Sign in to use this feature.

Years

Between: -

Subjects

remove_circle_outline
remove_circle_outline
remove_circle_outline
remove_circle_outline
remove_circle_outline
remove_circle_outline
remove_circle_outline
remove_circle_outline

Journals

Article Types

Countries / Regions

Search Results (25)

Search Parameters:
Keywords = free-air CO2 enrichment (FACE)

Order results
Result details
Results per page
Select all
Export citation of selected articles as:
18 pages, 3154 KB  
Article
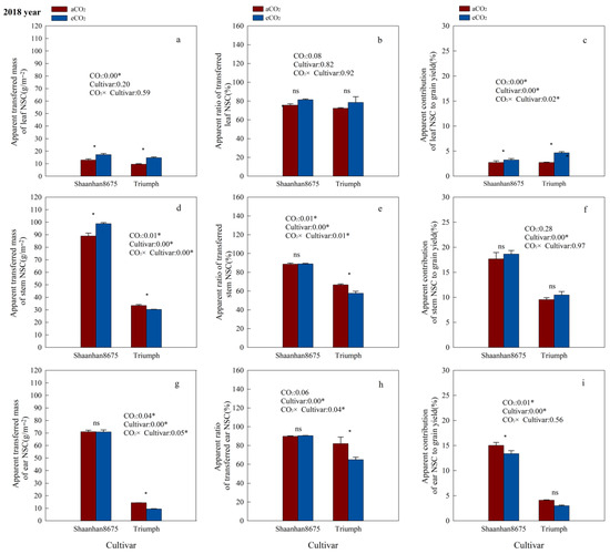
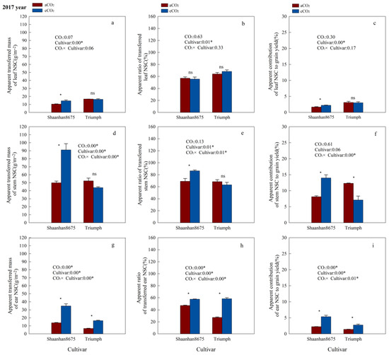
Does a Large-Ear Wheat Cultivar Benefit More from Elevated CO2 than a Multiple-Ear Wheat for the Utilization of Non-Structural Carbohydrates?
by Yuting Li, Han Yu, Yuqiao Xia, Zhenhua Zhang, Qiufeng Wang, Bingjian Sha and Han Xue
Plants 2026, 15(3), 419; https://doi.org/10.3390/plants15030419 - 30 Jan 2026
Viewed by 63
Abstract
The effects of elevated CO2 concentration (eCO2) on the utilization of carbohydrates in wheat cultivars with different ear types remain poorly understood, despite the critical role of wheat ears as major carbohydrate sinks and the importance of ear type as [...] Read more.
The effects of elevated CO2 concentration (eCO2) on the utilization of carbohydrates in wheat cultivars with different ear types remain poorly understood, despite the critical role of wheat ears as major carbohydrate sinks and the importance of ear type as a key growth trait influencing crop yield. In this study, a free-air CO2 enrichment (CAAS-FACE) facility was utilized to investigate the effects of eCO2 on the non-structural carbohydrate (NSC) utilization in two wheat cultivars: a large-ear cultivar (cv. Shaanhan 8675) and a multiple-ear cultivar (cv. Triumph). The findings demonstrated that under eCO2 conditions, Shaanhan 8675 exhibited enhanced NSC availability and more efficient remobilization from vegetative organs to grains. This improvement was associated with sustained photosynthetic activity in the leaves during the grain-filling period, which contributed to better grain filling. Consequently, both grain NSC accumulation and kernel weight were significantly increased in Shaanhan 8675 under eCO2. In contrast, the grain NSC accumulation in Triumph was constrained by limited translocation of NSC from the stem and ear to the grain under eCO2 environment. Overall, our findings suggest that CO2 enrichment has a pronounced positive effect on NSC utilization in large-ear wheat cultivars. These results contribute to strategies aimed at ensuring stable and high wheat yields under future climatic conditions. Full article
(This article belongs to the Special Issue Improvement of Agronomic Traits and Nutritional Quality of Wheat)
Show Figures

Figure 1

18 pages, 1625 KB  
Review
Photosynthetic Responses of Forests to Elevated CO2: A Cross-Scale Constraint Framework and a Roadmap for a Multi-Stressor World
by Nan Xu, Tiane Wang, Yuan Wang, Juexian Dong and Wenhui Bao
Biology 2025, 14(11), 1534; https://doi.org/10.3390/biology14111534 - 1 Nov 2025
Viewed by 824
Abstract
Rising atmospheric CO2 is expected to fertilize forest photosynthesis; yet, ecosystem-scale observations often reveal muted responses, creating a critical knowledge gap in global climate projections. In this review, we explore this paradox by moving beyond the traditional ‘CO2 fertilization’ paradigm. We [...] Read more.
Rising atmospheric CO2 is expected to fertilize forest photosynthesis; yet, ecosystem-scale observations often reveal muted responses, creating a critical knowledge gap in global climate projections. In this review, we explore this paradox by moving beyond the traditional ‘CO2 fertilization’ paradigm. We propose an integrated framework that positions elevated CO2 as a complex modulator whose net effect is determined by a hierarchy of cross-scale constraints. At the plant level, photosynthetic acclimation acts as a universal first brake on the initial biochemical potential. At the ecosystem level, nutrient availability—primarily nitrogen in temperate/boreal systems and phosphorus in the tropics—emerges as the dominant bottleneck limiting long-term productivity gains. Furthermore, interactions with the water cycle, such as increased water-use efficiency, create state-dependent dynamic responses. By synthesizing evidence from pivotal Free-Air CO2 Enrichment (FACE) experiments, we systematically evaluate these constraining factors. We conclude that accurately predicting the future of the forest carbon sink necessitates a paradigm shift: from single-factor analysis to multi-stressor approaches, and from ecosystem-scale observations to an integrated understanding that links these phenomena to their underlying molecular and genetic mechanisms. This review provides a roadmap for future research and informs more realistic strategies for forest management and climate mitigation in a high-CO2 world. Full article
(This article belongs to the Special Issue Adaptation Mechanisms of Forest Trees to Abiotic Stress)
Show Figures

Figure 1

26 pages, 11108 KB  
Article
Warming in the Maternal Environment Alters Seed Performance and Genetic Diversity of Stylosanthes capitata, a Tropical Legume Forage
by Priscila Marlys Sá Rivas, Fernando Bonifácio-Anacleto, Ivan Schuster, Carlos Alberto Martinez and Ana Lilia Alzate-Marin
Genes 2025, 16(8), 913; https://doi.org/10.3390/genes16080913 - 30 Jul 2025
Viewed by 1107
Abstract
Background/Objectives: Global warming and rising CO2 concentrations pose significant challenges to plant systems. Amid these pressures, this study contributes to understanding how tropical species respond by simultaneously evaluating reproductive and genetic traits. It specifically investigates the effects of maternal exposure to [...] Read more.
Background/Objectives: Global warming and rising CO2 concentrations pose significant challenges to plant systems. Amid these pressures, this study contributes to understanding how tropical species respond by simultaneously evaluating reproductive and genetic traits. It specifically investigates the effects of maternal exposure to warming and elevated CO2 on progeny physiology, genetic diversity, and population structure in Stylosanthes capitata, a resilient forage legume native to Brazil. Methods: Maternal plants were cultivated under controlled treatments, including ambient conditions (control), elevated CO2 at 600 ppm (eCO2), elevated temperature at +2 °C (eTE), and their combined exposure (eTEeCO2), within a Trop-T-FACE field facility (Temperature Free-Air Controlled Enhancement and Free-Air Carbon Dioxide Enrichment). Seed traits (seeds per inflorescence, hundred-seed mass, abortion, non-viable seeds, coat color, germination at 32, 40, 71 weeks) and abnormal seedling rates were quantified. Genetic diversity metrics included the average (A) and effective (Ae) number of alleles, observed (Ho) and expected (He) heterozygosity, and inbreeding coefficient (Fis). Population structure was assessed using Principal Coordinates Analysis (PCoA), Analysis of Molecular Variance (AMOVA), number of migrants per generation (Nm), and genetic differentiation index (Fst). Two- and three-way Analysis of Variance (ANOVA) were used to evaluate factor effects. Results: Compared to control conditions, warming increased seeds per inflorescence (+46%), reduced abortion (−42.9%), non-viable seeds (−57%), and altered coat color. The germination speed index (GSI +23.5%) and germination rate (Gr +11%) improved with warming; combined treatments decreased germination time (GT −9.6%). Storage preserved germination traits, with warming enhancing performance over time and reducing abnormal seedlings (−54.5%). Conversely, elevated CO2 shortened GSI in late stages, impairing germination efficiency. Warming reduced Ae (−35%), He (−20%), and raised Fis (maternal 0.50, progeny 0.58), consistent with the species’ mixed mating system; A and Ho were unaffected. Allele frequency shifts suggested selective pressure under eTE. Warming induced slight structure in PCoA, and AMOVA detected 1% (maternal) and 9% (progeny) variation. Fst = 0.06 and Nm = 3.8 imply environmental influence without isolation. Conclusions: Warming significantly shapes seed quality, reproductive success, and genetic diversity in S. capitata. Improved reproduction and germination suggest adaptive advantages, but higher inbreeding and reduced diversity may constrain long-term resilience. The findings underscore the need for genetic monitoring and broader genetic bases in cultivars confronting environmental stressors. Full article
(This article belongs to the Special Issue Genetics and Breeding of Forage)
Show Figures

Graphical abstract

16 pages, 8394 KB  
Article
Design of a Low-Cost Open-Top Chamber Facility for the Investigation of the Effects of Elevated Carbon Dioxide Levels on Plant Growth
by Nicola Novello, Mani Naiker, Haydee Laza, Kerry B. Walsh and Sabine Tausz-Posch
Hardware 2024, 2(2), 138-153; https://doi.org/10.3390/hardware2020007 - 15 May 2024
Cited by 3 | Viewed by 4234
Abstract
Open-top chambers (OTCs) consist of semi-open enclosures used to investigate the impact of elevated carbon dioxide [CO2] on crops and larger plant communities. OTCs have lower operational costs than alternatives such as controlled environment cabinets and Free Air Carbon Dioxide Enrichment [...] Read more.
Open-top chambers (OTCs) consist of semi-open enclosures used to investigate the impact of elevated carbon dioxide [CO2] on crops and larger plant communities. OTCs have lower operational costs than alternatives such as controlled environment cabinets and Free Air Carbon Dioxide Enrichment (FACE). A low-cost design is presented for an OTC with a surface area of 1.2 m2 and a target elevated CO2 concentration [CO2] of 650 µmol mol−1 adequate for trials involving cereals or grain legumes. The elevated CO2 chambers maintained an average concentration ± standard deviation of 652 ± 37 µmol mol−1 despite wind and air turbulences, in comparison to 407 ± 10 µmol mol−1 for non-enriched chambers. Relative to ambient (non-chamber) conditions, plants in the chambers were exposed to slightly warmer conditions (2.3 °C in daylight hours; 0.6 °C during night environment). The materials’ cost for constructing the chambers was USD 560 per chamber, while the CO2 control system for four chambers dedicated to CO2-enriched conditions cost USD 5388. To maintain the concentration of 650 µmol mol−1 during daylight hours, each chamber consumed 1.38 L min−1 of CO2. This means that a size G CO2 cylinder was consumed in 8–9 days in the operation of two chambers (at USD 40). Full article
Show Figures

Figure 1

19 pages, 3976 KB  
Article
Climate Change and an Agronomic Journey from the Past to the Present for the Future: A Past Reference Investigation and Current Experiment (PRICE) Study
by Hyunkyeong Min, Hyeon-Seok Lee, Chun-Kuen Lee, Woo-Jung Choi, Bo-Keun Ha, Hyeongju Lee, Seo-Ho Shin, Kyu-Nam An, Dong-Kwan Kim, Oh-Do Kwon, Jonghan Ko, Jaeil Cho and Han-Yong Kim
Agronomy 2023, 13(11), 2692; https://doi.org/10.3390/agronomy13112692 - 26 Oct 2023
Cited by 1 | Viewed by 1734
Abstract
According to numerous chamber and free-air CO2 enrichment (FACE) studies with artificially raised CO2 concentration and/or temperature, it appears that increasing atmospheric CO2 concentrations ([CO2]) stimulates crop yield. However, there is still controversy about the extent of the [...] Read more.
According to numerous chamber and free-air CO2 enrichment (FACE) studies with artificially raised CO2 concentration and/or temperature, it appears that increasing atmospheric CO2 concentrations ([CO2]) stimulates crop yield. However, there is still controversy about the extent of the yield stimulation by elevating [CO2] and concern regarding the potential adverse effects when temperature rises concomitantly. Here, we tested the effects of natural elevated [CO2] (ca. 120 ppm above the ambient level in 100 years ago) and warming (ca. 1.7–3.2 °C above the ambient level 100 years ago) on rice growth and yield over three crop seasons via a past reference investigation and current experiment (PRICE) study. In 2020–2022, the rice cultivar Tamanishiki (Oryza sativa, ssp. japonica) was grown in Wagner’s pots (1/2000 a) at the experiment fields of Chonnam National University (35°10′ N, 126°53′ E), Gwangju, Korea, according to the pot trial methodology of the reference experiment conducted in 1920–1922. Elevated [CO2] and temperature over the last 100 years significantly stimulated plant height (13.4% on average), tiller number (11.5%), and shoot biomass (10.8%). In addition, elevated [CO2] and warming resulted in a marked acceleration of flowering phenology (6.8% or 5.1 days), potentially leading to adverse effects on tiller number and grain yield. While the harvest index exhibited a dramatic reduction (12.2%), grain yield remained unchanged with elevated [CO2] and warming over the last century. The response of these crop parameters to elevated [CO2] and warming was highly sensitive to sunshine duration during the period from transplanting to heading. Despite the pot-based observations, considering a piecewise response pattern of C3 crop productivity to [CO2] of <500 ppm, our observations demonstrate realistic responses of rice crops to elevated [CO2] (+120 ppm) and moderate warming (+1.7–3.2 °C) in the absence of adaptation measures (e.g., cultivars and agronomic management practices). Hence, our results suggest that the PRICE platform may provide a promising way to better understand and forecast the net impact of climate change on major crops that have historical and experimental archived data, like rice, wheat, and soybean. Full article
Show Figures

Figure 1

11 pages, 1692 KB  
Article
Differential Effect of Free-Air CO2 Enrichment (FACE) in Different Organs and Growth Stages of Two Cultivars of Durum Wheat
by Angie L. Gámez, Xue Han and Iker Aranjuelo
Plants 2023, 12(3), 686; https://doi.org/10.3390/plants12030686 - 3 Feb 2023
Cited by 5 | Viewed by 2613
Abstract
Wheat is a target crop within the food security context. The responses of wheat plants under elevated concentrations of CO2 (e[CO2]) have been previously studied; however, few of these studies have evaluated several organs at different phenological stages [...] Read more.
Wheat is a target crop within the food security context. The responses of wheat plants under elevated concentrations of CO2 (e[CO2]) have been previously studied; however, few of these studies have evaluated several organs at different phenological stages simultaneously under free-air CO2 enrichment (FACE) conditions. The main objective of this study was to evaluate the effect of e[CO2] in two cultivars of wheat (Triumph and Norin), analyzed at three phenological stages (elongation, anthesis, and maturation) and in different organs at each stage, under FACE conditions. Agronomic, biomass, physiological, and carbon (C) and nitrogen (N) dynamics were examined in both ambient CO2 (a[CO2]) fixed at 415 µmol mol−1 CO2 and e[CO2] at 550 µmol mol−1 CO2. We found minimal effect of e[CO2] compared to a[CO2] on agronomic and biomass parameters. Also, while exposure to 550 µmol mol−1 CO2 increased the photosynthetic rate of CO2 assimilation (An), the current study showed a diminishment in the maximum carboxylation (Vc,max) and maximum electron transport (Jmax) under e[CO2] conditions compared to a[CO2] at physiological level in both cultivars. However, even if no significant differences were detected between cultivars on photosynthetic machinery, differential responses between cultivars were detected in C and N dynamics at e[CO2]. Triumph showed starch accumulation in most organs during anthesis and maturation, but a decline in N content was observed. Contrastingly, in Norin, a decrease in starch content during the three stages and an increase in N content was observed. The amino acid content decreased in grain and shells at maturation in both cultivars, which might indicate a minimal translocation from source to sink organs. These results suggest a greater acclimation to e[CO2] enrichment in Triumph than Norin, because both the elongation stage and e[CO2] modified the source–sink relationship. According to the differences between cultivars, future studies should be performed to test genetic variation under FACE technology and explore the potential of cultivars to cope with projected climate scenarios. Full article
(This article belongs to the Special Issue Plant Responses to Future Climate Scenarios)
Show Figures

Figure 1

10 pages, 3395 KB  
Article
Effects of Elevated Atmospheric CO2 Concentration on Insect Herbivory and Nutrient Fluxes in a Mature Temperate Forest
by Aradhana J. Roberts, Liam M. Crowley, Jon P. Sadler, Tien T. T. Nguyen, Anna M. Gardner, Scott A. L. Hayward and Daniel B. Metcalfe
Forests 2022, 13(7), 998; https://doi.org/10.3390/f13070998 - 24 Jun 2022
Cited by 10 | Viewed by 3755 | Correction
Abstract
Insect herbivory is one of the most important ecological processes affecting plant–soil feedbacks and overall forest ecosystem health. In this study, we assess how elevated carbon dioxide (eCO2) impacts (i) leaf level insect herbivory and (ii) the stand-level herbivore-mediated transfer of [...] Read more.
Insect herbivory is one of the most important ecological processes affecting plant–soil feedbacks and overall forest ecosystem health. In this study, we assess how elevated carbon dioxide (eCO2) impacts (i) leaf level insect herbivory and (ii) the stand-level herbivore-mediated transfer of carbon (C) and nitrogen (N) from the canopy to the ground in a natural mature oak temperate forest community in central England at the Birmingham Institute of Forest Research Free Air CO2 Enrichment (BIFoR FACE) site. Recently abscised leaves were collected every two weeks through the growing season in August to December from 2017–2019, with the identification of four dominant species: Quercus robur (pedunculate oak), Acer pseudoplatanus (sycamore), Crataegus monogyna (common hawthorn) and Corylus avellana (hazel). The selected leaves were scanned and visually analyzed to quantify the leaf area loss from folivory monthly. Additionally, the herbivore-mediated transfer of C and N fluxes from the dominant tree species Q. robur was calculated from these leaf-level folivory estimates, the total foliar production and the foliar C and N contents. This study finds that the leaf-level herbivory at the BIFoR FACE has not changed significantly across the first 3 years of eCO2 treatment when assessed across all dominant tree species, although we detected significant changes under the eCO2 treatment for individual tree species and years. Despite the lack of any strong leaf-level herbivory response, the estimated stand-level foliar C and N transferred to the ground via herbivory was substantially higher under eCO2, mainly because there was a ~50% increase in the foliar production of Q. robur under eCO2. This result cautions against concluding much from either the presence or absence of leaf-level herbivory responses to any environmental effect, because their actual ecosystem effects are filtered through so many (usually unmeasured) factors. Full article
(This article belongs to the Special Issue Forest Ecosystem Biogeochemical Cycling and Climate Change)
Show Figures

Figure 1

56 pages, 6122 KB  
Article
Towards a Stochastic Model to Simulate Grapevine Architecture: A Case Study on Digitized Riesling Vines Considering Effects of Elevated CO2
by Dominik Schmidt, Katrin Kahlen, Christopher Bahr and Matthias Friedel
Plants 2022, 11(6), 801; https://doi.org/10.3390/plants11060801 - 17 Mar 2022
Cited by 6 | Viewed by 3287
Abstract
Modeling plant growth, in particular with functional-structural plant models, can provide tools to study impacts of changing environments in silico. Simulation studies can be used as pilot studies for reducing the on-field experimental effort when predictive capabilities are given. Robust model calibration leads [...] Read more.
Modeling plant growth, in particular with functional-structural plant models, can provide tools to study impacts of changing environments in silico. Simulation studies can be used as pilot studies for reducing the on-field experimental effort when predictive capabilities are given. Robust model calibration leads to less fragile predictions, while introducing uncertainties in predictions allows accounting for natural variability, resulting in stochastic plant growth models. In this study, stochastic model components that can be implemented into the functional-structural plant model Virtual Riesling are developed relying on Bayesian model calibration with the goal to enhance the model towards a fully stochastic model. In this first step, model development targeting phenology, in particular budburst variability, phytomer development rate and internode growth are presented in detail. Multi-objective optimization is applied to estimate a single set of cardinal temperatures, which is used in phenology and growth modeling based on a development days approach. Measurements from two seasons of grapevines grown in a vineyard with free-air carbon dioxide enrichment (FACE) are used; thus, model building and selection are coupled with an investigation as to whether including effects of elevated CO2 conditions to be expected in 2050 would improve the models. The results show how natural variability complicates the detection of possible treatment effects, but demonstrate that Bayesian calibration in combination with mixed models can realistically recover natural shoot growth variability in predictions. We expect these and further stochastic model extensions to result in more realistic virtual plant simulations to study effects, which are used to conduct in silico studies of canopy microclimate and its effects on grape health and quality. Full article
Show Figures

Graphical abstract

15 pages, 6781 KB  
Article
Soil Organic Carbon Isotope Tracing in Sorghum under Ambient CO2 and Free-Air CO2 Enrichment (FACE)
by Steven W. Leavitt, Li Cheng, David G. Williams, Talbot Brooks, Bruce A. Kimball, Paul J. Pinter, Gerard W. Wall, Michael J. Ottman, Allan D. Matthias, Eldor A. Paul, Thomas L. Thompson and Neal R. Adam
Land 2022, 11(2), 309; https://doi.org/10.3390/land11020309 - 18 Feb 2022
Cited by 1 | Viewed by 2935
Abstract
As atmospheric carbon dioxide concentrations, [CO2Air], continue their uncontrolled rise, the capacity of soils to accumulate or retain carbon is uncertain. Free-air CO2 enrichment (FACE) experiments have been conducted to better understand the plant, soil and ecosystem response to elevated [...] Read more.
As atmospheric carbon dioxide concentrations, [CO2Air], continue their uncontrolled rise, the capacity of soils to accumulate or retain carbon is uncertain. Free-air CO2 enrichment (FACE) experiments have been conducted to better understand the plant, soil and ecosystem response to elevated [CO2], frequently employing commercial CO2 that imparts a distinct isotopic signal to the system for tracing carbon. We conducted a FACE experiment in 1998 and 1999, whereby sorghum (C4 photosynthetic pathway) was grown in four replicates of four treatments using a split-strip plot design: (i) ambient CO2/ample water (365 μmol mol−1, “Control–Wet”), (ii) ambient CO2/water stress (“Control–Dry”), (iii) CO2-enriched (560 μmol mol−1, “FACE–Wet”), and (iv) CO2-enriched/water stressed (“FACE–Dry”). The stable-carbon isotope composition of the added CO2 (in FACE treatments) was close to that of free atmosphere background values, so the subsequent similar 13C-enriched carbon signal photosynthetically fixed by C4 sorghum plants could be used to trace the fate of carbon in both FACE and control treatments. Measurement of soil organic carbon content (SOC (%) = gC/gdry soil × 100%) and δ13C at three depths (0–15, 15–30, and 30–60 cm) were made on soils from the beginning and end of the two experimental growing seasons. A progressive ca. 0.5‰–1.0‰ δ13C increase in the upper soil SOC in all treatments over the course of the experiment indicated common entry of new sorghum carbon into the SOC pools. The 0–15 cm SOC in FACE treatments was 13C-enriched relative to the Control by ca. 1‰, and according to isotopic mass balance, the fraction of the new sorghum-derived SOC in the Control–Wet treatment at the end of the second season was 8.4%, 14.2% in FACE–Wet, 6.5% in Control–Dry, and 14.2% in FACE–Dry. The net SOC enhancement resulting from CO2 enrichment was therefore 5.8% (or 2.9% y−1 of experiment) under ample water and 7.7% (3.8% y−1 of experiment) under limited water, which matches the pattern of greater aboveground biomass increase with elevated [CO2Air] under the Dry treatment, but no parallel isotopic shifts were found in deeper soils. However, these increased fractions of new carbon in SOC at the end of the experiment do not necessarily mean an increase in total SOC content, because gravimetric measurements of SOC did not reveal a significant increase under elevated [CO2Air], at least within the limits of SOC-content error bars. Thus, new carbon gains might be offset by pre-experiment carbon losses. The results demonstrate successful isotopic tracing of carbon from plants to soils in this sorghum FACE experiment showing differences between FACE and Control treatments, which suggest more dynamic cycling of SOC under elevated [CO2Air] than in the Control treatment. Full article
Show Figures

Figure 1

18 pages, 1512 KB  
Article
Impacts of Elevated Atmospheric CO2 and N Fertilization on N2O Emissions and Dynamics of Associated Soil Labile C Components and Mineral N in a Maize Field in the North China Plain
by Fen Ma, Ming Li, Na Wei, Libing Dong, Xinyue Zhang, Xue Han, Kuo Li and Liping Guo
Agronomy 2022, 12(2), 432; https://doi.org/10.3390/agronomy12020432 - 9 Feb 2022
Cited by 10 | Viewed by 2848
Abstract
The elevated atmospheric CO2 concentration (eCO2) is expected to increase the labile C input to the soil, which may stimulate microbial activity and soil N2O emissions derived from nitrification and denitrification. However, few studies studied the effect of [...] Read more.
The elevated atmospheric CO2 concentration (eCO2) is expected to increase the labile C input to the soil, which may stimulate microbial activity and soil N2O emissions derived from nitrification and denitrification. However, few studies studied the effect of eCO2 on N2O emissions from maize field under the free-air CO2 enrichment (FACE) conditions in the warm temperate zone. Here, we report a study conducted during the 12th summer maize season under long-term eCO2, aiming to investigate the effect of eCO2 on N2O emissions. Moreover, we tested zero and conventional N fertilization treatments, with maize being grown under either eCO2 or ambient CO2 (aCO2). We hypothesized that N2O emissions would be increased under eCO2 due to changes in soil labile C and mineral N derived from C-deposition, and that the increase would be larger when eCO2 was combined with conventional N fertilization. We also measured the activities of some soil extracellular enzymes, which could reflect soil C status. The results showed that, under eCO2, seasonal N2O and CO2 emissions increased by 12.4–15.6% (p < 0.1) and 13.8–18.5% (p < 0.05), respectively. N fertilization significantly increased the seasonal emissions of N2O and CO2 by 33.1–36.9% and 17.1–21.8%, respectively. Furthermore, the combination of eCO2 and N fertilization increased the intensity of soil N2O and CO2 emissions. The marginal significant increase in N2O emissions under eCO2 was mostly due to the lower soil water regime after fertilization in the study year. Dissolved organic C (DOC) and microbial biomass C (MBC) concentration showed a significant increase at most major stages, particularly at the tasseling stage during the summer maize growth period under eCO2. In contrast, soil mineral N showed a significant decrease under eCO2 particularly in the rhizospheric soils. The activities of C-related soil extracellular enzymes were significantly higher under eCO2, particularly at the tasseling stage, which coincided with concurrent increased DOC and MBC under eCO2. We conclude that eCO2 increases N2O emissions, and causes a higher increase when combined with N fertilization, but the increase extent of N2O emissions was influenced by environmental factors, especially by soil water, to a great extent. We highlighted the urgent need to monitor long-term N2O emissions and N2O production pathways in various hydrothermal regimes under eCO2. Full article
Show Figures

Figure 1

15 pages, 5207 KB  
Article
Projected Elevated [CO2] and Warming Result in Overestimation of SPAD-Based Rice Leaf Nitrogen Status for Nitrogen Management
by Ye Tao, Jishuang Zhang, Lian Song, Chuang Cai, Dongming Wang, Wei Wei, Xinyue Gu, Xiong Yang and Chunwu Zhu
Atmosphere 2021, 12(12), 1571; https://doi.org/10.3390/atmos12121571 - 27 Nov 2021
Cited by 3 | Viewed by 2784
Abstract
Nitrogen (N) has a unique place in agricultural systems with large requirements. To achieve optimal nitrogen management that meets the needs of agricultural systems without causing potential environmental risks, it is of great significance to increase N use efficiency (NUE) in agricultural systems. [...] Read more.
Nitrogen (N) has a unique place in agricultural systems with large requirements. To achieve optimal nitrogen management that meets the needs of agricultural systems without causing potential environmental risks, it is of great significance to increase N use efficiency (NUE) in agricultural systems. A chlorophyll meter, for example, the SPAD-502, can provide a simple, nondestructive, and quick method for monitoring leaf N status and NUE. However, the SPAD-based crop leaf’s N status varies greatly due to environmental factors such as CO2 concentration ([CO2]) or temperature variations. In this study, we conducted [CO2] (ambient and enriched up to 500 μmol moL1) and temperature (ambient and increased by 1.5~2.0 °C) controlled experiments from 2015 to 2017 and in 2020 in two Free-Air CO2 Enrichment (FACE) sites. Leaf characters (SPAD readings, chlorophyll a + b, N content, etc.) of seven rice cultivars were measured in this four year experiment. Here, we provide evidence that SPAD readings are significantly linearly correlated with rice leaf chlorophyll a + b content (chl a + b) and N content, while the relationships are profoundly affected by elevated [CO2] and warming. Under elevated [CO2] treatment (E), the relationship between chl a + b content and N content remains unchanged, but SPAD readings and chl a + b content show a significant difference to those under ambient (A) treatment, which distorts the SPAD-based N monitoring. Under warming (T), and combined elevated [CO2] and warming (ET) treatments, both of the relationships between SPAD and leaf a + b content and between leaf a + b content and N content show a significant difference to those under A treatment. To deal with this issue under the background of global climate change dominated by warming and elevated [CO2] in the future, we need to increase the SPAD reading’s threshold value by at least 5% to adjust for applying N fertilizer within the rice cropping system by mid-century. Full article
(This article belongs to the Special Issue Advanced Climate Simulation and Observation)
Show Figures

Figure 1

10 pages, 6599 KB  
Review
Elevated Tropospheric Ozone Concentration Alters Soil CO2 Emission: A Meta-Analysis
by Enzhu Hu, Zhimin Ren, Sheng Xu and Weiwei Zhang
Sustainability 2021, 13(8), 4571; https://doi.org/10.3390/su13084571 - 20 Apr 2021
Cited by 4 | Viewed by 2584
Abstract
Elevated tropospheric ozone (O3) concentration may substantially influence the below-ground processes of terrestrial ecosystems. Nevertheless, a comprehensive and quantitative understanding of O3 impacts on soil CO2 emission remains elusive, making the future sources or sinks of soil C uncertain. [...] Read more.
Elevated tropospheric ozone (O3) concentration may substantially influence the below-ground processes of terrestrial ecosystems. Nevertheless, a comprehensive and quantitative understanding of O3 impacts on soil CO2 emission remains elusive, making the future sources or sinks of soil C uncertain. In this study, 77 pairs of observations (i.e., elevated O3 concentration treatment versus control) extracted from 16 peer-reviewed studies were synthesized using meta-analysis. The results depicted that soil CO2 efflux was significantly reduced under short-term O3 exposure (≤1 year, p < 0.05), while it was increased under extended duration (>1 year, p < 0.05). Particularly, soil CO2 emission was stimulated in nonagricultural ecosystems, in the free-air CO2 enrichment (FACE) experiment, and in the soils of lower pH. The effect sizes of soil CO2 efflux were significantly positively correlated with experimental duration and were significantly negatively correlated with soil pH, respectively. The ozone effect on soil CO2 efflux would be enhanced at warm temperatures and high precipitation. The duration of O3 exposure was the fundamental factor in analyzing O3 impacts on soil CO2 emission. Full article
(This article belongs to the Section Air, Climate Change and Sustainability)
Show Figures

Figure 1

12 pages, 827 KB  
Article
Does Elevated [CO2] Only Increase Root Growth in the Topsoil? A FACE Study with Lentil in a Semi-Arid Environment
by Maryse Bourgault, Sabine Tausz-Posch, Mark Greenwood, Markus Löw, Samuel Henty, Roger D. Armstrong, Garry L. O’Leary, Glenn J. Fitzgerald and Michael Tausz
Plants 2021, 10(4), 612; https://doi.org/10.3390/plants10040612 - 24 Mar 2021
Cited by 5 | Viewed by 2932
Abstract
Atmospheric carbon dioxide concentrations [CO2] are increasing steadily. Some reports have shown that root growth in grain crops is mostly stimulated in the topsoil rather than evenly throughout the soil profile by e[CO2], which is not optimal for crops [...] Read more.
Atmospheric carbon dioxide concentrations [CO2] are increasing steadily. Some reports have shown that root growth in grain crops is mostly stimulated in the topsoil rather than evenly throughout the soil profile by e[CO2], which is not optimal for crops grown in semi-arid environments with strong reliance on stored water. An experiment was conducted during the 2014 and 2015 growing seasons with two lentil (Lens culinaris) genotypes grown under Free Air CO2 Enrichment (FACE) in which root growth was observed non-destructively with mini-rhizotrons approximately every 2–3 weeks. Root growth was not always statistically increased by e[CO2] and not consistently between depths and genotypes. In 2014, root growth in the top 15 cm of the soil profile (topsoil) was indeed increased by e[CO2], but increases at lower depths (30–45 cm) later in the season were greater than in the topsoil. In 2015, e[CO2] only increased root length in the topsoil for one genotype, potentially reflecting the lack of plant available soil water between 30–60 cm until recharged by irrigation during grain filling. Our limited data to compare responses to e[CO2] showed that root length increases in the topsoil were correlated with a lower yield response to e[CO2]. The increase in yield response was rather correlated with increases in root growth below 30 cm depth. Full article
(This article belongs to the Special Issue Crop Adaptation to Elevated CO2 and Temperature)
Show Figures

Figure 1

23 pages, 3323 KB  
Article
Responses on Must and Wine Composition of Vitis vinifera L. cvs. Riesling and Cabernet Sauvignon under a Free Air CO2 Enrichment (FACE)
by Yvette Wohlfahrt, Claus-Dieter Patz, Dominik Schmidt, Doris Rauhut, Bernd Honermeier and Manfred Stoll
Foods 2021, 10(1), 145; https://doi.org/10.3390/foods10010145 - 12 Jan 2021
Cited by 12 | Viewed by 3929
Abstract
Challenges of climate change on the future grape and wine production are widely discussed in science and in the wine industry with the goal to maintain a consistent must and wine quality in the future. Therefore, the effect of elevated CO2 (eCO [...] Read more.
Challenges of climate change on the future grape and wine production are widely discussed in science and in the wine industry with the goal to maintain a consistent must and wine quality in the future. Therefore, the effect of elevated CO2 (eCO2)—as one of the relevant greenhouse gases jointly responsible for a changing climate—was investigated concerning the composition of must and wine made of two grapevine cultivars V. vinifera L. cvs. Riesling and Cabernet Sauvignon within the established VineyardFACE (Free-Air Carbon dioxide Enrichment) experiment. Must and wine analysis were conducted in three consecutive years (2014–2016) by analyzing standard must and wine parameters, e.g., total soluble solids (TSS), pH, total acidity (TA), organic acids (e.g., tartaric acid, malic acid, shikimic acid, citric acid, volatile acid and gluconic acid) or total phenolics (TP). Also, for both cultivars CIELab coordinates (L* for lightness, a* as green/red and b* as blue/yellow components) were used to test colour in young white and red wines. Additionally, total anthocyanins and monomeric indices were analyzed for young wines of the red cultivar Cabernet Sauvignon. With marginal differences between CO2 treatments, the composition of must and young wines was not found to be negatively influenced by an eCO2 concentration. Full article
Show Figures

Graphical abstract

24 pages, 3564 KB  
Article
The Effect of Elevated CO2 on Berry Development and Bunch Structure of Vitis vinifera L. cvs. Riesling and Cabernet Sauvignon
by Yvette Wohlfahrt, Susanne Tittmann, Dominik Schmidt, Doris Rauhut, Bernd Honermeier and Manfred Stoll
Appl. Sci. 2020, 10(7), 2486; https://doi.org/10.3390/app10072486 - 4 Apr 2020
Cited by 14 | Viewed by 4115
Abstract
Carbon dioxide (CO2) as one of the main factors driving climate change is known to increase grapevine growth and yield and could, therefore, have an impact on the fruit quality of vines. This study reports the effects of elevated CO2 [...] Read more.
Carbon dioxide (CO2) as one of the main factors driving climate change is known to increase grapevine growth and yield and could, therefore, have an impact on the fruit quality of vines. This study reports the effects of elevated CO2 (eCO2) on berry development and bunch structure of two grapevine cultivars (Vitis vinifera L. cvs. Riesling and Cabernet Sauvignon) within the VineyardFACE (Free-Air Carbon Dioxide enrichment) experiment, using must analysis and non-invasive fluorescence sensor technology. Berry development was examined on five dates over three consecutive years by analyzing total soluble solids (TSS), pH, total acidity, organic acids, nutrition status, and non-invasive Multiplex measurements. Before harvest, secondary bunches were collected to examine bunch and berry parameters. Results showed that eCO2 had little impact on berry composition of Riesling and Cabernet Sauvignon during berry development, which could be related to bunch structure or single berry weight within single seasons. Elevated CO2 (eCO2) did not result in modified TSS accumulation during ripening but was directly related to the chlorophyll index SFR_R. Higher single berry weights (SBW), higher malic acid (MA), and lower tartaric acid (TAA) were examined at some stages during development of berries under eCO2 levels. Our study provides evidence that eCO2 did alter some bunch and berry parameters without a negative impact on fruit quality. Full article
Show Figures

Figure 1

Back to TopTop