Sign in to use this feature.

Years

Between: -

Subjects

remove_circle_outline
remove_circle_outline
remove_circle_outline
remove_circle_outline
remove_circle_outline

Journals

Article Types

Countries / Regions

Search Results (8)

Search Parameters:
Keywords = four-state discrete modulation

Order results
Result details
Results per page
Select all
Export citation of selected articles as:
20 pages, 6699 KB  
Article
Low-Light Image Enhancement with Residual Diffusion Model in Wavelet Domain
by Bing Ding, Desen Bu, Bei Sun, Yinglong Wang, Wei Jiang, Xiaoyong Sun and Hanxiang Qian
Photonics 2025, 12(9), 832; https://doi.org/10.3390/photonics12090832 - 22 Aug 2025
Viewed by 1115
Abstract
In low-light optical imaging, the scarcity of incident photons and the inherent limitations of imaging sensors lead to challenges such as low signal-to-noise ratio, limited dynamic range, and degraded contrast, severely compromising image quality and optical information integrity. To address these challenges, we [...] Read more.
In low-light optical imaging, the scarcity of incident photons and the inherent limitations of imaging sensors lead to challenges such as low signal-to-noise ratio, limited dynamic range, and degraded contrast, severely compromising image quality and optical information integrity. To address these challenges, we propose a novel low-light image enhancement technique, LightenResDiff, which combines a residual diffusion model with the discrete wavelet transform. The core innovation of LightenResDiff lies in it accurately restoring the low-frequency components of an image through the residual diffusion model, effectively capturing and reconstructing its fundamental structure, contours, and global features. Additionally, the dual cross-coefficients recovery module (DCRM) is designed to process high-frequency components, enhancing fine details and local contrast. Moreover, the perturbation compensation module (PCM) mitigates noise sources specific to low-light optical environments, such as dark current noise and readout noise, significantly improving overall image fidelity. Experimental results across four widely-used benchmark datasets demonstrate that LightenResDiff outperforms existing methods both qualitatively and quantitatively, surpassing the current state-of-the-art techniques. Full article
Show Figures

Figure 1

20 pages, 1166 KB  
Article
MSP-EDA: Multivariate Time Series Forecasting Based on Multiscale Patches and External Data Augmentation
by Shunhua Peng, Wu Sun, Panfeng Chen, Huarong Xu, Dan Ma, Mei Chen, Yanhao Wang and Hui Li
Electronics 2025, 14(13), 2618; https://doi.org/10.3390/electronics14132618 - 28 Jun 2025
Viewed by 677
Abstract
Accurate multivariate time series forecasting remains a major challenge in various real-world applications, primarily due to the limitations of existing models in capturing multiscale temporal dependencies and effectively integrating external data. To address these issues, we propose MSP-EDA, a novel multivariate time series [...] Read more.
Accurate multivariate time series forecasting remains a major challenge in various real-world applications, primarily due to the limitations of existing models in capturing multiscale temporal dependencies and effectively integrating external data. To address these issues, we propose MSP-EDA, a novel multivariate time series forecasting framework that integrates multiscale patching and external data enhancement. Specifically, MSP-EDA utilizes the Discrete Fourier Transform (DFT) to extract dominant global periodic patterns and employs an adaptive Continuous Wavelet Transform (CWT) to capture scale-sensitive local variations. In addition, multiscale patches are constructed to capture temporal patterns at different resolutions, and a specialized encoder is designed for each scale. Each encoder incorporates temporal attention, channel correlation attention, and cross-attention with external data to capture intra-scale temporal dependencies, inter-variable correlations, and external influences, respectively. To fuse information from different temporal scales, we introduce a trainable global token that serves as a variable-wise aggregator across scales. Extensive experiments on four public benchmark datasets and three real-world vector database datasets that we collect demonstrate that MSP-EDA consistently outperforms state-of-the-art methods, achieving particularly notable improvements on vector database workloads. Ablation studies further confirm the effectiveness of each module and the adaptability of MSP-EDA to complex forecasting scenarios involving external dependencies. Full article
(This article belongs to the Special Issue Machine Learning in Data Analytics and Prediction)
Show Figures

Figure 1

19 pages, 7025 KB  
Article
CDWMamba: Cloud Detection with Wavelet-Enhanced Mamba for Optical Satellite Imagery
by Shiyao Meng, Wei Gong, Siwei Li, Ge Song, Jie Yang and Yu Ding
Remote Sens. 2025, 17(11), 1874; https://doi.org/10.3390/rs17111874 - 28 May 2025
Cited by 1 | Viewed by 853
Abstract
Accurate cloud detection is a critical preprocessing step in remote sensing applications, as cloud and cloud shadow contamination can significantly degrade the quality of optical satellite imagery. In this paper, we propose CDWMamba, a novel dual-domain neural network that integrates the Mamba-based state [...] Read more.
Accurate cloud detection is a critical preprocessing step in remote sensing applications, as cloud and cloud shadow contamination can significantly degrade the quality of optical satellite imagery. In this paper, we propose CDWMamba, a novel dual-domain neural network that integrates the Mamba-based state space model with discrete wavelet transform (DWT) for effective cloud detection. CDWMamba adopts a four-direction Mamba module to capture long-range dependencies, while the wavelet decomposition enables multi-scale global context modeling in the frequency domain. To further enhance fine-grained spatial features, we incorporate a multi-scale depth-wise separable convolution (MDC) module for spatial detail refinement. Additionally, a spectral–spatial bottleneck (SSN) with channel-wise attention is introduced to promote inter-band information interaction across multi-spectral inputs. We evaluate our method on two benchmark datasets, L8 Biome and S2_CMC, covering diverse land cover types and environmental conditions. Experimental results demonstrate that CDWMamba achieves state-of-the-art performance across multiple metrics, significantly outperforming deep-learning-based baselines in terms of overall accuracy, mIoU, precision, and recall. Moreover, the model exhibits satisfactory performance under challenging conditions such as snow/ice and shrubland surfaces. These results verify the effectiveness of combining a state space model, frequency-domain representation, and spectral–spatial attention for cloud detection in multi-spectral remote sensing imagery. Full article
Show Figures

Graphical abstract

15 pages, 16805 KB  
Article
Performance Improvement for Discretely Modulated Continuous-Variable Measurement-Device-Independent Quantum Key Distribution with Imbalanced Modulation
by Zehui Liu, Jiandong Bai, Fengchao Li, Yijun Li, Yan Tian and Wenyuan Liu
Entropy 2025, 27(2), 160; https://doi.org/10.3390/e27020160 - 3 Feb 2025
Viewed by 1567
Abstract
The modulation mode at the transmitters plays a crucial role in the continuous-variable measurement-device-independent quantum key distribution (CV-MDI-QKD) protocol. However, in practical applications, differences in the modulation schemes between two transmitters can inevitably impact protocol performance, particularly when using discrete modulation with four-state [...] Read more.
The modulation mode at the transmitters plays a crucial role in the continuous-variable measurement-device-independent quantum key distribution (CV-MDI-QKD) protocol. However, in practical applications, differences in the modulation schemes between two transmitters can inevitably impact protocol performance, particularly when using discrete modulation with four-state or eight-state formats. This work primarily investigates the effect of imbalanced modulation at the transmitters on the security of the CV-MDI-QKD protocol under both symmetric and asymmetric distance scenarios. By employing imbalanced discrete modulation maps and numerical convex optimization techniques, the proposed CV-MDI-QKD protocol achieves a notably higher secret key rate and outperforms existing protocols in terms of maximum transmission distance. Specifically, simulation results demonstrate that the secret key rate and maximum transmission distance are boosted by approximately 77.77% and 24.3%, respectively, compared to the original protocol. This novel and simplified modulation method can be seamlessly implemented in existing experimental setups without requiring equipment modifications. Furthermore, it provides a practical approach to enhancing protocol performance and enabling cost-effective applications in secure quantum communication networks under real-world environments. Full article
(This article belongs to the Section Quantum Information)
Show Figures

Figure 1

15 pages, 16172 KB  
Article
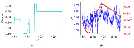
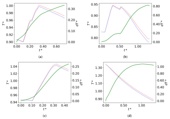
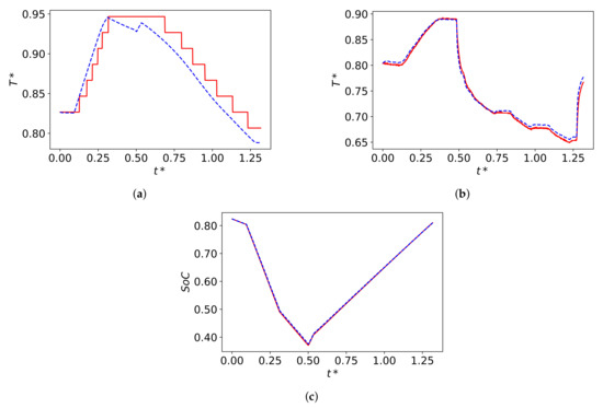
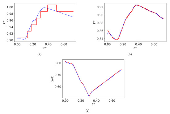
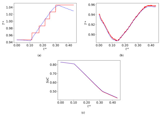
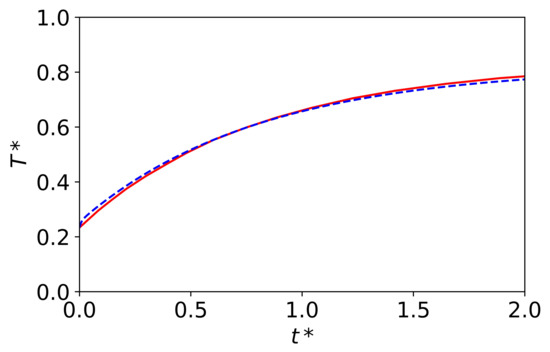
System-Level Modeling and Thermal Simulations of Large Battery Packs for Electric Trucks
by Anandh Ramesh Babu, Jelena Andric, Blago Minovski and Simone Sebben
Energies 2021, 14(16), 4796; https://doi.org/10.3390/en14164796 - 6 Aug 2021
Cited by 14 | Viewed by 3554
Abstract
Electromobility has gained significance over recent years and the requirements on the performance and efficiency of electric vehicles are growing. Lithium-ion batteries are the primary source of energy in electric vehicles and their performance is highly dependent on the operating temperature. There is [...] Read more.
Electromobility has gained significance over recent years and the requirements on the performance and efficiency of electric vehicles are growing. Lithium-ion batteries are the primary source of energy in electric vehicles and their performance is highly dependent on the operating temperature. There is a compelling need to create a robust modeling framework to drive the design of vehicle batteries in the ever-competitive market. This paper presents a system-level modeling methodology for thermal simulations of large battery packs for electric trucks under real-world operating conditions. The battery pack was developed in GT-SUITE, where module-to-module discretization was performed to study the thermal behavior and temperature distribution within the pack. The heat generated from each module was estimated using Bernardi’s expression and the pack model was calibrated for thermal interface material properties under a heat-up test. The model evaluation was performed for four charging/discharging and cooling scenarios typical for truck operations. The results show that the model accurately predicts the average pack temperature, the outlet coolant temperature and the state of charge of the battery pack. The methodology developed can be integrated with the powertrain and passenger cabin cooling systems to study complete vehicle thermal management and/or analyze different battery design choices. Full article
Show Figures

Figure 1

18 pages, 1488 KB  
Article
Performance Improvement of Discretely Modulated Continuous-Variable Quantum Key Distribution with Untrusted Source via Heralded Hybrid Linear Amplifier
by Kunlin Zhou, Xuelin Wu, Yun Mao, Zhiya Chen, Qin Liao and Ying Guo
Entropy 2020, 22(8), 882; https://doi.org/10.3390/e22080882 - 12 Aug 2020
Viewed by 2900
Abstract
In practical quantum communication networks, the scheme of continuous-variable quantum key distribution (CVQKD) faces a challenge that the entangled source is controlled by a malicious eavesdropper, and although it still can generate a positive key rate and security, its performance needs to be [...] Read more.
In practical quantum communication networks, the scheme of continuous-variable quantum key distribution (CVQKD) faces a challenge that the entangled source is controlled by a malicious eavesdropper, and although it still can generate a positive key rate and security, its performance needs to be improved, especially in secret key rate and maximum transmission distance. In this paper, we proposed a method based on the four-state discrete modulation and a heralded hybrid linear amplifier to enhance the performance of CVQKD where the entangled source originates from malicious eavesdropper. The four-state CVQKD encodes information by nonorthogonal coherent states in phase space. It has better transmission distance than Gaussian modulation counterpart, especially at low signal-to-noise ratio (SNR). Moreover, the hybrid linear amplifier concatenates a deterministic linear amplifier (DLA) and a noiseless linear amplifier (NLA), which can improve the probability of amplification success and reduce the noise penalty caused by the measurement. Furthermore, the hybrid linear amplifier can raise the SNR of CVQKD and tune between two types of performance for high-gain mode and high noise-reduction mode, therefore it can extend the maximal transmission distance while the entangled source is untrusted. Full article
(This article belongs to the Special Issue Quantum Entanglement)
Show Figures

Figure 1

19 pages, 3540 KB  
Article
Security Analysis of Discrete-Modulated Continuous-Variable Quantum Key Distribution over Seawater Channel
by Xinchao Ruan, Hang Zhang, Wei Zhao, Xiaoxue Wang, Xuan Li and Ying Guo
Appl. Sci. 2019, 9(22), 4956; https://doi.org/10.3390/app9224956 - 18 Nov 2019
Cited by 16 | Viewed by 3673
Abstract
We investigate the optical absorption and scattering properties of four different kinds of seawater as the quantum channel. The models of discrete-modulated continuous-variable quantum key distribution (CV-QKD) in free-space seawater channel are briefly described, and the performance of the four-state protocol and the [...] Read more.
We investigate the optical absorption and scattering properties of four different kinds of seawater as the quantum channel. The models of discrete-modulated continuous-variable quantum key distribution (CV-QKD) in free-space seawater channel are briefly described, and the performance of the four-state protocol and the eight-state protocol in asymptotic and finite-size cases is analyzed in detail. Simulation results illustrate that the more complex is the seawater composition, the worse is the performance of the protocol. For different types of seawater channels, we can improve the performance of the protocol by selecting different optimal modulation variances and controlling the extra noise on the channel. Besides, we can find that the performance of the eight-state protocol is better than that of the four-state protocol, and there is little difference between homodyne detection and heterodyne detection. Although the secret key rate of the protocol that we propose is still relatively low and the maximum transmission distance is only a few hundred meters, the research on CV-QKD over the seawater channel is of great significance, which provides a new idea for the construction of global secure communication network. Full article
(This article belongs to the Special Issue Quantum Communications and Quantum Networks)
Show Figures

Figure 1

27 pages, 1186 KB  
Article
Adaptive-Compression Based Congestion Control Technique for Wireless Sensor Networks
by Joa-Hyoung Lee and In-Bum Jung
Sensors 2010, 10(4), 2919-2945; https://doi.org/10.3390/s100402919 - 29 Mar 2010
Cited by 51 | Viewed by 9800
Abstract
Congestion in a wireless sensor network causes an increase in the amount of data loss and delays in data transmission. In this paper, we propose a new congestion control technique (ACT, Adaptive Compression-based congestion control Technique) based on an adaptive compression scheme for [...] Read more.
Congestion in a wireless sensor network causes an increase in the amount of data loss and delays in data transmission. In this paper, we propose a new congestion control technique (ACT, Adaptive Compression-based congestion control Technique) based on an adaptive compression scheme for packet reduction in case of congestion. The compression techniques used in the ACT are Discrete Wavelet Transform (DWT), Adaptive Differential Pulse Code Modulation (ADPCM), and Run-Length Coding (RLC). The ACT first transforms the data from the time domain to the frequency domain, reduces the range of data by using ADPCM, and then reduces the number of packets with the help of RLC before transferring the data to the source node. It introduces the DWT for priority-based congestion control because the DWT classifies the data into four groups with different frequencies. The ACT assigns priorities to these data groups in an inverse proportion to the respective frequencies of the data groups and defines the quantization step size of ADPCM in an inverse proportion to the priorities. RLC generates a smaller number of packets for a data group with a low priority. In the relaying node, the ACT reduces the amount of packets by increasing the quantization step size of ADPCM in case of congestion. Moreover, in order to facilitate the back pressure, the queue is controlled adaptively according to the congestion state. We experimentally demonstrate that the ACT increases the network efficiency and guarantees fairness to sensor nodes, as compared with the existing methods. Moreover, it exhibits a very high ratio of the available data in the sink. Full article
(This article belongs to the Section Chemical Sensors)
Show Figures

Back to TopTop