Sign in to use this feature.

Years

Between: -

Subjects

remove_circle_outline
remove_circle_outline
remove_circle_outline
remove_circle_outline
remove_circle_outline
remove_circle_outline
remove_circle_outline

Journals

Article Types

Countries / Regions

Search Results (14)

Search Parameters:
Keywords = fiber attrition

Order results
Result details
Results per page
Select all
Export citation of selected articles as:
28 pages, 1331 KB  
Review
ECM Remodeling in Direct Inguinal Hernia: The Role of Aging, Oxidative Stress, and Antioxidants Defenses
by John Dawi, Yura Misakyan, Edgar Gonzalez, Kevin Kafaja, Scarlet Affa, Kevin Tumanyan, Kyla Qumsieh and Vishwanath Venketaraman
Clin. Pract. 2025, 15(12), 219; https://doi.org/10.3390/clinpract15120219 - 24 Nov 2025
Cited by 1 | Viewed by 1001
Abstract
Inguinal hernia represents a multifactorial condition driven by extracellular matrix (ECM) dysregulation, collagen imbalance, and oxidative stress. Across studies, a consistent reduction in the collagen I:III ratio, coupled with altered expression of matrix metalloproteinases (MMPs) and tissue inhibitors of metalloproteinases (TIMPs), underpins weakened [...] Read more.
Inguinal hernia represents a multifactorial condition driven by extracellular matrix (ECM) dysregulation, collagen imbalance, and oxidative stress. Across studies, a consistent reduction in the collagen I:III ratio, coupled with altered expression of matrix metalloproteinases (MMPs) and tissue inhibitors of metalloproteinases (TIMPs), underpins weakened fascia and hernia susceptibility. Aging further impairs ECM remodeling through fibroblast senescence, cross-linking deficits, and elastic fiber attrition, while oxidative stress and inflammation amplify tissue degradation and impair repair mechanisms. Evidence from clinical and experimental studies underscores the interplay between surgical technique, mesh choice, redox balance, and recurrence risk. Understanding the combined impact of aging and oxidative stress provides a mechanistic framework for targeted therapeutic and surgical strategies aimed at preventing hernia development and recurrence. Full article
Show Figures

Figure 1

15 pages, 1897 KB  
Article
Enabling Industrial Re-Use of Large-Format Additive Manufacturing Molding and Tooling
by Matthew Korey, Amber M. Hubbard, Gregory Haye, Robert Bedsole, Zachary Skelton, Neeki Meshkat, Ashish L. S. Anilal, Kathryn Slavny, Katie Copenhaver, Tyler Corum, Don X. Bones, William M. Gramlich, Chad Duty and Soydan Ozcan
Polymers 2025, 17(22), 2981; https://doi.org/10.3390/polym17222981 - 10 Nov 2025
Viewed by 1136
Abstract
Large-format additive manufacturing (LFAM) is an enabling manufacturing technology capable of producing large parts with highly complex geometries for a wide variety of applications, including automotive, infrastructure/construction, and aerospace mold and tooling. In the past decade, the LFAM industry has seen widespread use [...] Read more.
Large-format additive manufacturing (LFAM) is an enabling manufacturing technology capable of producing large parts with highly complex geometries for a wide variety of applications, including automotive, infrastructure/construction, and aerospace mold and tooling. In the past decade, the LFAM industry has seen widespread use of bio-based, glass, and/or carbon fiber reinforced thermoplastic composites which, when printed, serve as a lower-cost alternative to metallic parts. One of the highest-volume materials utilized by the industry is carbon fiber (CF)-filled polycarbonate (PC), which in out-of-autoclave applications can achieve comparable mechanical performance to metal at a significantly lower cost. Previous work has shown that if this material is recovered at various points throughout the manufacturing process for both the lab and pilot scale, it can be mechanically recycled with minimal impacts on the functional performance and printability of the material while significantly reducing the feedstock costs. End-of-life (EOL) CF-PC components were processed through industrial shredding, melt compounding, and LFAM equipment, followed by evaluation of the second-life material properties. Experimental assessments included quantitative analysis of fiber length attrition, polymer molecular weight degradation using gel permeation chromatography (GPC), density changes via pycnometry, thermal performance using dynamic mechanical analysis (DMA), and mechanical performance (tensile properties) in both the X- and Z-directions. Results demonstrated a 24.6% reduction in average fiber length compared to virgin prints, accompanied by a 21% decrease in X-direction tensile strength and a 39% reduction in tensile modulus. Despite these reductions, Z-direction tensile modulus improved by 4%, density increased by 6.8%, and heat deflection temperature (HDT) under high stress retained over 97% of its original value. These findings underscore the potential for integrating mechanically recycled CF-PC into industrial LFAM applications while highlighting the need for technological innovations to mitigate fiber degradation and enhance material performance for broader adoption. This critical step toward circular material practices in LFAM offers a pathway to reducing feedstock costs and environmental impact while maintaining functional performance in industrial applications. Full article
(This article belongs to the Special Issue Additive Manufacturing of Polymer Based Materials)
Show Figures

Figure 1

31 pages, 1151 KB  
Review
Aging and Corneal Nerve Health: Mechanisms of Degeneration and Emerging Therapies for the Cornea
by Hanieh Niktinat, Melinda Alviar, Marziyeh Kashani, Hamed Massoumi, Ali R. Djalilian and Elmira Jalilian
Cells 2025, 14(21), 1730; https://doi.org/10.3390/cells14211730 - 4 Nov 2025
Viewed by 2046
Abstract
Corneal nerves play a crucial role in maintaining ocular surface homeostasis by supporting the functional integrity of corneal epithelial, stromal, and endothelial cells; modulating tear secretion; and facilitating sensory responses essential for overall ocular health. With advancing age, these highly specialized peripheral sensory [...] Read more.
Corneal nerves play a crucial role in maintaining ocular surface homeostasis by supporting the functional integrity of corneal epithelial, stromal, and endothelial cells; modulating tear secretion; and facilitating sensory responses essential for overall ocular health. With advancing age, these highly specialized peripheral sensory fibers undergo progressive attrition and morphologic distortion driven by the canonical hallmarks of aging including genomic instability, impaired proteostasis, mitochondrial dysfunction, and chronic low-grade inflammation. The resulting neuro-immune dysregulation reduces trophic support, delays wound healing, and predisposes older adults to dry-eye disease, neurotrophic keratopathy, and postsurgical hypoesthesia. Age-exacerbating cofactors including diabetes, dyslipidemia, neurodegenerative disorders, topical preservatives, chronic contact-lens wear, herpes zoster ophthalmicus, and ocular-surface hypoxia further accelerate sub-basal nerve rarefaction and functional decline. This review provides an overview of age-related physiological alterations in ocular surface nerves, with a particular emphasis on corneal innervation. It also discusses risk factors that speed up these changes. Given the inherently limited regenerative capacity of corneal nerves and their inability to fully restore to baseline conditions following injury or degeneration, it is critical to identify and develop effective strategies aimed at mitigating or delaying physiological nerve degeneration and promoting nerve regeneration. This review also brings up emerging therapeutic strategies, including regenerative medicine, neuroprotective agents, and lifestyle interventions aimed at mitigating age-related corneal nerve degeneration. Full article
Show Figures

Figure 1

12 pages, 5228 KB  
Article
Early Fault Detection in a Real Scenario of Hybrid Fiber–Coaxial Networks Using Machine Learning: An Approach Based on Decision Trees and Random Forests
by Christian Szcerba, Enrique Dávalos, Ariel Leiva and Juan Pinto-Ríos
Appl. Sci. 2025, 15(19), 10442; https://doi.org/10.3390/app151910442 - 26 Sep 2025
Viewed by 724
Abstract
Cable service providers face significant challenges in managing Hybrid Fiber–Coaxial (HFC) networks due to the growing demand for high-speed services. Ensuring high service availability is critical to preventing customer attrition. This study employs machine learning techniques, specifically Decision Tree and Random Forest models, [...] Read more.
Cable service providers face significant challenges in managing Hybrid Fiber–Coaxial (HFC) networks due to the growing demand for high-speed services. Ensuring high service availability is critical to preventing customer attrition. This study employs machine learning techniques, specifically Decision Tree and Random Forest models, for proactive fault detection in HFC networks using data from the Simple Network Management Protocol (SNMP). Two operational scenarios were considered: a network-wide model and node-specific models. The dataset for fault detection exhibited a severe class imbalance, with outage events being extremely rare. To address this, the Synthetic Minority Oversampling Technique (SMOTE), which generates synthetic samples of the minority class to balance the dataset, was applied. This significantly improved recall and F1-scores—the harmonic mean of precision and recall—while maintaining high precision. The results demonstrate that these machine learning algorithms achieve up to 98% accuracy, and the SMOTE-enhanced models provide more reliable detection of connectivity faults. This approach is highly effective for cable operators in maintaining quality of service, enabling proactive management of problems and enhancement of network performance. Full article
Show Figures

Figure 1

16 pages, 3998 KB  
Article
In-Process Recycling of 35% Glass Fiber-Reinforced Polyamide 6,6 Runners: Effects on Thermomechanical Properties and Viability for Diesel Injector Socket Production
by Elif Sahiner and Yasin Altin
Polymers 2025, 17(19), 2569; https://doi.org/10.3390/polym17192569 - 23 Sep 2025
Viewed by 757
Abstract
Significant pre-consumer waste in the form of runners is generated during the injection molding of high-performance automotive components, representing both a substantial economic loss and an environmental burden. This study therefore comprehensively evaluated the mechanical recycling of pre-consumer 35% glass fiber-reinforced Polyamide 6,6 [...] Read more.
Significant pre-consumer waste in the form of runners is generated during the injection molding of high-performance automotive components, representing both a substantial economic loss and an environmental burden. This study therefore comprehensively evaluated the mechanical recycling of pre-consumer 35% glass fiber-reinforced Polyamide 6,6 (%35GF-PA66) runners for in-process reuse in diesel injector socket production. The effects of blending recycled polymer (RP) at 2.5%, 5%, 10%, and 15% by weight and up to 10 recycling cycles with 15 wt.% RP on the thermal, mechanical, and morphological properties were investigated. Tensile strength slightly decreased (~3% at 10% RP) compared to virgin material, while elongation at break increased with higher RP content. Multiple recycling cycles had minimal impact on tensile strength, and the heat deflection temperature (HDT) remained nearly constant (~0.7 °C variation after 10 cycles, within experimental uncertainty). The melt flow index (MFI) increased significantly with successive recycling cycles, indicating molecular weight reduction due to thermomechanical degradation. DSC analysis confirmed stable melting and crystallization temperatures (variation < 1 °C), suggesting preserved crystalline structure. SEM analysis revealed increased void formation at the fiber–matrix interface and fiber attrition with successive recycling, correlating with reduced flexural properties. In-process recycling of %35GF-PA66 runners is viable, particularly at ≤15% RP and fewer cycles, offering significant cost savings (e.g., ~EUR 344,000 annually for a large producer) and environmental benefits. Full article
Show Figures

Figure 1

16 pages, 8005 KB  
Article
Preparation of Polypropylene Composites with Pyrolyzed Carbon Fibers Using an Internal Mixer
by Dennis Müller, Matthias Bruchmüller and Florian Puch
Recycling 2024, 9(6), 115; https://doi.org/10.3390/recycling9060115 - 22 Nov 2024
Cited by 2 | Viewed by 2990
Abstract
The use of pyrolyzed carbon fibers (pCFs) in the secondary raw material market is growing, but potential applications for pCFs are limited by their wool-like appearance. Common solutions are further processing into fiber mats or shredding and adding the fibers during compounding in [...] Read more.
The use of pyrolyzed carbon fibers (pCFs) in the secondary raw material market is growing, but potential applications for pCFs are limited by their wool-like appearance. Common solutions are further processing into fiber mats or shredding and adding the fibers during compounding in twin-screw extruders (TSEs). In the latter process, the initial fiber length is usually reduced to less than 1 mm during compounding and further reduced during injection molding. Hence, this paper presents an alternative compounding approach by investigating if internal mixers (IMs) are suitable for retaining pCFs after compounding longer. First, the influence of the mixing sequence for adding pCFs to the mixing process of the resulting fiber length was investigated. Second, a design of experiments was carried out using a laboratory IM, considering the process parameters of rotational speed, mixing time, coupling agent content, initial fiber length, and chamber filling level. Third, the results obtained were scaled up and applied to a production-scale IM. Important findings are that the melting of the matrix polymer should occur before fibers are added. This results in fiber contents of 20 wt.%. To achieve higher fiber contents, small amounts of carbon fiber must be added during the melting process. The process parameters investigated had no significant influence on the resulting fiber length. Compounding with IM is suitable for an initial fiber length of up to 24 mm. A composite with carbon fibers from industrial offcuts (rCFs) prepared by TSE compounding was used to compare the mechanical properties of the injection-molded samples due to the non-availability of composites with pyrolyzed fibers. Compounding resulted in an improvement in the weight-average fiber length from 226 µm (TSE) to 540 µm (IM). However, this fiber length could not be preserved during injection molding, resulting in similar mechanical properties of both, the pCF composites prepared by an IM and the commercially available rCF composites. Full article
Show Figures

Figure 1

19 pages, 5352 KB  
Article
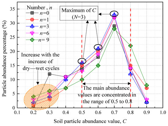
Macroscopic and Microscopic Characteristics of Strength Degradation of Silty Soil Improved by Regenerated Polyester Fibers under Dry–Wet Cycling
by Xiaoyan Liu, Meng Han, Tong Liu and Lulu Liu
Polymers 2023, 15(22), 4367; https://doi.org/10.3390/polym15224367 - 9 Nov 2023
Cited by 5 | Viewed by 2176
Abstract
The structural stability of silt foundations, particularly sensitive to moisture content, can be severely compromised by recurring wetting and drying processes. This not only threatens the foundational integrity but also raises grave concerns about the long-term safety of major civil engineering endeavors. Addressing [...] Read more.
The structural stability of silt foundations, particularly sensitive to moisture content, can be severely compromised by recurring wetting and drying processes. This not only threatens the foundational integrity but also raises grave concerns about the long-term safety of major civil engineering endeavors. Addressing this critical issue, our study delves into the transformative effects of reclaimed polyester fiber on subgrade silt exposed to such environmental stressors. Through rigorous wet–dry cycle tests on this enhanced soil, we evaluate shifts in shear strength across varying confining pressures. We also dissect the interplay between average pore diameter, particle distribution, and morphology in influencing the soil’s microstructural responses to these cycles. A detailed analysis traces the structural damage timeline in the treated soil, elucidating the intertwined micro–macro dynamics driving strength reduction. Key discoveries indicate a notably non-linear trajectory of shear strength degradation, marked by distinct phases of rapid, subdued, and stabilized strength attrition. Alterations within the micropores induce a rise in both their count and size, ultimately diminishing the total volume proportion of the reinforced soil. Intriguingly, particle distribution is directly tied to the wet–dry cycle frequency, while the fractal dimension of soil particles consistently wanes. This research identifies cement hydrolysis and pore expansion as the dominant culprits behind the observed macroscopic strength degradation due to incessant wet–dry cycles. These revelations hold profound implications for risk management and infrastructural strategizing in areas dominated by silt foundations. Full article
(This article belongs to the Section Polymer Applications)
Show Figures

Figure 1

13 pages, 5449 KB  
Article
A New Image Analysis Assisted Semi-Automatic Geometrical Measurement of Fibers in Thermoplastic Composites: A Case Study on Giant Reed Fibers
by Luis Suárez, Mark Billham, Graham Garrett, Eoin Cunningham, María Dolores Marrero and Zaida Ortega
J. Compos. Sci. 2023, 7(8), 326; https://doi.org/10.3390/jcs7080326 - 9 Aug 2023
Cited by 7 | Viewed by 2408
Abstract
This work describes a systematic method for the analysis of the attrition and residual morphology of natural fibers during the compounding process by twin-screw extrusion. There are several methods for the assessment of fiber lengths and morphology, although they are usually based on [...] Read more.
This work describes a systematic method for the analysis of the attrition and residual morphology of natural fibers during the compounding process by twin-screw extrusion. There are several methods for the assessment of fiber lengths and morphology, although they are usually based on the use of non-affordable apparatus or time-consuming methods. In this research, the variation of morphological features such as the length, diameter and aspect ratio of natural fibers were analyzed by affordable optical scanning methods and open-source software. This article presents the different steps to perform image acquisition, refining and measurement in an automated way, achieving statistically representative results, with thousands of fibers analyzed per scanned sample. The use of this technique for the measurement of giant reed fibers in polyethylene (PE) and polylactide (PLA)-based composite materials has proved that there are no significant differences in the output fiber morphology of the compound, regardless of the fiber feed sizes, extruder scale, or the polymer used as matrix. The ratio of fiber introduced for the production of composites also did not significantly affect the final fiber size. The greatest reduction in size was obtained in the first kneading zone during compounding. Pelletizing or injection molding did not significantly modify the fiber size distribution. Full article
(This article belongs to the Section Fiber Composites)
Show Figures

Figure 1

14 pages, 21443 KB  
Article
Effect of Fiber Bundle Morphology on Fiber Dispersion for Long Fiber-Reinforced Thermoplastics
by Hector Sebastian Perez, Allen Jonathan Román, Abrahán Bechara Senior and Tim Osswald
Polymers 2023, 15(13), 2790; https://doi.org/10.3390/polym15132790 - 23 Jun 2023
Cited by 2 | Viewed by 1963
Abstract
Understanding the mechanics of fiber attrition during the extrusion process is highly important in predicting the strength of long fiber-reinforced thermoplastic composites. However, little work has been done to investigate the mechanics of fiber dispersion and its effects on fiber attrition. This study [...] Read more.
Understanding the mechanics of fiber attrition during the extrusion process is highly important in predicting the strength of long fiber-reinforced thermoplastic composites. However, little work has been done to investigate the mechanics of fiber dispersion and its effects on fiber attrition. This study aims at investigating fiber dispersion in simple shear flows for long fiber-reinforced thermoplastic pellets. Depending on the fabrication process, fiber bundles display distinct levels of compaction within the pellets. Studies have shown that morphological differences can lead to differences in dispersion mechanics; therefore, using a Couette rheometer and a sliding plate rheometer, coated and pultruded pellets were subjected to simple shear deformation, and the amount of dispersion was quantified. Additionally, a new image-based analysis method is presented in this study to measure fiber dispersion for a multi-pellet-filled system. Results from the single-pellet dispersion study showed a small amount of correlation between the dimensionless morphological parameter and the dispersion measurement. Pultruded and coated pellets were both found to have similar dispersion rates in a multi-pellet system. However, pultruded pellets were found to have a higher dispersion value at all levels when compared with coated pellets in both dispersion studies. Full article
Show Figures

Figure 1

27 pages, 7978 KB  
Review
A Review on Microstructural Formations of Discontinuous Fiber-Reinforced Polymer Composites Prepared via Material Extrusion Additive Manufacturing: Fiber Orientation, Fiber Attrition, and Micro-Voids Distribution
by Zhaogui Wang, Zhenyu Fang, Zhongqi Xie and Douglas E. Smith
Polymers 2022, 14(22), 4941; https://doi.org/10.3390/polym14224941 - 15 Nov 2022
Cited by 26 | Viewed by 4932
Abstract
A discontinuous fiber-reinforced polymer composite (DFRPC) provides superior mechanical performances in material extrusion additive manufacturing (MEAM) parts, and thus promotes their implementations in engineering applications. However, the process-induced structural defects of DFRPCs increase the probability of pre-mature failures as the manufactured parts experience [...] Read more.
A discontinuous fiber-reinforced polymer composite (DFRPC) provides superior mechanical performances in material extrusion additive manufacturing (MEAM) parts, and thus promotes their implementations in engineering applications. However, the process-induced structural defects of DFRPCs increase the probability of pre-mature failures as the manufactured parts experience complicated external loads. In light of this, the meso-structures of the MEAM parts have been discussed previously, while systematic analyses reviewing the studies of the micro-structural formations of the composites are limited. This paper summarizes the current state-of-the-art in exploring the correlations between the MEAM processes and the associated micro-structures of the produced composites. Experimental studies and numerical analyses including fiber orientation, fiber attrition, and micro-voids are collected and discussed. Based on the review and parametric study results, it is considered that the theories and numerical characterizations on fiber length attrition and micro-porosities within the MEAM-produced composites are in high demand, which is a potential topic for further explorations. Full article
Show Figures

Graphical abstract

11 pages, 1139 KB  
Article
Pilot Scale Roller Milling of Chickpeas into a De-Hulled Coarse Meal and Fine Flour
by Randall Martin, Kaliramesh Siliveru, Jason Watt, Paul Blodgett and Sajid Alavi
Processes 2022, 10(11), 2328; https://doi.org/10.3390/pr10112328 - 9 Nov 2022
Cited by 7 | Viewed by 3169
Abstract
Chickpeas and other high protein plants are becoming increasingly popular. Traditionally, attrition or hammer mills are used for milling chickpeas. However, the use of roller mills on chickpeas has not been extensively researched. This study compared pilot-scale milling trials involving whole Kabuli compared [...] Read more.
Chickpeas and other high protein plants are becoming increasingly popular. Traditionally, attrition or hammer mills are used for milling chickpeas. However, the use of roller mills on chickpeas has not been extensively researched. This study compared pilot-scale milling trials involving whole Kabuli compared to split and de-hulled Desi chickpeas. A flow sheet was designed and optimized for meal production with minimal co-product flour produced. Milling yields, particle size, and proximate analysis data were recorded. The optimum flow sheet consisted of 4 break passages, 2 smooth roll passages, and 4 purifiers. Results showed whole Kabuli chickpeas had a higher meal yield, at 63.8%, than split Desi seeds, at 54.1%; with both percentages proportional to the weight of milled seed. The remaining 36.2% or 45.9% consisted of co-product flour, feed streams and process losses. Both meals had an average particle size between 600 and 850 microns and both flours had a bimodal particle size distribution with peaks at 53 and 90–150 microns. The use of purifiers facilitated better separation of hull and resulted in lower crude fiber levels in the Kabuli meal. Proximate analysis trends were similar for both chickpea meals with higher protein (~2% more), crude fiber (~1% more) and ash (0.1–0.3% more) in the meal compared to the co-product flour. The co-product flour had substantially higher total starch (~15% more) than the meal. The results of this research can be used to modify wheat mills to process chickpeas. Full article
(This article belongs to the Special Issue Processing and Properties Analysis of Grain Foods)
Show Figures

Figure 1

15 pages, 1609 KB  
Article
Effects of Randomized Controlled Infancy-Onset Dietary Intervention on Leukocyte Telomere Length—The Special Turku Coronary Risk Factor Intervention Project (STRIP)
by Niina Pitkänen, Katja Pahkala, Suvi P. Rovio, Outi J. Saijonmaa, Anna E. Nyman, Antti Jula, Hanna Lagström, Jorma S. A. Viikari, Tapani Rönnemaa, Harri Niinikoski, Olli Simell, Frej Fyhrquist and Olli T. Raitakari
Nutrients 2021, 13(2), 318; https://doi.org/10.3390/nu13020318 - 22 Jan 2021
Cited by 3 | Viewed by 2945
Abstract
Reduced telomere length (TL) is a biological marker of aging. A high inter-individual variation in TL exists already in childhood, which is partly explained by genetics, but also by lifestyle factors. We examined the influence of a 20-year dietary/lifestyle intervention on TL attrition [...] Read more.
Reduced telomere length (TL) is a biological marker of aging. A high inter-individual variation in TL exists already in childhood, which is partly explained by genetics, but also by lifestyle factors. We examined the influence of a 20-year dietary/lifestyle intervention on TL attrition from childhood to early adulthood. The study comprised participants of the longitudinal randomized Special Turku Coronary Risk Factor Intervention Project (STRIP) conducted between 1990 and 2011. Healthy 7-month-old children were randomized to the intervention group (n = 540) receiving dietary counseling mainly focused on dietary fat quality and to the control group (n = 522). Leukocyte TL was measured using the Southern blot method from whole blood samples collected twice: at a mean age of 7.5 and 19.8 years (n = 232; intervention n = 108, control n = 124). Yearly TL attrition rate was calculated. The participants of the intervention group had slower yearly TL attrition rate compared to the controls (intervention: mean = −7.5 bp/year, SD = 24.4 vs. control: mean = −15.0 bp/year, SD = 30.3; age, sex and baseline TL adjusted β = 0.007, SE = 0.004, p = 0.040). The result became stronger after additional adjustments for dietary fat quality and fiber intake, serum lipid and insulin concentrations, systolic blood pressure, physical activity and smoking (β = 0.013, SE = 0.005, p = 0.009). A long-term intervention focused mainly on dietary fat quality may affect the yearly TL attrition rate in healthy children/adolescents. Full article
(This article belongs to the Section Nutritional Epidemiology)
Show Figures

Graphical abstract

11 pages, 4841 KB  
Article
A Force-Balanced Fiber Retardation Model to Predict Fiber-Matrix-Separation during Polymer Processing
by Christoph Kuhn and Simon Wehler
J. Compos. Sci. 2020, 4(4), 165; https://doi.org/10.3390/jcs4040165 - 1 Nov 2020
Cited by 5 | Viewed by 2480
Abstract
The use of discontinuous fiber reinforced composites in injection and compression molding faces a number of challenges regarding process-induced changes in microstructure, which have a significant influence on the mechanical properties of the final component. The changes in final microstructure are caused by [...] Read more.
The use of discontinuous fiber reinforced composites in injection and compression molding faces a number of challenges regarding process-induced changes in microstructure, which have a significant influence on the mechanical properties of the final component. The changes in final microstructure are caused by complex fiber movements, such as fiber orientation, attrition and accumulation during flow. While there are existing phenomenological prediction models for both fiber orientation and attrition, the prediction of fiber accumulation due to fiber-matrix separation is currently only possible with a complex mechanistic particle simulation, which is not applicable in industrial simulations. A simplified phenomenological model, the fiber retardation model (FRM), for the prediction of fiber-matrix separation in commercially available software tools is presented in this paper. The model applies a force balance onto an interacting two phase flow of polymer melt and fiber phase and applies a retardation factor Κ to calculate the slowing and accumulation of the fiber phase. The general model is successfully applied to a simple compression molding simulation. Full article
(This article belongs to the Special Issue Discontinuous Fiber Composites, Volume II)
Show Figures

Figure 1

17 pages, 5981 KB  
Article
Experimental Validation of a Direct Fiber Model for Orientation Prediction
by Sara Andrea Simon, Abrahán Bechara Senior and Tim Osswald
J. Compos. Sci. 2020, 4(2), 59; https://doi.org/10.3390/jcs4020059 - 25 May 2020
Cited by 12 | Viewed by 3693
Abstract
Predicting the fiber orientation of reinforced molded components is required to improve their performance and safety. Continuum-based models for fiber orientation are computationally very efficient; however, they lack in a linked theory between fiber attrition, fiber–matrix separation and fiber alignment. This work, therefore, [...] Read more.
Predicting the fiber orientation of reinforced molded components is required to improve their performance and safety. Continuum-based models for fiber orientation are computationally very efficient; however, they lack in a linked theory between fiber attrition, fiber–matrix separation and fiber alignment. This work, therefore, employs a particle level simulation which was used to simulate the fiber orientation evolution within a sliding plate rheometer. In the model, each fiber is accounted for and represented as a chain of linked rigid segments. Fibers experience hydrodynamic forces, elastic forces, and interaction forces. To validate this fundamental modeling approach, injection and compression molded reinforced polypropylene samples were subjected to a simple shear flow using a sliding plate rheometer. Microcomputed tomography was used to measure the orientation tensor up to 60 shear strain units. The fully characterized microstructure at zero shear strain was used to reproduce the initial conditions in the particle level simulation. Fibers were placed in a periodic boundary cell, and an idealized simple shear flow field was applied. The model showed a faster orientation evolution at the start of the shearing process. However, agreement with the steady-state aligned orientation for compression molded samples was found. Full article
(This article belongs to the Special Issue Discontinuous Fiber Composites, Volume II)
Show Figures

Figure 1

Back to TopTop