Sign in to use this feature.

Years

Between: -

Subjects

remove_circle_outline
remove_circle_outline
remove_circle_outline
remove_circle_outline
remove_circle_outline
remove_circle_outline
remove_circle_outline
remove_circle_outline
remove_circle_outline

Journals

Article Types

Countries / Regions

Search Results (39)

Search Parameters:
Keywords = fall rye

Order results
Result details
Results per page
Select all
Export citation of selected articles as:
16 pages, 509 KB  
Article
Residual Effects of Cover Crop Species, Tillage, and Manure Application on Corn Yield and Soil Nitrogen Dynamics in Organic Management Systems
by Emily E. Evans, Mary Wiedenhoeft, Marcelo Carvalho Minhoto Teixeira Filho, Bhim Bahadur Ghaley and Paulo H. Pagliari
Agronomy 2026, 16(2), 195; https://doi.org/10.3390/agronomy16020195 - 13 Jan 2026
Viewed by 416
Abstract
Nitrogen (N) management remains a primary challenge in organic grain systems, particularly in rotations where heavy N-consuming crops, such as corn and wheat, follow one another. Daikon radish (Raphanus sativus L.) is widely adopted for its ability to scavenge residual soil nitrate [...] Read more.
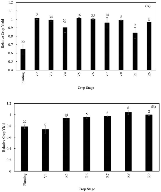
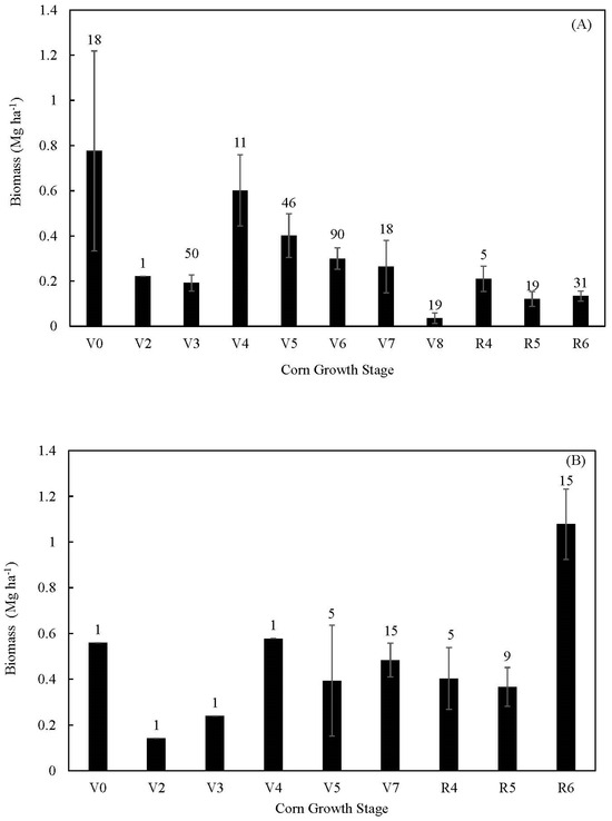
Nitrogen (N) management remains a primary challenge in organic grain systems, particularly in rotations where heavy N-consuming crops, such as corn and wheat, follow one another. Daikon radish (Raphanus sativus L.) is widely adopted for its ability to scavenge residual soil nitrate between cash crops; yet the subsequent availability of scavenged N to the following crop is inconsistent and often negligible. This 4-year field study (2014–2017) at the University of Minnesota Southwest Research and Outreach Center evaluated whether planting daikon radish in polyculture with berseem clover, and either annual oats or winter rye could improve N retention and timed release compared to daikon radish monoculture. Three cover crop treatments were tested across three common organic management systems: no manure with no tillage, manure with tillage, and manure plus shallow tillage incorporation before cover crop seeding. Polycultures, especially those including winter rye, produced significantly more fall biomass (up to 6435 kg ha−1) than daikon radish monoculture (573–1272 kg ha−1). Manure incorporation consistently increased total and daikon radish biomass, as well as the percent living cover. Despite substantial biomass differences, mid-season and fall soil inorganic N, potentially mineralizable N, permanganate-oxidizable C, and enzyme activities showed few consistent treatment effects. Corn grain yield was highest following manure with tillage incorporation but was significantly reduced after the winter rye polyculture in all years, likely due to N immobilization and delayed corn planting caused by late rye termination under wet spring conditions. Results indicate that while polycultures with winter rye maximize biomass and soil cover, they do not reliably enhance N recycling to the subsequent organic corn crop and can reduce yield. Full article
Show Figures

Figure 1

18 pages, 465 KB  
Article
The Chemical Composition and Baking Quality of Rye Flour from Grain with Organic Production
by Sylwia Stępniewska, Grażyna Cacak-Pietrzak, Anna Fraś, Magdalena Wiśniewska, Katarzyna Sujka, Justyna Grabarczyk and Dariusz Dziki
Foods 2026, 15(1), 3; https://doi.org/10.3390/foods15010003 - 19 Dec 2025
Viewed by 590
Abstract
The aim of this study was to evaluate the influence of rye genotype, harvest year, and growing location on the chemical composition and baking quality of rye flour (55% extraction rate). Flours were produced from five population cultivars and two hybrid cultivars, cultivated [...] Read more.
The aim of this study was to evaluate the influence of rye genotype, harvest year, and growing location on the chemical composition and baking quality of rye flour (55% extraction rate). Flours were produced from five population cultivars and two hybrid cultivars, cultivated in two locations in Poland, Osiny and Grabów, during the 2018/2019 and 2019/2020 seasons under organic farming conditions. Basic chemical composition (lipids, minerals, protein, carbohydrates), dietary fiber and its fractions (non-starch polysaccharides and lignin), and water extract viscosity were determined. Baking quality was assessed using falling number and water absorption. The results showed that harvest year exerted the strongest effect on rye flour properties. Flour produced from grain harvested in 2019 contained higher levels of protein (7.9% d.m.), lipids (0.74% d.m.), nutrition compounds, and falling number (297 s) but lower water absorption (63.3%). Rye flour samples from the 2020 harvest had a higher proportion of soluble fractions, which increased water extract viscosity. Among the cultivars, Dańkowskie Skand demonstrated the most favorable baking characteristics, with the lowest falling number (271 s) and the highest water absorption (65.5%). The most advantageous chemical components were observed in Dańkowskie Hadron flour due to its high contents of dietary fiber (7.47% d.m.), non-starch polysaccharides (6.63% d.m.), lignin (0.83% d.m.), and elevated water extract viscosity (5.21 mPa·s). Hybrid cultivars were characterized by lower protein content and lower amylolytic activity, while no significant differences between hybrid and population cultivars were found in terms of dietary fiber and its components. Full article
Show Figures

Figure 1

20 pages, 4565 KB  
Article
Legume–Cereal Cover Crops Improve Soil Properties but Fall Short on Weed Suppression in Chickpea Systems
by Zelalem Mersha, Michael A. Ibarra-Bautista, Girma Birru, Julia Bucciarelli, Leonard Githinji, Andualem S. Shiferaw, Shuxin Ren and Laban Rutto
Agronomy 2025, 15(8), 1893; https://doi.org/10.3390/agronomy15081893 - 6 Aug 2025
Viewed by 1378
Abstract
Chickpea is a highly weed-prone crop with limited herbicide options and high labor demands, raising the following question: Can fall-planted legume–cereal cover crops (CCs) improve soil properties while reducing herbicide use and manual weeding pressure? To explore this, we evaluated the effect of [...] Read more.
Chickpea is a highly weed-prone crop with limited herbicide options and high labor demands, raising the following question: Can fall-planted legume–cereal cover crops (CCs) improve soil properties while reducing herbicide use and manual weeding pressure? To explore this, we evaluated the effect of fall-planted winter rye (WR) alone in 2021 and mixed with hairy vetch (HV) in 2022 and 2023 at Randolph farm in Petersburg, Virginia. The objectives were two-fold: (a) to examine the effect of CCs on soil properties using monthly growth dynamics and biomass harvested from fifteen 0.25 m2-quadrants and (b) to evaluate the efficiency of five termination methods: (1) green manure (GM); (2) GM plus pre-emergence herbicide (GMH); (3) burn (BOH); (4) crimp mulch (CRM); and (5) mow-mulch (MW) in suppressing weeds in chickpea fields. Weed distribution, particularly nutsedge, was patchy and dominant on the eastern side. Growth dynamics followed an exponential growth rate in fall 2022 (R2 ≥ 0.994, p < 0.0002) and a three-parameter sigmoidal curve in 2023 (R2 ≥ 0.972, p < 0.0047). Biomass averaged 55.8 and 96.9 t/ha for 2022 and 2023, respectively. GMH consistently outperformed GM in weed suppression, though GM was not significantly different from no-till systems by the season’s end. Kabuli-type chickpeas under GMH had significantly higher yields than desi types. Pooled data fitted well to a three-parametric logistic curve, predicting half-time to 50% weed coverage at 35 (MM), 38 (CRM), 40 (BOH), 46 (GM), and 53 (GMH) days. Relapses of CCs were consistent in no-till systems, especially BOH and MW. Although soil properties improved, CCs alone did not significantly suppress weed. Full article
(This article belongs to the Section Weed Science and Weed Management)
Show Figures

Figure 1

20 pages, 683 KB  
Article
Nutritional Quality of Rye Bread with the Addition of Selected Malts from Beans
by Anna Czubaszek, Mateusz Gertchen, Alan Gasiński, Joanna Miedzianka and Joanna Kawa-Rygielska
Molecules 2025, 30(5), 1006; https://doi.org/10.3390/molecules30051006 - 21 Feb 2025
Cited by 2 | Viewed by 1128
Abstract
This study aimed to evaluate the effect of partial rye flour (RF) replacement with white bean malt (WBM) and red bean malt (RBM) on the baking and the nutritional quality of bread. The addition of white and red bean malts to the rye [...] Read more.
This study aimed to evaluate the effect of partial rye flour (RF) replacement with white bean malt (WBM) and red bean malt (RBM) on the baking and the nutritional quality of bread. The addition of white and red bean malts to the rye flour reduced the falling number and the maximum viscosity of the paste. Significant differences in the color of the crust and crumb of baked bread were shown. The addition of malt from bean seeds did not cause significant changes in the consumer assessment of bread. In some cases, a 30% increase in the polyphenols content was observed and an improvement in the antioxidant properties of bread with WBM and RBM was noted. Also, the overall protein and essential amino acids content in the bread was significantly increased. Due to WBM and RBM addition, the quantity of volatile compounds was higher than it was in the control sample, and in specific instances, it had doubled compared to the control sample. Full article
Show Figures

Figure 1

21 pages, 745 KB  
Article
The Impact of Oyster Mushrooms (Pleurotus ostreatus) on the Baking Quality of Rye Flour and Nutrition Composition and Antioxidant Potential of Rye Bread
by Sylwia Stępniewska, Agnieszka Salamon, Grażyna Cacak-Pietrzak, Małgorzata Piecyk and Hanna Kowalska
Foods 2025, 14(2), 199; https://doi.org/10.3390/foods14020199 - 10 Jan 2025
Cited by 9 | Viewed by 4116
Abstract
This study aimed to evaluate the use of oyster mushroom (Pleurotus ostreatus) powder (OMP) for producing rye bread. The raw materials were low-extract rye flour and OMP, which were analyzed in terms of their nutritional and health-promoting qualities. Mixtures of rye [...] Read more.
This study aimed to evaluate the use of oyster mushroom (Pleurotus ostreatus) powder (OMP) for producing rye bread. The raw materials were low-extract rye flour and OMP, which were analyzed in terms of their nutritional and health-promoting qualities. Mixtures of rye flour with OMP were prepared, replacing 5, 7.5, and 10% rye flour with OMP. The baking quality of the tested flour samples was assessed based on their water absorption, falling number, and amylograph and swelling curve tests. The laboratory baking test was carried out using the sourdough method, prepared based on LV2 starter cultures, and the bread samples were assessed in terms of their technological, sensory, and nutritional characteristics, as well as the antioxidant potential. The OMP was characterized by a high content of basic nutrition components and a higher antioxidant potential. The addition of OMP increased the nutritional value of the rye flour and its water absorption, significantly prolonged the starch gelatinization time, and increased the xylolytic activity of the flour. The OMP enhanced the bread’s dietary fiber, minerals, protein, and phenolic compounds, and boosted its antioxidant potential. Also, the starch present in the bread with OMP was characterized by a higher pro-health value due to a higher share of slowly digestible starch. Incorporating 7.5% OMP into the rye bread formula positively affected the bread’s sensory profile in contrast to the bread with a 10% addition of OMP. Full article
(This article belongs to the Special Issue Advances in Improvement and Fortification of Cereal Food)
Show Figures

Figure 1

18 pages, 1565 KB  
Article
Effect of Genotype and Environment on Yield and Technological and Nutrition Traits on Winter Rye Grain from Organic Production
by Sylwia Stępniewska, Grażyna Cacak-Pietrzak, Anna Fraś, Krzysztof Jończyk, Marcin Studnicki, Magdalena Wiśniewska, Marlena Gzowska and Agnieszka Salamon
Agriculture 2024, 14(12), 2249; https://doi.org/10.3390/agriculture14122249 - 8 Dec 2024
Cited by 5 | Viewed by 1626
Abstract
This study aimed to determine genotype and environment effects on the yield and selected quality traits of winter rye from organic production. The tested material was grain of two hybrid rye cultivars, Tur and KWS Dolaro, and five population cultivars of rye, Dańkowskie [...] Read more.
This study aimed to determine genotype and environment effects on the yield and selected quality traits of winter rye from organic production. The tested material was grain of two hybrid rye cultivars, Tur and KWS Dolaro, and five population cultivars of rye, Dańkowskie Hadron, Dańkowskie Granat, Dańkowskie Turkus, Dańkowskie Skand, and Piastowskie. Field trials were performed at two locations in Poland, Osiny and Grabów, in two growing seasons, 2018/2019 and 2019/2020. The grain yield, moisture content, falling number, thousand-grain weight, and hectoliter weight were determined. The content of basic nutrients, protein, minerals, lipids, carbohydrates, and dietary fibre, as well as the viscosity of aqueous extracts of grain, were also determined. This study revealed that environmental factors, such as harvest year and growing location, as well as the genotype factor, had the greatest effect on the viscosity of aqueous extracts and protein content. The study’s hybrid cultivars, Tur and KWS Dolaro, are characterized by significantly higher yield but lower dietary fibre and protein contents in rye grain and lower viscosity of aqueous compared to all study population cultivars. Of all the studied population cultivars of rye, the grain of the cultivar Dańkowskie Skand was found to be the most beneficial in terms of nutritional value because it was characterized by the highest viscosity of aqueous extracts. Full article
(This article belongs to the Section Crop Production)
Show Figures

Figure 1

21 pages, 1028 KB  
Article
Screening Cover Crops for Utilization in Irrigated Vineyards: A Greenhouse Study on Species’ Nitrogen Uptake and Carbon Sequestration Potential
by Mehdi Sharifi, Khaled Salimi, Daniel Rosa and Miranda Hart
Plants 2024, 13(14), 1959; https://doi.org/10.3390/plants13141959 - 17 Jul 2024
Cited by 10 | Viewed by 2459
Abstract
This study examines the potential of 23 plant species, comprising 10 legumes, 9 grasses, and 4 forbs, as cover crops to enhance carbon (C) sequestration and soil nitrogen (N) in vineyards. After a 120-day evaluation period, cover crop biomass was incorporated into the [...] Read more.
This study examines the potential of 23 plant species, comprising 10 legumes, 9 grasses, and 4 forbs, as cover crops to enhance carbon (C) sequestration and soil nitrogen (N) in vineyards. After a 120-day evaluation period, cover crop biomass was incorporated into the soil, and grapevine seedlings were planted in its place. Among the established cover crops, the C input potential ranged from 0.267 to 1.69 Mg ha−1, and the N input potential ranged from 12.3 to 114 kg ha−1. Legume species exhibited up to threefold greater shoot dry weight (SDW) compared to grass species. Ladino white clover, Dutch white clover, and Clover blend were superior in SDW, total dry weight (TDW), total C content, and total N content. Legumes exhibited slightly higher root dry weight (RDW) than grasses, with the exception of Fall rye leading at 15 g pot−1, followed by Ladino white clover and Dutch white clover at an average of 12 g pot−1. Legumes, particularly clover blend and Alsike clover, displayed high shoot N concentration at an average of 2.95%. Root N concentration in Legumes (Fabaceae) were significantly higher at 1.82% compared to other plant families at 0.89%, while their root C/N ratio was lower at 18.3, contrasting with others at 27.7, resulting in a faster turnover. Biomass production exhibited a negative relationship (R2 = 0.51) with soil residual NO3. Fall rye, Winfred brassica, and buckwheat had the highest N utilization efficiency (NUtE) values (ava. 121 g g−1). Alsike clover, Ladino white clover, and clover blend showed the highest N uptake efficiency (NUpE) values (ava. 75%). The Readily Available N (RAN) Reliance Index (RANRI) is introduced as a novel indicator for quantifying the extent to which a plant relies on RAN for its total N requirement. The RANRI value represents the percentage of the plant’s total N sourced from RAN, ranging from 11% for legumes to 86% for grasses. This implies a substantial influx of nitrogen through a pathway independent of RAN in legumes. Grape shoot N concentration positively correlated with soil NO3 (R2 = 0.31) and cover crop C/N ratio (R2 = 0.17) but negatively correlated with cover crop TDW (R2 = 0.31). This study highlights legume plants as more effective in C and N assimilation during establishment but cautions about potential soil mineral N depletion before reaching their full biological N fixation capacity. Full article
Show Figures

Figure 1

17 pages, 5938 KB  
Article
Impact of Rye Malt with Various Diastatic Activity on Wholegrain Rye Flour Rheology and Sugar Formation in Scalding and Fermentation Processes
by Ruta Murniece, Sanita Reidzane, Vitalijs Radenkovs, Roberts Matisons, Ilona Dabina-Bicka, Dace Klava and Ruta Galoburda
Foods 2024, 13(13), 2077; https://doi.org/10.3390/foods13132077 - 1 Jul 2024
Cited by 3 | Viewed by 2531
Abstract
Amylase activity in rye flour plays a crucial role in the production of rye bread. When preparing a scald in rye bread production, diastatic rye malt is utilized to augment the amylase activity of the rye flour. This study investigated the effects of [...] Read more.
Amylase activity in rye flour plays a crucial role in the production of rye bread. When preparing a scald in rye bread production, diastatic rye malt is utilized to augment the amylase activity of the rye flour. This study investigated the effects of the diastatic power (DP) and concentration of rye malt on the Falling Number (FN) and the rheological properties of rye flour. Additionally, it examined reducing sugars in the scalding process and fermentation. Mixolab results provided comprehensive data on dough properties at different temperature stages, highlighting significant changes in starch gelatinization and enzyme activity due to varying malt diastatic power and concentrations. The decline in the gelatinization index (C3-C2) indicated faster starch gelatinization with increased diastatic power. Adding rye malt significantly increased maltose content in the saccharified and fermented scald, promoting a favorable environment for lactic acid bacteria and yeasts. FN and Amylograph results showed that less active malt (DP 170, 179 °WK), at a 1.5% concentration, could achieve similar effects as the more active malt (DP 362, 408 °WK) at 0.5%. Adding rye malt to rye flour allows for the regulation of the flour’s rheological properties and FN, adjustable based on malt DP and concentration. Full article
Show Figures

Figure 1

20 pages, 2593 KB  
Article
Assessing the Multifaceted Tradeoffs of Agricultural Conservation Practices on Ecosystem Services in the Midwest U.S.
by Amit P. Timilsina, Garrett Steinbeck, Ajay Shah and Sami Khanal
Sustainability 2024, 16(13), 5622; https://doi.org/10.3390/su16135622 - 30 Jun 2024
Viewed by 2169
Abstract
A comprehensive understanding of the potential effects of conservation practices on soil health, crop productivity, and greenhouse gas (GHG) emissions remains elusive, despite extensive research. Thus, the DeNitrification–DeComposition (DNDC) model was employed to evaluate the impact of eleven commonly practiced management scenarios on [...] Read more.
A comprehensive understanding of the potential effects of conservation practices on soil health, crop productivity, and greenhouse gas (GHG) emissions remains elusive, despite extensive research. Thus, the DeNitrification–DeComposition (DNDC) model was employed to evaluate the impact of eleven commonly practiced management scenarios on ecosystem services in the Western Lake Erie Basin, USA, from 1998–2020. Out of eleven scenarios, eight were focused on corn–soybean rotations with varied nitrogen application timing (50% before planting and 50% at either fall or spring during or after planting), or nitrogen source (dairy slurry or synthetic fertilizer (SF)), or tillage practices (conventional, no-till), or cereal rye (CR) in rotation. Remaining scenarios involved rotations with silage corn (SC), winter crops (CR or winter wheat), and alfalfa. The silage corn with winter crop and four years of alfalfa rotation demonstrated enhanced ecosystem services compared to equivalent scenario with three years of alfalfa. Applying half the total nitrogen to corn through SF during or after spring-planted corn increased yield and soil organic carbon (SOC) sequestration while raising global warming potential (GWP) than fall-applied nitrogen. The no-till practice offered environmental benefits with lower GWP and higher SOC sequestration, while resulting in lower yield than conventional tillage. The incorporation of CR into corn–soybean rotations enhanced carbon sequestration, increased GHG emissions, improved corn yield, and lowered soybean yield. Substituting SF with manure for corn production improved corn yield under conventional tillage and increased SOC while increasing GWP under both tillage conditions. While the role of conservation practices varies by site, this study’s findings aid in prioritizing practices by evaluating tradeoffs among a range of ecosystem services. Full article
Show Figures

Figure 1

13 pages, 1898 KB  
Article
Assessing Falling Number Stability Increases the Genomic Prediction Ability of Pre-Harvest Sprouting Resistance in Common Winter Wheat
by Theresa Albrecht, Michael Oberforster, Lorenz Hartl and Volker Mohler
Genes 2024, 15(6), 794; https://doi.org/10.3390/genes15060794 - 17 Jun 2024
Cited by 2 | Viewed by 2019
Abstract
Pre-harvest sprouting (PHS) resistance is a complex trait, and many genes influencing the germination process of winter wheat have already been described. In the light of interannual climate variation, breeding for PHS resistance will remain mandatory for wheat breeders. Several tests and traits [...] Read more.
Pre-harvest sprouting (PHS) resistance is a complex trait, and many genes influencing the germination process of winter wheat have already been described. In the light of interannual climate variation, breeding for PHS resistance will remain mandatory for wheat breeders. Several tests and traits are used to assess PHS resistance, i.e., sprouting scores, germination index, and falling number (FN), but the variation of these traits is highly dependent on the weather conditions during field trials. Here, we present a method to assess falling number stability (FNS) employing an after-ripening period and the wetting of the kernels to improve trait variation and thus trait heritability. Different genome-based prediction scenarios within and across two subsequent seasons based on overall 400 breeding lines were applied to assess the predictive abilities of the different traits. Based on FNS, the genome-based prediction of the breeding values of wheat breeding material showed higher correlations across seasons (r=0.5050.548) compared to those obtained for other traits for PHS assessment (r=0.2160.501). By weighting PHS-associated quantitative trait loci (QTL) in the prediction model, the average predictive abilities for FNS increased from 0.585 to 0.648 within the season 2014/2015 and from 0.649 to 0.714 within the season 2015/2016. We found that markers in the Phs-A1 region on chromosome 4A had the highest effect on the predictive abilities for FNS, confirming the influence of this QTL in wheat breeding material, whereas the dwarfing genes Rht-B1 and Rht-D1 and the wheat–rye translocated chromosome T1RS.1BL exhibited effects, which are well-known, on FN per se exclusively. Full article
(This article belongs to the Section Plant Genetics and Genomics)
Show Figures

Figure 1

44 pages, 3849 KB  
Review
Effects of Interseeding Cover Crops into Corn and Soybean on Biomass Production, Grain Yields and Ecosystem Services: A Review
by Hans W. Klopp
Agronomy 2024, 14(6), 1229; https://doi.org/10.3390/agronomy14061229 - 6 Jun 2024
Cited by 1 | Viewed by 3176
Abstract
Planting cover crops can improve soil health and help to sustain agricultural crop yields. In northern climates where corn (Zea mays L.) and soybean (Glycine max L.) are grown, cover crop biomass production can be low. This has led to people [...] Read more.
Planting cover crops can improve soil health and help to sustain agricultural crop yields. In northern climates where corn (Zea mays L.) and soybean (Glycine max L.) are grown, cover crop biomass production can be low. This has led to people investigating the potential of interseeding cover crops into the growing main crop. This paper sought to determine biomass production and the benefit to grain yields, weed control and soil properties from interseeding cover crops into corn and soybean. This review included 70 studies published prior to 15 March 2024. Interseeded cover crops that were winter-hardy such as cereal rye (Secale cereale L.) produced more biomass in the spring (1.04 Mg ha−1 average biomass production) than any of the interseeded cover crops did in fall (0.35 Mg ha−1 average biomass production), primarily at crop row spacings of 76 cm. Factors that affected cover crop biomass production were crop stage, planting method, tillage practice, irrigation and row spacing. There was not a consistent widely planted cover crop species that produced the most biomass. Interseeded cover crops reduced weed biomass by 46% compared to weed control and generally did not affect crop grain yields when planted after V4 crop stage. Interseeded cover crops reduced soil nitrate concentration but generally did not affect other soil properties including soil water content. However, most of these studies planted cover crops at the same site for less than three years. Early interseeded cover crops generally did not perform better than interseeded winter-hardy cover crops planted around crop physiological maturity. Full article
(This article belongs to the Section Agricultural Biosystem and Biological Engineering)
Show Figures

Figure 1

19 pages, 1477 KB  
Article
Assessment of the Baking Properties of Rye Flour Based on the Polysaccharide Content and Properties
by Sylwia Stępniewska, Grażyna Cacak-Pietrzak, Anna Szafrańska, Ewa Ostrowska-Ligęza, Agnieszka Salamon and Hanna Kowalska
Appl. Sci. 2024, 14(7), 2772; https://doi.org/10.3390/app14072772 - 26 Mar 2024
Cited by 6 | Viewed by 3206
Abstract
This study aimed to determine the baking quality of rye flour in terms of the content and properties of its polysaccharides, i.e., starch and pentosans. The study materials were low- and high-extract rye flours produced in industrial mills from the rye grain of [...] Read more.
This study aimed to determine the baking quality of rye flour in terms of the content and properties of its polysaccharides, i.e., starch and pentosans. The study materials were low- and high-extract rye flours produced in industrial mills from the rye grain of two growing seasons (2019 and 2020). The results of the starch content, falling number, amylograph properties, DSC test, content of pentosans, swelling curve test, and laboratory baking test were determined. It was found that the type of flour had a greater impact on the baking quality of rye flour than the year of its production. Research has shown that the most frequently used parameters, such as the falling number and the maximum viscosity of starch paste, are not good indicators for assessing the baking value of currently produced rye flours. From the parameters used for evaluating the properties of the starch–amylolytic complex, the initial and onset temperatures for starch gelatinization were the best indicators for evaluating the baking quality of rye flour. This study revealed a significant correlation between the pentosan content (total, water soluble, and insoluble), swelling curve parameters and quality parameters of rye bread, such as the specific bread volume, bread crumb moisture, and bread crumb hardness. Assessment of the baking value of rye flour based only on the evaluated properties of the starch–amylolytic complex is currently not sufficient to determine the baking quality of rye flour and predict the quality of rye bread. This study on the baking quality of rye flour should be extended to include the assessment of the dough properties related to the pentosan content and the enzymes that degrade these components. It was shown that the properties of rye dough related to the content of pentosan can be characterized based on the swelling curve test as a method that, together with the initial and onset starch gelatinization temperatures, allows better assessment of the baking quality of the commercial rye flour and its suitability for the good-quality rye bread production. Full article
(This article belongs to the Special Issue Advanced Food Processing Technologies and Food Quality)
Show Figures

Figure 1

15 pages, 5013 KB  
Article
Impact of Biochar Dose and Origin on Winter Wheat Grain Quality and Quantity
by Marta Wyzińska, Adam Kleofas Berbeć and Jerzy Grabiński
Agriculture 2024, 14(1), 39; https://doi.org/10.3390/agriculture14010039 - 24 Dec 2023
Cited by 6 | Viewed by 3337
Abstract
The agricultural application of biocarbons (biochar) derived from different biomass sources in the process of pyrolysis is a promising solution for crop productivity and quality, soil health improvement, and carbon sequestration. In a three-year study, the effects of low doses of biochar (1 [...] Read more.
The agricultural application of biocarbons (biochar) derived from different biomass sources in the process of pyrolysis is a promising solution for crop productivity and quality, soil health improvement, and carbon sequestration. In a three-year study, the effects of low doses of biochar (1 t∙ha−1 and 3 t∙ha−1) of different origins on winter wheat grain quantity and quality were tested. Six different biochar types were used: biochar derived from wheat husk (WHB), (2) extracted medical plant biomass biochar (MPB), (3) wood chip biochar (WCB), (4) wood sawdust biochar (SB), (5) biochar made from straw of rye (RSB), and (6) meat and bone biochar (MBMB). Higher doses of biocarbon had a positive effect only on wet gluten content. The use of different types of biochar showed a significant impact on grain parameters; however, the results were different in different years of this study. Among the tested biochars, SB (Saw Dust biochar) showed rather good results for most of the parameters tested (the highest grain yield in 2018, the highest weight of 1000 g in 2019, the lowest wet gluten content and gluten index in 2020, the lowest falling number in 2019, and the highest Zellenys index in 2019). MBMB biochar was one of the highest yielders in 2018, had the highest wet gluten content in 2018, and the highest gluten index in 2019 and 2020; the lowest Zelleny’s sedimentation index in 2019; and one of the lowest in 2020. Those made SB and MBMB the most promising biochars tested in this study. Full article
Show Figures

Figure 1

11 pages, 480 KB  
Article
Comprehensive Characterization of Micronized Wholemeal Flours: Investigating Technological Properties across Various Grains
by Agata Wojciechowicz-Budzisz, Pavel Skřivan, Marcela Sluková, Ivan Švec, Ewa Pejcz, Michal Stupák, Anna Czubaszek and Joanna Harasym
Foods 2024, 13(1), 39; https://doi.org/10.3390/foods13010039 - 21 Dec 2023
Cited by 7 | Viewed by 2195
Abstract
With a suitable milling system, it is achievable to produce wholegrain flours that match the granulation and technological properties of refined flours while maintaining a complete nutritional profile. This process also minimizes the generation of additional industrial waste. This study aimed to characterize [...] Read more.
With a suitable milling system, it is achievable to produce wholegrain flours that match the granulation and technological properties of refined flours while maintaining a complete nutritional profile. This process also minimizes the generation of additional industrial waste. This study aimed to characterize wholemeal flours with a fine granulation size of less than 160 µm: wheat (MWF), rye (MRF), spelt (MSF), barley (MBF), buckwheat (MBWF), and sorghum (MSGF). For comparison, the plain wheat flour type 530 (T530) was analyzed. The flours were assessed in terms of their chemical compositions and alpha amylase activities (the Falling Number assay), pasting properties (amylograph and a Rapid Visco Analyser (RVA)), water absorption using a farinograph, and technological quality based on their water (WRC) and sodium carbonate solvent retention capacity (SRC) profiles. Among the micronized wholemeal flours, wheat flour (MWF) exhibited the highest nutritional value, greatest water absorption, and highest final gelatinization temperature, but had the lowest energy value, carbohydrate content, water SRC, and sodium carbonate SRC. Wholemeal rye flour (MRF) displayed the lowest nutrient content and the highest amylolytic activity, water absorption, and sodium carbonate SRC. The plain wheat flour type 530 (T530) had the lowest water absorption. Special buckwheat flour (MBWF) showed the highest energy value due to its elevated carbohydrate content, along with the lowest sugar and TDF contents, amylolytic activity, and pasting temperature. Full article
Show Figures

Figure 1

6 pages, 249 KB  
Proceeding Paper
Unlocking the Secrets of Special Micronized Wholemeal Flours: A Comprehensive Characterization Study
by Agata Wojciechowicz-Budzisz, Pavel Skřivan, Marcela Sluková, Ivan Švec, Ewa Pejcz and Joanna Harasym
Biol. Life Sci. Forum 2023, 26(1), 70; https://doi.org/10.3390/Foods2023-15025 - 14 Oct 2023
Viewed by 985
Abstract
This study aimed to characterize special micronized wholemeal flours with a fine granulation size of less than 160 μm. The flours under investigation included wheat, rye, spelt, barley, buckwheat, sorghum, and teff. Various parameters were investigated to characterize the flours, including moisture, energy [...] Read more.
This study aimed to characterize special micronized wholemeal flours with a fine granulation size of less than 160 μm. The flours under investigation included wheat, rye, spelt, barley, buckwheat, sorghum, and teff. Various parameters were investigated to characterize the flours, including moisture, energy value, fat, carbohydrates, sugars, total protein, ash, and total dietary fiber (TDF). The falling number of the flours was assessed using the Hagberg–Perten method. Furthermore, the pasting properties of tested flours were analyzed using an amylograph, and a Rapid Visco Analyser (RVA). The water absorption of the wholemeal flours was examined using a farinograph. Additionally, the technological quality of the tested material was assessed based on the water (WRC) and sodium carbonate Solvent Retention Capacity (SRC) profile. Among the analyzed micronized flours, special wheat flour (WWF) had the highest nutritional value, and rye flour (WRF) was characterized by the lowest nutrient content and the highest amylolytic activity. The lowest levels of water absorption were found in special teff flour (WTF). The lowest TDF content and amylolytic activity were found in special buckwheat flour (WBWF). Full article
(This article belongs to the Proceedings of The 4th International Electronic Conference on Foods)
Back to TopTop