeling of Transverse and Longitudinal Motion of Single Particles in a Horizontal Boundary Layer with Cross-Flow Velocity Pulsations
by Rumen Yankov, Ventsislav Dimitrov, Georgi Tonkov, Veselina Dimitrova, Sylvester Bozherikov, Gergana Tonkova and Konstantin Raykov
Fluids 2026, 11(2), 51; https://doi.org/10.3390/fluids11020051 - 13 Feb 2026
Viewed by 412
Abstract
This study develops an analytical description of the motion of dilute solid particles in the boundary layer of laminar horizontal flows subjected to weak transverse pulsations. The analysis is formulated for dilute spherical solid particles subjected to transverse velocity pulsations in a laminar [...] Read more.
This study develops an analytical description of the motion of dilute solid particles in the boundary layer of laminar horizontal flows subjected to weak transverse pulsations. The analysis is formulated for dilute spherical solid particles subjected to transverse velocity pulsations in a laminar boundary-layer flow. A coupled matrix representation of the governing equations is formulated, and closed-form solutions are obtained using Laplace transformation. The analytical expressions capture transient evolution, forced oscillations, resonance effects, and long-term behaviour for particles with different density ratios. Numerical evaluation shows that light particles migrate toward faster regions of the boundary layer and accelerate longitudinally, while heavy particles move toward slower layers and decelerate. Transverse pulsations generate oscillatory trajectories whose amplitude increases near resonance. Impulsive perturbations superimposed on the continuous motion lead to discontinuous transitions consistent with the linear matrix system. The results provide a unified physical interpretation of particle redistribution mechanisms in boundary layers and offer a compact analytical tool for dilute multiphase flow modelling. Full article
(This article belongs to the Topic Fluid Mechanics, 2nd Edition)
Show Figures

Figure 1

23 pages, 480 KB  
Article
Impulsive Tempered Ψ-Fractional Differential Equations with Boundary and Integral Conditions
by Chayapat Sudprasert, Suphawat Asawasamrit, Sotiris K. Ntouyas and Jessada Tariboon
Fractal Fract. 2026, 10(2), 113; https://doi.org/10.3390/fractalfract10020113 - 5 Feb 2026
Viewed by 393
Abstract
This paper studies mixed impulsive boundary value problems involving tempered Ψ-fractional derivatives of Caputo type. By introducing exponential tempering into the fractional framework, the proposed model effectively captures systems with fading memory—an improvement over conventional power-law kernels that assume long-range dependence. The [...] Read more.
This paper studies mixed impulsive boundary value problems involving tempered Ψ-fractional derivatives of Caputo type. By introducing exponential tempering into the fractional framework, the proposed model effectively captures systems with fading memory—an improvement over conventional power-law kernels that assume long-range dependence. The generalized tempered Ψ-operator unifies several existing fractional derivatives, offering enhanced flexibility for modeling complex dynamical phenomena. Impulsive effects and integral boundary conditions are incorporated to describe processes subject to sudden changes and historical dependence. The problem is reformulated as a Volterra integral equation, and fixed-point theory is employed to establish analytical results. Existence and uniqueness of solutions are proven using the Banach Contraction Mapping Principle, while the Leray–Schauder nonlinear alternative ensures existence in non-contractive cases. The proposed framework provides a rigorous analytical basis for modeling phenomena characterized by both fading memory and sudden perturbations, with potential applications in physics, control theory, population dynamics, and epidemiology. A numerical example is presented to illustrate the validity and applicability of the main theoretical results. Full article
Show Figures

Figure 1

14 pages, 330 KB  
Article
Integral Representation and Non-Uniqueness of Solutions for Impulsive Right-Sided Riemann–Liouville Fractional-Order Systems
by Xu Lu, Qingmin Zhu and Xianmin Zhang
Axioms 2026, 15(2), 102; https://doi.org/10.3390/axioms15020102 - 30 Jan 2026
Viewed by 338
Abstract
This paper investigates the equivalent integral equations (EIEs) of two impulsive right-sided Riemann–Liouville fractional-order systems (IRRFOSs). The limit properties of one IRRFOS are employed to establish the linear additivity of impulsive effects. A computational approach based on fractional calculus for piecewise functions is [...] Read more.
This paper investigates the equivalent integral equations (EIEs) of two impulsive right-sided Riemann–Liouville fractional-order systems (IRRFOSs). The limit properties of one IRRFOS are employed to establish the linear additivity of impulsive effects. A computational approach based on fractional calculus for piecewise functions is then employed to construct the EIE corresponding to a single impulse. With the aid of this linear additivity, the EIE of the considered IRRFOS is obtained, and through the relationship between the two IRRFOSs, the EIE of the other IRRFOS is further derived. The results indicate that the solutions of both EIEs consist of linear combinations of ϕ(t) and Φj(t)(j=1,2,,N) containing an arbitrary constant, which implies the non-uniqueness of solutions to the two IRRFOSs. Finally, the computational procedure for deriving the EIEs of the two IRRFOSs is presented, and the non-uniqueness of solutions is illustrated through two numerical examples. Full article
Show Figures

Figure 1

17 pages, 18122 KB  
Article
The Dynamics of a Switched IPM Model with Predation-Induced Fear and Seasonal Birth in a Pest Population
by Xuemei Yang, Jianjun Jiao and Lin Wu
Axioms 2026, 15(2), 95; https://doi.org/10.3390/axioms15020095 - 28 Jan 2026
Viewed by 359
Abstract
IPM (Integrated Pest Management) strategies present a good theoretical framework for sustainably controlling pest populations. In this paper, we propose a switched IPM model with predation-induced fear and seasonally birth in a pest population. Employing theories of impulsive differential equations, we gain evidence [...] Read more.
IPM (Integrated Pest Management) strategies present a good theoretical framework for sustainably controlling pest populations. In this paper, we propose a switched IPM model with predation-induced fear and seasonally birth in a pest population. Employing theories of impulsive differential equations, we gain evidence showing that the pest-eradication solution (0,y(t)¯) of the investigated system is GAS. The investigated system is also proven to be persistent. Our results provide new methods for IPM strategies. Full article
(This article belongs to the Section Mathematical Analysis)
Show Figures

Figure 1

28 pages, 2234 KB  
Article
Qualitative Analysis and Applications of Fractional Stochastic Systems with Non-Instantaneous Impulses
by Muhammad Imran Liaqat and Abdelhamid Mohammed Djaouti
Mathematics 2026, 14(2), 224; https://doi.org/10.3390/math14020224 - 7 Jan 2026
Viewed by 241
Abstract
Fractional stochastic differential Equations (FSDEs) with time delays and non-instantaneous impulses describe dynamical systems whose evolution relies not only on their current state but also on their historical context, random fluctuations, and impulsive effects that manifest over finite intervals rather than occurring instantaneously. [...] Read more.
Fractional stochastic differential Equations (FSDEs) with time delays and non-instantaneous impulses describe dynamical systems whose evolution relies not only on their current state but also on their historical context, random fluctuations, and impulsive effects that manifest over finite intervals rather than occurring instantaneously. This combination of features offers a more precise framework for capturing critical aspects of many real-world processes. Recent findings demonstrate the existence, uniqueness, and Ulam–Hyers stability of standard fractional stochastic systems. In this study, we extend these results to include systems characterized by FSDEs that incorporate time delays and non-instantaneous impulses. We prove the existence and uniqueness of the solution for this system using Krasnoselskii’s and Banach’s fixed-point theorems. Additionally, we present findings related to Ulam–Hyers stability. To illustrate the practical application of our results, we develop a population model that incorporates memory effects, randomness, and non-instantaneous impulses. This model is solved numerically via the Euler–Maruyama method, and graphical simulations effectively depict the dynamic behavior of the system. Full article
(This article belongs to the Special Issue Applied Mathematical Modelling and Dynamical Systems, 2nd Edition)
Show Figures

Figure 1

16 pages, 1314 KB  
Article
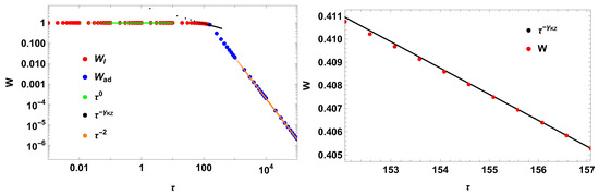
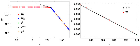
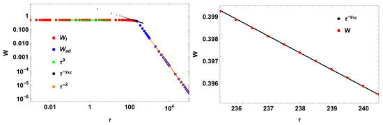
Unifying Kibble–Zurek Mechanism in Weakly Driven Processes
by Pierre Nazé
Entropy 2026, 28(1), 66; https://doi.org/10.3390/e28010066 - 6 Jan 2026
Viewed by 449
Abstract
A description of the Kibble–Zurek mechanism with linear response theory has been done previously, but ad hoc hypotheses were used, such as the rate-dependent impulse window via the Zurek equation in the context of no driving in the relaxation time. In this work, [...] Read more.
A description of the Kibble–Zurek mechanism with linear response theory has been done previously, but ad hoc hypotheses were used, such as the rate-dependent impulse window via the Zurek equation in the context of no driving in the relaxation time. In this work, I present a new framework where such hypotheses are unnecessary while preserving all the characteristics of the phenomenon. The Kibble-Zurek scaling obtained for the excess work is close to 2/5, a result that holds for open and thermally isolated systems with relaxation time that diverges at the critical point and the first zero of the relaxation function is finite. I exemplify the results using four different but significant types of scaling functions. Full article
(This article belongs to the Special Issue Non-Equilibrium Quantum Many-Body Dynamics)
Show Figures

Figure 1

18 pages, 316 KB  
Article
Existence and Stability Results for Fractional Hybrid Systems with Impulsive Effects
by Mohamed Hannabou and Muath Awadalla
Mathematics 2026, 14(1), 122; https://doi.org/10.3390/math14010122 - 29 Dec 2025
Viewed by 295
Abstract
This paper investigates the existence and stability of solutions for an impulsive hybrid fractional differential equation involving the Caputo derivative. By extending Dhage’s fixed-point theorem with two operators, we establish solution existence under explicitly derived conditions. Furthermore, we prove Ulam–Hyers stability, providing a [...] Read more.
This paper investigates the existence and stability of solutions for an impulsive hybrid fractional differential equation involving the Caputo derivative. By extending Dhage’s fixed-point theorem with two operators, we establish solution existence under explicitly derived conditions. Furthermore, we prove Ulam–Hyers stability, providing a quantitative bound that ensures robustness under small perturbations. Two illustrative examples with computed parameter bounds validate the theoretical results and highlight the applicability of the model in real-world systems with abrupt changes and memory effects. Full article
(This article belongs to the Section C1: Difference and Differential Equations)
9 pages, 940 KB  
Communication
Evaluation of Optical Receiver Modes Using a Schrödinger Equation
by Kyung Hee Seo and Jae Seung Lee
Photonics 2026, 13(1), 25; https://doi.org/10.3390/photonics13010025 - 27 Dec 2025
Viewed by 315
Abstract
In optical receiver mode (ORM) division multiplexing optical communication systems, which can ultimately achieve a very high spectral efficiency, an accurate evaluation of the ORMs is crucial. Conventionally, to find the mode functions and the eigenvalues of ORMs, we have to solve an [...] Read more.
In optical receiver mode (ORM) division multiplexing optical communication systems, which can ultimately achieve a very high spectral efficiency, an accurate evaluation of the ORMs is crucial. Conventionally, to find the mode functions and the eigenvalues of ORMs, we have to solve an integral equation numerically. Here, we introduce a new method that solves a Schrödinger equation instead. This method assumes that the optical receiver uses an optical Fabry–Perot filter to select an optical channel from the received optical channels. The time-reversed impulse response of the optical receiver’s electrical filter is proportional to the potential in the Schrödinger equation. We show two potential cases that have exact solutions. One is the square-well potential case and the other is the exponential-well potential case. Full article
(This article belongs to the Special Issue Optical Fiber Communication: Challenges and Opportunities)
Show Figures

Figure 1

13 pages, 276 KB  
Article
Existence of Mild Solutions to Impulsive Fractional Equations with Almost-Sectorial Operators
by Mostefa Seghier, Kadda Maazouz and Rosana Rodríguez-López
Mathematics 2025, 13(24), 3999; https://doi.org/10.3390/math13243999 - 15 Dec 2025
Viewed by 348
Abstract
This study investigates the existence of mild solutions to impulsive fractional differential equations involving almost-sectorial operators. Through the application of solution operator techniques, fixed-point theory, and Laplace transform, we demonstrate the existence of a unique mild solution to the considered system. Full article
(This article belongs to the Special Issue Advances in Fractional Calculus for Modeling and Applications)
Back to TopTop