Sign in to use this feature.

Years

Between: -

Subjects

remove_circle_outline
remove_circle_outline
remove_circle_outline
remove_circle_outline
remove_circle_outline
remove_circle_outline
remove_circle_outline
remove_circle_outline
remove_circle_outline

Journals

remove_circle_outline
remove_circle_outline
remove_circle_outline
remove_circle_outline
remove_circle_outline
remove_circle_outline
remove_circle_outline
remove_circle_outline
remove_circle_outline

Article Types

Countries / Regions

remove_circle_outline
remove_circle_outline
remove_circle_outline
remove_circle_outline
remove_circle_outline

Search Results (1,791)

Search Parameters:
Keywords = hydroponic

Order results
Result details
Results per page
Select all
Export citation of selected articles as:
20 pages, 4681 KB  
Article
A Bio-Based Composite Hydrogel Substrate for Indoor Soilless Dandelion Cultivation: Growth Performance and Polysaccharide Accumulation
by Yongxin Guo, Jianxun Ma, Yuhan Zheng, Gang Wang, Hongda Zhang, Yong Yu and Jinpeng Zhang
Gels 2026, 12(3), 235; https://doi.org/10.3390/gels12030235 - 12 Mar 2026
Abstract
Sustainable agricultural techniques can ensure food security around the world. Hydrogel based soilless culture is an ecological and efficient alternative compared to conventional agriculture. Here, a multi-component hydrogel (pectin, Kelcogel, and chitosan/Se hydrogel, PKCH) was prepared by synthesizing natural biomolecules to cultivate dandelion [...] Read more.
Sustainable agricultural techniques can ensure food security around the world. Hydrogel based soilless culture is an ecological and efficient alternative compared to conventional agriculture. Here, a multi-component hydrogel (pectin, Kelcogel, and chitosan/Se hydrogel, PKCH) was prepared by synthesizing natural biomolecules to cultivate dandelion for stimulate dandelion growth and improve nutritional value. The germination percentage of dandelion on PKCH (88.89%), was significantly higher than that in traditional hydroponics and pure Kelcogel (p < 0.05). Compared with hydroponics, the long-term dandelion cultivation experiments demonstrated that the PKCH cultivation mode enhanced root vitality, further increasing the growth and yield of dandelions (shoot length: 18.36 ± 0.30 cm, root length: 9.28 ± 0.21 cm, main root diameter: 0.94 ± 0.02 cm). The hydrogel substrate was associated with improved nutrient solubilization and sustained release, which may be linked to the accumulation of low-molecular-weight organic acids in the rhizosphere. Exogenous Se was effectively assimilated and transported to the above-ground parts of dandelion, which stimulated the photosynthetic efficiency and nutritional accumulation of dandelion. The polysaccharide content of dandelion reached 69.40 ± 0.13% (expressed as glucose-equivalent total sugars), which demonstrated the potential antioxidant properties and medicinal value. Technical economic analysis revealed the cost-effectiveness of PKCH synthesis and application. This study enriches the application of hydrogels in dandelion cultivation and provides an alternative approach for cultivating dandelion in soilless environments and medicinal crop production techniques. Full article
(This article belongs to the Section Gel Applications)
Show Figures

Figure 1

23 pages, 11915 KB  
Article
IoT-Assisted Hydroponic System for Andrographis paniculata: Enhanced Productivity and Pharmaceutical-Grade Quality
by Krit Funsian, Yaowarat Sirisathitkul, Pumiphat Khotchanakhen, Apiwit Bunta, Kanittha Srikwan, Kingkan Bunluepuech, Athakorn Promwee, Chih-Yi Chiu and Karanrat Thammarak
IoT 2026, 7(1), 28; https://doi.org/10.3390/iot7010028 - 10 Mar 2026
Abstract
This study presents an Internet of Things (IoT)-assisted semi-open hydroponic system for cultivating Andrographis paniculata under tropical conditions, aiming to enhance biomass productivity, andrographolide (AG) yield, and production efficiency. IoT-assisted hydroponics, non-IoT hydroponics, and soil-based cultivation were compared in 10 m2 greenhouses. [...] Read more.
This study presents an Internet of Things (IoT)-assisted semi-open hydroponic system for cultivating Andrographis paniculata under tropical conditions, aiming to enhance biomass productivity, andrographolide (AG) yield, and production efficiency. IoT-assisted hydroponics, non-IoT hydroponics, and soil-based cultivation were compared in 10 m2 greenhouses. The IoT system enabled real-time monitoring and adaptive regulation of temperature, relative humidity, light intensity, nutrient solution pH, and electrical conductivity (EC). IoT-assisted hydroponics achieved earlier harvest (≈90 days) and the highest fresh biomass yield (0.409 ± 0.014 kg m−2) while maintaining per-plant productivity (15.74 ± 0.54 g plant−1) comparable to soil-based cultivation. Andrographolide concentration reached 25.58 ± 3.36 mg g−1 DW (2.56% w/w), meeting pharmacopeial requirements. Owing to stable environmental regulation and tolerance to high planting density, the IoT system produced the highest areal AG productivity (209.5 mg m−2), representing a four- to tenfold increase over the other systems. Despite higher operational costs, IoT-assisted hydroponics achieved the lowest AG unit cost (≈6.77 USD g−1). While most previous studies emphasize tissue-level AG concentration, system-level productivity and cost efficiency under realistic cultivation conditions remain insufficiently explored. Overall, IoT-enabled semi-open hydroponics provides a scalable and economically viable approach for medicinal plant production, bridging the gap between open-field cultivation and fully controlled plant factory systems. Full article
Show Figures

Figure 1

19 pages, 6938 KB  
Article
Silicon Enhances Rice Tolerance to Drought and Blast Disease Through Modulating ROS Accumulation and Stress-Related Genes
by Huaying Du, Jinglin Pan, Lulu Sun, Zishen Liao, Jing Bi, Yongqiang Han, Daoqian Chen, Yuanyuan Song and Rensen Zeng
Plants 2026, 15(5), 842; https://doi.org/10.3390/plants15050842 - 9 Mar 2026
Viewed by 139
Abstract
Silicon (Si) serves as a beneficial element that enhances plant resistance to both abiotic and biotic stresses. Although its positive effects have been widely investigated, the molecular mechanisms by which silicon improves stress tolerance in rice (Oryza sativa L.) remain unclear. Here, [...] Read more.
Silicon (Si) serves as a beneficial element that enhances plant resistance to both abiotic and biotic stresses. Although its positive effects have been widely investigated, the molecular mechanisms by which silicon improves stress tolerance in rice (Oryza sativa L.) remain unclear. Here, we show that Si displayed an optimal improved effect at concentrations of 2–4 mM in hydroponic system, and Si enhanced rice tolerance to drought and blast disease by maintaining reactive oxygen species (ROS) homeostasis and reducing root cell damage. In addition, Si at 4 mM upregulated the ABA biosynthesis gene OsNCED3, stress- and ABA-responsive genes OsDREB2A and OsLEA5, as well as the catalase gene OsCatB, while suppressing the drought-responsive negative regulator OsWRKY5, thereby enhancing drought tolerance through an ABA-dependent signaling pathway. Si at 4 mM enhanced resistance to rice blast by activating defense-related genes OsPBZ1, OsPR10a, OsPR5 and OsWRKY45 while simultaneously boosting ROS-scavenging capacity. Collectively, our results demonstrate that Si enhances rice tolerance to drought and blast disease through the coordinated modulation of ABA signaling, ROS homeostasis, and stress-related gene expression. Full article
Show Figures

Figure 1

15 pages, 4116 KB  
Article
Effects of Red–Blue Light Ratios on Growth, Nutritional Quality, and Nutrient Accumulation in Hydroponic Lettuce (Lactuca sativa L.)
by Caizhu Hu, Jie Wu, Ali Anwar, Riyuan Chen and Shiwei Song
Horticulturae 2026, 12(3), 312; https://doi.org/10.3390/horticulturae12030312 - 5 Mar 2026
Viewed by 179
Abstract
Light quality is a critical regulatory factor for the growth and nutritional quality of hydroponic lettuce (Lactuca sativa L.), and red–blue combined light serves as a key artificial light source for protected horticulture. This study aimed to investigate the effects of different [...] Read more.
Light quality is a critical regulatory factor for the growth and nutritional quality of hydroponic lettuce (Lactuca sativa L.), and red–blue combined light serves as a key artificial light source for protected horticulture. This study aimed to investigate the effects of different red–blue (R:B) light ratios on the growth, photosynthetic pigment content, nutritional quality, antioxidant capacity, and mineral nutrient content and accumulation of hydroponic lettuce. Lettuce was cultivated under four R:B light treatments (CK: pure red light, 100:0; T1: 90:10; T2: 80:20; and T3: 60:40) with a uniform photosynthetic photon flux density of 350 µmol m−2s−1 and a 12 h photoperiod. The results showed that all red–blue combined light treatments significantly improved the above physiological and nutritional indices compared with monochromatic red light (CK), with the fresh weight increased by 0.73 to 0.78 times and different R:B ratios inducing distinct tissue-specific and element-specific responses in lettuce. Specifically, T3 (60:40) exhibited the highest root dry weight (0.57 ± 0.02 g plant−1), inhibited excessive leaf elongation to form a compact plant architecture, and its chlorophyll a and b contents increased significantly by 1.6 and 2.25 times compared with CK, respectively. Furthermore, T3 markedly enhanced the accumulation of soluble sugar (0.36 times higher), soluble protein (1.16 times higher), and vitamin C (4.09 times higher), reduced the nitrate content to 0.58 times that of CK, and showed the highest antioxidant capacity (polyphenol content and DPPH free radical scavenging rate), with antioxidant traits positively correlated with the blue light proportion. In contrast, T2 (80:20) effectively promoted plant biomass accumulation and exhibited the most balanced mineral nutrient profile, with significant increases in nitrogen, calcium, and magnesium accumulation, and it also upregulated chlorophyll synthesis to enhance carbon assimilation. T1 (90:10) had moderate regulatory effects on both lettuce growth and nutritional quality and was favorable for potassium accumulation in lettuce tissues. These findings clarify the differential regulatory mechanisms of red–blue light ratios on hydroponic lettuce and provide a theoretical basis for the precise configuration of LED lighting in greenhouse lettuce production. Lettuce producers can select specific R:B ratios according to actual cultivation demands, and the regulatory effects of such light ratios on red leaf lettuce varieties merit further exploration. Full article
(This article belongs to the Special Issue Horticultural Crops Responses to LED Lighting)
Show Figures

Figure 1

17 pages, 397 KB  
Article
Potential for Cultivating Various Legume Species in Controlled Environment Agriculture
by Aušra Brazaitytė, Rūta Sutulienė, Giedrė Samuolienė, Akvilė Viršilė, Audrius Pukalskas, Kristina Laužikė, Justinas Raginskis, Pirjo Mäkelä, Hirofumi Ishihara and Michael Martin
Horticulturae 2026, 12(3), 308; https://doi.org/10.3390/horticulturae12030308 - 5 Mar 2026
Viewed by 192
Abstract
Legumes are among the most important plants capable of biological nitrogen fixation. However, there is a significant knowledge gap regarding the specifics of cultivating legumes in hydroponic systems under controlled environment conditions, particularly nitrogen metabolism at different growth stages, which this study addressed. [...] Read more.
Legumes are among the most important plants capable of biological nitrogen fixation. However, there is a significant knowledge gap regarding the specifics of cultivating legumes in hydroponic systems under controlled environment conditions, particularly nitrogen metabolism at different growth stages, which this study addressed. Chickpeas, faba beans, lentils, soybeans, and sugar peas were cultivated in deep-water hydroponics without rhizobia, with a nutrient solution as the nitrogen source. The legumes displayed significant variations in growth patterns and nitrogen dynamics. Among them, soybeans had the longest growth cycle, characterised by extended vegetative and early reproductive phases, while sugar peas developed the fastest. In all species, nitrate was the dominant form of nitrogen found in the roots, stems, and leaves, followed by ammonium (NH3–N) and nitrite (NO2). The levels of NH3–N varied among species, peaking early in faba beans and later in chickpeas. NO2 concentrations were low and decreased with development. The activities of nitrate reductase and nitrite reductase also varied across species, plant organs, and growth stages. The highest enzyme activity was consistently observed in the leaves. Notably, peas exhibited high enzyme activity across all organs, while the leaves of soybeans showed the highest activity in the studied legumes. Full article
(This article belongs to the Section Protected Culture)
Show Figures

Figure 1

22 pages, 2066 KB  
Article
Isolation and Characterization of Microalgae Isolates from Hydroponic Effluent Water: Metagenomics and Biotechnological Insights
by Alexandros Ntzouvaras, Aikaterini Koletti, Maria Eleftheria Zografaki, Sofia Marka, Dimitrios Skliros, Gabriel Vasilakis, Ioannis Karavidas, Adonis Konstantinos Koukouvinis, Rodica C. Efrose, Chrysanthi Kalloniati, Ioannis Tzovenis and Emmanouil Flemetakis
Microorganisms 2026, 14(3), 582; https://doi.org/10.3390/microorganisms14030582 - 4 Mar 2026
Viewed by 284
Abstract
Hydroponic systems are gaining prominence in sustainable agriculture, yet their nutrient-rich effluents remain an underexplored source of microbial biodiversity with potential biotechnological interest. In this study, shotgun metagenomic sequencing was employed to profile, with a high taxonomic resolution, the photosynthetic microbial community in [...] Read more.
Hydroponic systems are gaining prominence in sustainable agriculture, yet their nutrient-rich effluents remain an underexplored source of microbial biodiversity with potential biotechnological interest. In this study, shotgun metagenomic sequencing was employed to profile, with a high taxonomic resolution, the photosynthetic microbial community in hydroponic effluent before and after a natural algal bloom, revealing pronounced shifts in microbial composition. Notably, relative abundance increased sixfold for Chlamydomonas reinhardtii and tenfold for Bigelowiella natans. Four dominant microalgal strains (PR1–PR4) were subsequently isolated and characterized through integrative morphological and molecular taxonomy, with phylogenetic analyses based on four genetic markers (18S rRNA, ITS, rbcL and tufA) confirming that each isolate represents a distinct lineage within Chlorophyceae families, including Chlorella sp., Chlamydomonas sp., and Scenedesmus sp. Growth kinetics under three temperature regimes, typical of Greek environmental conditions from spring to autumn (15 °C, 23 °C, 32 °C), demonstrated broad ecological plasticity and rapid biomass production, highlighting strains with strong adaptive resilience. Biochemical profiling of the isolates revealed significant inter-strain differences in primary and secondary metabolite content, including proteins (up to 43% DW), lipids (up to 31% DW), carbohydrates (up to 44% DW), photosynthetic pigments, phenolics, flavonoids, and antioxidant activity. The observed metabolic diversity of autochthonous microalgal strains from hydroponic environments, combined with their high growth rates, underscores their potential for applications in bioremediation, bioenergy, and the development of value-added products within a circular bioeconomy framework. Full article
(This article belongs to the Section Environmental Microbiology)
Show Figures

Figure 1

17 pages, 1840 KB  
Article
Understanding Aquaculture and Aquaponics General Operational Parameters and Attitudes Towards Value-Added and Value-Recovered Products—Surveying Current and Former United States Midwest Cold Climate Producers
by Marissa Breitenstein, Elisabeth Bautista, Alexis Daniels and Andrea Hicks
Aquac. J. 2026, 6(1), 8; https://doi.org/10.3390/aquacj6010008 - 4 Mar 2026
Viewed by 137
Abstract
With the global population projected to continue to increase, the necessity for food security (i.e., a region’s ability to reliably provide food to its residents) becomes ever-present. Aquaculture is currently one of the most prevalent methods for propagating aquatic species, though aquaponics (i.e., [...] Read more.
With the global population projected to continue to increase, the necessity for food security (i.e., a region’s ability to reliably provide food to its residents) becomes ever-present. Aquaculture is currently one of the most prevalent methods for propagating aquatic species, though aquaponics (i.e., combining aquaculture and hydroponics to artificially propagate aquatic species and plants) is often considered a more sustainable food production method in comparison. Though aquaponics is promising both environmentally and socially, the general aquaponics business model is failing to generate proper revenue in many instances. The addition of value-added and value-recovered processes is one option for producers to increase the value of their final products without major capital investment. A paper survey was deployed for this study for both aquaculture and aquaponics operations, given the current prevalence of aquaculture and infancy of aquaponics in the United States. The survey aims to understand the basic parameters of their operation while also gauging interest in the addition of value-added and value-recovered products for their operations. Less than half of the respondents were interested in value-added and value-recovered products for several different reasons. The survey also provides useful information related to operation, prior experiences, and potential future directions for aquaponics in the United States, though investigation into consumer preferences is required for optimized success of the aquaponics industry. Full article
Show Figures

Figure 1

18 pages, 6101 KB  
Article
Genotype-Dependent Effects of Silicon on Cell Wall Composition and Antioxidant Responses in Oats Under Nitrogen Deficiency
by Isis Vega, Sofia Pontigo, Patricia Poblete-Grant, Adriano Nunes-Nesi, Paula Cartes and Antonieta Ruiz
Plants 2026, 15(5), 777; https://doi.org/10.3390/plants15050777 - 3 Mar 2026
Viewed by 273
Abstract
Nitrogen (N) availability strongly regulates plant growth and metabolism, and its deficiency constrains plant development and yield. Silicon (Si) has been reported to enhance plant tolerance to multiple stresses; however, its influence on N metabolism in oats remains poorly understood. This study aimed [...] Read more.
Nitrogen (N) availability strongly regulates plant growth and metabolism, and its deficiency constrains plant development and yield. Silicon (Si) has been reported to enhance plant tolerance to multiple stresses; however, its influence on N metabolism in oats remains poorly understood. This study aimed to investigate the effects of Si on cell wall composition and antioxidant responses in oat genotypes grown under N limitation. Two oat genotypes with contrasting N tolerance were hydroponically cultivated under N-deficient (0.5 mM) or N-sufficient (5 mM) conditions in combination with 0 or 2 mM Si. Growth parameters, N and Si uptake, cell wall structural components, phenylalanine ammonia-lyase (PAL) and tyrosine ammonia-lyase (TAL) activities, antioxidant responses, and oxidative damage were evaluated. In both genotypes grown under N deficiency, Si supply reduced shoot N content while enhancing Si accumulation. Moreover, Si application decreased lipid peroxidation in both genotypes under N-deficient conditions. In the N-sensitive genotype, Si increased cellulose deposition and antioxidant activity, whereas in the N-tolerant genotype, Si reduced lignin content and TAL activity. We conclude that Si supplementation improves the metabolic performance of oat genotypes under N-deficient conditions by modulating nutrient uptake, antioxidant responses, and cell wall composition. Full article
(This article belongs to the Special Issue Silicon and Its Physiological Role in Plant Growth and Development)
Show Figures

Figure 1

19 pages, 1054 KB  
Article
Characteristics of Translocation, Distribution, and Transformation of the Nematicide Fluopyram in Cucumber and Tomato Seedlings and Risk Assessment Based on QSAR Model Prediction
by Yan Tao, Yinghui Xing, Junjie Jing, Pingzhong Yu, Min He, Li Chen, Zhanhai Kang and Ercheng Zhao
Foods 2026, 15(5), 833; https://doi.org/10.3390/foods15050833 - 2 Mar 2026
Viewed by 224
Abstract
Fluopyram is a widely used nematicide with a growing number of varieties registered both domestically and overseas. However, its absorption, transportation, and metabolism behaviors in plants have not been fully elucidated, thus hindering comprehensive assessment of the risks associated with its use. This [...] Read more.
Fluopyram is a widely used nematicide with a growing number of varieties registered both domestically and overseas. However, its absorption, transportation, and metabolism behaviors in plants have not been fully elucidated, thus hindering comprehensive assessment of the risks associated with its use. This study investigated the plant uptake, distribution, and metabolic behavior of fluopyram through 168 h hydroponic experiments. Fluopyram was easily absorbed by the roots of the tested crops, and almost 90.5% and 70.9% of fluopyram was transformed in cucumber and tomato, respectively, leading to the tentative identification of 16 metabolites using Quadrupole Time-of-Flight mass spectrometry. The metabolic reactions involved were hydroxylation, hydroxylation–dechlorination, dehydrogenation, dechlorination, and glucuronidation conjugation. Most metabolites were detected in leaves, suggesting that they have considerable potential to accumulate in the upper parts, even the edible parts. Model prediction indicated that fluopyram and high-toxicity metabolites (M430A, M412C) pose significant risks to aquatic ecosystems across trophic levels, while M574A and M574B showed reduced toxicity due to glucuronidation conjugation. These findings deepen our understanding of the behavioral characteristics of fluopyram within plants, and serve as an important reference for comprehensively assessing its risks. Full article
Show Figures

Figure 1

19 pages, 4904 KB  
Article
Impact of Zeolites on Growth Dynamics of Medicago sativa and Lactuca sativa in Hydroponics
by Yerlan Doszhanov, Dana Akhmetzhanova, Leticia Fernandez Velasco, Korlan Khamitova, Arman Zhumazhanov, Elnur Arifzade, Karina Saurykova, Aitugan Sabitov, Zulkhair Mansurov, Meiram Atamanov, Didar Bolatova and Ospan Doszhanov
Plants 2026, 15(5), 736; https://doi.org/10.3390/plants15050736 - 28 Feb 2026
Viewed by 217
Abstract
This study evaluates the effectiveness of natural zeolite (Shankhanai deposit, Kazakhstan) as a functional hydroponic substrate compared to a commercial foamed-glass control (GrowPlant). Using the Nutrient Film Technique (NFT), we assessed the growth and metabolic responses of Medicago sativa L. and three cultivars [...] Read more.
This study evaluates the effectiveness of natural zeolite (Shankhanai deposit, Kazakhstan) as a functional hydroponic substrate compared to a commercial foamed-glass control (GrowPlant). Using the Nutrient Film Technique (NFT), we assessed the growth and metabolic responses of Medicago sativa L. and three cultivars of Lactuca sativa L. Brunauer–Emmett–Teller (BET) analysis confirmed that zeolite (particle size 3.70 ± 1.20 mm) possesses a high specific surface area (21.80 m2/g), significantly exceeding the control (0.49 m2/g). This structure ensured superior moisture retention and cation exchange, even after a moderate decrease in surface area to 16.66 m2/g post-cultivation due to organic pore-filling. In M. sativa experiments, zeolite increased seedling viability and promoted a more branched root system compared to the artificial substrate. Gas chromatography–mass spectrometry (GC–MS) metabolic profiling of L. sativa revealed a significant substrate-driven reprogramming: zeolite increased the relative proportion of fatty acids and their derivatives (up to +51.27% in May King variety roots), suggesting membrane-protective adaptation. Genotype-specific responses were observed, with the Yeralash cultivar showing increased polyol synthesis (+2.93%) for osmoregulation. The results demonstrate that natural zeolite is an efficient, stable substrate for intensive hydroponics, optimizing root development and physiological stability through enhanced nutrient and water management. Full article
Show Figures

Graphical abstract

20 pages, 4620 KB  
Article
Bread Wheat Productivity and Profitability Under Solar-Powered Closed Hydroponic Net House System
by Mohamed Makkawi, Abdul Aziz Niane, Khaled Al-Sham’aa, Arash Nejatian, Hind Al Attar and Jassem Essa Juma
Sustainability 2026, 18(5), 2285; https://doi.org/10.3390/su18052285 - 27 Feb 2026
Viewed by 179
Abstract
This experiment evaluated the productivity and economic viability of wheat under an integrated net house with a closed hydroponic irrigation system versus an open field. The objective was to assess this water-saving innovation under the Arabian Peninsula’s resource-constrained environments. The integrated system achieved [...] Read more.
This experiment evaluated the productivity and economic viability of wheat under an integrated net house with a closed hydroponic irrigation system versus an open field. The objective was to assess this water-saving innovation under the Arabian Peninsula’s resource-constrained environments. The integrated system achieved markedly superior results, producing a grain yield of 13.0 t/ha—a 117% increase over the open-field yield of 6.0 t/ha. Biomass yield reached 40.0 t/ha versus 16.0 t/ha in open fields, a 150% improvement. These gains were attributed to controlled growing conditions and balanced nutrient delivery, which optimized plant performance and reduced environmental stress. The system also demonstrated significant savings in resources, offering enhanced resource-use efficiency per unit of production. The estimated total values of productivity and resource savings were substantial when adjusted to the land area conserved. For ROI, BCR, and IRR, hydroponic wheat production scored 3.13, 4.13, and 312.8% in season (1) vs. 1.97, 2.97, and 197.1% for open-field production. In season (2), hydroponics scored 1.62, 2.63, and 163.0% vs. 0.043, 1.04, and 4.32% for open fields. Higher yields in 2022/2023 resulted from 30 vs. 10 min/day of irrigation due to higher relative humidity reflecting higher rainfall in the first season. Full article
Show Figures

Figure 1

18 pages, 4993 KB  
Article
Smart Modular Vertical Farms: Addressing Food Security and Resource Efficiency in Singapore’s Urban Environment
by Chew Beng Soh, Barbara Ting Wei Ang, Yin Mei Fong, Szu-Cheng Chien, Hui An, Valentina Dessì, Matteo Clementi, Chuan Beng Tay, Michele D’Ostuni, Giorgio Gianquinto and Francesco Orsini
Horticulturae 2026, 12(3), 271; https://doi.org/10.3390/horticulturae12030271 - 26 Feb 2026
Viewed by 302
Abstract
This study presents a modular outdoor vertical farming system integrated into building façades to address urban food security and sustainability challenges in Singapore. The design integrates passive climate control, hydroponics and soil-based irrigation, with active monitoring of the vapor pressure deficit (VPD) and [...] Read more.
This study presents a modular outdoor vertical farming system integrated into building façades to address urban food security and sustainability challenges in Singapore. The design integrates passive climate control, hydroponics and soil-based irrigation, with active monitoring of the vapor pressure deficit (VPD) and photosynthetically active radiation (PAR). Continuous visual imaging is used to support growth monitoring and predictive harvesting, reducing labor needs. Under experimental conditions, deployment of UCNP-coated light-conversion films improved crop yield by 30% and reduced plant heat stress. Photovoltaic arrays and battery storage enabled energy self-sufficiency and microclimate management in the modular farm. The results demonstrated that building-integrated vertical farms can enhance urban food resilience and resource efficiency, offering a scalable model for sustainable agriculture in land-constrained cities. Full article
Show Figures

Figure 1

34 pages, 14889 KB  
Article
Cellular Responses of Maize Roots to Long-Term Cadmium Exposure: Adjustments of Class III Peroxidases, Plasma Membrane and Tonoplast Sub-Proteomes
by Sabine Lüthje, Ayse Gül Yilmaz, Kalaivani Ramanathan, Waldemar Gräfenstein, Jenny M. Tabbert, Stefanie Wienkoop, Katrin Heino, François Clement Perrineau and Sönke Harder
Proteomes 2026, 14(1), 11; https://doi.org/10.3390/proteomes14010011 - 25 Feb 2026
Viewed by 235
Abstract
Background: Crop plants have to deal with long-term cadmium exposure to farmlands contaminated by intensive use of fertilizers and pesticides. For uptake and sequestration, Cd2+ has to pass the plasma membrane and tonoplast. Class III peroxidases, plasma membrane, and tonoplast sub-proteomes were [...] Read more.
Background: Crop plants have to deal with long-term cadmium exposure to farmlands contaminated by intensive use of fertilizers and pesticides. For uptake and sequestration, Cd2+ has to pass the plasma membrane and tonoplast. Class III peroxidases, plasma membrane, and tonoplast sub-proteomes were studied. Methods: Control and Cd2+-treated maize (Zea mays L.) were grown in hydroponics for 18 days. Soluble peroxidases were partially purified by chromatofocusing and characterized by substrate specificity. Membrane-bound peroxidases were analyzed spectrophotometrically and by non-reducing SDS-PAGE. Soluble and plasma membrane-bound peroxidases were identified by mass spectrometry. Shotgun proteomics was used to identify membrane proteins of differential abundance. Results: Guaiacol peroxidase activities increased in soluble fractions of Cd2+ samples. A Cd2+-specific soluble peroxidase (ZmPrx101) was identified, and ZmPrx85 abundance increased significantly in the plasma membrane. Substrate specificity of peroxidases revealed a preference for ferulic acid and esculetin, which was confirmed by docking analyses. Primary active transporters increased auxin efflux (brachytic2, ABCB9, and ABCB21), Cd2+ exclusion (ABCG34), and sequestration into the vacuole (HMA2, ABCB27). Evaluation of sub-proteome fractions demonstrated significant changes for proteins involved in disease resistance responses and cell wall modification. Conclusions: Molecular adjustments of maize root proteome to long-term Cd2+ exposure revealed relevance of low-abundant proteins for Cd2+ tolerance and putative stress markers. Full article
(This article belongs to the Special Issue Plant Genomics and Proteomics)
Show Figures

Graphical abstract

16 pages, 976 KB  
Review
From Root Exudates to Eco-Corona: Mechanisms Shaping Nanoplastic Fate and Plant–Soil Interactions
by Agata Leszczuk and Adrian Zając
Int. J. Mol. Sci. 2026, 27(4), 2080; https://doi.org/10.3390/ijms27042080 - 23 Feb 2026
Viewed by 350
Abstract
Plastic contamination in agricultural soils constitutes an emerging threat to plant growth, nutrient acquisition, and food safety. Micro- and nanoplastics (NPs) elicit oxidative stress, perturb root morphology, and interfere with key physiological processes. Despite extensive studies in aquatic systems, the mechanistic understanding of [...] Read more.
Plastic contamination in agricultural soils constitutes an emerging threat to plant growth, nutrient acquisition, and food safety. Micro- and nanoplastics (NPs) elicit oxidative stress, perturb root morphology, and interfere with key physiological processes. Despite extensive studies in aquatic systems, the mechanistic understanding of NP behavior in soils, particularly the formation of soil-specific eco-coronas, remains limited. This review provides a mechanistic synthesis of current evidence on the role of root exudates, comprising proteins, amino acids, lipids, and low-molecular-weight metabolites, in modulating NP fate and plant responses within the rhizosphere. We delineate key processes, including exudate adsorption onto NP surfaces, eco-corona formation, aggregation, transport, root uptake, and species- and polymer-specific effects. Root exudation dynamically alters NP surface properties, mediates heteroaggregation, modulates mobility, and regulates interactions with plant roots. At the same time, NP exposure induces species-specific metabolic responses, including enhanced secretion of organic acids, stress-related metabolites, and secondary compounds (e.g., flavonoids). Despite extensive research in aquatic and hydroponic systems, mechanistic understanding of NPs behavior in soils, particularly regarding eco-corona formation and the modulatory role of root exudates, remains limited. This review synthesizes these insights to propose a conceptual framework linking eco-corona dynamics with root exudation processes, thereby providing a foundation for future soil-focused investigations. Full article
(This article belongs to the Special Issue Plant Cell/Organ Structure and Function Research)
Show Figures

Figure 1

20 pages, 4270 KB  
Article
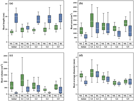
Separation and Reutilization of Nitrogen and Phosphorus in Stormwater/Greywater Using Chinese Herbal Plant-Based Green Roof Wetland System
by Bingjie Li, Pu Yang, Binjie Wang, Wenqian Kang, Changzhi Li, Li Liu, Huashan Gao, Suqing Wu and Chunzhen Fan
Separations 2026, 13(2), 74; https://doi.org/10.3390/separations13020074 - 20 Feb 2026
Viewed by 233
Abstract
Stormwater and greywater are increasingly recognized as freshwater resources, and the effective separation and reutilization of nitrogen (N) and phosphorus (P) from these streams is vital for water quality improvement and urbanization sustainability. In this study, we constructed a pilot-scale hydroponic green roof [...] Read more.
Stormwater and greywater are increasingly recognized as freshwater resources, and the effective separation and reutilization of nitrogen (N) and phosphorus (P) from these streams is vital for water quality improvement and urbanization sustainability. In this study, we constructed a pilot-scale hydroponic green roof wetland system planted with two economically important Chinese herbal plant species (Mentha spicata L. (ML) and Basella alba L. (BL)) to separate and reutilize N and P from synthetic stormwater/greywater. The results reveal that the highest plant biomass was obtained at an ML:BL ratio of 1:3, indicating their superior adaptation to rooftop hydroponics with synthetic stormwater/greywater. This configuration also achieved the strongest water purification, with substantial separation and reutilization efficiency of N (82.09%) and P (81.90%). Furthermore, the lowest microbial richness in the ML roots at this specific plant ratio suggested that increasing BL may enhance ML’s allelopathic effects. An increase in the BL proportion was further associated with a gradual shift in the dominant ML root-associated microorganisms toward microeukaryotic taxa. The green vegetation of the two plant species also effectively suppressed algal blooms (especially diatoms) in the hydroponic rooftop system. This study demonstrates that a Chinese herb-based green roof wetland system can effectively separate and reuse N and P from stormwater/greywater while concurrently purifying water and producing economic crops. Full article
(This article belongs to the Section Environmental Separations)
Show Figures

Figure 1

Back to TopTop