Sign in to use this feature.

Years

Between: -

Subjects

remove_circle_outline
remove_circle_outline
remove_circle_outline
remove_circle_outline
remove_circle_outline
remove_circle_outline
remove_circle_outline
remove_circle_outline
remove_circle_outline

Journals

Article Types

Countries / Regions

Search Results (106)

Search Parameters:
Keywords = fractionation of proteins from whey

Order results
Result details
Results per page
Select all
Export citation of selected articles as:
15 pages, 2086 KB  
Article
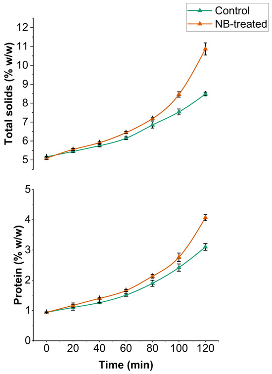
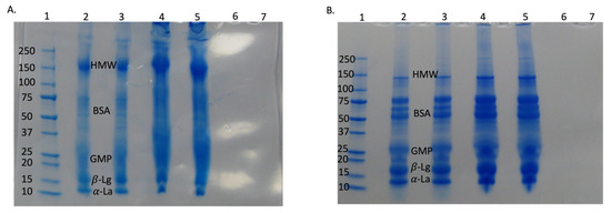
Effect of Nanobubbles on Ultrafiltration Membrane Performance and Properties of Model Cheese Whey
by FNU Akshit, Sanjay Kumar Bharti and Maneesha S. Mohan
Foods 2025, 14(24), 4224; https://doi.org/10.3390/foods14244224 - 9 Dec 2025
Viewed by 233
Abstract
Fouling has been a major concern in membrane processing, requiring frequent cleaning, increasing the time of processing, and reducing the lifespan of membranes. As a strategy to improve membrane filtration processes, our study investigates the impact of nanobubbles (NBs) on the whey ultrafiltration [...] Read more.
Fouling has been a major concern in membrane processing, requiring frequent cleaning, increasing the time of processing, and reducing the lifespan of membranes. As a strategy to improve membrane filtration processes, our study investigates the impact of nanobubbles (NBs) on the whey ultrafiltration (UF) process and provides insights into the resulting changes in permeation flux, concentration factor, composition, particle charge and size, viscosity, and protein secondary structures. NBs led to significantly enhanced permeation flux up to 60 min (p < 0.05), leading to a higher concentration factor with time, as indicated at 120 min compared to the control. There was a significant increase in protein and total solids concentrations (33 ± 10% and 28 ± 5%) in the final retentate at 120 min for NB-treated cheese whey (NBW) as compared to the control (p < 0.05). While particle size is relatively unchanged with and without NB treatment, increased viscosity in NBW is caused by the increased concentration factors achieved with higher flux for the NBW by the end of UF. FTIR and SDS-PAGE reveal no significant alterations in whey protein secondary structures and fractions, respectively. Overall, membrane efficiency was enhanced by significantly increasing peak flux and concentration factor (34 ± 5% and 40 ± 4%) for NBW compared to CW. Our study presents an innovative approach to reach the targeted total solids/protein for cheese whey concentration in significantly less processing time (28.27% ± 2.33 reduction), with potential energy savings. Therefore, nanobubble technology shows promising potential to improve membrane filtration in the dairy industry with higher permeation flux, reduced fouling, and improved membrane processing efficiency. Full article
(This article belongs to the Section Dairy)
Show Figures

Figure 1

18 pages, 3070 KB  
Article
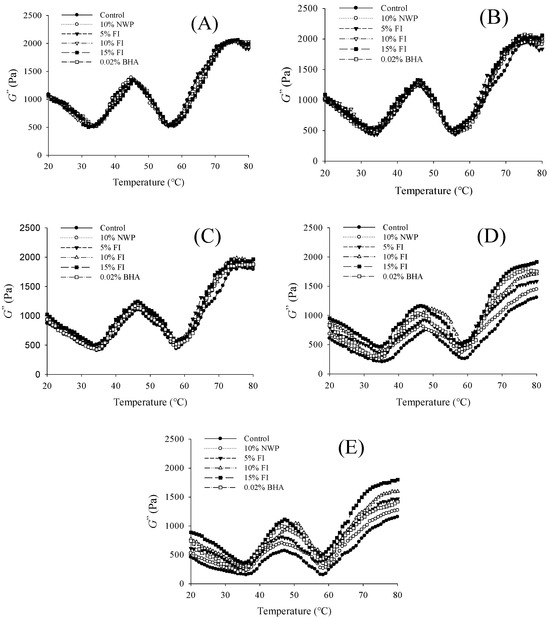
Fraction I of Whey Protein Hydrolysates Improves Lipid Stability and Water Retention in Ground Pork During Freeze–Thaw Cycles
by Yifan Yin, Yina Yin, Jia Li, Haoyu Lv, Xuefeng Tang, Chao Wang and Qingtian Dong
Foods 2025, 14(23), 4161; https://doi.org/10.3390/foods14234161 - 4 Dec 2025
Viewed by 290
Abstract
This study investigated the potential of Fraction I (FI, <1 kDa), a peptide fraction derived from whey protein hydrolysates (WPH) exhibiting strong in vitro scavenging activity against DPPH, superoxide, and hydroxyl radicals, to mitigate quality deterioration in ground pork subjected to up to [...] Read more.
This study investigated the potential of Fraction I (FI, <1 kDa), a peptide fraction derived from whey protein hydrolysates (WPH) exhibiting strong in vitro scavenging activity against DPPH, superoxide, and hydroxyl radicals, to mitigate quality deterioration in ground pork subjected to up to seven freeze–thaw (F–T) cycles. Ground pork samples were supplemented with FI at three concentrations (5%, 10%, and 15%) and analyzed for oxidative and physicochemical changes. Successive F–T cycles markedly promoted lipid oxidation, as indicated by increased peroxide value and thiobarbituric acid reactive substances (TBARS), and overall quality deterioration, evidenced by a rise in acid value and pH along with a decrease in G″. Incorporation of 10% FI effectively inhibited these oxidative reactions and improved the water-holding capacity of ground pork. These results demonstrate that among the tested concentrations, FI at 10% most effectively enhances oxidative stability and maintains water distribution, thereby preserving the quality of ground pork during multiple F–T cycles. Full article
Show Figures

Figure 1

31 pages, 1098 KB  
Review
Valorising Whey: From Environmental Burden to Bio-Based Production of Value-Added Compounds and Food Ingredients
by Hiba Selmi, Ester Presutto, Giuseppe Spano, Vittorio Capozzi and Mariagiovanna Fragasso
Foods 2025, 14(21), 3646; https://doi.org/10.3390/foods14213646 - 25 Oct 2025
Cited by 1 | Viewed by 1706
Abstract
Cheese manufacturing generates large volumes of whey with high biochemical and chemical oxygen demand, historically treated as waste. Yet, whey is rich in lactose, proteins, and minerals that can be fractionated and upgraded into foods and bio-based products. During cheese production, 80% to [...] Read more.
Cheese manufacturing generates large volumes of whey with high biochemical and chemical oxygen demand, historically treated as waste. Yet, whey is rich in lactose, proteins, and minerals that can be fractionated and upgraded into foods and bio-based products. During cheese production, 80% to 90% of the total volume is discarded as whey, which can cause severe pollution. However, milk by-products can be a natural source of high-value-added compounds and a cost-effective substrate for microbial growth and metabolites production. The current review focuses on cheese whey as a key milk by-product, highlighting its generation and composition, the challenges associated with its production, methods for fractionating whey to recover bioactive compounds, its applications in functional food development, the barriers to its broader use in the food sector, and its potential as a substrate for producing value-added compounds. Particularly, the focus was on the recent solutions to use cheese whey as a primary material for microbial fermentation and enzymatic processes, producing a diverse range of chemicals and products for applications in the pharmaceutical, food, and biotechnology industries. This review contributes to defining a framework for reducing the environmental impacts of whey through its application in designing foods and generating biomaterials. Full article
Show Figures

Figure 1

24 pages, 2566 KB  
Review
Valorization of Second Cheese Whey Through Microalgae-Based Treatments: Advantages, Limits, and Opportunities
by Gloria Sciuto, Nunziatina Russo, Cinzia L. Randazzo and Cinzia Caggia
BioTech 2025, 14(4), 79; https://doi.org/10.3390/biotech14040079 - 9 Oct 2025
Viewed by 1046
Abstract
The dairy sector produces considerable amounts of nutrient-rich effluents, which are frequently undervalued as simple by-products or waste. In particular, Second Cheese Whey (SCW), also known as scotta, exhausted whey, or deproteinized whey, represents the liquid fraction from ricotta cheese production. Despite its [...] Read more.
The dairy sector produces considerable amounts of nutrient-rich effluents, which are frequently undervalued as simple by-products or waste. In particular, Second Cheese Whey (SCW), also known as scotta, exhausted whey, or deproteinized whey, represents the liquid fraction from ricotta cheese production. Despite its abundance and high organic and saline content, SCW is often improperly discharged into terrestrial and aquatic ecosystems, causing both environmental impact and resource waste. The available purification methods are expensive for dairy companies, and, at best, SCW is reused as feed or fertilizer. In recent years, increasing awareness of sustainability and circular economy principles has increased interest in the valorization of SCW. Biological treatment of SCW using microalgae represents an attractive strategy, as it simultaneously reduces the organic load and converts waste into algal biomass. This biomass can be further valorized as a source of proteins, pigments, and bioactive compounds with industrial relevance, supporting applications in food, nutraceuticals, biofuels, and cosmetics. This review, starting from analyzing the characteristics, production volumes, and environmental issues associated with SCW, focused on the potential of microalgae application for their valorization. In addition, the broader regulatory and sustainability aspects related to biomass utilization and treated SCW are considered, highlighting both the promises and limitations of microalgae-based strategies by integrating technological prospects with policy considerations. Full article
Show Figures

Graphical abstract

20 pages, 5547 KB  
Review
Whey Protein Supplementation Combined with Exercise on Muscle Protein Synthesis and the AKT/mTOR Pathway in Healthy Adults: A Systematic Review and Meta-Analysis
by Xiaorong Ji, Xuanyin Ye, Shuyi Ji, Shuxin Zhang, Yuwen Wang, Zhibei Zhou, Dao Xiang and Beibei Luo
Nutrients 2025, 17(16), 2579; https://doi.org/10.3390/nu17162579 - 8 Aug 2025
Cited by 3 | Viewed by 13205
Abstract
Background: The process of muscle protein synthesis (MPS) plays a pivotal role in the enhancement of muscle function. Following a bout of exercise, the rate of MPS experiences an elevation for a brief period, known as the “anabolic window.” Despite whey protein supplementation [...] Read more.
Background: The process of muscle protein synthesis (MPS) plays a pivotal role in the enhancement of muscle function. Following a bout of exercise, the rate of MPS experiences an elevation for a brief period, known as the “anabolic window.” Despite whey protein supplementation has been demonstrated to augment the post-exercise anabolic window, the optimal timing and dosage remain controversial. Therefore, the present systematic review and meta-analysis were conducted to evaluate the effects of whey protein supplementation on post-exercise MPS and its protein kinase B (AKT)/mammalian target of the rapamycin (mTOR) pathway in healthy adults. Methods: Following PRISMA guidelines, this review included 21 RCTs, with 15 studies subjected to meta-analysis and 6 studies to qualitative analysis. Eligible studies examined myofibrillar fractional synthetic rate (FSR) or the AKT/mTOR pathway-related protein phosphorylation levels in muscle biopsy samples. Results: The combination of whey protein supplementation and exercise has been shown to significantly enhance FSR (Hedge’s g = 1.24, 95% CI: 0.71–1.77; p < 0.001), with increases ranging from 1.3 to 1.6 folds when consumed immediately after exercise and up to 2.5 folds when given 45 min prior to multiple-set resistance exercise. A dose-dependent increase in FSR was observed in response to whey protein supplementation, ranging from 10 to 60 g. In comparison to the placebo group, whey protein supplementation enhanced the phosphorylation levels of AKT, mTOR, eukaryotic translation initiation factor 4E-binding protein-1 (4E-BP1), 70 kDa ribosomal protein S6 kinase (p70S6K), and ribosomal protein S6 (rpS6) at 1–2 h post-exercise. Phosphorylation levels of p70S6K and rpS6 decreased 4–5 h after exercise. Conclusions: The combination of whey protein supplementation and exercise improves MPS in a time- and dose-dependent manner. Consumption of 20–40g of whey protein before multiple sets of resistance exercise may enhance myofibrillar FSR and activate the AKT/mTOR pathway, thereby augmenting MPS and extending the anabolic window. Full article
Show Figures

Figure 1

18 pages, 8394 KB  
Article
Goat Whey Protein Hydrolysate Mitigates High-Fructose Corn Syrup-Induced Hepatic Steatosis in a Murine Model
by Chun-Hui Shao, Vipul Wayal and Chang-Chi Hsieh
Nutrients 2025, 17(12), 2011; https://doi.org/10.3390/nu17122011 - 16 Jun 2025
Viewed by 1397
Abstract
Background/Objectives: Hepatic steatosis, characterized by abnormal fat accumulation in the liver, is a major health concern with limited effective treatments. Goat milk whey proteins have demonstrated various therapeutic benefits. This study aimed to evaluate the hepatoprotective effects of goat whey protein hydrolysate [...] Read more.
Background/Objectives: Hepatic steatosis, characterized by abnormal fat accumulation in the liver, is a major health concern with limited effective treatments. Goat milk whey proteins have demonstrated various therapeutic benefits. This study aimed to evaluate the hepatoprotective effects of goat whey protein hydrolysate (GWPH) on high-fructose corn syrup (HFCS)-induced hepatic steatosis in a murine model. Methods: The GWPH was prepared through enzymatic hydrolysis using Alcalase® and divided into fractions: GWPH03 (<3 kDa), GWPH0310 (3–10 kDa), GWPH1030 (10–30 kDa), and GWPH30 (>30 kDa). These fractions were administered to respective GWPH treatment groups at 200 mg/kg b.w/day via intragastric gavage for 8 weeks, with HFCS provided to all groups except the Naïve group. After dietary intervention, an oral glucose tolerance test (OGTT) was performed, and the mice were then sacrificed for further analysis. Results: Our results demonstrate that GWPH mitigates HFCS-induced hepatic steatosis, reduces body weight gain, improves glucose homeostasis, alleviates liver injury, and regulates hepatic lipid metabolism. Notably, GWPH treatment significantly suppressed hepatic fatty acid synthase (FASN) expressions, indicating reduced de novo lipogenesis (DNL). Molecular docking of the identified peptides from GWPH—particularly PFNVYNVV, which showed strong binding affinity for KHK—suggests that it has potential as a competitive inhibitor of fructose metabolism. Conclusions: Collectively, our findings suggest that GWPH and its derived peptides could be promising candidates for managing hepatic steatosis and related metabolic abnormalities. Full article
(This article belongs to the Section Carbohydrates)
Show Figures

Figure 1

12 pages, 1019 KB  
Article
Purification and Characterization of a Protease Using Aspergillus oryzae Under Submerged Fermentation Using Dairy By-Products as a Substrate
by Aline Ferreira Sobral, Diego Gomes Ramos, Bárbara Cibele Souza Lima, Tatiana Pereira Shiu Lin Liu, Maria Rafaele Oliveira Bezerra da Silva, Luiz Henrique Svintiskas Lino, Kethylen Barbara Barbosa Cardoso, Wendell Wagner Campos Albuquerque, Thiago Pajeú Nascimento and Romero Marcos Pedrosa Brandão Costa
Catalysts 2025, 15(6), 575; https://doi.org/10.3390/catal15060575 - 10 Jun 2025
Viewed by 3340
Abstract
Whey, a large-scale dairy industry by-product, can be converted into whey protein concentrate (WPC), providing a cost-effective nutrient-rich substrate for microbial fermentation. We investigated protease production by Aspergillus oryzae using WPC as the sole substrate in submerged fermentation. Following fermentation, the protease was [...] Read more.
Whey, a large-scale dairy industry by-product, can be converted into whey protein concentrate (WPC), providing a cost-effective nutrient-rich substrate for microbial fermentation. We investigated protease production by Aspergillus oryzae using WPC as the sole substrate in submerged fermentation. Following fermentation, the protease was purified sequentially from the crude extract by salting-out, which yielded a substantial purification factor (~39), and subsequent ion-exchange chromatography. The non-adsorbed chromatographic fraction showed the highest protease activity (92.6 U/mL) and revealed one main protein band ~45 kDa via SDS-PAGE. Enzyme characterization demonstrated activity across neutral-to-alkaline conditions, optimal at pH 9.0 and 37 °C, with stability maintained between 30 °C and 37 °C. The enzyme was classified as a serine protease based on strong inhibition by PMSF and SDS; its activity was also inhibited by Zn2+, Mg2+, and K+, but enhanced by Ca2+. This work validates WPC as an efficient substrate for protease production by A. oryzae and presents a promising strategy for valorizing industrial by-products through sustainable biotechnology. Full article
Show Figures

Figure 1

36 pages, 1505 KB  
Review
Whey Proteins and Bioactive Peptides: Advances in Production, Selection and Bioactivity Profiling
by Anna Luparelli, Daniela Trisciuzzi, William Matteo Schirinzi, Leonardo Caputo, Leonardo Smiriglia, Laura Quintieri, Orazio Nicolotti and Linda Monaci
Biomedicines 2025, 13(6), 1311; https://doi.org/10.3390/biomedicines13061311 - 27 May 2025
Cited by 6 | Viewed by 6057
Abstract
The whey protein (WP) fraction represents 18–20% of the total milk nitrogen content. It was originally considered a dairy industry waste, but upon its chemical characterization, it was found to be a precious source of bioactive components, growing in popularity as nutritional and [...] Read more.
The whey protein (WP) fraction represents 18–20% of the total milk nitrogen content. It was originally considered a dairy industry waste, but upon its chemical characterization, it was found to be a precious source of bioactive components, growing in popularity as nutritional and functional food ingredients. This has generated a remarkable increase in interest in applications in the different sectors of nutrition, food industry, and pharmaceutics. WPs comprise immunoglobulins and proteins rich in branched and essential amino acids, and peptides endowed with several biological activities (antimicrobial, antihypertensive, antithrombotic, anticancer, antioxidant, opioid, immunomodulatory, and gut microbiota regulation) and technological properties (gelling, water binding, emulsification, and foaming ability). Currently, various process technologies and biotechnological methods are available to recover WPs and convert them into BioActive Peptides (BAPs) for commercial use. Additionally, in silico approaches could have a significant impact on the development of novel foods and/or ingredients and therapeutic agents. This review provides an overview of current and emerging methods for the production, selection, and application of whey peptides, offering insights into bioactivity profiling and potential therapeutic targets. Recent updates in legislation related to commercialized WPs-based products are also presented. Full article
Show Figures

Figure 1

16 pages, 1560 KB  
Article
Challenges in Using the Official Italian Method to Detect Bovine Whey Proteins in Protected Designation of Origin Buffalo Mozzarella: A Proteomic Approach to Face Observed Limits
by Federica Della Cerra, Mariapia Esposito, Simonetta Caira, Andrea Scaloni and Francesco Addeo
Foods 2025, 14(5), 822; https://doi.org/10.3390/foods14050822 - 27 Feb 2025
Viewed by 1197
Abstract
This study critically examines the limitations of the official Italian methodology used for detecting bovine adulteration milk in Protected Designation of Origin (PDO) Mozzarella di Bufala Campana (MdBC). This method focuses on the whey fraction of cheese samples, which comprises about 1% of [...] Read more.
This study critically examines the limitations of the official Italian methodology used for detecting bovine adulteration milk in Protected Designation of Origin (PDO) Mozzarella di Bufala Campana (MdBC). This method focuses on the whey fraction of cheese samples, which comprises about 1% of total MdBC proteins, and is based on a high-performance liquid chromatography (HPLC) quantification of the bovine β-lactoglobulin A (β-Lg A) as a marker. Here, we have demonstrated that this official methodology suffers from measurement inconsistencies due to its reliance on raw bovine whey standards, which fail to account for β-Lg genetic polymorphisms in real MdBC samples and protein thermal modifications during cheesemaking. To overcome these limitations, we propose a dual proteomics-based approach using matrix-assisted laser desorption ionization (MALDI-TOF) mass spectrometry (MS) and nano-HPLC-electrospray (ESI)−tandem mass spectrometry (MS/MS) analysis of MdBC extracted whey. MALDI-TOF-MS focused on identifying proteotypic peptides specific to bovine and buffalo β-Lg and α-lactalbumin (α-La), enabling high specificity for distinguishing the two animal species at adulteration levels as low as 1%. Complementing this, nano-HPLC-ESI-MS/MS provided a comprehensive profile by identifying over 100 bovine-specific peptide markers from β-Lg, α-La, albumin, lactoferrin, and osteopontin. Both methods ensured precise detection and quantification of bovine milk adulteration in complex matrices like pasta filata cheeses, achieving high sensitivity even at minimal adulteration levels. Accordingly, the proposed dual proteomics-based approach overcomes challenges associated with whey protein polymorphism, heat treatment, and processing variability, and complements casein-based methodologies already validated under European standards. This integrated framework of analyses focused on whey and casein fraction enhances the reliability of adulteration detection and safeguards the authenticity of PDO buffalo mozzarella, upholding its unique quality and integrity. Full article
Show Figures

Figure 1

11 pages, 1281 KB  
Article
Branched-Chain Amino Acid (BCAA) Oligopeptide Determination from Whey Proteins: Preparation, Peptide Profiles, and Anti-Fatigue Activity
by Qiong Zhu, Renjie Zhou, Xiping Zhu, Xiangru Lu, Binli Ai, Qibin Zhuang and Chun Cui
Foods 2025, 14(1), 32; https://doi.org/10.3390/foods14010032 - 26 Dec 2024
Cited by 2 | Viewed by 3501
Abstract
Whey proteins have anti-fatigue activity, but there are few studies that have reported the ameliorative effects of branched-chain amino acid (BCAA) oligopeptides from whey proteins on fatigue in mice. The purposes of this study were to establish a process for the preparation of [...] Read more.
Whey proteins have anti-fatigue activity, but there are few studies that have reported the ameliorative effects of branched-chain amino acid (BCAA) oligopeptides from whey proteins on fatigue in mice. The purposes of this study were to establish a process for the preparation of BCAA oligopeptides from whey protein and to investigate the anti-fatigue activity of BCAA oligopeptides. Whey proteins were hydrolyzed by trypsin and flavourzyme and purified by ethanol precipitation and reversed-phase high performance liquid chromatography (RP-HPLC). Fraction D’ was found to contain the highest content of BCAAs and a high proportion of low-molecular-weight peptides (<1 kDa; content: 81.48%). Subsequently, mass spectrometry identified 15 BCAA oligopeptides in Fraction D’, including three dipeptides, six tripeptides, two tetrapeptides, and four pentapeptides. In addition, animal experiments showed that BCAA oligopeptides significantly prolonged the residence time on the rod and swimming time of mice. Further studies showed that BCAA oligopeptides remarkably reduced serotonin (5-hydroxytryptamine, 5-HT) synthesis in the brain by down-regulating the plasma-free tryptophan (F-Trp)/BCAA ratio, thereby alleviating fatigue. Therefore, BCAA oligopeptides can be used as an auxiliary functional dietary molecule in functional products to exert anti-fatigue activity by regulating 5-HT synthesis. Full article
(This article belongs to the Section Food Physics and (Bio)Chemistry)
Show Figures

Figure 1

14 pages, 2795 KB  
Article
The Refractive Index of Human Milk Serum: Natural Variations and Dependency on Macronutrient Concentrations
by Johanna R. de Wolf, Kawthar Ali, Chris G. Legtenberg, Wietske Verveld and Nienke Bosschaart
Foods 2024, 13(24), 4124; https://doi.org/10.3390/foods13244124 - 20 Dec 2024
Cited by 1 | Viewed by 2221
Abstract
The refractive index (RI) of human milk serum (also known as whey, milk soluble fraction or milk plasma) depends on the individual molecular species dissolved in the serum and their concentrations. Although the human milk serum RI is known to influence milk analysis [...] Read more.
The refractive index (RI) of human milk serum (also known as whey, milk soluble fraction or milk plasma) depends on the individual molecular species dissolved in the serum and their concentrations. Although the human milk serum RI is known to influence milk analysis methods based on light scattering, the RI dependency on human milk serum composition is currently unknown. Therefore, we systematically evaluate how the RI depends on natural variations in macronutrient concentrations in the soluble fraction. We measure RI variations in serum simulating samples with controlled macronutrient concentrations, as well as skimmed and whole fore-, bulk, and hindmilk from 19 donors. For both types of samples, we relate the measured RI to the macronutrient composition. From the serum simulating samples, we observe that the RI depends more on variations in whey protein, than carbohydrate concentrations, while minerals have negligible influence. For all donated samples, the average RI was 1.3470 (range 1.3466–1.3474). Per donor, no significant differences were observed in RI between fore-, bulk, and hindmilk. We conclude that protein and solids-not-fat (i.e., the total contribution of carbohydrates, proteins and minerals present in milk) concentrations are most predictive for human milk serum RI. Full article
(This article belongs to the Section Dairy)
Show Figures

Figure 1

12 pages, 1653 KB  
Article
Amino Acid Composition of Dried Bovine Dairy Powders from a Range of Product Streams
by Simon R. Gilmour, Stephen E. Holroyd, Maher D. Fuad, Dave Elgar and Aaron C. Fanning
Foods 2024, 13(23), 3901; https://doi.org/10.3390/foods13233901 - 3 Dec 2024
Cited by 4 | Viewed by 3513
Abstract
The amino acid (AA) content of multiple samples of various dairy powders was determined, providing a comprehensive evaluation of the differences in AA profiles attributable to distinct manufacturing processes. Products examined included whole milk powder (WMP), skim milk powder (SMP), cheese whey protein [...] Read more.
The amino acid (AA) content of multiple samples of various dairy powders was determined, providing a comprehensive evaluation of the differences in AA profiles attributable to distinct manufacturing processes. Products examined included whole milk powder (WMP), skim milk powder (SMP), cheese whey protein concentrate (WPC-C), lactic acid casein whey protein concentrate (WPC-L), high-fat whey protein concentrate (WPC-HF), hydrolyzed whey protein concentrate (WPH), whey protein isolate (WPI), and demineralized whey protein (D90). WMP and SMP exhibited broadly similar AA profiles, with minor differences likely due to the minimal milk fat protein content, which is nearly absent from SMP. Comparative analysis of WPC-C and WPC-L indicated higher levels of threonine, serine, glutamic acid, and proline in WPC-C but lower levels of tyrosine, phenylalanine, and tryptophan, attributed to the different methods of separation from casein proteins. WPI and WPC-HF originate from similar sweet whey streams but follow divergent processing methods; consequent on this were variations in the levels of all AAs except histidine. The nanofiltration step in D90 production retains its non-protein nitrogen content and affects its AA profile; consequently, D90 consistently exhibited lower AA levels than WPC-C. These findings underscore the significant impact of manufacturing processes on dairy powder AA composition. Full article
(This article belongs to the Section Dairy)
Show Figures

Figure 1

10 pages, 1008 KB  
Article
Determination of Protein Interaction in Milk Protein Concentrate Powders Manufactured from pH-Adjusted and Heat-Treated Skim Milk
by Kavya Dileep, Hari Meletharayil and Jayendra K. Amamcharla
Foods 2024, 13(23), 3832; https://doi.org/10.3390/foods13233832 - 28 Nov 2024
Cited by 1 | Viewed by 2775
Abstract
The influence of heating as a pretreatment on the structural and functional attributes of milk protein concentrate (MPC) powders derived from ultrafiltered/diafiltered (UF/DF) skim milk is under-reported. This research delves into the impact of pH and heat treatment on skim milk’s properties before [...] Read more.
The influence of heating as a pretreatment on the structural and functional attributes of milk protein concentrate (MPC) powders derived from ultrafiltered/diafiltered (UF/DF) skim milk is under-reported. This research delves into the impact of pH and heat treatment on skim milk’s properties before UF/DF and how these changes affect the resulting MPC powders. By adjusting the pH of skim milk to 6.5, 6.8, or 7.1 and applying thermal treatment at 90 °C for 15 min to one of two divided lots (with the other serving as a control), we studied the protein interactions in MPC. Post-heat treatment, the skim milk’s pH was adjusted back to 6.8, followed by ultrafiltration and spray drying to produce MPC powders with protein content of 82.38 ± 2.72% on a dry matter basis. MPC dispersions from these powders at 5% protein (w/w) were also evaluated for particle size, viscosity, and heat coagulation time (HCT) to further understand how the protein interactions in skim milk influence the properties of MPC dispersions. Capillary electrophoresis was used to assess the casein and whey protein distribution in both the soluble and colloidal phases. Findings revealed that preheating skim milk at pH 7.1 increased serum phase interactions, while heating skim milk preadjusted to a pH of 6.5 promoted whey protein–casein interactions at the micellar interface. Notably, the D (4,3) of casein micelles was larger for dispersions from milk with a preheated pH of 6.5 compared to other pH levels, correlating positively with enhanced dispersion viscosity due to increased volume fraction. These results support the potential for tailoring MPC powder functionality in various food applications through the precise control of the milk’s pre-treatment conditions. Full article
Show Figures

Figure 1

19 pages, 1103 KB  
Article
Antihypertensive, Anti-Inflammatory, and Antiangiogenic In Silico Activity of Lactoferrin-Derived Peptides of Equine Milk Hydrolysate
by Meiramkul Narmuratova, Dmitriy Berillo, Zhanar Narmuratova, Pavel Tarlykov, Assiya Serikbayeva and Shattyk Kanayat
Biomedicines 2024, 12(12), 2715; https://doi.org/10.3390/biomedicines12122715 - 27 Nov 2024
Cited by 2 | Viewed by 1936
Abstract
Background: Equine milk, including its whey proteins, is a source of nutrients and functional components in the human diet, and is especially beneficial for people with weakened immune systems, newborns, and athletes. Objectives Whey proteins in equine milk constitute approximately 20% of the [...] Read more.
Background: Equine milk, including its whey proteins, is a source of nutrients and functional components in the human diet, and is especially beneficial for people with weakened immune systems, newborns, and athletes. Objectives Whey proteins in equine milk constitute approximately 20% of the total protein content and include various fractions such as albumin, globulin, and lactoferrin. Lactoferrin is one of the most extensively studied whey proteins in equine milk. Methods: HPLC-Mass analysis, enzymatic hydrolysis, modeling of 3D structure and biological activity in silico. Results: It has antioxidant, anti-inflammatory, and immunomodulatory properties, making it a promising candidate for influencing the various aspects of cardiovascular disease pathogenesis. The products of Lactoferrin hydrolysis by trypsin were confirmed using HPLC. The half-lives of the hydrolysate in the bloodstream and in an intestine-like environment were predicted in silico. Various biological activities (antihypertensive, anti-inflammatory, and antiangiogenic) were also estimated in silico and compared with the corresponding activities of lactoferrin hydrolysate amino acid sequences from camel and dromedary milk. Conclusions: The three-dimensional modeling of lactoferrin hydrolysate peptides was performed to support the development of computational models or simulations, as well as to investigate their potential antimicrobial, anti-inflammatory, or immune-modulating functions in clinical or nutritional applications. Full article
(This article belongs to the Section Biomedical Engineering and Materials)
Show Figures

Graphical abstract

10 pages, 250 KB  
Article
Polymorphisms Within the IQGAP2 and CRTAC1 Genes of Gannan Yaks and Their Association with Milk Quality Characteristics
by Juanxiang Zhang, Guowu Yang, Xita Zha, Xiaoming Ma, Yongfu La, Xiaoyun Wu, Xian Guo, Min Chu, Pengjia Bao, Ping Yan and Chunnian Liang
Foods 2024, 13(23), 3720; https://doi.org/10.3390/foods13233720 - 21 Nov 2024
Cited by 3 | Viewed by 1236
Abstract
The IQ motif containing GTPase activating protein 2 (IQGAP2) gene functions as a tumor suppressor, reducing the malignant properties of breast cancer cells. The circulating cartilage acidic protein 1 (CRTAC1) gene, present in the whey protein fraction of dairy [...] Read more.
The IQ motif containing GTPase activating protein 2 (IQGAP2) gene functions as a tumor suppressor, reducing the malignant properties of breast cancer cells. The circulating cartilage acidic protein 1 (CRTAC1) gene, present in the whey protein fraction of dairy cows throughout lactation, is significantly correlated with fatty acids in milk. In this study, we investigated the correlation between single nucleotide polymorphisms (SNPs) in the IQGAP2 and CRTAC1 genes and milk quality traits in Gannan yaks, aiming to identify potential molecular marker loci for enhancing milk quality. Using the Illumina Yak cGPS 7K liquid chip, we genotyped 162 yaks and identified five SNPs in the IQGAP2 (g.232,769C>G, g.232,922G>C) and CRTAC1 (g.4,203T>C, g.5,348T>G, g.122,451T>C) genes. Genetic polymorphism analysis revealed that these five SNPs were moderately polymorphic and in Hardy–Weinberg equilibrium. An association analysis results showed that, at the g.232,769C>G locus of the IQGAP2 gene, the heterozygous CG genotype had significantly higher lactose content than the CC and GG homozygous genotypes (p < 0.05). Similarly, at the g.232,922G>C locus, the heterozygous GC and mutant CC genotypes significantly increased the contents of milk fat, lactose, and total solids (TS) (p < 0.05). In the CRTAC1 gene (g.4,203T>C, g.5,348T>G, g.122,451T>C), the mutant CC genotype significantly increased milk fat content, while the heterozygous TG genotype significantly increased lactose content (p < 0.05). In summary, mutations at the loci of g.232,769C>G, g.232,922G>C, g.4,203T>C, g.5,348T>G, and g.122,451T>C significantly elevated the lactose, milk fat, and TS content in Gannan yak milk, providing potential molecular marker candidates for improving Gannan yak milk quality. Full article
Back to TopTop