Assessment of the Permanent Gully Morphology Measurement by Unmanned Aerial Vehicle Photogrammetry with Different Flight Schemes in Dry–Hot Valley of Southwest China
Abstract
1. Introduction
2. Materials and Methods
2.1. Study Area
2.2. Measurement Methods
2.2.1. Field Monitoring
2.2.2. Data Processing
2.2.3. Error Analysis
2.3. Schemes
3. Results
3.1. GCP Scheme
3.1.1. Number of GCPs
3.1.2. Location of GCPs
3.2. Flight Scheme
3.2.1. Flight Altitude
3.2.2. Photo Overlaps
3.3. Topography of the Gully
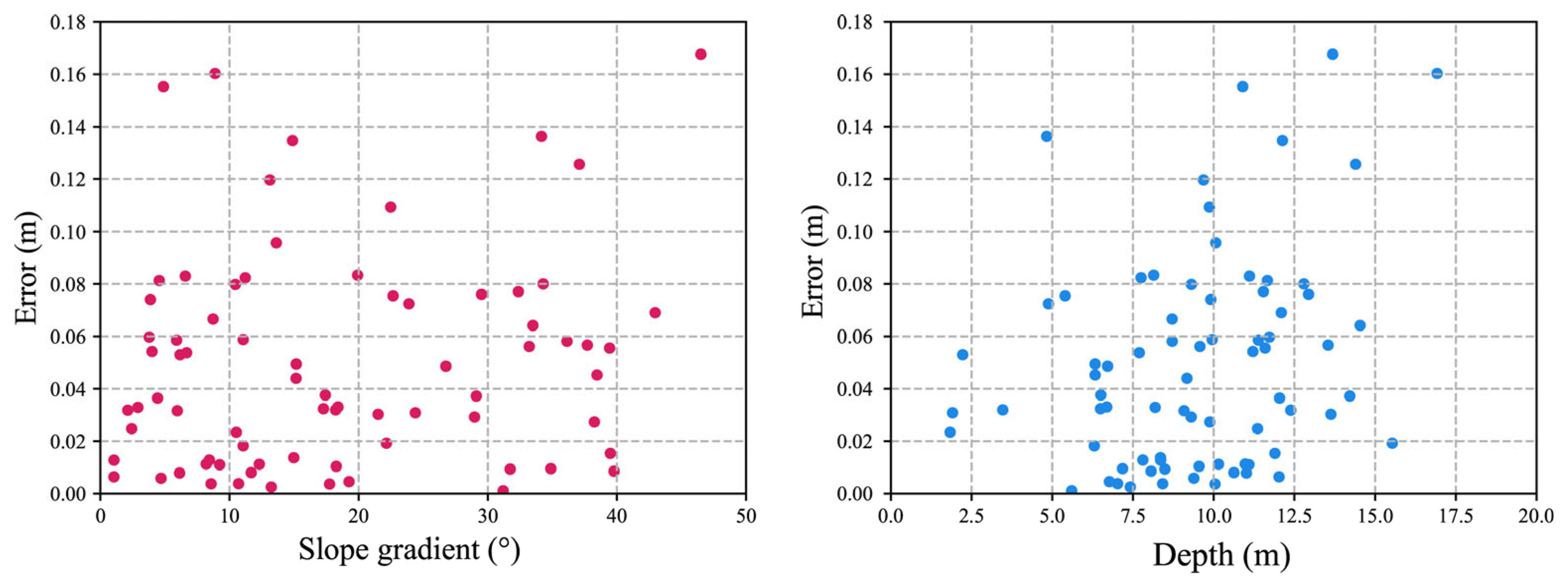
3.4. Environmental Factors Affecting Accuracy
4. Discussion
4.1. Differences Between UAV Photogrammetry and Other Techniques
4.2. Accuracy and Efficiency of the UAV Measurements
4.3. Limitation
5. Conclusions
- (1)
- The accuracy of the DSMs significantly increased as the flight altitude decreased; however, photo overlap did not significantly influence the accuracy. The accuracy increased sharply when the number of GCPs increased from zero to three. As the number increased, both the MAEs and RMSEs showed gently decreasing trends. Based on statistical analysis, flight altitude is the most critical factor affecting monitoring accuracy.
- (2)
- Considering both the data accuracy and monitoring efficiency, the optimal scheme for gully monitoring was a flight altitude of approximately 70 m, 9 GCPs with a reasonable distribution in both horizontal and vertical directions, and an overlap of 80%/70%. The MAE was approximately 4.7 cm and the RMSE was approximately 6.8 cm; the total monitoring time was approximately 180 min.
- (3)
- Shadows from sunlight clearly reduced the accuracy of the UAV data. The flight altitude rather than the slope gradient was the main factor affecting the occurrence of HECPs. Maintaining point clouds that penetrate trees could help reduce the influence of vegetation on the accuracy of DSMs, which decreased significantly when the flight altitude was 150 m or higher.
Author Contributions
Funding
Data Availability Statement
Acknowledgments
Conflicts of Interest
References
- Valentin, C.; Poesen, J.; Li, Y. Gully Erosion: Impacts, Factors and Control. Catena 2005, 63, 132–153. [Google Scholar] [CrossRef]
- Marzolff, I.; Poesen, J. The Potential of 3D Gully Monitoring with GIS Using High-Resolution Aerial Photography and a Digital Photogrammetry System. Geomorphology 2009, 111, 48–60. [Google Scholar] [CrossRef]
- Poesen, J.; Nachtergaele, J.; Verstraeten, G.; Valentin, C. Gully Erosion and Environmental Change: Importance and Research Needs. Catena 2003, 50, 91–133. [Google Scholar] [CrossRef]
- Maulana, E.; Sartohadi, J.; Setiawan, M.A. Understanding Gully Erosion Development Through a Geomorphological Approach. Soil Water Res. 2025, 20, 84–92. [Google Scholar] [CrossRef]
- Betts, H.D.; Trustrum, N.A.; De Rose, R.C. Geomorphic Changes in a Complex Gully System Measured from Sequential Digital Elevation Models, and Implications for Management. Earth Surf. Process. Landf. 2003, 28, 1043–1058. [Google Scholar] [CrossRef]
- Dong, Y.; Li, F.; Zhang, Q.; Lei, T. Determining Ephemeral Gully Erosion Process with the Volume Replacement Method. Catena 2015, 131, 119–124. [Google Scholar] [CrossRef]
- Martínez-Casasnovas, J.A. A Spatial Information Technology Approach for the Mapping and Quantification of Gully Erosion. Catena 2003, 50, 293–308. [Google Scholar] [CrossRef]
- Wells, R.R.; Momm, H.G.; Bennett, S.J.; Gesch, K.R.; Dabney, S.M.; Cruse, R.; Wilson, G.V. A Measurement Method for Rill and Ephemeral Gully Erosion Assessments. Soil Sci. Soc. Am. J. 2016, 80, 203–214. [Google Scholar] [CrossRef]
- Liu, Y.; Han, K.; Rasdorf, W. Assessment and Prediction of Impact of Flight Configuration Factors on UAS-Based Photogrammetric Survey Accuracy. Remote Sens. 2022, 14, 4119. [Google Scholar] [CrossRef]
- Castillo, C.; Marín-Moreno, V.J.; Pérez, R.; Muñoz-Salinas, R.; Taguas, E.V. Accurate Automated Assessment of Gully Cross-Section Geometry Using the Photogrammetric Interface Freexsapp. Earth Surf. Process. Landf. 2018, 43, 1726–1736. [Google Scholar] [CrossRef]
- Nesbit, P.; Hugenholtz, C. Enhancing UAV–Sfm 3D Model Accuracy in High-Relief Landscapes by Incorporating Oblique Images. Remote Sens. 2019, 11, 239. [Google Scholar] [CrossRef]
- Su, Z.; Xiong, D.; Dong, Y.; Li, J.; Yang, D.; Zhang, J.; He, G. Simulated Headward Erosion of Bank Gullies in the Dry-Hot Valley Region of Southwest China. Geomorphology 2014, 204, 532–541. [Google Scholar] [CrossRef]
- Wu, Y.; Zheng, Q.; Zhang, Y.; Liu, B.; Cheng, H.; Wang, Y. Development of Gullies and Sediment Production in the Black Soil Region of Northeastern China. Geomorphology 2008, 101, 683–691. [Google Scholar] [CrossRef]
- Shellberg, J.G.; Spencer, J.; Brooks, A.P.; Pietsch, T.J. Degradation of the Mitchell River Fluvial Megafan by Alluvial Gully Erosion Increased by Post-European Land Use Change, Queensland, Australia. Geomorphology 2016, 266, 105–120. [Google Scholar] [CrossRef]
- Díaz-Varela, R.A.; De La Rosa, R.; León, L.; Zarco-Tejada, P.J. High Resolution Airborne UAV Imagery to Assess Olive Tree Crown Parameters Using 3D Photo Reconstruction: Application in Breeding Trials. Remote Sens. 2015, 7, 4213–4232. [Google Scholar] [CrossRef]
- Hosseinalizadeh, M.; Kariminejad, N.; Chen, W.; Pourghasemi, H.R.; Alinejad, M.; Mohammadian Behbahani, A.; Tiefenbacher, J.P. Spatial Modelling of Gully Headcuts Using UAV Data and Four Best-First Decision Classifier Ensembles (Bftree, Bag-Bftree, RS-Bftree, And RF-Bftree). Geomorphology 2019, 329, 184–193. [Google Scholar] [CrossRef]
- Gómez Gutiérrez, Á.; Schnabel, S.; Lavado Contador, F.; De Sanjosé, J.J.; Atkinson, A.D.J.; Pulido Fernández, M.; Sánchez Fernández, M. Studying the Influence of Livestock Pressure on Gully Erosion in Rangelands of SW Spain by Means of the UAV+Sfm Workflow. Boletín Asoc. Geógrafos Españoles 2018, 78, 66–88. [Google Scholar] [CrossRef]
- Yang, S.; Guan, Y.; Zhao, C.; Zhang, C.; Bai, J.; Chen, K. Determining the Influence of Catchment Area on Intensity of Gully Erosion Using High Resolution Aerial Imagery: A 40-Year Case Study from the Loess Plateau, Northern China. Geoderma 2019, 347, 90–102. [Google Scholar] [CrossRef]
- Koci, J.; Jarihani, B.; Leon, J.X.; Sidle, R.C.; Wilkinson, S.N.; Bartley, R. Assessment of UAV and Ground-Based Structure from Motion with Multi-View Stereo Photogrammetry in a Gullied Savanna Catchment. ISPRS Int. J. Geo-Inf. 2017, 6, 328. [Google Scholar] [CrossRef]
- Zheng, F.; Xu, X.; Qin, C. A Review of Gully Erosion Process Research. Trans. Chin. Soc. Agric. Mach. 2016, 47, 47–59. (In Chinese) [Google Scholar] [CrossRef]
- Medeiros, B.M.; Cândido, B.; Jimenez, P.A.J.; Avanzi, J.C.; Silva, M.L.N. UAV-Based Soil Water Erosion Monitoring: Current Status and Trends. Drones 2025, 9, 305. [Google Scholar] [CrossRef]
- Eltner, A.; Baumgart, P.; Maas, H.G.; Faust, D. Multi-Temporal UAV Data for Automatic Measurement of Rill and Inter Rill Erosion on Loess Soil. Earth Surf. Process. Landf. 2015, 40, 741–755. [Google Scholar] [CrossRef]
- Liu, K.; Ding, H.; Tang, G.; Na, J.; Huang, X.; Xue, Z.; Yang, X.; Li, F. Detection of Catchment-Scale Gully Affected Areas Using Unmanned Aerial Vehicle (UAV) on the Chinese Loess Plateau. ISPRS Int. J. Geo-Inf. 2016, 5, 238. [Google Scholar] [CrossRef]
- Pineux, N.; Lisein, J.; Swerts, G.; Bielders, C.L.; Lejeune, P.; Colinet, G.; Degré, A. Can DEM Time Series Produced by UAV Be Used to Quantify Diffuse Erosion in an Agricultural Watershed? Geomorphology 2017, 280, 122–136. [Google Scholar] [CrossRef]
- Cândido, B.M.; James, M.; Quinton, J.; Lima, W.; De Silva, M.L.N. Sediment Source and Volume of Soil Erosion in a Gully System Using UAV Photogrammetry. Rev. Bras. Ciência Solo 2020, 44, e0200076. [Google Scholar] [CrossRef]
- Marzolff, I.; Ries, J.B.; Poesen, J. Short-Term Versus Medium-Term Monitoring for Detecting Gully-Erosion Variability in a Mediterranean Environment. Earth Surf. Process. Landf. 2011, 36, 1604–1623. [Google Scholar] [CrossRef]
- Zhao, C.; Jiao, J.; Shui, J.; Wang, H.; Chen, T.; Chen, Y.; An, S.; Guo, M.; Yang, H. Comparative Analysis on Morphological Characteristics of Erosion Gullies Measured by an Unmanned Aerial Vehicle and Traditional Ground Survey in South Central Tibet. Bull. Soil Water Conserv. 2019, 39, 120–127. (In Chinese) [Google Scholar] [CrossRef]
- Wang, Z.; Zhang, G.; Wang, C.; Xing, S. Gully Morphological Characteristics and Topographic Threshold Determined by UAV in a Small Watershed on the Loess Plateau. Remote Sens. 2022, 341, 15–27. [Google Scholar]
- Glendell, M.; Mcshane, G.; Farrow, L.; James, M.R.; Quinton, J.; Anderson, K.; Brazier, R.E. Testing the Utility of Structure-from-Motion Photogrammetry Reconstructions Using Small Unmanned Aerial Vehicles and Ground Photography to Estimate the Extent of Upland Soil Erosion. Earth Surf. Process. Landf. 2017, 42, 1860–1871. [Google Scholar] [CrossRef]
- Peter, K.D.; d’Oleire-Oltmanns, S.; Ries, J.B.; Marzolff, I.; Ait Hssaine, A. Soil Erosion in Gully Catchments Affected by Land-Levelling Measures in the Souss Basin, Morocco, Analysed by Rainfall Simulation and UAV Remote Sensing Data. Catena 2014, 113, 24–40. [Google Scholar] [CrossRef]
- Stöcker, C.; Eltner, A.; Karrasch, P. Measuring Gullies by Synergetic Application of UAV and Close Range Photogrammetry a Case Study from Andalusia, Spain. Catena 2015, 132, 1–11. [Google Scholar] [CrossRef]
- D’Oleire-Oltmanns, S.; Marzolff, I.; Peter, K.D.; Ries, J.B. Unmanned Aerial Vehicle (UAV) for Monitoring Soil Erosion in Morocco. Remote Sens. 2012, 4, 3390–3416. [Google Scholar] [CrossRef]
- Herwitz, S.R.; Johnson, L.F.; Dunagan, S.E.; Higgins, R.G.; Sullivan, D.V.; Zheng, J.; Lobitz, B.M.; Leung, J.G.; Gallmeyer, B.; Aoyagi, M.; et al. Imaging from an Unmanned Aerial Vehicle: Agricultural Surveillance and Decision Support. Comput. Electron. Agric. 2004, 44, 49–61. [Google Scholar] [CrossRef]
- Cook, K.L. An Evaluation of the Effectiveness of Low-Cost Uavs and Structure from Motion for Geomorphic Change Detection. Geomorphology 2017, 278, 195–208. [Google Scholar] [CrossRef]
- Candiago, S.; Remondino, F.; De Giglio, M.; Dubbini, M.; Gattelli, M. Evaluating Multispectral Images and Vegetation Indices for Accuracy Farming Applications from UAV Images. Remote Sens. 2015, 7, 4026–4047. [Google Scholar] [CrossRef]
- Mlambo, R.; Woodhouse, I.H.; Gerard, F.; Anderson, K. Structure from Motion (Sfm) Photogrammetry with Drone Data: Low Cost Method for Monitoring Greenhouse Gas Emissions from Forests in Developing Countryes. Forests 2017, 8, 68. [Google Scholar] [CrossRef]
- Xiong, D.; Yan, D.; Long, Y.; Lu, X.; Han, J.; Han, X.; Shi, L. Simulation of Morphological Development of Soil Cracks in Yuanmou Dry-Hot Valley Region, Southwest China. Chin. Geogr. Sci. 2010, 20, 112–122. [Google Scholar] [CrossRef]
- Dong, Y.; Xiong, D.; Su, Z.; Yang, D.; Zheng, X.; Shi, L.; Poesen, J. Effects of Vegetation Buffer Strips on Concentrated Flow Hydraulics and Gully Bed Erosion Based on In Situ Scouring Experiments. Land Degrad. Dev. 2018, 29, 1672–1682. [Google Scholar] [CrossRef]
- Wang, X.; Zhong, X.; Liu, S.; Li, M.H. A Non-Linear Technique Based on Fractal Method for Describing Gully-Head Changes Associated with Land Use in an Arid Environment in China. Catena 2008, 72, 106–112. [Google Scholar] [CrossRef]
- Dong, Y.; Xiong, D.; Su, Z.; Li, J.; Yang, D.; Shi, L.; Liu, G. The Distribution of and Factors Influencing the Vegetation in a Gully in The Dry Hot Valley of Southwest China. Catena 2014, 116, 60–67. [Google Scholar] [CrossRef]
- Zhang, J.; Tian, G.; Li, Y.; Lindstrom, M. Requirements for Success of Reforestration Projects in a Semiarid Low-Mountain Region of The Jinsha River Basin, Southwestern China. Land Degrad. Dev. 2002, 13, 395–401. [Google Scholar] [CrossRef]
- Lucieer, A.; Jong, S.M.; De Turner, D. Mapping Landslide Displacements Using Structure from Motion (Sfm) and Image Correlation of Multi-Temporal UAV Photography. Prog. Phys. Geogr. Earth Environ. 2014, 38, 97–116. [Google Scholar] [CrossRef]
- Jiang, S.; Jiang, C.; Jiang, W. Efficient Structure from Motion for Large-Scale UAV Images: A Review and a Comparison of Sfm Tools. ISPRS J. Photogramm. Remote Sens. 2020, 167, 230–251. [Google Scholar] [CrossRef]
- Campo-Bescõs, M.A.; Flores-Cervantes, J.H.; Bras, R.L.; Casalí, J.; Girál-Dez, J. Evaluation of a Gully Headcut Retreat Model Using Multi-Temporal Aerial Photographs and Digital Elevation Models. J. Geophys. Res. Earth Surf. 2013, 118, 2159–2173. [Google Scholar] [CrossRef]
- Flores-Cervantes, J.H.; Istanbulluoglu, E.; Bras, R.L. Development of Gullies on the Landscape: A Model of Headcut Retreat Resulting from Plunge Pool Erosion. J. Geophys. Res. Earth Surf. 2006, 111, F01010. [Google Scholar] [CrossRef]
- Liu, X. Airborne Lidar for DEM Generation: Some Critical Issues. Prog. Phys. Geogr. 2008, 32, 31–49. [Google Scholar] [CrossRef]
- Perroy, R.L.; Bookhagen, B.; Asner, G.P.; Chadwick, O.A. Comparison of Gully Erosion Estimates Using Airborne and Ground-Based Lidar on Santa Cruz Island, California. Geomorphology 2010, 118, 288–300. [Google Scholar] [CrossRef]
- Sanz-Ablanedo, E.; Chandler, J.H.; Rodríguez-Pérez, J.R.; Ordóñez, C. Accuracy of Unmanned Aerial Vehicle (UAV) and SfM Photogrammetry Survey as a Function of the Number and Location of Ground Control Points Used. Remote Sens. 2018, 10, 1606. [Google Scholar] [CrossRef]
- James, M.R.; Robson, S.; d’Oleire-Oltmanns, S.; Niethammer, U. Optimising UAV Topographic Surveys Processed with Structure-From-Motion: Ground Control Quality, Quantity and Bundle Adjustment. Geomorphology 2017, 280, 51–66. [Google Scholar] [CrossRef]
- Agüera-Vega, F.; Carvajal-Ramírez, F.; Martínez-Carricondo, P. Assessment of Photogrammetric Mapping Accuracy Based on Variation Ground Control Points Number Using Unmanned Aerial Vehicle. Meas. J. Int. Meas. Confed. 2017, 98, 221–227. [Google Scholar] [CrossRef]
- Guan, Y.; Yang, S.; Zhao, C.; Lou, H.; Chen, K.; Zhang, C.; Wu, B. Monitoring Long-Term Gully Erosion and Topographic Thresholds in the Marginal Zone of the Chinese Loess Plateau. Soil Tillage Res. 2021, 205, 104800. [Google Scholar] [CrossRef]
- Dong, Y.; Duan, X.; Huang, J.; Yang, J.; Xiong, D.; Yang, C.; Guiquan, Y. The Validation of a Gully Headcut Retreat Model in Short-Term Scale Based on an In-Situ Experiment in Dry-Hot Valley. J. Soils Sediments 2021, 21, 2228–2239. [Google Scholar] [CrossRef]
- Casalí, J.; Giménez, R.; Campo-Bescós, M.A. Gully geometry: What are we measuring? Soil 2015, 1, 509–513. [Google Scholar] [CrossRef]












| Scheme | GCPs Position | GCPs Number | Flight Altitude (m) | Photo Overlap (%) | Number of Schemes |
|---|---|---|---|---|---|
| GCP placement location schemes | 5 categories: scheme A, B, C, D and E | 6 | 100 | 80/70 | 5 |
| GCP number schemes | Each of 3 parts: GS GW and GB | 0, 3, 6, 9, 12, 15, 18, 21 and 24 | 100 | 80/70 | 10 |
| Flight altitude schemes | gs3,5,6,11 gw2,7,11 gb4,7,9,11 | 11 | 30, 50, 70, 100, 150, 200, and 250 | 80/70 | 7 |
| Photo overlap schemes | gs3,5,6,11 gw2,7,11 gb4,7,9,11 | 11 | 100 | 90/80, 80/70, 70/60, 60/50, 50/40, 80/90, 80/60, 80/50, 80/40, 90/70, 60/70, 50/70, 40/70 | 13 |
| Total | 35 | ||||
| Scheme | Number of GCP | MAE (m) | RMSE (m) | Number of HECPs |
|---|---|---|---|---|
| - | 0 | 0.0883 | 0.1340 | 55 |
| A | 6 | 0.0700 | 0.1191 | 3 |
| B | 6 | 0.1010 | 0.1394 | 45 |
| C | 6 | 0.0722 | 0.1192 | 2 |
| D | 6 | 0.0724 | 0.1200 | 7 |
| E | 6 | 0.0946 | 0.1359 | 34 |
| Equipment | Monitoring Objects | Point Density (Point. m2) | Monitoring Efficiency | RMSE (m) | Reference |
|---|---|---|---|---|---|
| RTK GPS | Gully headcuts | 20–30 | 300–400 points per hour | 0.031 | Dong et al., 2018 [38] |
| LiDAR | Gully headcuts | 10,000–12,000 | >480,000 per hour | 0.006 | Su et al. 2014 [12] |
| Paired photographs | Cross-sections | 500,000 to >5 million | / | <0.001 | Wells et al. 2016 [8] |
| Gully Area (m2) | Gully Depth (m) | Resolution of Image (MP) | Flight Altitude (m) | Overlap | Number of GCPs | RMSE (m) | Reference |
|---|---|---|---|---|---|---|---|
| 350–750 | 0.5–1.5 at headcuts | 12 | 86–99 | 80/75 | 6–7 | 0.230–0.915 | Koci et al. 2017 [19] |
| 869 | 4.3 maximum | 12 | 70 | - | 80 | 0.007–0.027 | D’Oleire-Oltmanns et al. 2012 [32] |
| 4589 in average | 9.7 in average | - | 300 | 80/56 | 33 | 0.38 | Guan et al. 2021 [51] |
| 15–3400 | 0.5–12.2 | 20 | 100 | 80/70 | 10 | 0.20 | Wang et al. 2022 [28] |
| 32,600 | 10.5 in average | 20 | 70, 100, 250 | 80/70 | 11 | 0.06, 0.11, 0.24 | This study |
Disclaimer/Publisher’s Note: The statements, opinions and data contained in all publications are solely those of the individual author(s) and contributor(s) and not of MDPI and/or the editor(s). MDPI and/or the editor(s) disclaim responsibility for any injury to people or property resulting from any ideas, methods, instructions or products referred to in the content. |
© 2025 by the authors. Licensee MDPI, Basel, Switzerland. This article is an open access article distributed under the terms and conditions of the Creative Commons Attribution (CC BY) license (https://creativecommons.org/licenses/by/4.0/).
Share and Cite
Yang, J.; Dong, Y.; Huang, J.; Wen, X.; Wang, G.; Zhao, X. Assessment of the Permanent Gully Morphology Measurement by Unmanned Aerial Vehicle Photogrammetry with Different Flight Schemes in Dry–Hot Valley of Southwest China. Drones 2025, 9, 696. https://doi.org/10.3390/drones9100696
Yang J, Dong Y, Huang J, Wen X, Wang G, Zhao X. Assessment of the Permanent Gully Morphology Measurement by Unmanned Aerial Vehicle Photogrammetry with Different Flight Schemes in Dry–Hot Valley of Southwest China. Drones. 2025; 9(10):696. https://doi.org/10.3390/drones9100696
Chicago/Turabian StyleYang, Ji, Yifan Dong, Jiangcheng Huang, Xiaoli Wen, Guanghai Wang, and Xin Zhao. 2025. "Assessment of the Permanent Gully Morphology Measurement by Unmanned Aerial Vehicle Photogrammetry with Different Flight Schemes in Dry–Hot Valley of Southwest China" Drones 9, no. 10: 696. https://doi.org/10.3390/drones9100696
APA StyleYang, J., Dong, Y., Huang, J., Wen, X., Wang, G., & Zhao, X. (2025). Assessment of the Permanent Gully Morphology Measurement by Unmanned Aerial Vehicle Photogrammetry with Different Flight Schemes in Dry–Hot Valley of Southwest China. Drones, 9(10), 696. https://doi.org/10.3390/drones9100696
