Sign in to use this feature.

Years

Between: -

Subjects

remove_circle_outline
remove_circle_outline
remove_circle_outline
remove_circle_outline
remove_circle_outline
remove_circle_outline
remove_circle_outline
remove_circle_outline
remove_circle_outline

Journals

remove_circle_outline
remove_circle_outline
remove_circle_outline
remove_circle_outline
remove_circle_outline
remove_circle_outline

Article Types

Countries / Regions

remove_circle_outline
remove_circle_outline
remove_circle_outline
remove_circle_outline

Search Results (531)

Search Parameters:
Keywords = horizontal gradient

Order results
Result details
Results per page
Select all
Export citation of selected articles as:
17 pages, 16586 KB  
Article
Heat Extraction Performance Evaluation of Horizontal Wells in Hydrothermal Reservoirs and Multivariate Sensitivity Analysis Based on the XGBoost-SHAP Algorithm
by Shuaishuai Nie, Ke Liu, Bo Yang, Xiuping Zhong, Hua Guo, Jiangfei Li and Kangtai Xu
Processes 2025, 13(10), 3237; https://doi.org/10.3390/pr13103237 (registering DOI) - 11 Oct 2025
Abstract
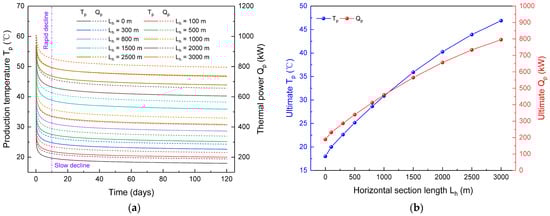
The present study investigated the heat extraction behavior of the horizontal well closed-loop geothermal systems under multi-factor influences. Particularly, the numerical model was established based on the geological condition of the geothermal field in Xiong’an New Area, and the XGBoost-SHAP (eXtreme Gradient Boosting [...] Read more.
The present study investigated the heat extraction behavior of the horizontal well closed-loop geothermal systems under multi-factor influences. Particularly, the numerical model was established based on the geological condition of the geothermal field in Xiong’an New Area, and the XGBoost-SHAP (eXtreme Gradient Boosting and SHapley Additive exPlanations) algorithm was employed for multivariable analysis. The results indicated that the produced water temperature and thermal power of a 3000 m-long horizontal well were 2.61 and 4.23 times higher than those of the vertical well, respectively, demonstrating tantalizing heat extraction potential. The horizontal section length (SHAP values of 8.13 and 165.18) was the primary factor influencing production temperature and thermal power, followed by the injection rate (SHAP values of 1.96 and 64.35), while injection temperature (SHAP values of 1.27 and 21.42), geothermal gradient (SHAP values of 0.95 and 19.97), and rock heat conductivity (SHAP values of 0.334 and 17.054) had relatively limited effects. The optimal horizontal section length was 2375 m. Under this condition, the produced water temperature can be maintained higher than 40 °C, thereby meeting the heating demand. These findings provide important insights and guidance for the application of horizontal wells in hydrothermal reservoirs. Full article
(This article belongs to the Section Process Control and Monitoring)
Show Figures

Figure 1

19 pages, 6468 KB  
Article
Assessment of the Permanent Gully Morphology Measurement by Unmanned Aerial Vehicle Photogrammetry with Different Flight Schemes in Dry–Hot Valley of Southwest China
by Ji Yang, Yifan Dong, Jiangcheng Huang, Xiaoli Wen, Guanghai Wang and Xin Zhao
Drones 2025, 9(10), 696; https://doi.org/10.3390/drones9100696 - 10 Oct 2025
Abstract
Unmanned Aerial Vehicle (UAV) photogrammetry technique offers significant potential for generating highly detailed digital surface models (DSM) of gullies. However, different flight schemes can considerably influence measurement accuracy. The objectives were (i) to evaluate the influences of flight altitude, photo overlap, Ground Control [...] Read more.
Unmanned Aerial Vehicle (UAV) photogrammetry technique offers significant potential for generating highly detailed digital surface models (DSM) of gullies. However, different flight schemes can considerably influence measurement accuracy. The objectives were (i) to evaluate the influences of flight altitude, photo overlap, Ground Control Points (GCPs), and other environmental factors on the accuracy of the UAV-derived DSMs and (ii) to analyze the main factors affecting the accuracy of UAV gully monitoring and explore flight schemes that balance accuracy and efficiency. The results indicated that DSM accuracy improved markedly as the number of GCPs increased from 0 to 3, with consideration given to both horizontal and vertical distribution. However, further increases in the number of GCPs did not lead to significant improvements. The accuracy of DSMs increased with a decrease in the flight altitude, but was not substantially affected by photo overlap when it exceeded 50%/40% The accuracy of DSM was significantly reduced by shadows, and flight altitude rather than slope gradient was identified as the key factor leading to high-error checkpoints (error > 0.1 m). The proportion of point clouds penetrating tree canopies decreased when the flight altitude was 150 m or higher, which could help reduce the influence of vegetation on the accuracy of DSMs. In general, with a reasonable spatial distribution of GCPs, flight altitude is the primary factor affecting monitoring accuracy. However, when balancing accuracy and efficiency, the optimal flight scheme was determined to be a flight altitude of 70 m, photo overlap of 80%/70%, and nine GCPs. Full article
(This article belongs to the Section Drones in Ecology)
Show Figures

Figure 1

16 pages, 6614 KB  
Article
Prediction of the Bearing Capacity Envelope for Spudcan Foundations of Jack-Up Rigs in Hard Clay with Varying Strengths
by Mingyuan Wang, Xing Yang, Yangbin Chen, Dong Wang and Huimin Sun
J. Mar. Sci. Eng. 2025, 13(10), 1899; https://doi.org/10.3390/jmse13101899 - 3 Oct 2025
Viewed by 208
Abstract
In offshore drilling and geological exploration, the stability of jack-up rigs is predominantly determined by the bearing capacities of spudcan foundations during seabed penetration. The penetration depth of spudcans is relatively shallow in hard clay. The formation of a cavity on the top [...] Read more.
In offshore drilling and geological exploration, the stability of jack-up rigs is predominantly determined by the bearing capacities of spudcan foundations during seabed penetration. The penetration depth of spudcans is relatively shallow in hard clay. The formation of a cavity on the top surface of a spudcan often complicates accurate estimation of its capacity. This study employs the finite element method, in conjunction with the Swipe and Probe loading techniques, to examine the failure surfaces of soils of varying strengths. Numerical simulations that consider different gradients of undrained shear strength and cavity depths demonstrate that cavity depth significantly influences the failure envelope. The findings indicate that higher soil strength increases the bearing capacity and reduces the area of soil displacement at failure. Moreover, an enhanced theoretical equation for predicting the vertical-horizontal-moment (V-H-M) failure envelope in hard clay strata is proposed. The equation’s accuracy has been verified against numerical simulation results, revealing an error margin of 3–10% under high vertical loads. This model serves as a practical and valuable tool for assessing the stability of jack-up rigs in hard clay, providing critical insights for engineering design safety and risk assessment. Full article
(This article belongs to the Section Geological Oceanography)
Show Figures

Figure 1

36 pages, 5130 KB  
Article
SecureEdge-MedChain: A Post-Quantum Blockchain and Federated Learning Framework for Real-Time Predictive Diagnostics in IoMT
by Sivasubramanian Ravisankar and Rajagopal Maheswar
Sensors 2025, 25(19), 5988; https://doi.org/10.3390/s25195988 - 27 Sep 2025
Viewed by 507
Abstract
The burgeoning Internet of Medical Things (IoMT) offers unprecedented opportunities for real-time patient monitoring and predictive diagnostics, yet the current systems struggle with scalability, data confidentiality against quantum threats, and real-time privacy-preserving intelligence. This paper introduces Med-Q Ledger, a novel, multi-layered framework [...] Read more.
The burgeoning Internet of Medical Things (IoMT) offers unprecedented opportunities for real-time patient monitoring and predictive diagnostics, yet the current systems struggle with scalability, data confidentiality against quantum threats, and real-time privacy-preserving intelligence. This paper introduces Med-Q Ledger, a novel, multi-layered framework designed to overcome these critical limitations in the Medical IoT domain. Med-Q Ledger integrates a permissioned Hyperledger Fabric for transactional integrity with a scalable Holochain Distributed Hash Table for high-volume telemetry, achieving horizontal scalability and sub-second commit times. To fortify long-term data security, the framework incorporates post-quantum cryptography (PQC), specifically CRYSTALS-Di lithium signatures and Kyber Key Encapsulation Mechanisms. Real-time, privacy-preserving intelligence is delivered through an edge-based federated learning (FL) model, utilizing lightweight autoencoders for anomaly detection on encrypted gradients. We validate Med-Q Ledger’s efficacy through a critical application: the prediction of intestinal complications like necrotizing enterocolitis (NEC) in preterm infants, a condition frequently necessitating emergency colostomy. By processing physiological data from maternal wearable sensors and infant intestinal images, our integrated Random Forest model demonstrates superior performance in predicting colostomy necessity. Experimental evaluations reveal a throughput of approximately 3400 transactions per second (TPS) with ~180 ms end-to-end latency, a >95% anomaly detection rate with <2% false positives, and an 11% computational overhead for PQC on resource-constrained devices. Furthermore, our results show a 0.90 F1-score for colostomy prediction, a 25% reduction in emergency surgeries, and 31% lower energy consumption compared to MQTT baselines. Med-Q Ledger sets a new benchmark for secure, high-performance, and privacy-preserving IoMT analytics, offering a robust blueprint for next-generation healthcare deployments. Full article
(This article belongs to the Section Internet of Things)
Show Figures

Figure 1

25 pages, 11479 KB  
Article
Improved Pixel Offset Tracking Method Based on Corner Point Variation in Large-Gradient Landslide Deformation Monitoring
by Dingyi Zhou, Zhifang Zhao and Fei Zhao
Remote Sens. 2025, 17(19), 3292; https://doi.org/10.3390/rs17193292 - 25 Sep 2025
Viewed by 278
Abstract
Aiming at the problems of feature matching difficulty and limited extension application in the existing pixel offset tracking method for large-gradient landslides, this paper proposes an improved pixel offset tracking method based on corner point variation. Taking the Jinshajiang Baige landslide as the [...] Read more.
Aiming at the problems of feature matching difficulty and limited extension application in the existing pixel offset tracking method for large-gradient landslides, this paper proposes an improved pixel offset tracking method based on corner point variation. Taking the Jinshajiang Baige landslide as the research object, the method’s effectiveness is verified using sentinel data. Through a series of experiments, the results show that (1) the use of VV (Vertical-Vertical) and VH (Vertical-Horizontal) polarisation information combined with the mean value calculation method can improve the accuracy and credibility of the circling of the landslide monitoring range, make up for the limitations of the single polarisation information, and capture the landslide range more comprehensively, which provides essential information for landslide monitoring. (2) The choice of scale factor has an essential influence on the results of corner detection, in which the best corner effect is obtained when the scale factor R is 2, which provides an essential reference basis for practical application. (3) By comparing traditional normalized and adaptive window cross-correlation methods with the proposed approach in calculating landslide offset distances, the proposed method shows superior matching accuracy and sliding direction estimation. (4) Analysis of pixels P1, P2, and P3 confirms the method’s high accuracy and reliability in landslide displacement assessment, demonstrating its advantage in tracking pixel offsets in large-gradient scenarios. Therefore, the proposed method offers an effective solution for large-gradient landslide monitoring, overcoming limitations of feature matching and limited applicability. It is expected to provide more reliable technical support for geological disaster management. Full article
Show Figures

Graphical abstract

20 pages, 5803 KB  
Article
Cooperative Failure Modes of Overlying Strata and Stressed Distribution Mechanism in Shallow Coal Seam Mining
by Chi Mu, Xiaowei Zhai, Bingchao Zhao, Xueyi Yu, Jianhua Zhang, Hui Chen and Jun Zhu
Processes 2025, 13(10), 3033; https://doi.org/10.3390/pr13103033 - 23 Sep 2025
Viewed by 210
Abstract
With the deepening implementation of the coordinated development strategy for energy exploitation and ecological conservation, green coal mining technology has become a critical pathway to achieve balanced resource development and environmental protection. This study investigates the stress field evolution and dynamic fracture propagation [...] Read more.
With the deepening implementation of the coordinated development strategy for energy exploitation and ecological conservation, green coal mining technology has become a critical pathway to achieve balanced resource development and environmental protection. This study investigates the stress field evolution and dynamic fracture propagation mechanisms in overlying strata during shallow coal seam mining in the Shenfu mining area. By employing a multidisciplinary approach combining triaxial compression tests (0–15 MPa confining pressure), scanning electron microscopy (SEM) microstructural characterization, elastoplastic theoretical modeling, and FLAC3D numerical simulations, the synergistic failure mechanisms of overlying strata were systematically revealed. Gradient-controlled triaxial tests demonstrated significant variations in stress-strain responses across lithological types. Notably, Class IV sandstone exhibited exceptional uniaxial compressive strength of 106.7 MPa under zero confining pressure, surpassing the average strength of Class I–III sandstones (86.2 MPa) by 23.6%, attributable to its highly compacted grain structure. A nonlinear regression-derived linear strengthening model quantified that each 1 MPa increase in confining pressure enhanced axial peak stress by 4.2%. SEM microstructural analysis established critical linkages between microcrack networks/grain-boundary slippage at the mesoscale and macroscopic brittle failure patterns. Numerical simulations demonstrated that strata failure manifests as tensile-shear composite fractures, with lateral crack propagation inducing bed separation spaces. The stress field exhibited spatiotemporal heterogeneity, with maximum principal stress concentrating near the initial mining cut during early excavation. Fractures propagated obliquely at angles of 55–65° to the horizontal plane in an ‘inverted V’ pattern from the goaf boundaries, extending vertically 12–18 m before transitioning to the bent zone, ultimately forming a characteristic three-zone structure. Experimental and simulated vertical stress distributions showed minimal deviation (≤2.8%), confirming constitutive model reliability. This research quantitatively characterizes the spatiotemporal synergy of strata failure mechanisms in ecologically vulnerable northwestern China, proposing a confining pressure-effect quantification model for support parameter optimization. The revealed fracture dynamics provide critical insights for determining ecological restoration timelines, while establishing a novel theoretical framework for optimizing green mining systems and mitigating ecological damage in the Shenfu mining area. Full article
(This article belongs to the Special Issue Advanced Technology in Unconventional Resource Development)
Show Figures

Figure 1

28 pages, 2938 KB  
Article
Boiling and Condensing Two-Phase Frictional Pressure Drop Within Minichannel Tubes—Comparison and New Model Development Based on Experimental Measurements
by Calos Martínez-Lara, Alejandro López-Belchí and Francisco Vera-García
Energies 2025, 18(18), 5010; https://doi.org/10.3390/en18185010 - 20 Sep 2025
Viewed by 713
Abstract
This study presents a comprehensive experimental investigation into the frictional pressure drop of two-phase flows—boiling and condensation—in horizontal minichannels, emphasizing its impact on the energy efficiency of vapor compression systems. A total of 3553 data points were obtained using six low-GWP refrigerants (R32, [...] Read more.
This study presents a comprehensive experimental investigation into the frictional pressure drop of two-phase flows—boiling and condensation—in horizontal minichannels, emphasizing its impact on the energy efficiency of vapor compression systems. A total of 3553 data points were obtained using six low-GWP refrigerants (R32, R134a, R290, R410A, R513A, and R1234yf) across a wide range of operating conditions in multiport aluminum tubes with hydraulic diameters of 0.715 mm and 1.16 mm. The dataset covers mass fluxes from 200 to 1230 kgm2s1, saturation temperatures between 5 °C and 55 °C, and vapor qualities from 0.05 to 0.95. Results showed a strong dependence of frictional pressure gradient on vapor quality, mass flux, and channel size. Boiling flows generated higher frictional losses than condensation, and high-density refrigerants such as R32 exhibited the largest pressure penalties, which can directly translate into increased compressor power demand. Conversely, higher saturation temperatures were associated with lower frictional losses, highlighting the role of thermophysical properties in improving energy performance. Additionally, an inverse correlation between saturation temperature and frictional pressure gradient was observed, attributed to variations in thermophysical properties such as viscosity and surface tension. Existing correlations from the literature were assessed against the experimental dataset, with notable deviations observed in several cases, particularly for R134a under high-quality conditions. Consequently, a new empirical correlation was developed for predicting the frictional pressure drop in two-phase flow through minichannels. The proposed model, formulated using a power-law regression approach and incorporating dimensionless parameters, achieved better agreement with the experimental data, reducing prediction error to within ±20%, improving the accuracy for the majority of cases. This work provides a robust and validated dataset for the development and benchmarking of predictive models in compact heat exchanger design. By enabling the more precise estimation of two-phase pressure drops in compact heat exchangers, the findings support the design of refrigeration, air-conditioning, and heat pump systems with minimized flow resistance and reduced auxiliary energy consumption. This contributes to lowering compressor workload, improving coefficient of performance (COP), and it ultimately advances the development of next-generation cooling technologies with enhanced energy efficiency. Full article
(This article belongs to the Special Issue Advances in Numerical and Experimental Heat Transfer)
Show Figures

Figure 1

29 pages, 4303 KB  
Article
Revisiting Tundish Flow Characterization: A Combined Eulerian-Lagrangian Study on the Effects of Dams, Baffles, and Side-Wall Inclination
by Ali Mostafazade Abolmaali, Mohamad Bayat, Venkata Karthik Nadimpalli, Thomas Dahmen and Jesper Hattel
Materials 2025, 18(18), 4392; https://doi.org/10.3390/ma18184392 - 20 Sep 2025
Viewed by 372
Abstract
This study aims to use Computational Fluid Dynamics (CFD) analysis to improve inclusion removal efficiency in tundishes used in the steelmaking industry, with the broader goal of promoting more sustainable steel production and supporting circular economy objectives by producing cleaner steel. Inclusions are [...] Read more.
This study aims to use Computational Fluid Dynamics (CFD) analysis to improve inclusion removal efficiency in tundishes used in the steelmaking industry, with the broader goal of promoting more sustainable steel production and supporting circular economy objectives by producing cleaner steel. Inclusions are non-metallic particles, such as alumina, that enter the tundish with the molten steel and travel through it; if not removed, they can exit through the nozzles and adversely affect the mechanical properties of the final product and process yield. An existing tundish design is modified using three passive techniques, including adding a vertical dam, adding a horizontal baffle, and inclining the side walls, to assess their influence on fluid flow behavior and inclusion removal. Residence time distribution (RTD) analysis is employed to evaluate flow characteristics via key metrics such as dead zone and plug flow volume fractions, as well as plug-to-dead and plug-to-mixed flow ratios. In parallel, a discrete phase model (DPM) analysis is conducted to track inclusion trajectories for particles ranging from 5 to 80 μm. Results show that temperature gradients due to heat losses significantly influence flow patterns via buoyancy-driven circulation, changing RTD characteristics. Among the tested modifications, inclining the side walls proves most effective, achieving average inclusion removal improvements of 8% (Case B1) and 19% (Case B2), albeit with increased heat loss due to greater top surface exposure. Vertical dam and horizontal baffle, despite showing favorable RTD metrics, generally reduce the inclusion removal rate, highlighting a disconnect between RTD-based predictions and DPM-based outcomes. These findings demonstrate the limitations of relying solely on RTD metrics for evaluating tundish performance and suggest that DPM analysis is essential for a more accurate assessment of inclusion removal capability. Full article
(This article belongs to the Section Manufacturing Processes and Systems)
Show Figures

Figure 1

26 pages, 6318 KB  
Article
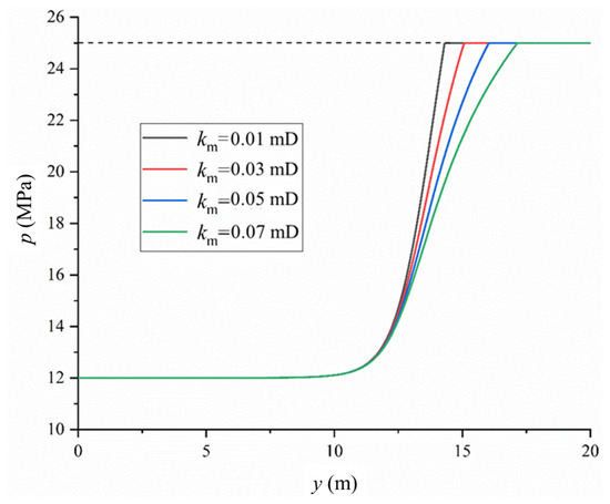
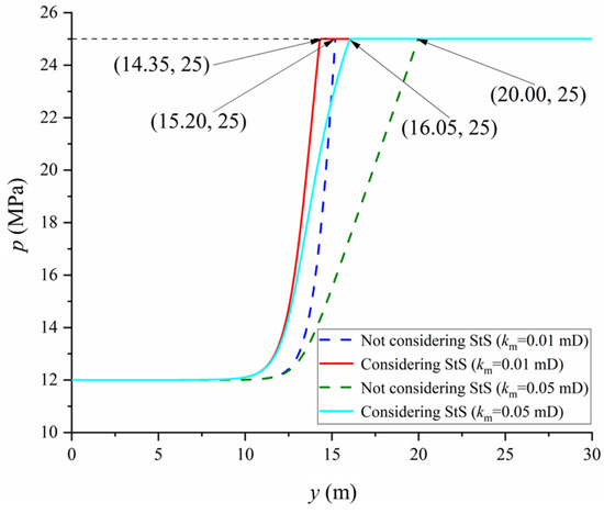
Nonlinear Flow Model for Calculating Maximum Fracture Spacing in Horizontal Wells Considering Gaussian Distribution of Reservoir Heterogeneity
by Chen Liu, Wenchao Liu and Mingkai Sun
Energies 2025, 18(18), 4965; https://doi.org/10.3390/en18184965 - 18 Sep 2025
Viewed by 205
Abstract
In order to improve production rate, multi-stage fractured horizontal wells are often used to develop tight reservoirs. The fracture spacing has an impact on production. How to determine the optimal fracture spacing (shot spacing) is very important. Firstly, a nonlinear one-dimensional steady non-Darcy [...] Read more.
In order to improve production rate, multi-stage fractured horizontal wells are often used to develop tight reservoirs. The fracture spacing has an impact on production. How to determine the optimal fracture spacing (shot spacing) is very important. Firstly, a nonlinear one-dimensional steady non-Darcy flow model in a stimulated reservoir volume (SRV) area around the main fracture in a tight reservoir is established by introducing the moving boundary theory of low-velocity non-Darcy flow. The model comprehensively considers the heterogeneity of reservoir permeability and porosity, the stress sensitivity of permeability and the low-velocity non-Darcy flow with threshold pressure gradient. In particular, Gaussian distribution function is used to accurately characterize the reservoir heterogeneity. An analytical solution without considering the stress sensitivity is also derived by using L’Hospital’s rule. Secondly, the limit utilization boundary is determined, and then a novel method for calculating the maximum fracture spacing is proposed. The method is effectively applied to an actual well, and the necessity of considering permeability stress sensitivity is verified. Finally, the effects of different fracturing modes (slow descent type, transitional type and rapid descent type) and some characteristic parameters of the Gaussian distribution function on permeability and pressure distribution are analyzed. This presented work provides some theoretical basis and technical guidance for optimizing the fracture spacing of multi-stage fractured horizontal wells in tight reservoirs. In addition, the optimization of fracture spacing needs to consider both the impact on production capacity and the impact of fracturing costs on profits. The optimization of fracture spacing considering economic profits is the direction of future research. Full article
Show Figures

Figure 1

22 pages, 4464 KB  
Article
Variations in Temperature and Salinity at Different Survey Periods in the Central and Eastern Beibu Gulf and Their Relationship with Circulation Patterns
by Zhijie Chen, Ziqing Wang, Zhi Zeng and Jinwen Liu
Water 2025, 17(18), 2719; https://doi.org/10.3390/w17182719 - 14 Sep 2025
Viewed by 384
Abstract
Utilizing data from the four survey voyages in the Beibu Gulf from 2021 to 2022, this study investigates the variations in water temperature and salinity at different survey periods across its central and eastern regions, analyzing their horizontal and vertical distribution patterns. The [...] Read more.
Utilizing data from the four survey voyages in the Beibu Gulf from 2021 to 2022, this study investigates the variations in water temperature and salinity at different survey periods across its central and eastern regions, analyzing their horizontal and vertical distribution patterns. The research further explores the relationship between these distributions and the gulf’s circulation dynamics, elucidating their underlying formation mechanisms. The results indicate that the variations of water temperature and salinity are obviously different in different periods. Horizontally, spring and summer survey voyages exhibit a transition from high-temperature (max 31.90 °C), low-salinity (min 29.54 PSU) waters in the north to low-temperature (min 21.10 °C), high-salinity (max 34.19 PSU) waters in the south, while autumn and winter survey voyages show low-temperature (min 18.57 °C), low-salinity (min 29.54 PSU) waters in the north shifting to medium-to-low-temperature (21.52–28.20 °C), high-salinity (max 34.19 PSU) waters in the south. Vertically, the spring survey period displays distinct stratification with multiple thermoclines and haloclines in different regions. The summer survey period exhibits the strongest thermohaline gradients, with intensified thermoclines and haloclines accompanied by regional up- and downwelling. In the autumn survey period, vertical mixing homogenizes temperature and salinity, while the winter survey period shows near-complete mixing, effectively eliminating stratification. These patterns are driven by a combination of oceanic dynamics and regional climatic factors, including monsoon forcing, solar radiation, coastal runoff, horizontal circulation, and up-/downwelling processes. Full article
(This article belongs to the Special Issue China Water Forum, 4th Edition)
Show Figures

Figure 1

20 pages, 3416 KB  
Article
Thermoelectric Energy Conversion in a Lid-Driven Cavity Microgenerator Using Nanofluids
by Edgar Alexandro Gonzalez-Zamudio, Miguel Angel Olivares-Robles and Andres Alfonso Andrade-Vallejo
Nanomaterials 2025, 15(18), 1409; https://doi.org/10.3390/nano15181409 - 12 Sep 2025
Viewed by 408
Abstract
The present research seeks to characterize and evaluate a lid-driven cavity–TEG system to harness residual energy. Therefore, the behavior of water and a nanofluid (SiO2) in a rectangular lid-driven cavity is numerically studied. The Navier–Stokes and energy conservation [...] Read more.
The present research seeks to characterize and evaluate a lid-driven cavity–TEG system to harness residual energy. Therefore, the behavior of water and a nanofluid (SiO2) in a rectangular lid-driven cavity is numerically studied. The Navier–Stokes and energy conservation equations are solved using the finite difference method in Python. The fluid behavior is analyzed with a Reynolds number of 100, Richardson number of 100-77 and variable lid direction. Likewise, a thermoelectric module is integrated in the cavity, and the power generated by varying the size and number of thermocouples is studied. The results obtained contribute to the characterization of applicable thermal systems for their optimization. In the cavity, when the lid direction is positive, its interaction with the buoyant flow generates a vortex on the right side, and multiple vortices when it is in the negative direction; the isotherms present horizontal and vertical stratification in both cases. μTEG generates the most power with a 0.07 mm thermocouple size in the negative lid direction case, with an inlet gradient temperature of 8 K. SiO2 (Ri = 77) showed a 23% increase in power output compared to water (0.318 μW/cm2 and 0.461 μW/cm2, respectively). With a 30% higher inlet gradient temperature (SiO2 at Ri = 100, ΔT = 10.4 K, 0.569 μW/cm2), it generated 79% more power output compared to water. Full article
(This article belongs to the Special Issue Advanced Thermoelectric Nanomaterials, Devices and Applications)
Show Figures

Figure 1

24 pages, 10285 KB  
Article
Angle of Attack Effects on Boundary Layer Transition over a Flared Cone–Swept Fin Configuration
by Qingdong Meng, Juanmian Lei, Song Wu, Chaokai Yuan, Jiang Yu and Ling Zhou
Aerospace 2025, 12(9), 824; https://doi.org/10.3390/aerospace12090824 - 12 Sep 2025
Viewed by 372
Abstract
In our previous study, the transition behavior of a flared cone–swept fin configuration was investigated under an angle of attack (AoA) of 0°. To further explore the role of AoA in complex three-dimensional geometries with strong fin–body interactions, wind tunnel experiments [...] Read more.
In our previous study, the transition behavior of a flared cone–swept fin configuration was investigated under an angle of attack (AoA) of 0°. To further explore the role of AoA in complex three-dimensional geometries with strong fin–body interactions, wind tunnel experiments were conducted at Ma = 9.3, Re = 1.36 × 107/m, with AoA ranging from −6° to 6°. Global surface temperature distributions were obtained using temperature-sensitive paint (TSP), while localized heat flux and pressure fluctuations were captured using thin-film thermocouples and high-frequency pressure sensors. The results show that varying AoA shifts the location of high heat flux between the upper and lower surfaces of the flared cone and induces a switch from streamwise to separation vortices. The windward side exhibits stronger disturbance responses than the leeward side. The junction region between the flared cone and the near-horizontal surface is highly sensitive to AoA variations, consistently exhibiting pronounced second-mode instabilities. These findings provide experimental support for understanding transition mechanisms under the combined effects of shock/boundary layer interaction (SBLI), crossflow, and adverse pressure gradients, with implications for transition prediction and thermal protection system design. Full article
Show Figures

Figure 1

19 pages, 10558 KB  
Article
Ionospheric Disturbances from the 2022 Hunga-Tonga Volcanic Eruption: Impacts on TEC Spatial Gradients and GNSS Positioning Accuracy Across the Japan Region
by Zhihao Fu, Xuhui Shen, Qinqin Liu and Ningbo Wang
Remote Sens. 2025, 17(17), 3108; https://doi.org/10.3390/rs17173108 - 6 Sep 2025
Viewed by 773
Abstract
The Hunga-Tonga volcanic eruption on 15 January 2022, produced significant atmospheric and ionospheric disturbances that may degrade global navigation satellite system (GNSS) and precise point positioning (PPP) accuracy. Using data from the GEONET GNSS network and Soratena barometric pressure sensors across Japan, we [...] Read more.
The Hunga-Tonga volcanic eruption on 15 January 2022, produced significant atmospheric and ionospheric disturbances that may degrade global navigation satellite system (GNSS) and precise point positioning (PPP) accuracy. Using data from the GEONET GNSS network and Soratena barometric pressure sensors across Japan, we analyzed the eruption’s effects through the gradient ionospheric index (GIX) and the rate of TEC index (ROTI) to characterize the propagation and effects of these disturbances on ionospheric total electron content (TEC) gradients. Our analysis identified two separate ionospheric disturbance events. The first event, coinciding with the arrival of atmospheric Lamb waves, was characterized by wave-like pressure anomalies, differential TEC (dTEC) fluctuations, and modest horizontal gradients of vertical TEC (VTEC). In contrast, the second, more pronounced disturbance was driven by equatorial plasma bubbles (EPBs), which generated severe ionospheric irregularities and large TEC gradients. Further analysis revealed that these two disturbances had markedly different impacts on GNSS positioning accuracy. The Lamb wave–induced disturbance mainly caused moderate TEC fluctuations with limited effects on positioning accuracy, and mid-latitude stations maintained both average and 95th percentile positioning (ppp,P95) errors below 0.1 m throughout the event. In contrast, the EPB-driven disturbance had a substantial impact on low-latitude regions, where the average horizontal PPP error peaked at 0.5 m and the horizontal and vertical ppp,P95 errors exceeded 1 m. Our findings reveal two episodes of spatial-gradient enhancement and successfully estimate the propagation speed and direction of the Lamb waves, supporting the potential application of ionospheric gradient monitoring in forecasting GNSS performance degradation. Full article
Show Figures

Figure 1

21 pages, 1814 KB  
Article
Data-Driven Prior Construction in Hilbert Spaces for Bayesian Optimization
by Carol Santos Almonte, Oscar Sanchez Jimenez, Eduardo Souza de Cursi and Emmanuel Pagnacco
Algorithms 2025, 18(9), 557; https://doi.org/10.3390/a18090557 - 3 Sep 2025
Viewed by 591
Abstract
We propose a variant of Bayesian optimization in which probability distributions are constructed using uncertainty quantification (UQ) techniques. In this context, UQ techniques rely on a Hilbert basis expansion to infer probability distributions from limited experimental data. These distributions act as prior knowledge [...] Read more.
We propose a variant of Bayesian optimization in which probability distributions are constructed using uncertainty quantification (UQ) techniques. In this context, UQ techniques rely on a Hilbert basis expansion to infer probability distributions from limited experimental data. These distributions act as prior knowledge of the search space and are incorporated into the acquisition function to guide the selection of enrichment points more effectively. Several variants of the method are examined, depending on the distribution type (normal, log-normal, etc.), and benchmarked against traditional Bayesian optimization on test functions. The results show competitive performance, with selective improvements depending on the problem structure, and faster convergence in specific cases. As a practical application, we address a structural shape optimization problem. The initial geometry is an L-shaped plate, where the goal is to minimize the volume under a horizontal displacement constraint expressed as a penalty. Our approach first identifies a promising region while efficiently training the surrogate model. A subsequent gradient-based optimization step then refines the design using the trained surrogate, achieving a volume reduction of more than 30% while satisfying the displacement constraint, without requiring any additional evaluations of the objective function. Full article
Show Figures

Figure 1

15 pages, 12820 KB  
Article
Microstructure Evolution and Mechanical Properties of Wire Arc Additively Manufactured DSS2209 Duplex Stainless Steel
by Jian Sun, Liang Liu, Long Zhang, Jun Hong, Feihong Liu, Dongsheng Wang, Fei Zhou and Youwen Yang
Materials 2025, 18(17), 4066; https://doi.org/10.3390/ma18174066 - 30 Aug 2025
Viewed by 654
Abstract
This study investigates the microstructure evolution and mechanical properties of DSS2209 duplex stainless steel fabricated via cold metal transfer wire arc additive manufacturing (CMT-WAAM). The as-deposited thin-wall components exhibit significant microstructural heterogeneity along the build height due to thermal history variations. Optical microscopy, [...] Read more.
This study investigates the microstructure evolution and mechanical properties of DSS2209 duplex stainless steel fabricated via cold metal transfer wire arc additive manufacturing (CMT-WAAM). The as-deposited thin-wall components exhibit significant microstructural heterogeneity along the build height due to thermal history variations. Optical microscopy, SEM-EDS, and EBSD analyses reveal distinct phase distributions: the bottom region features elongated blocky austenite with Widmanstätten austenite (WA) due to rapid substrate-induced cooling; the middle region shows equiaxed blocky austenite with reduced grain boundary austenite (GBA) and WA, attributed to interlayer thermal cycling promoting recrystallization and grain refinement (average austenite grain size: 4.16 μm); and the top region displays coarse blocky austenite from slower cooling. Secondary austenite (γ2) forms in interlayer remelted zones with Cr depletion, impacting pitting resistance. Mechanical testing demonstrates anisotropy; horizontal specimens exhibit higher strength (UTS: 610 MPa, YS: 408 MPa) due to layer-uniform microstructures, while vertical specimens show greater ductility (elongation) facilitated by columnar grains aligned with the build direction. Hardness ranges uniformly between 225–239 HV. The study correlates process-induced thermal gradients (e.g., cooling rates, interlayer cycling) with microstructural features (recrystallization fraction, grain size, phase morphology) and performance, providing insights for optimizing WAAM of large-scale duplex stainless steel components like marine propellers. Full article
(This article belongs to the Special Issue Microstructure Engineering of Metals and Alloys, 3rd Edition)
Show Figures

Figure 1

Back to TopTop