Sign in to use this feature.

Years

Between: -

Subjects

remove_circle_outline
remove_circle_outline
remove_circle_outline
remove_circle_outline
remove_circle_outline
remove_circle_outline
remove_circle_outline
remove_circle_outline
remove_circle_outline

Journals

remove_circle_outline
remove_circle_outline
remove_circle_outline
remove_circle_outline
remove_circle_outline
remove_circle_outline
remove_circle_outline
remove_circle_outline
remove_circle_outline
remove_circle_outline
remove_circle_outline
remove_circle_outline
remove_circle_outline
remove_circle_outline

Article Types

Countries / Regions

remove_circle_outline
remove_circle_outline
remove_circle_outline
remove_circle_outline

Search Results (843)

Search Parameters:
Keywords = graph metrics

Order results
Result details
Results per page
Select all
Export citation of selected articles as:
22 pages, 3708 KB  
Article
Faithful Narratives from Complex Conceptual Models: Should Modelers or Large Language Models Simplify Causal Maps?
by Tyler J. Gandee and Philippe J. Giabbanelli
Mach. Learn. Knowl. Extr. 2025, 7(4), 116; https://doi.org/10.3390/make7040116 (registering DOI) - 7 Oct 2025
Abstract
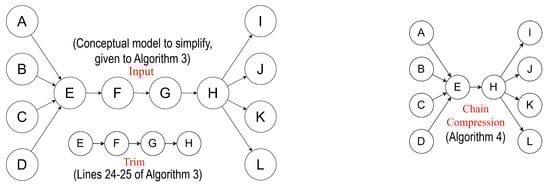
(1) Background: Comprehensive conceptual models can result in complex artifacts, consisting of many concepts that interact through multiple mechanisms. This complexity can be acceptable and even expected when generating rich models, for instance to support ensuing analyses that find central concepts or decompose [...] Read more.
(1) Background: Comprehensive conceptual models can result in complex artifacts, consisting of many concepts that interact through multiple mechanisms. This complexity can be acceptable and even expected when generating rich models, for instance to support ensuing analyses that find central concepts or decompose models into parts that can be managed by different actors. However, complexity can become a barrier when the conceptual model is used directly by individuals. A ‘transparent’ model can support learning among stakeholders (e.g., in group model building) and it can motivate the adoption of specific interventions (i.e., using a model as evidence base). Although advances in graph-to-text generation with Large Language Models (LLMs) have made it possible to transform conceptual models into textual reports consisting of coherent and faithful paragraphs, turning a large conceptual model into a very lengthy report would only displace the challenge. (2) Methods: We experimentally examine the implications of two possible approaches: asking the text generator to simplify the model, either via abstractive (LLMs) or extractive summarization, or simplifying the model through graph algorithms and then generating the complete text. (3) Results: We find that the two approaches have similar scores on text-based evaluation metrics including readability and overlap scores (ROUGE, BLEU, Meteor), but faithfulness can be lower when the text generator decides on what is an interesting fact and is tasked with creating a story. These automated metrics capture textual properties, but they do not assess actual user comprehension, which would require an experimental study with human readers. (4) Conclusions: Our results suggest that graph algorithms may be preferable to support modelers in scientific translations from models to text while minimizing hallucinations. Full article
Show Figures

Figure 1

23 pages, 2173 KB  
Article
Prototype-Enhanced Few-Shot Relation Extraction Method Based on Cluster Loss Optimization
by Shenyi Qian, Bowen Fu, Chao Liu, Songhe Jin, Tong Sun, Zhen Chen, Daiyi Li, Yifan Sun, Yibing Chen and Yuheng Li
Symmetry 2025, 17(10), 1673; https://doi.org/10.3390/sym17101673 (registering DOI) - 7 Oct 2025
Abstract
The purpose of few-shot relation extraction (RE) is to recognize the relationship between specific entity pairs in text when there are a limited number of labeled samples. A few-shot RE method based on a prototype network, which constructs relation prototypes by relying on [...] Read more.
The purpose of few-shot relation extraction (RE) is to recognize the relationship between specific entity pairs in text when there are a limited number of labeled samples. A few-shot RE method based on a prototype network, which constructs relation prototypes by relying on the support set to assign labels to query samples, inherently leverages the symmetry between support and query processing. Although these methods have achieved remarkable results, they still face challenges such as the misjudging of noisy samples or outliers, as well as distinguishing semantic similarity relations. To address the aforementioned challenges, we propose a novel semantic enhanced prototype network, which can integrate the semantic information of relations more effectively to promote more expressive representations of instances and relation prototypes, so as to improve the performance of the few-shot RE. Firstly, we design a prompt encoder to uniformly process different prompt templates for instance and relation information, and then utilize the powerful semantic understanding and generation capabilities of large language models (LLMs) to obtain precise semantic representations of instances, their prototypes, and conceptual prototypes. Secondly, graph attention learning techniques are introduced to effectively extract specific-relation features between conceptual prototypes and isomorphic instances while maintaining structural symmetry. Meanwhile, a prototype-level contrastive learning strategy with bidirectional feature symmetry is proposed to predict query instances by integrating the interpretable features of conceptual prototypes and the intra-class shared features captured by instance prototypes. In addition, a clustering loss function was designed to guide the model to learn a discriminative metric space with improved relational symmetry, effectively improving the accuracy of the model’s relationship recognition. Finally, the experimental results on the FewRel1.0 and FewRel2.0 datasets show that the proposed approach delivers improved performance compared to existing advanced models in the task of few-shot RE. Full article
(This article belongs to the Section Computer)
Show Figures

Figure 1

41 pages, 1929 KB  
Review
The Evolution and Taxonomy of Deep Learning Models for Aircraft Trajectory Prediction: A Review of Performance and Future Directions
by NaeJoung Kwak and ByoungYup Lee
Appl. Sci. 2025, 15(19), 10739; https://doi.org/10.3390/app151910739 - 5 Oct 2025
Abstract
Accurate aircraft trajectory prediction is fundamental to air traffic management, operational safety, and intelligent aerospace systems. With the growing availability of flight data, deep learning has emerged as a powerful tool for modeling the spatiotemporal complexity of 4D trajectories. This paper presents a [...] Read more.
Accurate aircraft trajectory prediction is fundamental to air traffic management, operational safety, and intelligent aerospace systems. With the growing availability of flight data, deep learning has emerged as a powerful tool for modeling the spatiotemporal complexity of 4D trajectories. This paper presents a comprehensive review of deep learning-based approaches for aircraft trajectory prediction, focusing on their evolution, taxonomy, performance, and future directions. We classify existing models into five groups—RNN-based, attention-based, generative, graph-based, and hybrid and integrated models—and evaluate them using standardized metrics such as the RMSE, MAE, ADE, and FDE. Common datasets, including ADS-B and OpenSky, are summarized, along with the prevailing evaluation metrics. Beyond model comparison, we discuss real-world applications in anomaly detection, decision support, and real-time air traffic management, and highlight ongoing challenges such as data standardization, multimodal integration, uncertainty quantification, and self-supervised learning. This review provides a structured taxonomy and forward-looking perspectives, offering valuable insights for researchers and practitioners working to advance next-generation trajectory prediction technologies. Full article
(This article belongs to the Section Aerospace Science and Engineering)
Show Figures

Figure 1

19 pages, 1381 KB  
Article
MAMGN-HTI: A Graph Neural Network Model with Metapath and Attention Mechanisms for Hyperthyroidism Herb–Target Interaction Prediction
by Yanqin Zhou, Xiaona Yang, Ru Lv, Xufeng Lang, Yao Zhu, Zuojian Zhou and Kankan She
Bioengineering 2025, 12(10), 1085; https://doi.org/10.3390/bioengineering12101085 - 5 Oct 2025
Abstract
The accurate prediction of herb–target interactions is essential for the modernization of traditional Chinese medicine (TCM) and the advancement of drug discovery. Nonetheless, the inherent complexity of herbal compositions and diversity of molecular targets render experimental validation both time-consuming and labor-intensive. We propose [...] Read more.
The accurate prediction of herb–target interactions is essential for the modernization of traditional Chinese medicine (TCM) and the advancement of drug discovery. Nonetheless, the inherent complexity of herbal compositions and diversity of molecular targets render experimental validation both time-consuming and labor-intensive. We propose a graph neural network model, MAMGN-HTI, which integrates metapaths with attention mechanisms. A heterogeneous graph consisting of herbs, efficacies, ingredients, and targets is constructed, where semantic metapaths capture latent relationships among nodes. An attention mechanism is employed to dynamically assign weights, thereby emphasizing the most informative metapaths. In addition, ResGCN and DenseGCN architectures are combined with cross-layer skip connections to improve feature propagation and enable effective feature reuse. Experiments show that MAMGN-HTI outperforms several state-of-the-art methods across multiple metrics, exhibiting superior accuracy, robustness, and generalizability in HTI prediction and candidate drug screening. Validation against literature and databases further confirms the model’s predictive reliability. The model also successfully identified herbs with potential therapeutic effects for hyperthyroidism, including Vinegar-processed Bupleuri Radix (Cu Chaihu), Prunellae Spica (Xiakucao), and Processed Cyperi Rhizoma (Zhi Xiangfu). MAMGN-HTI provides a reliable computational framework and theoretical foundation for applying TCM in hyperthyroidism treatment, providing mechanistic insights while improving research efficiency and resource utilization. Full article
Show Figures

Figure 1

16 pages, 1897 KB  
Article
A Logical Characterization for Approximate Matching of Pattern Graphs with Regular Expressions
by Xinfei Liao, Zuoli Zhang, Xinyu Cui, Jin Wang, Yu Zhang and Xuelei Chen
Symmetry 2025, 17(10), 1659; https://doi.org/10.3390/sym17101659 - 5 Oct 2025
Abstract
A graph simulation and its variants are widely used in graph pattern matching. Among them, there have been related works involving the addition of regular expressions to graph patterns, which can discover more meaningful data and solve problems in polynomial time. In this [...] Read more.
A graph simulation and its variants are widely used in graph pattern matching. Among them, there have been related works involving the addition of regular expressions to graph patterns, which can discover more meaningful data and solve problems in polynomial time. In this research, which is based on Fan’s investigations, we first propose an approximation of graph simulation using the concept of metric and formal verification techniques, and then give the definition of approximate matching between pattern graphs with regular expressions and data graphs, which introduces a symmetric tolerance for errors, bridging exact and approximate matching. Finally, we present a logical characterization of the approximate graph simulation by extending Hennessy–Milner logic. Full article
(This article belongs to the Special Issue Applications Based on Symmetry in Applied Cryptography)
Show Figures

Figure 1

32 pages, 6548 KB  
Article
Smart City Ontology Framework for Urban Data Integration and Application
by Xiaolong He, Xi Kuai, Xinyue Li, Zihao Qiu, Biao He and Renzhong Guo
Smart Cities 2025, 8(5), 165; https://doi.org/10.3390/smartcities8050165 - 3 Oct 2025
Abstract
Rapid urbanization and the proliferation of heterogeneous urban data have intensified the challenges of semantic interoperability and integrated urban governance. To address this, we propose the Smart City Ontology Framework (SMOF), a standards-driven ontology that unifies Building Information Modeling (BIM), Geographic Information Systems [...] Read more.
Rapid urbanization and the proliferation of heterogeneous urban data have intensified the challenges of semantic interoperability and integrated urban governance. To address this, we propose the Smart City Ontology Framework (SMOF), a standards-driven ontology that unifies Building Information Modeling (BIM), Geographic Information Systems (GIS), Internet of Things (IoT), and relational data. SMOF organizes five core modules and eleven major entity categories, with universal and extensible attributes and relations to support cross-domain data integration. SMOF was developed through competency questions, authoritative knowledge sources, and explicit design principles, ensuring methodological rigor and alignment with real governance needs. Its evaluation combined three complementary approaches against baseline models: quantitative metrics demonstrated higher attribute richness and balanced hierarchy; LLM as judge assessments confirmed conceptual completeness, consistency, and scalability; and expert scoring highlighted superior scenario fitness and clarity. Together, these results indicate that SMOF achieves both structural soundness and practical adaptability. Beyond structural evaluation, SMOF was validated in two representative urban service scenarios, demonstrating its capacity to integrate heterogeneous data, support graph-based querying and enable ontology-driven reasoning. In sum, SMOF offers a robust and scalable solution for semantic data integration, advancing smart city governance and decision-making efficiency. Full article
(This article belongs to the Special Issue Breaking Down Silos in Urban Services)
Show Figures

Figure 1

16 pages, 959 KB  
Article
Research on the Consensus Convergence Rate of Multi-Agent Systems Based on Hermitian Kirchhoff Index Measurement
by He Deng and Tingzeng Wu
Entropy 2025, 27(10), 1035; https://doi.org/10.3390/e27101035 - 2 Oct 2025
Abstract
Multi-agent systems (MAS) typically model interaction topologies using directed or undirected graphs when analyzing consensus convergence rates. However, as system complexity increases, purely directed or undirected networks may be insufficient to capture interaction heterogeneity. This paper adopts hybrid networks as interaction topology to [...] Read more.
Multi-agent systems (MAS) typically model interaction topologies using directed or undirected graphs when analyzing consensus convergence rates. However, as system complexity increases, purely directed or undirected networks may be insufficient to capture interaction heterogeneity. This paper adopts hybrid networks as interaction topology to investigate strategies for improving consensus convergence rates. We propose the Hermitian Kirchhoff index, a novel metric based on resistance distance, to quantify the consensus convergence rates and establish its theoretical justification. We then examine how adding or removing edges/arcs affects the Hermitian Kirchhoff index, employing first-order eigenvalue perturbation analysis to relate these changes to algebraic connectivity and its associated eigenvectors. Numerical simulations corroborate the theoretical findings and demonstrate the effectiveness of the proposed approach. Full article
(This article belongs to the Section Complexity)
37 pages, 6545 KB  
Article
Efficient Drone Data Collection in WSNs: ILP and mTSP Integration with Quality Assessment
by Gregory Gasteratos and Ioannis Karydis
World Electr. Veh. J. 2025, 16(10), 560; https://doi.org/10.3390/wevj16100560 - 1 Oct 2025
Abstract
The proliferation of wireless sensor networks in remote and inaccessible areas demands efficient data collection approaches that minimize energy consumption while ensuring comprehensive coverage. Traditional data retrieval methods face significant challenges when sensors are sparsely distributed across extensive areas, particularly in scenarios where [...] Read more.
The proliferation of wireless sensor networks in remote and inaccessible areas demands efficient data collection approaches that minimize energy consumption while ensuring comprehensive coverage. Traditional data retrieval methods face significant challenges when sensors are sparsely distributed across extensive areas, particularly in scenarios where direct sensor access is impractical due to terrain constraints or operational limitations. This research addresses these challenges through a novel hybrid optimization framework that combines integer linear programming (ILP) with multiple traveling salesperson problem (mTSP) algorithms for drone-based data collection in wireless sensor networks (WSNs). The methodology employs a two-phase approach, where ILP optimally determines strategic access point locations for sensor clustering based on communication capabilities, followed by mTSP optimization to generate efficient inter-AP flight trajectories rather than individual sensor visits. Comprehensive simulations across diverse network configurations and drone quantities demonstrate consistent performance improvements, with travel distance reductions reaching 32% compared to conventional mTSP implementations. Comparative evaluation against established clustering algorithms including Voronoi, DBSCAN, Constrained K-Means, Graph-Based clustering, and Greedy Circle Packing confirms that ILP consistently achieves optimal access point allocation while maintaining superior routing efficiency. Additionally, a novel quality assessment metric quantifies sensor grouping effectiveness, revealing that ILP-based clustering advantages become increasingly pronounced with higher sensor densities, providing substantial operational benefits for large-scale wireless sensor network deployments. Full article
(This article belongs to the Section Propulsion Systems and Components)
19 pages, 3473 KB  
Article
Enhancing Instance Segmentation in High-Resolution Images Using Slicing-Aided Hyper Inference and Spatial Mask Merging Optimized via R-Tree Indexing
by Marko Mihajlovic and Marina Marjanovic
Mathematics 2025, 13(19), 3079; https://doi.org/10.3390/math13193079 - 25 Sep 2025
Abstract
Instance segmentation in high-resolution images is essential for applications such as remote sensing, medical imaging, and precision agriculture, yet remains challenging due to factors such as small object sizes, irregular shapes, and occlusions. Tiling-based approaches, such as Slicing-Aided Hyper Inference (SAHI), alleviate some [...] Read more.
Instance segmentation in high-resolution images is essential for applications such as remote sensing, medical imaging, and precision agriculture, yet remains challenging due to factors such as small object sizes, irregular shapes, and occlusions. Tiling-based approaches, such as Slicing-Aided Hyper Inference (SAHI), alleviate some of these challenges by processing smaller patches but introduce border artifacts and increased computational cost. Overlapping tiles can mitigate certain boundary effects but often result in duplicate detections and boundary inconsistencies, particularly along patch edges. Conventional deduplication techniques, including Non-Maximum Suppression (NMS) and Non-Mask Merging (NMM), rely on Intersection over Union (IoU) thresholds and frequently fail to merge fragmented or adjacent masks with low mutual IoU that nonetheless correspond to the same object. To address deduplication and mask fragmentation, Spatial Mask Merging (SMM) is proposed as a graph clustering approach that integrates pixel-level overlap and boundary distance metrics while using R-tree indexing for efficient candidate retrieval. SMM was evaluated on the iSAID benchmark using standard segmentation metrics, with tile overlap configurations systematically examined to determine the optimal setting for segmentation accuracy. The method achieved a nearly 7% increase in precision, with consistent gains in F1 score and Panoptic Quality over existing approaches. The integration of R-tree indexing facilitated faster candidate retrieval, enabling computational performance improvements over standard merging algorithms alongside the observed accuracy gains. Full article
Show Figures

Figure 1

36 pages, 35564 KB  
Article
Enhancing Soundscape Characterization and Pattern Analysis Using Low-Dimensional Deep Embeddings on a Large-Scale Dataset
by Daniel Alexis Nieto Mora, Leonardo Duque-Muñoz and Juan David Martínez Vargas
Mach. Learn. Knowl. Extr. 2025, 7(4), 109; https://doi.org/10.3390/make7040109 - 24 Sep 2025
Viewed by 48
Abstract
Soundscape monitoring has become an increasingly important tool for studying ecological processes and supporting habitat conservation. While many recent advances focus on identifying species through supervised learning, there is growing interest in understanding the soundscape as a whole while considering patterns that extend [...] Read more.
Soundscape monitoring has become an increasingly important tool for studying ecological processes and supporting habitat conservation. While many recent advances focus on identifying species through supervised learning, there is growing interest in understanding the soundscape as a whole while considering patterns that extend beyond individual vocalizations. This broader view requires unsupervised approaches capable of capturing meaningful structures related to temporal dynamics, frequency content, spatial distribution, and ecological variability. In this study, we present a fully unsupervised framework for analyzing large-scale soundscape data using deep learning. We applied a convolutional autoencoder (Soundscape-Net) to extract acoustic representations from over 60,000 recordings collected across a grid-based sampling design in the Rey Zamuro Reserve in Colombia. These features were initially compared with other audio characterization methods, showing superior performance in multiclass classification, with accuracies of 0.85 for habitat cover identification and 0.89 for time-of-day classification across 13 days. For the unsupervised study, optimized dimensionality reduction methods (Uniform Manifold Approximation and Projection and Pairwise Controlled Manifold Approximation and Projection) were applied to project the learned features, achieving trustworthiness scores above 0.96. Subsequently, clustering was performed using KMeans and Density-Based Spatial Clustering of Applications with Noise (DBSCAN), with evaluations based on metrics such as the silhouette, where scores above 0.45 were obtained, thus supporting the robustness of the discovered latent acoustic structures. To interpret and validate the resulting clusters, we combined multiple strategies: spatial mapping through interpolation, analysis of acoustic index variance to understand the cluster structure, and graph-based connectivity analysis to identify ecological relationships between the recording sites. Our results demonstrate that this approach can uncover both local and broad-scale patterns in the soundscape, providing a flexible and interpretable pathway for unsupervised ecological monitoring. Full article
Show Figures

Figure 1

24 pages, 68460 KB  
Article
Cell Detection in Biomedical Immunohistochemical Images Using Unsupervised Segmentation and Deep Learning
by Zakaria A. Al-Tarawneh, Ahmad S. Tarawneh, Almoutaz Mbaidin, Manuel Fernández-Delgado, Pilar Gándara-Vila, Ahmad Hassanat and Eva Cernadas
Electronics 2025, 14(18), 3705; https://doi.org/10.3390/electronics14183705 - 18 Sep 2025
Viewed by 201
Abstract
Accurate computer-aided cell detection in immunohistochemistry images of different tissues is essential for advancing digital pathology and enabling large-scale quantitative analysis. This paper presents a comprehensive comparison of six unsupervised segmentation methods against two supervised deep learning approaches for cell detection in immunohistochemistry [...] Read more.
Accurate computer-aided cell detection in immunohistochemistry images of different tissues is essential for advancing digital pathology and enabling large-scale quantitative analysis. This paper presents a comprehensive comparison of six unsupervised segmentation methods against two supervised deep learning approaches for cell detection in immunohistochemistry images. The unsupervised methods are based on the continuity and similarity image properties, using techniques like clustering, active contours, graph cuts, superpixels, or edge detectors. The supervised techniques include the YOLO deep learning neural network and the U-Net architecture with heatmap-based localization for precise cell detection. All these methods were evaluated using leave-one-image-out cross-validation on the publicly available OIADB dataset, containing 40 oral tissue IHC images with over 40,000 manually annotated cells, assessed using precision, recall, and F1-score metrics. The U-Net model achieved the highest performance for cell nuclei detection, an F1-score of 75.3%, followed by YOLO with F1 = 74.0%, while the unsupervised OralImmunoAnalyser algorithm achieved only F1 = 46.4%. Although the two former are the best solutions for automatic pathological assessment in clinical environments, the latter could be useful for small research units without big computational resources. Full article
(This article belongs to the Special Issue Applications of Computer Vision, 3rd Edition)
Show Figures

Figure 1

25 pages, 3025 KB  
Article
QiGSAN: A Novel Probability-Informed Approach for Small Object Segmentation in the Case of Limited Image Datasets
by Andrey Gorshenin and Anastasia Dostovalova
Big Data Cogn. Comput. 2025, 9(9), 239; https://doi.org/10.3390/bdcc9090239 - 18 Sep 2025
Viewed by 231
Abstract
The paper presents a novel probability-informed approach to improving the accuracy of small object semantic segmentation in high-resolution imagery datasets with imbalanced classes and a limited volume of samples. Small objects imply having a small pixel footprint on the input image, for example, [...] Read more.
The paper presents a novel probability-informed approach to improving the accuracy of small object semantic segmentation in high-resolution imagery datasets with imbalanced classes and a limited volume of samples. Small objects imply having a small pixel footprint on the input image, for example, ships in the ocean. Informing in this context means using mathematical models to represent data in the layers of deep neural networks. Thus, the ensemble Quadtree-informed Graph Self-Attention Networks (QiGSANs) are proposed. New architectural blocks, informed by types of Markov random fields such as quadtrees, have been introduced to capture the interconnections between features in images at different spatial resolutions during the graph convolution of superpixel subregions. It has been analytically proven that quadtree-informed graph convolutional neural networks, a part of QiGSAN, tend to achieve faster loss reduction compared to convolutional architectures. This justifies the effectiveness of probability-informed modifications based on quadtrees. To empirically demonstrate the processing of real small data with imbalanced object classes using QiGSAN, two open datasets of synthetic aperture radar (SAR) imagery (up to 0.5 m per pixel) are used: the High Resolution SAR Images Dataset (HRSID) and the SAR Ship Detection Dataset (SSDD). The results of QiGSAN are compared to those of the transformers SegFormer and LWGANet, which constitute a new state-of-the-art model for UAV (Unmanned Aerial Vehicles) and SAR image processing. They are also compared to convolutional neural networks and several ensemble implementations using other graph neural networks. QiGSAN significantly increases the F1-score values by up to 63.93%, 48.57%, and 9.84% compared to transformers, convolutional neural networks, and other ensemble architectures, respectively. QiGSAN outperformed the base segmentors with the mIOU (mean intersection-over-union) metric too: the highest increase was 35.79%. Therefore, our approach to knowledge extraction using mathematical models allows us to significantly improve modern computer vision techniques for imbalanced data. Full article
Show Figures

Figure 1

15 pages, 364 KB  
Article
Graph-Theoretic Perspectives on Fixed Points in Double-Composed Metric Spaces
by Nizar Souayah
Axioms 2025, 14(9), 698; https://doi.org/10.3390/axioms14090698 - 16 Sep 2025
Viewed by 228
Abstract
This study explores the development of fixed-point results in the setting of the recently proposed double-composed metric spaces. We establish conditions ensuring both existence and uniqueness of fixed points for several types of contractive mappings defined on such spaces. To enrich the analysis, [...] Read more.
This study explores the development of fixed-point results in the setting of the recently proposed double-composed metric spaces. We establish conditions ensuring both existence and uniqueness of fixed points for several types of contractive mappings defined on such spaces. To enrich the analysis, the space is further equipped with a graph structure through the use of concepts from graph theory, leading to the formulation of two novel fixed-point theorems. An illustrative example is also provided to highlight the applicability and relevance of the obtained results. Full article
(This article belongs to the Special Issue Research in Fixed Point Theory and Its Applications)
Show Figures

Figure 1

25 pages, 2747 KB  
Article
A Dynamic Information-Theoretic Network Model for Systemic Risk Assessment with an Application to China’s Maritime Sector
by Lin Xiao, Arash Sioofy Khoojine, Hao Chen and Congyin Wang
Mathematics 2025, 13(18), 2959; https://doi.org/10.3390/math13182959 - 12 Sep 2025
Viewed by 335
Abstract
This paper develops a dynamic information-theoretic network framework to quantify systemic risk in China’s maritime–commodity nexus with a focus on the Yangtze River Basin using eight monthly indicators, CCFI, CBCFI, BDI, YRCFI, GAUP, MPCT, CPUS, and ASMC. We resample, impute, standardize, and difference [...] Read more.
This paper develops a dynamic information-theoretic network framework to quantify systemic risk in China’s maritime–commodity nexus with a focus on the Yangtze River Basin using eight monthly indicators, CCFI, CBCFI, BDI, YRCFI, GAUP, MPCT, CPUS, and ASMC. We resample, impute, standardize, and difference series to achieve stationary time series. Nonlinear interdependencies are estimated via KSG mutual information (MI) within sliding windows; networks are filtered using the Planar Maximally Filtered Graph (PMFG) with bootstrap edge validation (95th percentile) and benchmarked against the MST. Average MI indicates moderate yet heterogeneous dependence (about 0.13–0.17), revealing a container/port core (CCFI–YRCFI–MPCT), a bulk/energy spine (BDI–CPUS), and commodity bridges via GAUP. Dynamic PMFG metrics show a generally resilient but episodically vulnerable structure: density and compactness decline in turbulence. Stress tests demonstrate high redundancy to diffuse link failures (connectivity largely intact until ∼70–80% edge removal) but pronounced sensitivity of diffusion capacity to targeted multi-node outages. Early-warning indicators based on entropy rate and percolation threshold Z-scores flag recurring windows of elevated fragility; change point detection evaluation of both metrics isolates clustered regime shifts (2015–2016, 2018–2019, 2021–2022, and late 2023–2024). A Systemic Importance Index (SII) combining average centrality and removal impact ranks MPCT and CCFI as most critical, followed by BDI, with GAUP/CPUS mid-peripheral and ASMC peripheral. The findings imply that safeguarding port throughput and stabilizing container freight conditions deliver the greatest resilience gains, while monitoring bulk/energy linkages is essential when macro shocks synchronize across markets. Full article
(This article belongs to the Section E: Applied Mathematics)
Show Figures

Figure 1

21 pages, 3805 KB  
Article
GraphTrace: A Modular Retrieval Framework Combining Knowledge Graphs and Large Language Models for Multi-Hop Question Answering
by Anna Osipjan, Hanieh Khorashadizadeh, Akasha-Leonie Kessel, Sven Groppe and Jinghua Groppe
Computers 2025, 14(9), 382; https://doi.org/10.3390/computers14090382 - 11 Sep 2025
Viewed by 490
Abstract
This paper introduces GraphTrace, a novel retrieval framework that integrates a domain-specific knowledge graph (KG) with a large language model (LLM) to improve information retrieval for complex, multi-hop queries. Built on structured economic data related to the COVID-19 pandemic, GraphTrace adopts a modular [...] Read more.
This paper introduces GraphTrace, a novel retrieval framework that integrates a domain-specific knowledge graph (KG) with a large language model (LLM) to improve information retrieval for complex, multi-hop queries. Built on structured economic data related to the COVID-19 pandemic, GraphTrace adopts a modular architecture comprising entity extraction, path finding, query decomposition, semantic path ranking, and context aggregation, followed by LLM-based answer generation. GraphTrace is compared against baseline retrieval-augmented generation (RAG) and graph-based RAG (GraphRAG) approaches in both retrieval and generation settings. Experimental results show that GraphTrace consistently outperforms the baselines across evaluation metrics, particularly in handling mid-complexity (5–6-hop) queries and achieving top scores in directness during the generation evaluation. These gains are attributed to GraphTrace’s alignment of semantic reasoning with structured KG traversal, combining modular components for more targeted and interpretable retrieval. Full article
Show Figures

Figure 1

Back to TopTop