Sign in to use this feature.

Years

Between: -

Subjects

remove_circle_outline
remove_circle_outline
remove_circle_outline
remove_circle_outline
remove_circle_outline
remove_circle_outline
remove_circle_outline

Journals

Article Types

Countries / Regions

Search Results (18)

Search Parameters:
Keywords = global exponential synchronization

Order results
Result details
Results per page
Select all
Export citation of selected articles as:
29 pages, 207628 KB  
Article
Stability Criteria for Nonlinear-Truncated V-Fractional-Order Derivative Systems with Applications to Synchronization
by Wengui Yang
Entropy 2026, 28(4), 399; https://doi.org/10.3390/e28040399 - 1 Apr 2026
Viewed by 228
Abstract
This paper investigates the stability of nonlinear systems with truncated V-fractional-order derivatives. Initially, based on the fundamental properties of V-fractional calculus, the Bellman–Gronwall inequality for V-fractional α-differentiable functions is derived. Subsequently, several sufficient conditions for the stability of the [...] Read more.
This paper investigates the stability of nonlinear systems with truncated V-fractional-order derivatives. Initially, based on the fundamental properties of V-fractional calculus, the Bellman–Gronwall inequality for V-fractional α-differentiable functions is derived. Subsequently, several sufficient conditions for the stability of the considered systems are established via the Lyapunov direct method. For practical applications, multiple synchronization criteria for drive-response systems are further deduced by leveraging the aforementioned stability results. Finally, numerical examples are presented to verify the effectiveness and feasibility of the main theoretical findings. Full article
(This article belongs to the Special Issue Nonlinear Dynamics of Complex Systems)
Show Figures

Figure 1

17 pages, 319 KB  
Article
Approximate Synchronization of Memristive Hopfield Neural Networks
by Yuncheng You
Axioms 2026, 15(3), 185; https://doi.org/10.3390/axioms15030185 - 4 Mar 2026
Viewed by 238
Abstract
Asymptotic synchronization is one of the essential differences between artificial neural networks and biologically inspired neural networks due to mismatches from the dynamical update of weight parameters and heterogeneous activations. In this paper, a new concept of approximate synchronization is proposed and investigated [...] Read more.
Asymptotic synchronization is one of the essential differences between artificial neural networks and biologically inspired neural networks due to mismatches from the dynamical update of weight parameters and heterogeneous activations. In this paper, a new concept of approximate synchronization is proposed and investigated for Hopfield neural networks coupled with nonlinear memristors. It is proved that global solution dynamics are robustly dissipative and a sharp ultimate bound is acquired. Through a priori uniform estimates on the interneuron differencing equations, it is rigorously and analytically shown that approximate synchronization to any prescribed small gap at an exponential convergence rate of the memristive Hopfield neural networks occurs if an explicitly computable threshold condition is satisfied by the interneuron coupling strength parameter. The main result is also extended to Hopfield neural networks with Hebbian learning rules for a broad range of applications in unsupervised learning. The contribution of this approximate synchronization framework and the analytic methodology in this work advance the exploration of asymptotic dynamics for more AI mathematical models. Full article
17 pages, 4421 KB  
Article
Input-Independent and Power-Efficient Time-Interleaved ADC Calibration Using Adaptive Kuramoto Synchronization
by Dongsuk Lee, Richelle L. Smith and Thomas H. Lee
Electronics 2026, 15(4), 787; https://doi.org/10.3390/electronics15040787 - 12 Feb 2026
Viewed by 408
Abstract
Timing skew is a critical bottleneck in high-speed Time-Interleaved (TI) Analog-to-Digital Converters (ADCs) that severely degrades dynamic range. This paper presents a mathematically rigorous, data-driven synchronization framework for calibrating effective sampling timing in TI-ADCs based on the Kuramoto oscillator model. Conventional clock-alignment methods [...] Read more.
Timing skew is a critical bottleneck in high-speed Time-Interleaved (TI) Analog-to-Digital Converters (ADCs) that severely degrades dynamic range. This paper presents a mathematically rigorous, data-driven synchronization framework for calibrating effective sampling timing in TI-ADCs based on the Kuramoto oscillator model. Conventional clock-alignment methods often fail to capture signal-path mismatches, such as sampling switch aperture delay, while correlation-based techniques suffer from signal-dependent “blind-spot” regions. Overcoming this fundamental limitation without analog complexity is achieved via a fully digital feedback loop where each sub-ADC channel is modeled as a coupled oscillator following discrete-time Kuramoto dynamics. Unlike traditional approaches that rely on auxiliary analog phase detectors, the proposed scheme utilizes the ADC outputs to estimate and correct the effective sampling instants directly. A Lyapunov-based stability analysis proves that global phase synchronization is guaranteed when the adaptive coupling strength exceeds a critical value Kc. Theoretical results show that the system ensures exponential convergence of phase alignment, driving the total inter-channel timing error toward zero without relying on input-signal statistics. Behavioral MATLAB R2025a simulations of a 12-bit, 4-channel, 10 GS/s TI ADC confirm the analytical predictions. The proposed Kuramoto-based calibration achieves a residual skew reduction of over 99% and an SFDR improvement of 55.12 dB compared to correlation-based methods, even at blind-spot input frequencies, while adaptively reducing digital control power through dynamic coupling adjustment. The study demonstrates that data-driven, synchronization-based calibration provides an input-independent, energy-efficient, and mathematically verifiable solution for system-level timing correction in TI ADCs. Full article
Show Figures

Figure 1

29 pages, 1457 KB  
Article
A Globally Exponential, Convergent, Adaptive Velocity Observation for Multiple Nonholonomic Mobile Robots with Discrete-Time Communications
by Man Liu, Xinghui Zhu and Haoyi Que
Appl. Sci. 2025, 15(17), 9646; https://doi.org/10.3390/app15179646 - 2 Sep 2025
Viewed by 813
Abstract
The widespread application of multi-agent robotic systems in domains such as agricultural collaboration and automation has accentuated the challenges faced in seeking to achieve rapid synchronization and sustain high-performance control under conditions where velocity states remain unmeasurable. To relieve these challenges, a synchronization [...] Read more.
The widespread application of multi-agent robotic systems in domains such as agricultural collaboration and automation has accentuated the challenges faced in seeking to achieve rapid synchronization and sustain high-performance control under conditions where velocity states remain unmeasurable. To relieve these challenges, a synchronization control framework is proposed for multi-agent systems, employing non-uniform sampling communication protocols. Initially, a state-variable transformation is applied to construct a composite Lyapunov function that integrates a sampling term. An explicit relation is then derived between the communication interval and the global exponential synchronization rate, thereby establishing a theoretical foundation for the design of non-periodic sampling-based control strategies. Second, a linear-state feedback controller is introduced, which balances convergence speed with the limited frequency of information updates, ensuring asymptotic stability even under prolonged sampling intervals. Third, a velocity observer was designed based on Immersion and Invariance (I&I) theory to solve the problem of unmeasurable velocity states, ensuring the exponential convergence of the estimation error. Finally, the simulation results demonstrate that, with sampling intervals of h[0.03,0.08] s, the position errors qiqd,i of all six robots converge to below 102 within 7 s; meanwhile, the velocity estimation errors decay to nearly zero within 7 s, confirming the effectiveness of the proposed method. The main contributions of this work can be summarized as follows: (1) a new I&I velocity observer is tailored for discrete-time communication; (2) rigorous proof of global exponential convergence is provided via a composite Lyapunov energy function; (3) a reproducible MATLAB simulation framework is presented that enhances both the verifiability and applicability of the proposed approach. Full article
Show Figures

Figure 1

17 pages, 1673 KB  
Article
Model-Driven Clock Synchronization Algorithms for Random Loss of GNSS Time Signals in V2X Communications
by Wei Hu, Jiajie Zhang and Ximing Cheng
Technologies 2025, 13(7), 273; https://doi.org/10.3390/technologies13070273 - 27 Jun 2025
Cited by 1 | Viewed by 1195
Abstract
Onboard Vehicle-to-Everything (V2X) communication technology is being widely implemented in domains such as intelligent driving, vehicle–road cooperation, and smart transportation. Nevertheless, time synchronization in V2X systems suffers from instability due to the random loss of Global Navigation Satellite System (GNSS) Pulse-Per-Second (PPS) signals. [...] Read more.
Onboard Vehicle-to-Everything (V2X) communication technology is being widely implemented in domains such as intelligent driving, vehicle–road cooperation, and smart transportation. Nevertheless, time synchronization in V2X systems suffers from instability due to the random loss of Global Navigation Satellite System (GNSS) Pulse-Per-Second (PPS) signals. To address this challenge, a model-driven local clock correction approach is proposed. Leveraging probability theory and mathematical statistics, models for the randomly lost GNSS PPS signals are developed. High-order polynomials are used to model local clocks. An optimized Kalman-filter-based time compensation algorithm is then devised to compensate for time errors during PPS signal loss. A software-based task-scheduling solution for precision-time synchronization is developed. An experimental testbed was then built to measure both terminal clocks and PPS signals. The proposed algorithm was integrated into the V2X terminals. Results show that the full-value PPS signals follow an exponential distribution. The onboard clock correction algorithm operates stably across three V2X terminals and accurately predicts clock variations. Furthermore, the virtual clocks achieve an average absolute error of 1.1 μs and a standard deviation of 16 μs, meeting the time synchronization requirements for V2X communication in intelligent connected vehicles. Full article
(This article belongs to the Special Issue Smart Transportation and Driving)
Show Figures

Figure 1

35 pages, 16066 KB  
Article
Global Exponential Synchronization of Delayed Quaternion-Valued Neural Networks via Decomposition and Non-Decomposition Methods and Its Application to Image Encryption
by Ramalingam Sriraman and Ohmin Kwon
Mathematics 2024, 12(21), 3345; https://doi.org/10.3390/math12213345 - 25 Oct 2024
Cited by 1 | Viewed by 1691
Abstract
With the rapid advancement of information technology, digital images such as medical images, grayscale images, and color images are widely used, stored, and transmitted. Therefore, protecting this type of information is a critical challenge. Meanwhile, quaternions enable image encryption algorithm (IEA) to be [...] Read more.
With the rapid advancement of information technology, digital images such as medical images, grayscale images, and color images are widely used, stored, and transmitted. Therefore, protecting this type of information is a critical challenge. Meanwhile, quaternions enable image encryption algorithm (IEA) to be more secure by providing a higher-dimensional mathematical system. Therefore, considering the importance of IEA and quaternions, this paper explores the global exponential synchronization (GES) problem for a class of quaternion-valued neural networks (QVNNs) with discrete time-varying delays. By using Hamilton’s multiplication rules, we first decompose the original QVNNs into equivalent four real-valued neural networks (RVNNs), which avoids non-commutativity difficulties of quaternions. This decomposition method allows the original QVNNs to be studied using their equivalent RVNNs. Then, by utilizing Lyapunov functions and the matrix measure method (MMM), some new sufficient conditions for GES of QVNNs under designed control are derived. In addition, the original QVNNs are examined using the non-decomposition method, and corresponding GES criteria are derived. Furthermore, this paper presents novel results and new insights into GES of QVNNs. Finally, two numerical verifications with simulation results are given to verify the feasibility of the obtained criteria. Based on the considered master–slave QVNNs, a new IEA for color images Mandrill (256 × 256), Lion (512 × 512), Peppers (1024 × 1024) is proposed. In addition, the effectiveness of the proposed IEA is verified by various experimental analysis. The experiment results show that the algorithm has good correlation coefficients (CCs), information entropy (IE) with an average of 7.9988, number of pixels change rate (NPCR) with average of 99.6080%, and unified averaged changed intensity (UACI) with average of 33.4589%; this indicates the efficacy of the proposed IEAs. Full article
Show Figures

Figure 1

9 pages, 342 KB  
Article
Globally Exponentially Attracting Sets and Heteroclinic Orbits Revealed
by Guiyao Ke
Mathematics 2024, 12(12), 1780; https://doi.org/10.3390/math12121780 - 7 Jun 2024
Viewed by 1403
Abstract
Motivated by the open problems on the global dynamics of the generalized four-dimensional Lorenz-like system, this paper deals with the existence of globally exponentially attracting sets and heteroclinic orbits by constructing a series of Lyapunov functions. Specifically, not only is a family of [...] Read more.
Motivated by the open problems on the global dynamics of the generalized four-dimensional Lorenz-like system, this paper deals with the existence of globally exponentially attracting sets and heteroclinic orbits by constructing a series of Lyapunov functions. Specifically, not only is a family of mathematical expressions of globally exponentially attracting sets derived, but the existence of a pair of orbits heteroclinic to S0 and S± is also proven with the aid of a Lyapunov function and the definitions of both the α-limit set and ω-limit set. Moreover, numerical examples are used to justify the theoretical analysis. Since the obtained results improve and complement the existing ones, they may provide support in chaos control, chaos synchronization, the Hausdorff and Lyapunov dimensions of strange attractors, etc. Full article
(This article belongs to the Section C2: Dynamical Systems)
Show Figures

Figure 1

25 pages, 8357 KB  
Article
Experimental Study on Adaptive Backstepping Synchronous following Control and Thrust Allocation for a Dynamic Positioning Vessel
by Changde Liu, Yufang Zhang, Min Gu, Longhui Zhang, Yanbin Teng and Fang Tian
J. Mar. Sci. Eng. 2024, 12(2), 203; https://doi.org/10.3390/jmse12020203 - 23 Jan 2024
Cited by 6 | Viewed by 1996
Abstract
Cargo transfer vessels (CTVs) are designed to transfer cargo from a floating production storage and offloading (FPSO) unit into conventional tankers. The dynamic positioning system allows the CTV to maintain a safe position relative to the FPSO unit using a flexible cargo transmission [...] Read more.
Cargo transfer vessels (CTVs) are designed to transfer cargo from a floating production storage and offloading (FPSO) unit into conventional tankers. The dynamic positioning system allows the CTV to maintain a safe position relative to the FPSO unit using a flexible cargo transmission pipe, and the CTV tows the tanker during operating conditions. The operation mode can be considered a synchronization tracking control problem. In this paper, a synchronization control strategy is presented based on the virtual leader–follower configuration and an adaptive backstepping control method. The position and heading of the following vessel are proven to be able to globally exponentially converge to the virtual ship by the contraction theorem. Then, the optimization problem of the desired thrust command from the controller is solved through an improved firefly algorithm, which fully considers the physical characteristics of the azimuth thruster and the thrust forbidden zone caused by hydrodynamic interference. To validate the effectiveness of the presented synchronous following strategy and thrust allocation algorithm, a scale model experiment is carried out under a sea state of 4 in a seakeeping basin. The experimental results show that the CTV can effectively maintain a safe distance of 100 m with a maximum deviation of 3.78 m and an average deviation of only 0.99 m in the wave heading 180°, which effectively verifies that the control strategy proposed in this paper can achieve safe and cooperative operation between the CTV and the FPSO unit. To verify the advantages of the SAF algorithm in the thrust allocation, the SQP algorithm and PSO algorithm are used to compare the experimental results. The SAF algorithm outperforms the SQP and PSO algorithms in longitudinal and lateral forces, with the R-squared (R2) values of 0.9996 (yaw moment), 0.9878 (sway force), and 0.9596 (surge force) for the actual thrusts and control commands in the wave heading 180°. The experimental results can provide technical support to improve the safe operation of CTVs. Full article
Show Figures

Figure 1

23 pages, 4086 KB  
Article
Sensorless HSPMSM Control of an Improved SMC and EKF Based on Immune PSO
by Keqilao Meng, Qing Liu, Zhanqiang Zhang, Huijuan Wu, Haining Feng and Taifeng Kang
Appl. Sci. 2023, 13(22), 12407; https://doi.org/10.3390/app132212407 - 16 Nov 2023
Cited by 9 | Viewed by 2021
Abstract
Here, for controlling a high-speed flywheel permanent magnet synchronous motor (HSPMSM), a position sensorless control method for estimation of motor rotor position and speed is proposed to address the problems faced by mechanical position sensors of high cost, large size, and poor interference [...] Read more.
Here, for controlling a high-speed flywheel permanent magnet synchronous motor (HSPMSM), a position sensorless control method for estimation of motor rotor position and speed is proposed to address the problems faced by mechanical position sensors of high cost, large size, and poor interference immunity. The extended Kalman filter (EKF) has difficulty obtaining the optimal covariance matrix when performing state estimation. Therefore, the particle swarm algorithm (PSO) with an immune mechanism is used to optimize the covariance matrix of the EKF. However, the EKF algorithm makes the system less robust due to its delay effect. Based on the traditional sliding mode control rate, the exponential convergence law is improved, and the continuous function sat(s) is used instead of the symbolic function sgn(s). This improves the convergence law and proves the asymptotic stability of the designed sliding mode variable structure controller based on Lyapunov’s stability theorem. Then, the novel control law is applied to the sliding mode surface (SMS). An ordinary sliding mode controller (OSMC) using a linear sliding mode controller (LSMC), a global sliding mode controller (GSMC) using a global sliding mode surface (GSMS), and an integral sliding mode controller (ISMC) using an integral sliding mode surface (ISMS) are designed for improving control. Joint simulation in MATLAB and Simulink verifies that the optimized EKF based on the immune PSO can improve precision and accuracy for controlling the electronic rotor position and speed. Comparing the new sliding mode controller with a traditional PI controller reveals that the proposed system has stronger resistance to load disturbance and better robustness. Full article
Show Figures

Figure 1

18 pages, 3901 KB  
Article
Metabolomics Reveals Strain-Specific Cyanopeptide Profiles and Their Production Dynamics in Microcystis aeruginosa and M. flos-aquae
by Kimberlynn McDonald, Natasha DesRochers, Justin B. Renaud, Mark W. Sumarah and David R. McMullin
Toxins 2023, 15(4), 254; https://doi.org/10.3390/toxins15040254 - 31 Mar 2023
Cited by 14 | Viewed by 3590
Abstract
Cyanobacterial blooms that release biologically active metabolites into the environment are increasing in frequency as a result of the degradation of freshwater ecosystems globally. The microcystins are one group of cyanopeptides that are extensively studied and included in water quality risk management frameworks. [...] Read more.
Cyanobacterial blooms that release biologically active metabolites into the environment are increasing in frequency as a result of the degradation of freshwater ecosystems globally. The microcystins are one group of cyanopeptides that are extensively studied and included in water quality risk management frameworks. Common bloom-forming cyanobacteria produce incredibly diverse mixtures of other cyanopeptides; however, data on the abundance, distribution, and biological activities of non-microcystin cyanopeptides are limited. We used non-targeted LC-MS/MS metabolomics to study the cyanopeptide profiles of five Microcystis strains: four M. aeruginosa and one M. flos-aquae. Multivariate analysis and GNPS molecular networking demonstrated that each Microcystis strain produced a unique mixture of cyanopeptides. In total, 82 cyanopeptides from the cyanopeptolin (n = 23), microviridin (n = 18), microginin (n = 12), cyanobactin (n = 14), anabaenopeptin (n = 6), aeruginosin (n = 5), and microcystin (n = 4) classes were detected. Microcystin diversity was low compared with the other detected cyanopeptide classes. Based on surveys of the literature and spectral databases, most cyanopeptides represented new structures. To identify growth conditions yielding high amounts of multiple cyanopeptide groups, we next examined strain-specific cyanopeptide co-production dynamics for four of the studied Microcystis strains. When strains were cultivated in two common Microcystis growth media (BG-11 and MA), the qualitative cyanopeptides profiles remained unchanged throughout the growth cycle. For each of the cyanopeptide groups considered, the highest relative cyanopeptide amounts were observed in the mid-exponential growth phase. The outcomes of this study will guide the cultivation of strains producing common and abundant cyanopeptides contaminating freshwater ecosystems. The synchronous production of each cyanopeptide group by Microcystis highlights the need to make more cyanopeptide reference materials available to investigate their distributions and biological functions. Full article
(This article belongs to the Special Issue Cyanobacterial Toxins: Toxins Production and Risk Assessment)
Show Figures

Figure 1

14 pages, 633 KB  
Article
Redundancy-Reduction-Based Hierarchical Design in Synchronization of Multi-Agent Systems
by Haoyi Que, Zhaowen Xu and Hongye Su
Appl. Sci. 2023, 13(4), 2486; https://doi.org/10.3390/app13042486 - 15 Feb 2023
Viewed by 2036
Abstract
In this paper, a layered, undirected-network-structure, optimization approach is proposed to reduce the redundancy in multi-agent information synchronization and improve the computing rate. Based on the traversing binary tree and aperiodic sampling of the complex delayed networks theory, we proposed a network-partitioning method [...] Read more.
In this paper, a layered, undirected-network-structure, optimization approach is proposed to reduce the redundancy in multi-agent information synchronization and improve the computing rate. Based on the traversing binary tree and aperiodic sampling of the complex delayed networks theory, we proposed a network-partitioning method for pinning dynamic networks, with a more simplified, analyzable structure, and all of the traversed nodes are mathematically asymptotically synchronized at the same time. Moreover, a systematic implementable approach is proposed for application. The approach could be separated into two main steps: the first is a method of network partition that reduces the trivial interaction, which does not affect the information traversal, and the second involves applying the time-dependent functional approach of Lyapunov to give global exponential conditions, under the criteria for the synchronization of multiple agents, with a lower conservatism of the decision variables compared to some other results, so that the information available could fully benefit from the actual discrete-time communication pattern. Both mathematical proofs and numerical example evidence are presented to demonstrate the effectiveness of the implemented approach. This class contains a number of practically interesting systems, for instance, unmanned aerial vehicle (UAV) formation systems or the ground-air coordinated unmanned aerial system. Full article
(This article belongs to the Special Issue Advances in Unmanned Aerial Vehicle (UAV) System)
Show Figures

Figure 1

10 pages, 459 KB  
Article
On the Dynamics of New 4D and 6D Hyperchaotic Systems
by Samia Rezzag and Fuchen Zhang
Mathematics 2022, 10(19), 3668; https://doi.org/10.3390/math10193668 - 6 Oct 2022
Cited by 5 | Viewed by 2359
Abstract
One of the most interesting problems is the investigation of the boundaries of chaotic or hyperchaotic systems. In addition to estimating the Lyapunov and Hausdorff dimensions, it can be applied in chaos control and chaos synchronization. In this paper, by means of the [...] Read more.
One of the most interesting problems is the investigation of the boundaries of chaotic or hyperchaotic systems. In addition to estimating the Lyapunov and Hausdorff dimensions, it can be applied in chaos control and chaos synchronization. In this paper, by means of the analytical optimization, comparison principle, and generalized Lyapunov function theory, we find the ultimate bound set for a new six-dimensional hyperchaotic system and the globally exponentially attractive set for a new four-dimensional Lorenz- type hyperchaotic system. The novelty of this paper is that it not only shows the 4D hyperchaotic system is globally confined but also presents a collection of global trapping regions of this system. Furthermore, it demonstrates that the trajectories of the 4D hyperchaotic system move at an exponential rate from outside the trapping zone to its inside. Finally, some numerical simulations are shown to demonstrate the efficacy of the findings. Full article
(This article belongs to the Topic Dynamical Systems: Theory and Applications)
Show Figures

Figure 1

12 pages, 1186 KB  
Article
Almost Anti-Periodic Oscillation Excited by External Inputs and Synchronization of Clifford-Valued Recurrent Neural Networks
by Weiwei Qi and Yongkun Li
Mathematics 2022, 10(15), 2764; https://doi.org/10.3390/math10152764 - 4 Aug 2022
Cited by 4 | Viewed by 2422
Abstract
The main purpose of this paper was to study the almost anti-periodic oscillation caused by external inputs and the global exponential synchronization of Clifford-valued recurrent neural networks with mixed delays. Since the space consists of almost anti-periodic functions has no vector space structure, [...] Read more.
The main purpose of this paper was to study the almost anti-periodic oscillation caused by external inputs and the global exponential synchronization of Clifford-valued recurrent neural networks with mixed delays. Since the space consists of almost anti-periodic functions has no vector space structure, firstly, we prove that the network under consideration possesses a unique bounded continuous solution by using the contraction fixed point theorem. Then, by using the inequality technique, it was proved that the unique bounded continuous solution is also an almost anti-periodic solution. Secondly, taking the neural network that was considered as the driving system, introducing the corresponding response system and designing the appropriate controller, some sufficient conditions for the global exponential synchronization of the driving-response system were obtained by employing the inequality technique. When the system we consider degenerated into a real-valued system, our results were considered new. Finally, the validity of the results was verified using a numerical example. Full article
(This article belongs to the Topic Advances in Artificial Neural Networks)
Show Figures

Figure 1

12 pages, 286 KB  
Article
Impulsive Memristive Cohen–Grossberg Neural Networks Modeled by Short Term Generalized Proportional Caputo Fractional Derivative and Synchronization Analysis
by Ravi Agarwal and Snezhana Hristova
Mathematics 2022, 10(13), 2355; https://doi.org/10.3390/math10132355 - 5 Jul 2022
Cited by 7 | Viewed by 1988
Abstract
The synchronization problem for impulsive fractional-order Cohen–Grossberg neural networks with generalized proportional Caputo fractional derivatives with changeable lower limit at any point of impulse is studied. We consider the cases when the control input is acting continuously as well as when it is [...] Read more.
The synchronization problem for impulsive fractional-order Cohen–Grossberg neural networks with generalized proportional Caputo fractional derivatives with changeable lower limit at any point of impulse is studied. We consider the cases when the control input is acting continuously as well as when it is acting instantaneously at the impulsive times. We defined the global Mittag–Leffler synchronization as a generalization of exponential synchronization. We obtained some sufficient conditions for Mittag–Leffler synchronization. Our results are illustrated with examples. Full article
(This article belongs to the Special Issue Nonlinear Equations: Theory, Methods, and Applications II)
16 pages, 2399 KB  
Article
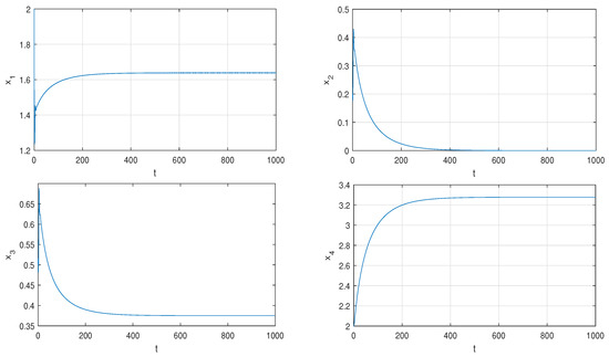
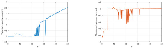
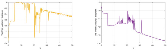
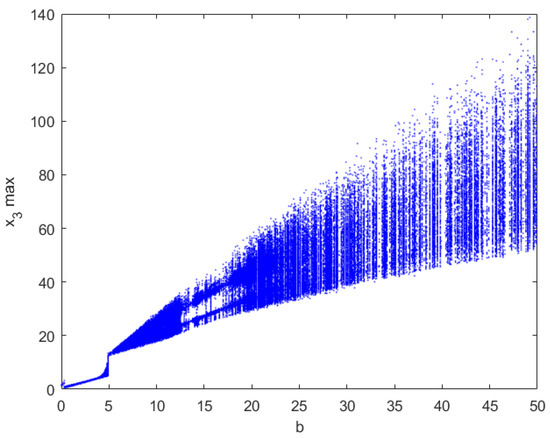
Analysis and Synchronization of a New Hyperchaotic System with Exponential Term
by Shunjie Li, Yawen Wu and Xuebing Zhang
Mathematics 2021, 9(24), 3281; https://doi.org/10.3390/math9243281 - 17 Dec 2021
Cited by 11 | Viewed by 2507
Abstract
In this paper, a new four-dimensional hyperchaotic system with an exponential term is presented. The basic dynamical properties and chaotic behavior of the new attractor are analyzed. It can be shown that this system possesses either a line of equilibria or a single [...] Read more.
In this paper, a new four-dimensional hyperchaotic system with an exponential term is presented. The basic dynamical properties and chaotic behavior of the new attractor are analyzed. It can be shown that this system possesses either a line of equilibria or a single one. The existence of hyperchaos is confirmed by its Lyapunov exponents. Moreover, the synchronization problem for the hyperchaotic system is studied. Based on the Lyapunov stability theory, an adaptive control law with two inputs is proposed to achieve the global synchronization. Numerical simulations are given to validate the correctness of the proposed control law. Full article
Show Figures

Figure 1

Back to TopTop